APRUEBA PLAN REGULADOR COMUNA DE LO PRADO
Lo Prado, 16 de diciembre de 2009.- La Alcaldía decretó hoy:
Núm. 2.550.- Vistos: Lo dispuesto en los artículos 41, 42, 43 y siguientes de la Ley General de Urbanismo y Construcciones; lo señalado en los artículos 2.1.10 y siguientes de la Ordenanza General de Urbanismo y Construcciones y lo establecido en los artículos 5 letras d) y k), 6, 12, 63 letra i) y 65 letra b) de la Ley Nº 18.695 – Orgánica Constitucional de Municipalidades; la Resolución Exenta Nº 636, de 11 de agosto de 2008 de la COREMA Región Metropolitana; el Memorándum Nº 256, de 6 de octubre de 2009 del Director de SECPLA que remite Oficio Ordinario Nº 142, de 13 de enero de 2009 del Secretario Regional Ministerial Metropolitano de Vivienda y Urbanismo; y el Memorándum Nº 303, de 10 de diciembre de 2009, del Director de SECPLA y el visto bueno del Alcalde puesto al margen del referido documento,
Considerando:
1º.- Que, en sesión extraordinaria Nº 1, del Concejo, celebrada con fecha 15 de enero de 2008, éste acordó iniciar el proceso de aprobación del Plan Regulador Comunal de Lo Prado, dándose inicio al proceso de tramitación del mismo, conforme lo dispuesto en el artículo 43 de la Ley General de Urbanismo y Construcciones;
2º.- Que, mediante Decreto Alcaldicio Nº 631, de 25 de marzo de 2008 se sancionó el acuerdo del Concejo, aprobando el inicio del proceso de aprobación del Plan Regulador Comunal y el cronograma de las actividades del referido proceso;
3º.- Que, consta de certificado de la Secretaria Municipal extendido el 7 de marzo de 2008 la emisión a través de Correos de Chile de cartas certificadas, especificando el listado de las organizaciones territoriales a las que les fue enviada carta informativa, ordenanza local y plano de zonificación y vialidad, dándose inicio a la etapa de información;
4º.- Que, se acredita mediante certificado de la Secretaria Municipal, de fecha 25 de marzo de 2008, los avisos de prensa publicados los días lunes 17 y lunes 24 de marzo de 2008 en el diario "Las Ultimas Noticias", informándose en ellos el inicio del trámite de aprobación del Plan Regulador Comunal de Lo Prado, lugar, fecha y hora de las Audiencias Públicas de Información que serían cuatro, una por territorio; lugar, fecha y horario de exposición al público; lugar, fecha y hora de la Audiencia de Consulta; y lugar, fecha y horario de la recepción de las observaciones por escrito;
5º.- Que, mediante certificados de la Secretaria Municipal, de fecha 31 de marzo de 2008 el primero, da cuenta de la realización de la Audiencia Pública de información celebrada en el Sector 1, en el Instituto Pedro Prado con fecha 29 de marzo de 2008; Certificado de fecha 07 de abril de 2008, da cuenta de la realización de la Audiencia Pública en el Sector 2, en la Escuela 400 Jaime Gómez García el día 5 de abril de 2008; certificado de fecha 14 de abril de 2008, dando cuenta de la realización de la Audiencia Pública en el Sector 3, en el Colegio Poeta Pablo Neruda, con fecha 12 de abril de 2008 y Certificado de fecha 28 de abril de 2008, dando cuenta de la realización de la Audiencia Pública en el Sector 4, en el Colegio Gladys Valenzuela, efectuada el 19 de abril de 2008.
6º.- Que, consta de Copia certificada por la Secretaria Municipal, de fecha 23 de septiembre de 2008, que se realizó con fecha 06 de mayo de 2008 en el Casino Municipal, en San Pablo Nº5959, la Tercera Sesión Ordinaria del Consejo Económico y Social Comunal (CESCO) en que se informó acerca del Plan Regulador Comunal, en trámite de aprobación.
7º.- Que, mediante certificado de la Secretaria Municipal, de fecha 23 de septiembre de 2008, se indica que se expuso a la comunidad de Lo Prado los documentos del Plan Regulador Comunal entre el 07 de mayo y 09 de junio de 2008, ambas fechas inclusive, en el frontis del municipio en Av. San Pablo Nº 5959. Además se certifica que hubo una exposición itinerante entre el 07 y 13 de mayo en el consultorio Pablo Neruda; entre el 14 y el 20 de mayo en la sede de la Junta de Vecinos Nº19, entre el 22 y el 27 de mayo en el Consultorio Yazigi; entre 28 de mayo y el 03 de junio en la sede de la Junta de Vecinos Nº7 y entre el 04 y 10 de junio en la sede de la Junta de Vecinos Nº5.
