FIJA FÓRMULAS TARIFARIAS DE LOS SERVICIOS DE PRODUCCIÓN Y DISTRIBUCIÓN DE AGUA POTABLE Y RECOLECCIÓN Y DISPOSICIÓN DE AGUAS SERVIDAS PARA LA EMPRESA AGUAS PATAGONIA DE AYSÉN S.A.
   
    Núm. 66.- Santiago, 14 de agosto de 2023.
   
    Vistos:
   
    1.- El DFL N° 70, de 1988, del Ministerio de Obras Públicas, Ley de Tarifas de Servicios Sanitarios, en adelante e indistintamente, como "DFL MOP N° 70/88";
    2.- La Ley N° 18.902, Orgánica de la Superintendencia de Servicios Sanitarios, en adelante, e indistintamente, la "Superintendencia" o "SISS";
    3.- El decreto supremo N° 453, de 12 de diciembre de 1989, del Ministerio de Economía, Fomento y Reconstrucción, que contiene el reglamento de la Ley de Tarifas de Servicios Sanitarios, en adelante e indistintamente, el "Reglamento";
    4.- Los artículos 89° y 100° del decreto supremo N° 1.199, de 2004, del Ministerio de Obras Públicas, en adelante e indistintamente, "DS MOP N° 1.199/04";
    5.- El decreto supremo N° 385, de 19 de julio de 2000, del Ministerio de Economía, Fomento y Reconstrucción, que aprueba Reglamento para designación y funcionamiento de las Comisiones de Expertos establecidas en el artículo 10° del DFL MOP N° 70/88;
    6.- El decreto N° 663, de 30 de junio de 2003, del Ministerio de Obras Públicas, publicado el 16 de agosto de 2003, que aprueba la transferencia del derecho de explotación de las concesiones de producción y distribución de agua potable y de recolección y disposición de aguas servidas de la Empresa de Servicios Sanitarios de Aysén S.A. (hoy Econssa Chile S.A.) a la empresa "Aguas Patagonia de Aysén S.A.";
    7.- El decreto N° 329, de 25 de octubre de 2006, del Ministerio de Economía, Fomento y Reconstrucción, publicado el 23 de noviembre del año 2006, que fija fórmulas tarifarias de los servicios de producción y distribución de agua potable y recolección y disposición de aguas servidas para Aguas Patagonia de Aysén S.A.;
    8.- Los decretos N° 149, de 11 de noviembre de 2011 y N° 209, de 1 de diciembre de 2016, publicados el 24 de enero del año 2012 y el 7 de enero del año 2017, respectivamente, del Ministerio de Economía, Fomento y Turismo, que prorrogaron la vigencia de las tarifas individualizadas en el visto precedente por dos quinquenios consecutivos;
    9.- El Acta de Intercambio de Estudios Tarifarios de fecha 28 de septiembre de 2021 y el documento de discrepancias de la empresa Aguas Patagonia de Aysén S.A. de 28 de octubre de 2021;
    10.- La resolución exenta SISS N° 2.633, de 12 de noviembre de 2021, que declara inadmisibles las discrepancias que no se ajustan a lo estipulado en el inciso 3°, del artículo 6° del Reglamento, rectificada por la resolución exenta SISS N° 2.715, de 18 de noviembre de 2021, y modificada mediante resolución exenta SISS N° 3.132, de 22 de diciembre de 2021;
    11.- Las resoluciones exentas SISS N° 2.647, de 15 de noviembre de 2021, N° 2.889, de 2 de diciembre de 2021, y N° 2.998, de fecha 14 de diciembre de 2021, mediante las cuales se convoca, designa integrantes y cita a reunión de constitución de la Comisión de Expertos dentro del Proceso Tarifario de Aguas Patagonia de Aysén S.A., periodo 2021-2026;
    12.- El dictamen de la Comisión de Expertos en el Proceso Tarifario de Aguas Patagonia de Aysén S.A., periodo 2021-2026, de fecha 5 de mayo de 2022;
    13.- La carta N° 210, de 17 de julio de 2020, de Aguas Patagonia de Aysén S.A. y la resolución exenta SISS N° 1.328, de 24 de julio de 2020, que suspende la tramitación del proceso tarifario y deja constancia de la renuncia a la reliquidación manifestada por el prestador en dicha carta;
    14.- El estudio tarifario realizado por la Superintendencia de Servicios Sanitarios, sus fundamentos, antecedentes de cálculo y resultados;
    15.- Estos antecedentes.
   
