MODIFICA RESOLUCIÓN N° 216 EXENTA, DE 2010, Y APRUEBA SELECCIÓN DE PROYECTOS DE CONSTRUCCIÓN DEL FONDO SOLIDARIO DE VIVIENDA PARA SU CAPÍTULO PRIMERO EN EL MES DE FEBRERO DEL AÑO 2010
Santiago, 8 de marzo de 2010.- Hoy se resolvió lo que sigue:
Núm. 1.484 exenta.- Visto:
a) El D.S. Nº 174 (V. y U.), de 2005, y sus modificaciones, que reglamenta el Programa Fondo Solidario de Vivienda;
b) La resolución exenta Nº 8.820, de fecha 10 de diciembre de 2009 (V. y U.), que autoriza el otorgamiento de subsidios habitacionales correspondientes a los llamados que se efectúen durante el año 2010 y señala el monto de los recursos destinados, entre otros, a la atención a través del programa regulado por el D.S Nº 174 (V. y U.), de 2005;
c) La resolución exenta N° 216 (V. y U.), de 2010, y sus modificaciones, que llama a concurso para el otorgamiento de subsidios habitacionales en la modalidad proyectos de construcción del Fondo Solidario de Vivienda para su capitulo primero en el mes de febrero del año 2010, dicto la siguiente
Resolución:
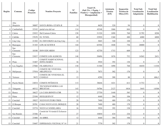
1.- Modifícase la resolución exenta Nº 216 (V. y U.), de 2010, que llama a concurso para el otorgamiento de subsidios habitacionales en la modalidad proyectos de construcción del Fondo Solidario de Vivienda para su capítulo primero, en el sentido de reemplazar la tabla inserta en el número 2 por la siguiente:

2.- Apruébase la nómina de proyectos seleccionados y los recursos respectivos con calificación definitiva para el otorgamiento de subsidios habitacionales en la modalidad proyectos de construcción del Programa Fondo Solidario de Vivienda correspondiente al concurso efectuado el día 15 de febrero de 2010, establecido por resolución exenta Nº 216 (V. y U.), de 2010, para las Regiones de Tarapacá, Coquimbo, Valparaíso, O'Higgins, Maule, Bío Bío, Los Lagos y Metropolitana, que se incluyen en la siguiente tabla:

3.- Apruébase la nómina de proyectos pre-seleccionados y los recursos respectivos con Calificación Condicional para el otorgamiento de subsidios habitacionales en la modalidad Proyectos de Construcción del Programa Fondo Solidario de Vivienda correspondiente al concurso efectuado el día 15 de febrero de 2010, establecido por resolución exenta Nº 216 (V. y U.), de 2010, para la Regiones de Atacama, Coquimbo y Magallanes, que se incluye en la siguiente tabla:

A los proyectos pre-seleccionados señalados en la tabla anterior no se les otorgará certificado de subsidio hasta que mediante resolución del Seremi respectivo se declare su calidad de proyecto seleccionado una vez obtenida la calificación definitiva, conforme lo establece el articulo 41 del D.S. Nº 174 (V. y U.), de 2005.
4.- Los recursos comprometidos conforme a los números 2 y 3 de la presente resolución, para los proyectos seleccionados en el concurso correspondiente al día 15 de febrero del año 2010, se detallan en el siguiente cuadro por cada región:

NOTA
El Nº 1 de la Resolución 3209, Vivienda, publicada el 31.05.2010, modifica la presente norma en el sentido de eliminar en el cuadro inserto en el resuelvo 2°, la fila 4, que corresponde al proyecto El Túnel de la comuna de Cabildo.
El Nº 1 de la Resolución 3209, Vivienda, publicada el 31.05.2010, modifica la presente norma en el sentido de eliminar en el cuadro inserto en el resuelvo 2°, la fila 4, que corresponde al proyecto El Túnel de la comuna de Cabildo.
NOTA 1
El Nº 2 de la Resolución 3209, Vivienda, publicada el 31.05.2010, reemplaza el cuadro inserto en el resuelvo 4°, en la fila correspondiente a Valparaíso, en las columnas Subsidio Construcción Equipamiento y Fondo Iniciativa, Asistencia Técnica, Inspección Técnica de Obra, Subsidio Localización, Total UF, N° de Familias y en las columnas Total de dichas filas.
El Nº 2 de la Resolución 3209, Vivienda, publicada el 31.05.2010, reemplaza el cuadro inserto en el resuelvo 4°, en la fila correspondiente a Valparaíso, en las columnas Subsidio Construcción Equipamiento y Fondo Iniciativa, Asistencia Técnica, Inspección Técnica de Obra, Subsidio Localización, Total UF, N° de Familias y en las columnas Total de dichas filas.
NOTA 2
El Nº 1 de la Resolución 5615 Exenta, Vivienda, publicada el 13.09.2010, reemplaza en el Resuelvo 3 de la presente norma, en la fila 1, columna Total Sub. Localización Habilitación, el guarismo "1.472" por "6.400".
El Nº 1 de la Resolución 5615 Exenta, Vivienda, publicada el 13.09.2010, reemplaza en el Resuelvo 3 de la presente norma, en la fila 1, columna Total Sub. Localización Habilitación, el guarismo "1.472" por "6.400".
NOTA 3
El Nº 2 de la Resolución 5615 Exenta, Vivienda, publicada el 13.09.2010, Sustitúyese en el cuadro inserto en el Resuelvo 4 de la presente norma, en la fila correspondiente a Atacama, en las columnas Subsidio Construcción Equipamiento y Fondo Iniciativa, Asistencia Técnica, Inspección Técnica de Obra, Subsidio Localización, Total UF, Nº de Familias y en las columnas Total de dichas filas de la forma que indica.
El Nº 2 de la Resolución 5615 Exenta, Vivienda, publicada el 13.09.2010, Sustitúyese en el cuadro inserto en el Resuelvo 4 de la presente norma, en la fila correspondiente a Atacama, en las columnas Subsidio Construcción Equipamiento y Fondo Iniciativa, Asistencia Técnica, Inspección Técnica de Obra, Subsidio Localización, Total UF, Nº de Familias y en las columnas Total de dichas filas de la forma que indica.
Anótese, comuníquese, publíquese y archívese.- Patricia Poblete Bennett, Ministra de Vivienda y Urbanismo.
Lo que transcribo para su conocimiento.- Paulina Saball Astaburuaga, Subsecretaria de Vivienda y Urbanismo.