8º.- Que, mediante copia autorizada por la Secretaria Municipal, de fecha 22 de septiembre de 2008, consta que la Memoria Explicativa, Ordenanza Local, Plano PRC-LP-01 Zonificación Usos de Suelo, Plano PRC-LP-02 Infraestructura de Transporte, Estudio de Equipamiento Comunal, Estudio de Areas Verdes y Espacio Público, Estudio de Riesgo y Protección Ambiental, Estudio de Factibilidad de Agua Potable y Aguas Servidas, Estudio de Aguas Lluvias, Estudio de Capacidad Vial y Resumen Ejecutivo, fueron expuestos al público (1 original y 1 copia).
9º.- Que, a través de certificado de la Secretaria Municipal, de fecha 25 de septiembre de 2008, se indica que durante los meses de mayo y de junio de 2008 se informó a la comunidad acerca de la realización de la Audiencia Pública de Consultas en la Radio Comunal de Lo Prado y a través de pasacalles, y folletos informativos, dándose cuenta del inicio del período de observaciones por escrito, abierto entre el 14 y 28 de junio ambas fechas inclusive y se certifica, además, que la Audiencia Pública de Consultas se realizó el día 14 de junio de 2008.
10º.- Que, según certificado de la Secretaria Municipal, de fecha 23 de septiembre de 2008, se acredita que acorde los registros de la Oficina de Partes de la Municipalidad de Lo Prado se constató el ingreso de un total de 730 cartas de observaciones, distribuidas de la siguiente forma: 1 carta el 17 de junio, 715 carta el 18 de junio, 1 carta el 25 de junio, 4 cartas el 26 de junio, 1 carta el 27 de junio y 8 cartas el 28 de junio todas del año 2008.
11º.- Que, consta a su vez dentro de la Oficina de Partes del municipio la respuesta que el municipio hiciera a cada una de las cartas mencionadas precedentemente.
12º- Que, por certificado de la Secretaria Municipal, de fecha 23 de septiembre de 2008, se acredita la realización de la cuarta Sesión Ordinaria del CESCO, con fecha 1º de julio de 2008.
13º.- Que, se acredita, la celebración de la Audiencia Pública de Consulta con fecha 14 de junio de 2008, mediante su respectiva Acta.
14º.- Que, mediante la Resolución Exenta Nº 636, de 11 de agosto de 2008 de la COREMA Región Metropolitana se dispone la calificación ambiental favorable, del Plan Regulador en trámite de aprobación.
15º Que, por acuerdos Nºs.089, Nº90, Nº91, Nº92, Nº93, Nº94, Nº95, Nº96 y Nº97 adoptados en la Sesión Ordinaria Nº27 de 19 de agosto de 2008 y acuerdos Nºs. 102, 103, 104, 105, 106, 107, 108 y 109 adoptados en la Sesión Ordinaria Nº28 de fecha 26 de agosto de 2008, acuerdos que a su vez fueron rectificados por el Acuerdo Nº148 de sesión del 25 de noviembre de 2008, consta la aprobación unánime del Concejo del Plan Regulador Comunal de Lo Prado y de la Ordenanza del Plan Regulador Comunal.
16º.- Que, el Decreto Alcaldicio Nº 2103 de fecha 23 de septiembre de 2008, rectificado por el Decreto Alcaldicio Nº 2750 de fecha 31 de diciembre de 2008, sanciona la aprobación del Plan Regulador Comunal de Lo Prado por parte del Alcalde y del Concejo.
17º.- Que, por Ordinario Nº 2125, de 25 de septiembre de 2008 el Alcalde remite los antecedentes correspondientes y solicita la aprobación a la Secretaría Regional Ministerial de Vivienda; y por Ordinario Nº 2573, de 11 de diciembre de 2008 el Alcalde responde a las observaciones formuladas por la SEREMI de Vivienda y por Oficio Nº 060, de 13 de enero de 2009 se remite el Ordinario Nº 56, de 8 de enero de 2009 de CONAMA RM mediante el cual se señala que el nuevo Plan Regulador corregido según observaciones no requiere reingreso al sistema de evaluación de impacto ambiental.