    Considerando:
   
    1. Que, en conformidad con el artículo 2° de la Ley de Tarifas de Servicios Sanitarios, la fijación de las fórmulas tarifarias de los servicios públicos sanitarios se realiza mediante decreto expedido por el Ministerio de Economía, Fomento y Turismo;
    2. Que, el procedimiento administrativo realizado para la fijación de las tarifas de los servicios públicos sanitarios de la empresa Aguas Patagonia de Aysén S.A., correspondientes al quinquenio 2021-2026, cumple con las etapas en la forma y plazos dispuestos por la mencionada Ley de Tarifas;
    3. Que, en dicho procedimiento, la empresa Aguas Patagonia de Aysén S.A. hizo valer, en tiempo y forma, las discrepancias a determinados parámetros del estudio tarifario de la Superintendencia de Servicios Sanitarios;
    4. Que, las discrepancias se resolvieron, legalmente, mediante dictamen de una comisión de expertos que se convocó, constituyó, sesionó y dirimió de conformidad con la Ley de Tarifas de Servicios Sanitarios y reglamentos pertinentes, según consta en dictamen de fecha 5 de mayo de 2022;
    5. Que, el pronunciamiento de la Comisión de Expertos fue informado en Acto Público de fecha 5 de mayo de 2022 y tiene legalmente el carácter de definitivo y obligatorio para ambas partes;
    6. Que, mediante resolución exenta SISS N° 1.328/20, se suspendió el referido procedimiento tarifario por tres meses y se dejó constancia de la carta N° 210/20 en que Aguas Patagonia de Aysén S.A. renuncia a ejercer el derecho previsto en el inciso tercero del artículo 12 de la Ley de Tarifas, sin perjuicio de su obligación de realizar los abonos correspondientes en caso de que estas reliquidaciones sean favorables a los usuarios;
    7. Que, la determinación de tarifas ha cumplido además con las bases, normas y actos de procedimientos establecidos en el DFL MOP N° 70/88 y su Reglamento.
   
    Decreto:


    Fíjanse las siguientes fórmulas tarifarias para calcular los precios máximos aplicables a los usuarios de los servicios de producción y distribución de agua potable y de recolección y disposición de aguas servidas para la empresa Aguas Patagonia de Aysén S.A., en adelante -e indistintamente- "el prestador", en los siguientes términos:
   
    1. DE LAS FÓRMULAS TARIFARIAS
   
    1.1. DEFINICIÓN DE LAS FÓRMULAS TARIFARIAS
   
    1.1.1.    Cargo fijo mensual por cliente ($/mes):
              CFCL= CF * IN1
   
    1.1.2.    Cargo variable por consumo de agua potable ($/m3): CVAP
              CVAP = CV1 * IN2 + CV2 * IN3
   
    1.1.3.    Cargo variable por servicio de alcantarillado de aguas servidas ($/m3): CVAL
              CVAL = CV3 * IN4 + CV4 * IN5
   
    1.2. DEFINICIÓN Y VALORES DE LOS CARGOS TARIFARIOS
   
    La definición de las variables incorporadas en las fórmulas tarifarias anteriores y sus respectivos valores, al 31 de diciembre de 2020, son los indicados a continuación:
   
    1.2.1. Grupo 1
   
    Comprende las localidades de Coyhaique, Puerto Ibáñez y Balmaceda.
   
   
    1.2.2. Grupo 2
   
    Comprende las localidades de Puerto Aysén, Chile Chico, Cochrane, Puerto Chacabuco y Puerto Cisnes.
   
   
    1.3. POLINOMIOS DE INDEXACIÓN
   
    Se definen IN1, IN2, IN3, IN4, IN5, IN6, IN7, IN8, IN9, IN10, IN11, IN12, IN13 e IN14 como los polinomios de indexación de tarifas. Se calculan utilizando la siguiente fórmula general:
   
    INi = ai * IIPC + bi * IIPBI + ci * IIPPI
   
    Donde:
   
    IIPC:    Índice del Índice de Precios al Consumidor,
              o el que lo reemplace, calculado como IPC/IPCo.
              en que IPC es el Índice de Precios al Consumidor,
              publicado por el INE e IPCo, el correspondiente
              a diciembre de 2020, IPCo = 106,74 (Base, anual
              2018=100).
   
