INICIA PROCEDIMIENTO DE INVALIDACIÓN
Núm. 699 exento.- Curicó, 4 de febrero de 2022.
Vistos:
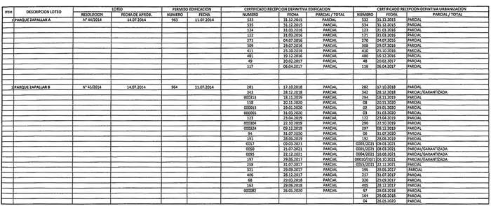
1.- El oficio Nº 1257, de fecha 01.12.2021, de la Dirección de Obras Municipales, que solicita decretar la invalidación de las Resoluciones, Permiso de Edificación, Recepciones Definitivas de Edificación, Recepciones Definitivas de Urbanización, de los Loteos Parque Zapallar "A" y Parque Zapallar "B".
2.- El oficio Nº 0070, de fecha 26.01.2021, de la Dirección de Obras Municipales, que ratifica y complementa al oficio Nº 1257, de fecha 01.12.2021.
3.- La Disposición de Alcaldía, de fecha 26.01.2022.
4.- Lo establecido en la resolución Nº 7, de fecha 26.03.2019, que sustituye a la resolución 1.600, de 2008, que fija Normas sobre Exención del Trámite de Toma de Razón en materias que indican, todas de la Contraloría General de la República.
5.- El decreto con fuerza de ley Nº 458, Ley General de Urbanismo y Construcciones.
6.- El decreto supremo Nº 47, Ordenanza General de la Ley de Urbanismo y Construcciones.
7.- Plan Regulador de la comuna de Curicó.
8.- El decreto 100, que Fija el Texto Refundido, Coordinado y Sistematizado de la Constitución Política de la República de Chile.
9.- La ley 10.336, de la Ley de Organización y Atribuciones de la Contraloría General de la República.
10.- Lo dispuesto en la Ley Nº 19.880, que Establece Bases de los Procedimientos Administrativos que rigen los actos de los órganos de la Administración del Estado.
11.- Las facultades que me confiere la Ley Orgánica Constitucional de Municipalidades Nº 18.695, de 1988, y sus posteriores modificaciones.
12.- La Jurisprudencia administrativa y judicial emanada de la Contraloría General de la República y de los Tribunales de Justicia, respectivamente.
Considerando:
Que en las zonas donde se encuentran emplazados los Proyectos de Loteos denominados Loteo DFL2 Parque de Zapallar-A y Loteo DFL2 Parque de Zapallar-B, ubicados en el Fundo Santa Teresita Lote A, Avda. Ángel Lagos s/n y Fundo Santa Teresita Lote B, Avda. Ángel Lagos s/n, el actual Plan Regulador Comunal Vigente, contempla de acuerdo a plano cartográfico georreferenciado los trazados de las calles Proyectadas Nºs. 21 y 22, como así también las zonas de áreas verdes.
Decreto:
1.- Iníciese Procedimiento de Invalidación de las Resoluciones, Permisos de Edificación, Recepciones Definitivas de Edificación, Recepciones Definitivas de Urbanización de las Resoluciones de listado adjunto, a nombre de Galilea S.A. Ingeniería y Construcción, RUT 94.636.000-7, correspondientes a los Conjuntos Habitacionales denominados Parque Zapallar "A" y Parque Zapallar "B", ubicados en el Fundo Santa Teresita Lote A, Avda. Ángel Lagos s/n y Fundo Santa Teresita Lote B, Avda. Ángel Lagos s/n, de la comuna de Curicó, Roles de Avalúo Nº 8104-25 y Nº 8104-26.
2.- Notifíquese, ya sea personalmente, o por medio de carta certificada, por la Dirección de Obras Municipales, el contenido del presente decreto alcaldicio, a Galilea S.A. Ingeniería y Construcción, RUT 94.636.000-7, con domicilio en Dos Norte Nº 965, Talca, para que formulen ante la Dirección de Obras Municipales las alegaciones, reclamaciones o impugnaciones que consideren procedentes en defensa de sus intereses, si las hubiere.
3.- Publíquese, además por la Dirección de Obras Municipales, el presente decreto alcaldicio, a través de una inserción en el Diario Oficial, con la finalidad de que los demás interesados conozcan el inicio del procedimiento de invalidación, atendido a lo dispuesto en el artículo 48 de la ley Nº 19.880, que establece bases de los Procedimientos Administrativos que rigen los Actos de los Órganos de la Administración del Estado, y que en el plazo de 10 días hábiles contados desde la respectiva publicación, formulen ante la Dirección de Obras Municipales las alegaciones, reclamaciones o impugnaciones que consideren procedentes en defensa de sus intereses.
Anótese y comuníquese.- David Muñoz Ramírez, Alcalde (S).- Mariela Baeza Gutiérrez, Secretaria Municipal (S).

CITACIÓN
El Director de Obras de la Municipalidad de Curicó, que suscribe, tiene el agrado de invitar a Ud. a Audiencia de Invalidación, a celebrarse en dependencias de la Dirección de Obras Municipales, calle Estado Nº 279, de la ciudad de Curicó, según el siguiente detalle:
- Audiencia: día miércoles 16 de marzo de 2022, a las 11:00 Hrs., a objeto de formular las alegaciones, reclamaciones o impugnaciones que considere procedentes en defensa de sus intereses de acuerdo a decreto exento Nº 699, de fecha 04.02.2022, respecto de Invalidación de: Resoluciones, Permisos de Edificación, Recepciones Definitivas de Edificación, Recepciones Definitivas de Urbanización, de listado adjunto a dicho decreto, emitidos por la Dirección de Obras de la Municipalidad de Curicó, a nombre de Galilea S.A. Ingeniería y Construcción, RUT 94.636.000-7, correspondientes a los Conjuntos Habitacionales denominados Parque Zapallar "A" y a Parque Zapallar "B", ubicados en el Fundo Santa Teresita Lote A, Avda. Ángel Lago s/n y Fundo Santa Teresita Lote B, Avda. Ángel Lago s/n, de la comuna de Curicó, respectivamente, Roles de Avalúo Nº 8104-25 y Nº 8104-26.
De acuerdo a lo anterior, se envía una copia del decreto exento Nº 699, de fecha 04.02.2022, dándose así por notificado del referido documento.
Sin otro particular, saluda atentamente.- Thelmo Patricio Mora Quiñones, Director de Obras Municipales.