18º.- Que a través del Ord. Nº56 de fecha 08 de enero 2009, de la Corporación Nacional del Medio Ambiente (CONAMA) Región Metropolitana emite pronunciamiento respecto a que el proyecto Plan Regulador Comunal de Lo Prado, no debe ingresar nuevamente al Sistema de Evaluación de Impacto Ambiental de forma obligatoria, a pesar de tener modificaciones producto del proceso de participación ciudadana realizado en la etapa de aprobación municipal.
19º.- Que consta de todos los antecedentes tenidos a la vista que se han cumplido todos los trámites y formalidades que tanto la Ley General de Urbanismo y Construcciones como la Ordenanza General de Urbanismo contemplan en la tramitación del Plan Regulador y considerando especialmente lo señalado en el Oficio Nº 142, de 13 de enero de 2009 de la Secretaría Regional Ministerial de Vivienda y Urbanismo en que informa favorablemente el proyecto de Plan Regulador de la comuna de Lo Prado.
Decreto:
1.-APRUÉBASE EL PLAN REGULADOR COMUNAL DE LO PRADO Y SUS DOCUMENTOS ANEXOS:
- MEMORIA EXPLICATIVA
- ANEXO MEMORIA EXPLICATIVA
- ORDENANZA LOCAL
- ESTUDIOS COMPLEMENTARIOS Y DE ESPECIALIDAD.
- RESUMEN EJECUTIVO
- PLANOS
- PRC LP 01 ZONIFICACION USO DE SUELO
- RC LP O2 INFRAESTRUCTURA DE TRANSPORTE
. Firmados y timbrados por el Alcalde, Secretaria Municipal y Asesor Urbanista, además de las firmas del SEREMI MINVU RM y del Jefe del Departamento de Desarrollo Urbano e Infraestructura de esa Secretaría.
- Planos poliéster PRC LP 01 ZONIFICACION USO DE SUELO Y PRC LP 02 INFRAESTRUCTURA DE TRANSPORTE Firmados y timbrados por el Alcalde, Secretaria Municipal y Asesor Urbanista, además de las firmas del SEREMI MINVU RM y del Jefe del Departamento de Desarrollo Urbano e Infraestructura de esa Secretaría.
- Planos PRC LP 01 ZONIFICACION USO DE SUELO Y PRC LP 02 INFRAESTRUCTURA DE TRANSPORTE, color y monocromático, firmados y timbrados por el Alcalde, Secretaria Municipal y Asesor Urbanista, además de las firmas del SEREMI MINVU RM y del Jefe del Departamento de Desarrollo Urbano e Infraestructura de esa Secretaría.
2.- APRUÉBASE LA SIGUIENTE ORDENANZA LOCAL PLAN REGULADOR DE LA COMUNA DE LO PRADO:
CAPÍTULO I.
Disposiciones Generales.
Artículo 1. Disposiciones de la Ordenanza Local. La presente Ordenanza Local establece las normas referentes a límite urbano, usos de suelo, condiciones de edificación y vialidad estructurante que regirán dentro del área urbana de la comuna de Lo Prado.
El límite urbano y los usos de suelo están graficados en plano PRC - LP – 01, Zonificación Usos de Suelo, en tanto, límite urbano y red vial estructurante se grafican en el plano PRC - LP – 02, Infraestructura de Transporte, ambos elaborados a escala 1: 5.000.
De acuerdo al Artículo 42 de la Ley General de Urbanismo y Construcciones (LGUC), y al Artículo 2.1.10 de la Ordenanza General de Urbanismo y Construcciones (OGUC), la presente Ordenanza Local, junto con los Planos, la Memoria Explicativa conteniendo el Anexo con los estudios complementarios, y el Estudio de Factibilidad Sanitaria (Agua Potable, Alcantarillado y Aguas Lluvias), conforman un sólo cuerpo legal: Plan Regulador Comunal, siendo esta Ordenanza su cuerpo normativo, debiendo interpretarse
conjunta y armónicamente para su correcta aplicación.
Artículo 2. Área Territorial Comunal. El área territorial normada por la presente Ordenanza Local es el Área Urbana de la Comuna de Lo Prado, que se inscribe en la figura poligonal cerrada que constituye el Límite Urbano de la Comuna de Lo Prado que coincide con el límite comunal. Esta delimitación se precisa en el D.F.L. N° 3-18.715, publicado en el Diario Oficial del 5 de Diciembre de 1989.