    IIPBI:    Índice del Índice de Precios de Bienes Importados
              Sector Manufacturero, o el que lo reemplace,
              calculado como IPBI/IPBIo, en que IPBI es el
              Índice de Precios de Bienes Importados Sector
              Manufacturero, informado por el INE e IPBIo el
              correspondiente a diciembre de 2020,
              IPBIo = 140,00 (Base, noviembre 2007=100).
 
    IIPPI:    Índice del Índice de Precios de Productor Sector
              Industria Manufacturera, o el que lo reemplace,
              calculado como IPPI/IPPIo, en que IPPI es el
              Índice de Precios de Productor Sector Industria
              Manufacturera, publicado por el INE e IPPIo,
              el correspondiente a diciembre de 2020,
              IPPIo = 117,08 (Base, anual 2014=100).
   
    A continuación se indican los valores de ai, bi y ci, para el respectivo INi.
   
   
    2.  CONDICIONES DE APLICACIÓN DE LOS CARGOS TARIFARIOS DE LOS SERVICIOS DE AGUA POTABLE Y ALCANTARILLADO DE AGUAS SERVIDAS.
   
    Las tarifas a cobrar a los usuarios finales corresponderán a los valores de los cargos resultantes de aplicar las fórmulas respectivas, definidas en el punto 1.1 anterior, los que se sumarán en la boleta o factura cuando corresponda. Dichos cargos son los siguientes:
   
    2.1 CARGO FIJO MENSUAL POR CLIENTE
   
    Se cobrará CFCL pesos mensualmente por cliente, el que será independiente del consumo, incluso si no lo hubiere.
   
    2.2 CARGO VARIABLE POR SERVICIO DE AGUA POTABLE
   
    Se cobrará CVAP pesos por metro cúbico facturado.
    En las zonas abastecidas por sistemas de producción que incorporen la fluoruración del agua potable, el cargo CV1 aumentará de acuerdo con la siguiente tabla:
   
   
    Cuando para un grupo tarifario se construyan y entren en operación la totalidad de las obras de infraestructura de apoyo de la etapa de producción de agua potable, establecidas en el programa de desarrollo del prestador, el cargo CV1 aumentará de acuerdo con la siguiente tabla:
   
   
    Cuando para un grupo tarifario se construyan y entren en operación la totalidad de las obras adicionales del sistema de emergencia ante desastre en instalaciones de la etapa de producción de agua potable, comprometidas en el programa de desarrollo del prestador, el cargo CV1 aumentará de acuerdo con la siguiente tabla:
   
   
    Cuando para un grupo tarifario se construyan y entren en operación la totalidad de las obras de infraestructura de apoyo de la etapa de distribución de agua potable, establecidas en el programa de desarrollo del prestador, el cargo CV2 aumentará de acuerdo con la siguiente tabla:
   
   
    El cobro de estos incrementos tarifarios deberá ser autorizado previamente mediante resolución de la Superintendencia de Servicios Sanitarios.
   
    2.3 CARGO VARIABLE POR SERVICIO DE ALCANTARILLADO DE AGUAS SERVIDAS
   
    Se cobrará CVAL pesos por cada metro cúbico facturado de agua potable a los usuarios del servicio de alcantarillado de aguas servidas.
    Cuando para un grupo tarifario se construyan y entren en operación la totalidad de las obras de infraestructura de apoyo de la etapa de recolección de aguas servidas, establecidas en el programa de desarrollo del prestador, el cargo CV3 se incrementará de acuerdo con la siguiente tabla:
   
   
    Si en alguna localidad el prestador realiza el tratamiento de aguas servidas, el cargo CV4 se incrementará de acuerdo con la siguiente tabla:
   
   
    Si en alguna localidad el prestador cumple con lo dispuesto en el decreto supremo Segpres N° 4, de 2009, el cargo CV4 se incrementará de acuerdo con la siguiente tabla:
   
   
    Cuando para un grupo tarifario se construyan y entren a operar la totalidad de las obras de infraestructura de apoyo de la etapa de disposición de aguas servidas establecidas en el programa de desarrollo del prestador, el cargo CV4 se incrementará de acuerdo a la siguiente tabla:
   
   
    El cobro de estos incrementos deberá ser autorizado, previamente, mediante resolución de la Superintendencia de Servicios Sanitarios.
   
