MODIFICA DECRETO Nº 594, DE 1999, REGLAMENTO SOBE CONDICIONES SANITARIAS Y AMBIENTALES BÁSICAS EN LOS LUGARES DE TRABAJO
     
    Núm. 123.- Santiago, 3 de julio de 2014.- Visto: Estos antecedentes; lo dispuesto en los artículos 2 y 82 del Código Sanitario, aprobado por decreto con fuerza de ley Nº 725, de 1967, del Ministerio de Salud; en el artículo 4 Nº 3 del Libro I del decreto con fuerza de ley Nº 1, de 2005, del Ministerio de Salud, que fija el texto refundido, coordinado y sistematizado del decreto ley Nº 2.763, de 1979, y de las leyes Nº 18.933 y 18.469; en la resolución Nº 1.600, de 2008, de la Contraloría General de la República; lo solicitado en el memorando B33 / Nº 39, de 2013, de la División de Políticas Públicas Saludables y Promoción, del Ministerio de Salud, y
     
    Considerando:
     
    Que, se hace necesario precisar varias de las disposiciones contenidas en el Reglamento sobre Condiciones Sanitarias y Ambientales Básicas en los Lugares de Trabajo con el objeto de obtener mediciones más exactas y medidas de control más eficientes.
    Que, asimismo, los cambios introducidos en el Código del Trabajo obligan a modificar algunas normas contenidas en el decreto supremo Nº 594, de 1999, del Ministerio de Salud, a fin de hacerlas compatibles con aquéllos.
     
    Teniendo presente: Las facultades que me confiere el artículo 32 Nº 6 de la Constitución Política de la República,
     
    Decreto:
     
    Artículo 1º.- Modifícase, en la forma que a continuación se indica, el decreto supremo Nº 594, de 1999 del Ministerio de Salud, que aprueba el Reglamento sobre Condiciones Sanitarias y Ambientales Básicas en los Lugares de Trabajo:
     
    1.- Reemplácese, en el segundo inciso del artículo 5º, la expresión "NCh 382 of 98" por la siguiente: "NCh 382.of 2004 aprobado mediante decreto Nº 29, de 2005, del Ministerio de Transportes y Telecomunicaciones".
    2.- Reemplácese el artículo 9 por el siguiente:
     
    "Artículo 9.- En aquellas faenas en que por su naturaleza los trabajadores, estén obligados a pernoctar en campamentos de la empresa, el empleador deberá proveer dormitorios separados para hombres y mujeres, dotados de una fuente de energía eléctrica, con pisos, paredes y techos que aíslen de condiciones climáticas externas.
    En las horas en que los trabajadores ocupen los dormitorios, la temperatura interior, en cualquier instante, no deberá ser menor de 10 ºC ni mayor de 30 ºC. Además, dichos dormitorios deberán tener la amplitud necesaria que evite el hacinamiento, para cuyos efectos se diseñarán considerando, por cada trabajador, un volumen de 10 m³, sin perjuicio de cumplir los criterios de ventilación establecidos en el artículo 32 del presente reglamento.
    Los dormitorios deberán estar dotados de una cama o camarote para cada trabajador confeccionado de material resistente, complementado con colchón y almohada en buenas condiciones. El empleador deberá adoptar las medidas necesarias para que los dormitorios se mantengan limpios.
    Los campamentos deberán contar con cuartos de baño, los que deberán disponer de excusado, lavatorio y ducha con agua fría y caliente. Con todo, los dormitorios y baños deberán cumplir con las condiciones de habitabilidad dispuestas en la Ordenanza General de Urbanismo y Construcciones.
    No podrán emplazarse campamentos en lugares próximos a cauces de agua o sus afluentes, o en áreas con factibilidad de derrumbes o aluviones".
    3.- Reemplácese los incisos segundo y tercero del artículo 42 por los siguientes:
    "Todo lo referente al almacenamiento de sustancias peligrosas se regirá por lo dispuesto en el decreto supremo Nº 78, de 2009 del Ministerio de Salud, que aprueba el Reglamento de Almacenamiento de Sustancias Peligrosas.
    Los estanques de almacenamiento de combustibles líquidos deberán cumplir las exigencias dispuestas en el decreto supremo Nº 160, de 2008, del Ministerio de Economía, Fomento y Reconstrucción, que aprueba el Reglamento de Seguridad  para las Instalaciones y Operaciones de Producción y Refinación, Transporte, Almacenamiento, Distribución y Abastecimiento de Combustibles Líquidos."
    4.- Reemplácese el artículo 53 por el siguiente:

    "Artículo 53.- El empleador deberá proporcionar a sus trabajadores, libres de todo costo y cualquiera sea la función que éstos desempeñen en la empresa, los elementos de protección personal que cumplan con los requisitos, características y tipos que exige el riesgo a cubrir y la capacitación teórica y práctica necesaria para su correcto empleo debiendo, además, mantenerlos en perfecto estado de funcionamiento. Por su parte el trabajador deberá usarlos en forma permanente mientras se encuentre expuesto al riesgo."
    5.- Reemplácese el artículo 54 por el siguiente:

    "Artículo 54.- Los elementos de protección personal usados en los lugares de trabajo, sean éstos de procedencia nacional o extranjera, deberán cumplir con las normas y exigencias de calidad que rijan a tales artículos según su naturaleza, de conformidad a lo establecido en el decreto Nº 18, de 1982, del Ministerio de Salud, sobre Certificación de Calidad de Elementos de Protección Personal contra Riesgos Ocupacionales. Sin embargo, si no fuese posible aplicar dicho procedimiento, por la inexistencia de entidades certificadoras, el Instituto de Salud Pública de Chile podrá, transitoriamente, validar la certificación de origen."
    6.- Agréguese el siguiente inciso segundo al artículo 55:
    "Los límites de tolerancia biológica así como los límites permisibles para agentes químicos y físicos deberán ser revisados cada 5 años."
    7.- Reemplácese el artículo 57 por el siguiente:

    "Artículo 57.- En el caso en que una medición representativa de las concentraciones de sustancias contaminantes existentes en el ambiente de trabajo o de la exposición a agentes físicos, demuestre que han sido sobrepasados los valores que se establecen como límites permisibles, el empleador deberá iniciar de inmediato las acciones necesarias para controlar el riesgo en su origen.
    Si no es factible implementar la o las medidas preventivas en su totalidad, el empleador deberá proteger al trabajador del riesgo residual entregándole la protección personal de acuerdo a lo establecido en el artículo 53 del presente reglamento.
    En cualquier caso, el empleador será responsable de evitar que los trabajadores realicen su trabajo en condiciones de riesgo para su salud."
    8.- En el artículo 58, reemplácese el punto final por un punto seguido y agréguese, a continuación, la siguiente frase:
    "Sin embargo, deberá considerarse que la disponibilidad real de oxígeno depende de la presión parcial de esta sustancia."

    9.- A continuación del artículo 58, agréguese el siguiente artículo nuevo:
    "Artículo 58 bis.- Toda actividad que implique corte, desbaste, torneado, pulido, perforación, tallado y, en general, fracturamiento de materiales, productos o elementos que contengan sílice, deberá realizarse aplicando humedad a la operación u otro método de control si no es factible la humectación".
    10.- En el artículo 59, letra a), reemplácese la expresión "48 horas semanales" por "45 horas semanales".
    11.- Reemplácese la tabla relativa a los Límites Permisibles Absolutos, contenida en el artículo 61, por la siguiente:

    .
     
    12.- Reemplácese el artículo 62 por el siguiente:

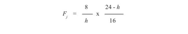
    "Artículo 62.- Cuando la jornada de trabajo sobrepase las 8 horas diarias, el efecto de mayor dosis de tóxico que recibe el trabajador unida a la reducción del período de recuperación durante el descanso, se compensará multiplicando los límites permisibles ponderados del artículo 66 por el factor de reducción "Fj" que resulte de la aplicación de la fórmula siguiente, en que "h" será el número de horas trabajadas diarias:

    .
     
    Para una jornada de 8 horas diarias, con un total superior a 45 horas semanales y hasta 48 horas semanales, se utilizará Fj = 0,90
    El factor "Fj" deberá expresarse con dos decimales, elevando el segundo de éstos al valor superior si el tercer decimal es igual o superior a cinco y despreciando el tercer decimal si fuere inferior a cinco. No deberán efectuarse aproximaciones parciales".
    13.-  Agréguese el siguiente inciso segundo al artículo 63:
    "El factor "Fa" deberá expresarse con dos decimales, elevando el segundo de éstos al valor superior si el tercer decimal es igual o superior a cinco y despreciando el tercer decimal si fuere inferior a cinco".
    14.-  Reemplácese el artículo 64 por el siguiente:

    "Artículo 64.- En lugares de trabajo en altura y con jornada diaria mayor a 8 horas se corregirá el límite permisible ponderado multiplicándolo sucesivamente por cada uno de los factores definidos en los artículos 62 y 63, respectivamente. Se utilizará un Fj = 0,90 para la condición establecida en el inciso segundo del artículo 62 precedente. Los límites permisibles temporales y absolutos se ajustarán aplicando solamente el factor "Fa" del artículo 63".
    15.- Reemplácese la tabla relativa a los Límites Permisibles Ponderados y Límites Permisibles Temporales, contenida en el artículo 66, por la siguiente:
     
    .
    .
    .
    .
    .
     
    16.- Reemplácese la tabla relativa a los Límites de Tolerancia Biológica, contenida en el artículo 113, por la siguiente:
     
    .
    .
     
    *Previo a la toma de muestra debe hacerse una encuesta sobre ingesta del trabajador de alimentos o fármacos que puedan incidir en el resultado de la misma.
     
    17.- Reemplácese la letra d) del artículo 120 por la siguiente:
    "d) Disponer de la amplitud necesaria que evite el hacinamiento procurando, por cada trabajador, un volumen mínimo de 10 m³".
    18.- Intercálese entre el inciso primero y el segundo del artículo 120 el siguiente inciso, pasando el actual inciso segundo a ser inciso tercero:
    "Los campamentos, respecto de los baños y de su emplazamiento, deberán cumplir con lo dispuesto en los incisos cuarto y quinto del artículo 9 del presente reglamento".
    19.- En el artículo 120, actual inciso segundo, suprímase la frase que viene a continuación del punto seguido.


    Artículo 2º.- El presente decreto entrará en vigencia 90 días después de su publicación en el Diario Oficial.
     
    Anótese, tómese razón y publíquese.- MICHELLE BACHELET JERIA, Presidenta de la República.- Helia Molina Milman, Ministra de Salud.
    Transcribo para su conocimiento decreto afecto Nº 123 de 03-07-2014.- Saluda atentamente a Ud., Pedro Crocco Ábalos, Subsecretario de Salud Pública (S).