Conforme a lo dispuesto en el Artículo 2.1.10 de la Ordenanza General de Urbanismo y Construcciones, la descripción de los puntos y tramos del territorio comunal se indican en el Artículo 6 de la presente Ordenanza Local y se grafican en Planos: PRC - LP – 01 Zonificación Usos de Suelo y PRC - LP – 02 Infraestructura de Transporte.
Artículo 3. Disposiciones Legales. Todas aquellas materias reglamentadas o no por las disposiciones de la presente Ordenanza Local y que competen al Plan Regulador Comunal, se rigen por la Ley General de Urbanismo y Construcciones, por la Ordenanza General de Urbanismo y Construcciones, por el Plan Regulador Metropolitano de Santiago (PRMS) y por las disposiciones legales y reglamentarias vigentes sobre la materia, incluyendo las Áreas de Restricción y las normas referidas a infraestructura, aeropuertos, cursos de agua, medio ambiente natural u otros elementos significativos, etc.
Artículo 4. Responsabilidades Administrativas. De conformidad con el Artículo 9 de la Ley General de Urbanismo y Construcciones, en relación a las funciones del Director de Obras Municipales, y al Artículo 24 de la Ley 18.695 Orgánica Constitucional de Municipalidades, corresponderá al Director de Obras Municipales de Lo Prado la responsabilidad en la aplicación de las normas de la presente Ordenanza Local, y a la Secretaría Regional Ministerial de Vivienda y Urbanismo de la Región Metropolitana la supervigilancia de su cumplimiento y la interpretación técnica de sus normas.
Asimismo, al Asesor Urbanista le corresponderá cumplir las funciones que otorga el Artículo 10 de la Ley General de Urbanismo y Construcciones y el Artículo 21 de la Ley 18.695 Orgánica Constitucional de Municipalidades.
Artículo 5. Sanciones. El incumplimiento de las normas de la presente Ordenanza Local será sancionado de acuerdo a lo dispuesto en los Artículos 20 al 24 de la Ley General de Urbanismo y Construcciones.
CAPÍTULO II.
Descripción del Límite Urbano.
Artículo 6. Límite Urbano Área Territorial Comunal. El área territorial de aplicación de la presente Ordenanza Local es la enunciada en el Artículo 2 anterior y que aparece graficada en Planos: PRC - LP - 01 Zonificación Usos de Suelo y PRC - LP – 02 Infraestructura de Transporte, mediante el polígono cuyos puntos y tramos se describen a continuación:
Descripción del Límite Urbano de Lo Prado

CAPÍTULO III.
Normas Generales sobre Usos de Suelo, Subdivisión,
Ocupación del Suelo y Edificación.
Párrafo 1. Normas Generales sobre Usos de Suelo.
Artículo 7. Usos de Suelo. Para la fijación y aplicación de los usos de suelo contemplados en la presente Ordenanza Local, éstos se clasificarán según los seis tipos indicados en el Artículo 2.1.24 al 2.1.36 de la Ordenanza General de Urbanismo y Construcciones y son los que se indican a continuación.
- Residencial
- Equipamiento
- Actividades Productivas
- Infraestructura
- Espacio Público
- Área Verde
Los usos de suelo permitidos en las distintas zonas del Plan Regulador Comunal de Lo Prado son los señalados en el Artículo 31 de la presente Ordenanza Local.
Los cambios de destino de la edificación existente sólo podrán ser autorizados previo cumplimiento de lo dispuesto en los Artículos 116 Bis C y 145 de la Ley General de Urbanismo y Construcciones acerca de la materia.
Dentro de los usos de suelo indicados en el Artículo 2.1.24 de la Ordenanza General de Urbanismo y Construcciones, se permitirá la instalación de antenas en terrenos privados cuya superficie sea superior a 2.000 m2, excepto en terrenos destinados a uso exclusivo de equipamiento, debiendo cumplir en todo caso con las consideraciones establecidas en el Artículo 2.6.3 de la Ordenanza General de Urbanismo y Construcciones y toda disposición que le sean aplicables como las indicadas en el Artículo 5.1.2 de la referida Ordenanza General de Urbanismo y Construcciones sobre permisos de edificación, y las que contemple la normativa al momento del permiso.