    2.4 TARIFAS POR FLÚOR
   
    Solo se podrá cobrar el incremento por fluoruración a que se refiere el punto 2.2 de este decreto previo informe del prestador a la Superintendencia de Servicios Sanitarios, en el que se adjunte la resolución por la cual se ordena la fluoruración y se fije la concentración de fluoruro en la red y sus condiciones de fiscalización y supervigilancia emitida por el organismo competente para tales fines.
   
    2.5 DESCUENTO POR REUSO DE AGUAS GRISES
   
    Cuando los usuarios dispongan de sistemas de reutilización de aguas grises, que cuenten con autorización de funcionamiento otorgada por la autoridad sanitaria regional respectiva en los términos establecidos en la ley N° 21.075, se aplicará el siguiente descuento al cargo de disposición de aguas servidas CV4, definido en el punto 1.2 de este decreto:
   
   
    El índice IN5 corresponde al definido en el punto 1.3 de este decreto.
   
    3. PRESTACIONES ASOCIADAS SUJETAS A FIJACIÓN TARIFARIA
   
    3.1. RESIDUOS LÍQUIDOS INDUSTRIALES (RILES)
   
    El valor por cada control directo de Riles será igual a la suma de los valores asociados a los conceptos de cantidad de horas de muestreo, tipos y cantidad de análisis efectuados y costo administrativo que se señalan más adelante. Los tipos de an\ufffdlisis a efectuar estarán en función de la actividad económica y al CIIU (Clasificación Industrial Internacional Uniforme) de la misma.
   
    3.1.1. Cobro por cada control directo
   
    Los valores y número máximo de muestras a cobrar al año se han determinado de acuerdo a la clasificación de las industrias según el nivel de contaminación del efluente evacuado, cuya definición se indica a continuación:
   
    Industrias con contaminación alta: aquellas que presentan en su efluente evacuado alguno de los siguientes parámetros: cadmio, cianuro, arsénico, cromo total, cromo hexavalente, mercurio, níquel. plomo y zinc.
    Industrias  con  contaminación  media:  aquellas  que  presentan  en  su  efluente  evacuado  alguno  de  los  siguientes  parámetros:  cobre,  boro,  aluminio,  manganeso,  aceites  y  grasas,  DBO, hidrocarburos, sulfatos, sulfuro y sólidos sedimentables.5
    Industrias con contaminación baja: aquellas que presentan en su efluente evacuado alguno de los siguientes parámetros: nitrógeno amoniacal, fósforo, sólidos suspendidos, PH, temperatura y poder espumógeno.
   
    Cantidad máxima de muestras a cobrar al año:
   
   
    Valores asociados a la cantidad de horas de muestreo:
   
   
    Valores por tipo de análisis:
   
   
    La definición de los grupos es la siguiente:
   
    Grupo 1:  Ph y temperatura.
    Grupo 2:  Sólidos suspendidos y sólidos sedimentables.
    Grupo 3:  DBO5, aceites y grasas, CN y B.
    Grupo 4:  Cd, Ni, Pb, Zn, Cu, Al, Mn,
              Cr total, Cr+6, P total, 
              Nitrógeno  amoniacal,  sulfuros y sulfatos.
    Grupo 5:  PE.
    Grupo 6:  As y Hg.
    Grupo 7:  HC.
   
    3.1.2. Valor por costos administrativos
   
   
    La identificación de las industrias a controlar en cada uno de estos subgrupos se realizará de acuerdo a las tablas N° 5 (Parámetros según actividad económica) y N° 6 (Descripción de actividades según código CIIU) del punto N° 6.2 de la Norma que establece el DS MOP N° 609/98. En el caso de que alguna de las industrias presente más de un tipo de contaminación o parámetros, la frecuencia de muestreo corresponderá al tipo mayor que se seleccione medir.
    Los valores en pesos, referidos a riles se indexarán por el índice IN6, indicado en el punto 1.3 de este decreto.
   