Artículo 8. Otorgamiento de Patentes Municipales. Se realizará de acuerdo a lo establecido por el Artículo 58 de la Ley General de Urbanismo y Construcciones sobre otorgamiento de patentes municipales concordantes con los usos de suelo que establece el Plan Regulador.
Artículo 9. Destinos Prohibidos Existentes. Los usos de suelo que no estén en conformidad con el texto de la presente Ordenanza Local se atendrán a lo establecido en el Artículo 62 de la Ley General de Urbanismo y Construcciones relativo a aquellos terrenos cuyos usos de suelo no sean concordantes con los instrumentos de planificación.
Artículo 10. Clasificación del Equipamiento. La regulación del tipo de uso de suelo denominado Equipamiento deberá atenerse a las características y clasificación en clases y escalas contenidas en los Artículos 2.1.32 al 2.1.36 de la Ordenanza General de Urbanismo y Construcciones.
Las escalas se dividirán de acuerdo a la carga de ocupación y cantidad de estacionamientos requeridos, y su ubicación estará condicionada a la categoría de la vía que enfrentan y por la cual acceden, distinguiéndose las siguientes cuatro escalas: equipamiento mayor, mediano, menor y básico, que se encuentran definidas en el Artículo 2.1.36 de la Ordenanza General de Urbanismo y Construcciones.
Para verificar que una actividad corresponde al tipo de uso de suelo equipamiento, regirán las siguientes disposiciones y restricciones en relación a sus clasificaciones y prohibiciones.
a) Actividad Comercial. La actividad comercial será clasificada como Equipamiento de clase Comercio. Las Estaciones de Servicio Automotor y Venta de Combustibles Líquidos, así como las Playas y Edificios de Estacionamientos, serán clasificados como Equipamiento de clase Comercio.
La actividad comercial no se clasificará como Equipamiento de clase Comercio si incluye, en su local, un área superior al 50% de la superficie construida destinada al bodegaje de productos. En dicho caso será clasificada como uso Actividades Productivas, en tanto Instalación de Impacto Similar al Industrial.
b) Equipamiento de Servicios Públicos o Profesionales. La actividad mayoritaria de prestación de servicios, será clasificada como tipo Equipamiento de clase Servicios Públicos o Profesionales.
La actividad destinada a la prestación de servicios en Oficinas, no se clasificará como Equipamiento de clase Servicios si es que incluye, en su local, un área superior al 50% de su superficie destinada al bodegaje de productos. En dicho caso será clasificada como uso Actividades Productivas, en tanto Instalación de Impacto Similar al Industrial.
c) Servicio Artesanal. Se incluyen actividades destinadas a prestar servicios de artesanía y oficios menores, ejecutadas mediante un proceso predominantemente manual, en forma individual o por un máximo de cinco personas. Dentro de los servicios artesanales se consideran actividades tales como: copia de llaves, fotocopias, gasfitería, grabado, joyería, lavandería, moda y costura, amasandería, peluquería, relojería, taller de fotografía, sastrería, reparadora de bicicletas, de calzado, de ropa, de artículos electrónicos y de electrodomésticos y otros similares.
En caso que estas actividades incluyan ya sea: procesos de elaboración, cuenten con instalaciones o almacenamiento de productos que pudieran causar daño o molestia a personas o propiedades vecinas, serán clasificadas como Instalación de Impacto Similar al Industrial, sometiéndola a la misma normativa de emplazamiento, control de molestia y/o peligrosidad establecida para estos usos según las normas de los servicios de salud correspondientes.
d) Taller o Industria Artesanal. Corresponde a la actividad de micro o pequeñas empresas que desarrollan procesos de producción, procesamiento y/o transformación de productos finales, intermedios o materias primas, que no empleen más de 5 operarios incluyendo los aprendices y los miembros del núcleo familiar del contribuyente a cargo de su explotación, ejercidos en un local o taller y realizados preferentemente en forma manual. Esta actividad debe contar con calificación de inofensiva por parte de la Secretaría Regional Ministerial (SEREMI) de Salud.
Para que esta actividad pueda clasificarse como tipo de uso Equipamiento de la clase comercio o servicios según lo expresado en el Artículo 2.1.28 de la Ordenanza General de Urbanismo y Construcciones, además de atenerse a las disposiciones del presente artículo, deberá contar con autorización del Director de Obras Municipales cuando acredite que no producirá molestias al vecindario, autorización municipal respectiva, y calificación de inofensiva otorgada por Secretaría Regional Ministerial de Salud correspondiente. Su instalación puede ser complementaria con la vivienda o realizarse en un local independiente a la misma.
En caso que estas actividades incluyan ya sea: procesos de elaboración, cuenten con instalaciones o almacenamiento de productos que pudieran causar daño o molestia a personas o propiedades vecinas, serán clasificadas como Instalación de Impacto Similar al Industrial, sometiéndola a la misma normativa de emplazamiento, control de molestia y/o peligrosidad establecida para estos usos según las normas de la SEREMI Metropolitana de Salud y de la presente Ordenanza.
e) Venta de Combustibles. La actividad de venta de gas licuado de escala menor, de hasta 400 kilos, se clasificará como equipamiento de la clase comercio. Esta actividad se prohíbe en pasajes y deberá realizarse conforme a las disposiciones de la SEC, además de lo establecido en el artículo 7.1.3 del PRMS.
Cuando el área de almacenamiento supere el 50% de la superficie predial, esta actividad se clasificará como instalación de impacto similar al industrial, y deberá atenerse a las disposiciones establecidas en el Artículo 31, cuando ésta se permita en la zona respectiva.
Sólo se permitirá en edificación aislada sin adosamiento.
Artículo 11. Equipamientos Prohibidos. Además de las regulaciones establecidas por la Ordenanza General de Urbanismo y Construcciones para las escalas de equipamiento, en el territorio urbano de la comuna de Lo Prado se prohíben las actividades que se mencionan a continuación, salvo que estén expresamente permitidas en el Artículo 31 de la presente Ordenanza. Para efectos de definiciones de las vías, regirá lo indicado en el Artículo 2.3.2 de la Ordenanza General de Urbanismo y Construcciones.
a. Para toda la comuna, se prohíben los siguientes usos
De los equipamientos clase Comercio: mataderos, compra y venta de chatarra y desarmadurías.
De los equipamientos clase Salud: cementerios y crematorios.
De los equipamientos clase Seguridad: cárceles y bases militares.
b. Se prohíbe en las vías de Servicio, Locales y Pasajes los siguientes usos:
De los equipamientos clase Comercio: discotecas y plantas de revisión técnica.
c. Se prohíbe en las vías Locales y Pasajes los siguientes usos:
De los equipamientos clase Comercio: pubs y centros de servicio automotor.
d. Se prohíbe en Pasajes los siguientes usos:
De los equipamientos clase Científico: todos.
De los equipamientos clase Comercio: restaurantes, fuentes de soda y venta de gas.
De los equipamientos clase Culto y Cultura: toda actividad pública destinada al culto.
De los equipamientos clase Deporte: saunas y baños turcos.
De los equipamientos clase Educación: jardines infantiles y salas cuna.
De los equipamientos de clase Esparcimiento: juegos electrónicos y salones de pool.
Para las actividades descritas en los acápites b y c, que en función de las categorías de vías no estén expresamente prohibidas, no se permitirán adosamientos en sus edificaciones. Asimismo, tampoco se permitirá el adosamiento para las actividades de venta de gas, culto, juegos electrónicos y salones de pool, descritas en el acápite d.
Artículo 12. Actividades Complementarias a la Vivienda. Se regirán de acuerdo a lo señalado en los Artículos 2.1.25 y 2.1.26 de la Ordenanza General de Urbanismo y Construcciones.
Según se establece en el Artículo 2.1.26 de la Ordenanza General de Urbanismo y Construcciones, las viviendas podrán consultar el funcionamiento de pequeños comercios, industrias artesanales o el ejercicio de una actividad profesional, en tanto su principal destino subsista como habitacional, salvo que el Artículo 31 de la presente Ordenanza, defina porcentajes inferiores. Con todo, cuando las actividades complementarias a la vivienda sobrepasen la mitad de la superficie edificada de la misma, dichas actividades deberán cumplir con los usos de suelo permitidos por esta Ordenanza para la zona respectiva.
En viviendas emplazadas en terrenos de 80 m2 de superficie o menores, las actividades complementarias a que se refiere el presente Artículo se podrán desarrollar ocupando un máximo del 20% del total de la superficie edificada sobre dicho predio.