    3.2. CARGO POR GRIFOS
   
    Se les aplicará a las municipalidades que tengan grifos públicos contra incendios atendidos por el prestador un cargo mensual de:
   
    2.107 * IN7 pesos por grifo.
    El índice IN7 corresponde al definido en el punto 1.3 de este decreto.
   
    3.3. CARGO POR CORTE Y REPOSICIÓN
   
    El prestador podrá cobrar por concepto de corte y reposición del suministro a usuarios morosos los siguientes cargos en las instancias que se indican:
   
    Visita por Corte: Opera cuando el prestador, concurriendo al domicilio en mora, le concede último plazo de pago de a lo menos 3 días.
    1° Instancia: cargo por corte y reposición normal en llave de paso.
    2° Instancia: cargo por corte y reposición con retiro de pieza en llave de paso o alternativamente instalando un dispositivo especial de bloqueo de la llave de paso, o utilizando obturador u otro mecanismo.
   
    Las acciones de corte señaladas deben realizarse en forma secuencial, es decir, en el mismo orden que se indican, no debiendo realizarse acción alguna si no se ha efectuado la instancia previa.
    Los valores a cobrar serán: Cargo * IN8, de acuerdo a las siguientes tablas:
   
   
    El índice IN8 corresponde al definido en el punto 1.3 de este decreto.
   
    3.4. CARGO REVISIÓN DE PROYECTOS DE CONSTRUCCIÓN
   
    El prestador podrá cobrar por concepto de revisión de proyectos de construcción, correspondientes a la aplicación del artículo 46° de la Ley General de Servicios Sanitarios, los siguientes cargos:
   
   
    Donde I corresponde al monto total de la construcción del proyecto, en pesos.
    El índice IN9 corresponde al definido en el punto 1.3 de este decreto.
   
    3.5. CARGO VERIFICACIÓN DE MEDIDORES
   
    El prestador podrá cobrar por concepto de verificación de medidores el Cargo * IN10 de acuerdo a los siguientes valores:
   
   
    El índice IN10 corresponde al definido en el punto 1.3 de este decreto.
   
    4. APORTES DE FINANCIAMIENTO REEMBOLSABLES
   
    4.1. FÓRMULAS PARA COBRO DE APORTES DE FINANCIAMIENTO REEMBOLSABLES
   
    Los montos máximos a cobrar por concepto de aportes de financiamiento reembolsables por capacidad serán los siguientes:
   
    4.1.1.    Aportes de financiamiento reembolsables por
              capacidad de producción de agua potable
              ($/m3): AFRP.
              AFRP = CCP * IN11
    4.1.2.    Aportes de financiamiento reembolsables por
              capacidad de distribución de agua potable
              ($/m3): AFRD.
              AFRD = CCD * IN12
    4.1.3.    Aportes de financiamiento reembolsables por
              capacidad de recolección de aguas servidas
              ($/m3): AFRR.
              AFRR = CCR * IN13
    4.1.4.    Aportes de financiamiento reembolsables por
              capacidad de disposición de aguas servidas
              ($/m3): AFRT.
              AFRT = CCT * IN14
   
    4.2. DEFINICIÓN Y VALOR DE LOS COSTOS DE CAPACIDAD POR SISTEMA
   
    La definición de las variables incorporadas en las fórmulas anteriores y sus respectivos valores son los indicados a continuación:
   
    a) Grupo 1
   
   
    b) Grupo 2
   
   
    Los índices son IN11, IN12, IN13 e IN14 y corresponden a los definidos en el punto 1.3 de este decreto.
   
    4.3. COBRO DE LOS APORTES DE FINANCIAMIENTO REEMBOLSABLES
   
    Los aportes de financiamiento reembolsables a cobrar al interesado corresponderán al valor resultante de aplicar las fórmulas respectivas, definidas en el punto 4.1 de este decreto. Dichos aportes son los siguientes:
   
    4.3.1. Aportes de financiamiento reembolsables por capacidad de producción de agua potable ($/m3)
    Se podrá cobrar un aporte reembolsable de AFRP pesos por metro cúbico de capacidad de producción de agua potable.
    En caso de que los sistemas de producción incorporen el proceso de fluoruración de agua potable, el costo de capacidad del sistema de producción se incrementará en los valores indicados en la siguiente tabla, cuando se autorice el cobro de incremento por fluoruración conforme con lo dispuesto en el punto 2.4 de este decreto:
   
   
    El costo de capacidad del sistema de producción de agua potable se incrementará en los valores indicados en la siguiente tabla, cuando se construyan y entren a operar las obras de infraestructura de apoyo de la etapa de producción de agua potable para cada grupo, en conformidad con lo dispuesto en el punto 2.2 de este decreto:
   
   
      El costo de capacidad del sistema de producción de agua potable se incrementará en los valores indicados en la siguiente tabla cuando se verifique que el prestador cuenta con todo el equipamiento frente a eventos de desastres en instalaciones de la etapa de producción de agua potable, en conformidad con lo dispuesto en el punto 2.2 de este decreto:
   
   
    4.3.2. Aportes de financiamiento reembolsables por capacidad de distribución de agua potable ($/m3)
    Se podrá cobrar un aporte reembolsable de AFRD pesos por metro cúbico de capacidad de distribución de agua potable.
    El costo de capacidad del sistema de distribución de agua potable se incrementará en los valores indicados en la siguiente tabla, cuando se construyan y entren a operar las obras de infraestructura de apoyo de la etapa de distribución de agua potable para cada grupo, en conformidad con lo dispuesto en el punto 2.2 de este decreto:
   
   
    4.3.3. Aportes de financiamiento reembolsables por capacidad de recolección de aguas servidas ($/m3)
    Se podrá cobrar un aporte reembolsable de AFRR pesos por metro cúbico de capacidad de recolección de aguas servidas.
    El costo de capacidad del sistema de recolección de aguas servidas se incrementará en los valores indicados en la siguiente tabla, cuando se construyan y entren a operar las obras de infraestructura de apoyo de la etapa de recolección de aguas servidas para cada grupo, en conformidad con lo dispuesto en el punto 2.3 de este decreto:
   
   
    4.3.4. Aportes de financiamiento reembolsables por capacidad de disposición de aguas servidas ($/m3)
    Se podrá cobrar un aporte reembolsable de AFRT pesos por metro cúbico de capacidad de disposición de aguas servidas.
    El costo de capacidad del sistema de disposición de aguas servidas se incrementará en los valores indicados en la siguiente tabla, cuando se autorice el cobro de incremento por tratamiento, en conformidad con lo dispuesto en el punto 2.3 de este decreto:
   
   
    El costo de capacidad del sistema de disposición de aguas servidas se incrementará en los valores indicados en la siguiente tabla, cuando se autorice el cobro por cumplimiento con lo dispuesto en el decreto supremo Segpres N° 4, de 2009, en conformidad con lo dispuesto en el punto 2.3 de este decreto:
   
   
    El costo de capacidad del sistema de disposición de aguas servidas se incrementará en los valores indicados en la siguiente tabla, cuando se construyan y entren a operar las obras de infraestructura de apoyo de la etapa de disposición de aguas servidas para cada grupo, en conformidad con lo dispuesto en el punto 2.3 de este decreto:
   
   
    4.3.5. Valor máximo a cobrar por concepto de aportes de financiamiento reembolsables
    El valor máximo a cobrar por concepto de aportes de financiamiento reembolsables por capacidad será igual al producto de los metros cúbicos de capacidad, equivalentes a los consumos o descargas incurridos en el periodo de un año, por los montos de aporte establecidos en el punto 4.3 de este decreto.
    Para determinar dichos metros cúbicos se considerará el proyecto presentado por el interesado y aprobado por el prestador, en la forma que establece el Reglamento y las instrucciones dadas por la Superintendencia de Servicios Sanitarios. En todo caso, estos metros cúbicos no podrán exceder a los resultantes de considerar el consumo medio diario del proyecto del interesado.
   
    5. FACTURACIONES ESPECIALES
   
    5.1. FACTURACIÓN A USUARIOS DE LOS SERVICIOS DE ALCANTARILLADO DE AGUAS SERVIDAS QUE TENGAN FUENTE PROPIA DE AGUA
   
    La facturación a usuarios de los servicios de alcantarillado de aguas servidas que tengan fuente propia de agua se efectuará aplicando el cargo fijo cliente y demás fórmulas tarifarias aplicables a los servicios de recolección y disposición de aguas servidas que correspondan, establecidas en el punto 1.1 de este decreto, las que se aplicarán a los volúmenes que se determinen por cualquiera de las formas que considera el artículo 54° del Reglamento.
   
    5.2. FACTURACIÓN EN PERÍODOS DISTINTOS DE UN MES
   
    En caso de que la facturación se realice en períodos distintos de un mes, el cargo fijo cliente descrito en el punto 2.1 de este decreto se ponderará de acuerdo al número de meses contenidos en el periodo de facturación.
   
    5.3. FACTURACIÓN DEL CONSUMO DE AGUA POTABLE CORRESPONDIENTE A PILONES DE CARGO MUNICIPAL
   
    La facturación del consumo de agua potable correspondiente a pilones de cargo municipal, instalados para el abastecimiento de viviendas de campamentos de emergencia, se efectuará aplicando las fórmulas tarifarias establecidas en el punto 1.1 de este decreto, considerando un consumo estimado de acuerdo al que se determine por resolución de la Superintendencia y un cargo fijo cliente, CFCL, por pilón.
   
    5.4. FACTURACIÓN A EDIFICIOS Y CONJUNTOS RESIDENCIALES CON UN ARRANQUE DE AGUA POTABLE COMÚN
   
    La facturación a edificios y conjuntos residenciales con un arranque de agua potable común se efectuará aplicando las fórmulas tarifarias establecidas en el punto 1.1 de este decreto, en la forma que considera el artículo 108° del DS MOP N° 1.199/04 o, en su defecto, el artículo 55° del Reglamento, según sea el caso, considerando las instrucciones de la Superintendencia de Servicios Sanitarios.
   
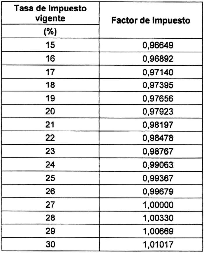
    6. FACTOR DE IMPUESTOS
   
    Los valores resultantes de la aplicación de los cargos anteriormente mencionados en este decreto  se  incrementarán en función de la tasa de tributación vigente que grava las utilidades de las sociedades anónimas abiertas, considerando los factores para las tasas de tributación que se indican a continuación (tasas intermedias se interpolarán linealmente):
   
   
    7. REAJUSTE DE TARIFAS
   
    Los valores que resulten de la aplicación del presente decreto se reajustarán de acuerdo a lo dispuesto en el artículo 11° del DFL MOP N° 70/88.
    La facturación de los consumos registrados se realizará aplicando las tarifas vigentes a la fecha de lectura de esos consumos.
   
    8. IMPUESTO AL VALOR AGREGADO
   
    Dichas tarifas se recargarán con el Impuesto al Valor Agregado (IVA), exceptuándose de este recargo los aportes de financiamiento reembolsables definidos en el punto 4.3 de este decreto.
   
    9. NIVELES DE CALIDAD PARA ATENCIONES DE EMERGENCIAS
   
    Los niveles de calidad para las atenciones de emergencias son los establecidos en el estudio tarifario, de acuerdo a lo prescrito en el artículo 122° del DS MOP N° 1.199/04.
   
    10. PERIODO DE VIGENCIA
   
    Las fórmulas tarifarias a que se refiere este decreto se aplicarán a los consumos que se determinen de las lecturas realizadas a contar del 28 de noviembre del año 2021, las que tendrán una vigencia de cinco años.
    Sin perjuicio de las reliquidaciones a las que haya lugar conforme a lo dispuesto en el inciso 2° del artículo 12° del DFL MOP N° 70/88, déjense sin efecto los siguientes decretos:
   
    . Decreto supremo del Ministerio de Economía, Fomento y Turismo N° 149, de 2011, a partir del 28 de noviembre del año 2021.
    . Decreto supremo del Ministerio de Economía, Fomento y Turismo N° 209, de 2016, a partir del 28 de noviembre del año 2021.


    Anótese, tómese razón y publíquese.- Por orden del Presidente de la República, Nicolás Grau Veloso, Ministro de Economía, Fomento y Turismo.
    Lo que transcribe para su conocimiento.- Saluda atentamente a Usted, Javiera Petersen Muga, Subsecretaria de Economía y Empresas de Menor Tamaño.