Artículo 13. Clasificación de Actividades Productivas. El tipo de uso Actividad Productiva comprenderá las actividades de Industria e Instalaciones de Impacto Similar al Industrial. La regulación del tipo de uso de suelo con destino Actividades Productivas deberá atenerse a lo establecido en el Artículo 2.1.28 de la Ordenanza General de Urbanismo y Construcciones, además de otras consideraciones normativas allí establecidas y las que indique la presente Ordenanza Local.
Los establecimientos destinados a actividades productivas e instalaciones de impacto similar al industrial como industrias, talleres y almacenamientos, se clasificarán según su rubro o giro de actividad para los efectos de la respectiva patente, y serán calificados caso a caso por la SEREMI Metropolitana de Salud, en consideración a los riesgos que su funcionamiento pueda causar a sus trabajadores, vecindario y comunidad. Esta clasificación se expresa en el artículo 4.14.2 de la Ordenanza General de Urbanismo y Construcciones.
Las actividades productivas calificadas como inofensivas por parte de la SEREMI Metropolitana de Salud, pueden instalarse en aquellas zonas del Plan Regulador Comunal en que este uso de suelo esté permitido.
Están absolutamente prohibidas, dentro del territorio comunal, las actividades calificadas como molestas, insalubres, contaminantes o peligrosas por parte de la SEREMI Metropolitana de Salud, así como también los botaderos de basuras y escombros, y el procesamiento de áridos.
La producción de ruidos, sean continuos o de impacto, y las trepidaciones generadas por fuentes fijas, ya sea en espacios abiertos o cerrados, como asimismo cualquier otro tipo de contaminación ambiental, deberá mitigarse de tal manera que no sobrepase los niveles máximos permisibles que señale el Ministerio de Salud y el Código Sanitario. Para efectos de las condiciones acústicas, las emisiones de ruido se atendrán a lo expresado en el Artículo 15 de la presente Ordenanza.
La clasificación en el tipo Actividades Productivas comprende las actividades de industria, y la clasificación en el tipo Instalaciones de Impacto Similar al Industrial considera las actividades de talleres, grandes depósitos y bodegas industriales.
Para los efectos de verificar que una actividad corresponde a las agrupaciones señaladas, regirán las siguientes disposiciones:
a) Industria.
La actividad industrial será la calificada como tal por el Ministerio de Salud a través de su Secretaría Regional Ministerial correspondiente, y comprende aquellas instalaciones que obedezcan a las definiciones de Edificio Industrial contenidas en el artículo 1.1.2 de la Ordenanza General de Urbanismo y Construcciones, cuyo funcionamiento sea diurno o nocturno. Por edificio industrial se entenderá cualquier instalación destinada a la elaboración y/o fabricación de productos.
b) Instalaciones de Impacto Similar al Industrial.
Taller. Definido por los artículos 1.1.2 y 2.1.28 de la Ordenanza General de Urbanismo y Construcciones, considerado como aquel edificio o parte de él destinado a trabajos manufacturados o artesanales, que puede contemplar artefactos o máquinas de apoyo a dichas labores. Se incluye en esta clasificación las panaderías o amasanderías que desempeñen actividades en horario nocturno, mecánica automotriz para la reparación y/o mantención de vehículos, desabolladura, mueblerías y tornerías, y todo aquel establecimiento que desarrolla actividades similares a la industria, como montaje y reparaciones.
Almacenamiento. Actividad en que se realiza el acopio o bodegaje de cualquier tipo de producto. Se incluyen en esta clasificación los terminales de distribución de mercaderías y agropecuarios, los predios destinados a actividades de venta de demolición de construcciones y los depósitos de vehículos de locomoción colectiva.
Artículo 14. Infraestructura. El tipo de uso Infraestructura comprende las edificaciones o instalaciones y las redes o trazados destinados a infraestructura de transporte, infraestructura sanitaria o infraestructura energética señalados en el Artículo 2.1.29 de la Ordenanza General de Urbanismo y Construcciones.
Las edificaciones e instalaciones que corresponden a este tipo de uso de suelo deberán cumplir con las exigencias sobre localización y usos de suelo, además de las normas de edificación señaladas en el Artículo 31 de la presente ordenanza local, sin perjuicio del cumplimiento de las normas de la Ordenanza General de Urbanismo y Construcciones, del Plan Regulador Metropolitano de Santiago, del presente Artículo.
Los Terminales Externos, definidos como el área ubicada en el recorrido de el o los servicios de locomoción colectiva urbana destinada a la detención temporal de vehículos, con el objeto de controlar y regular las frecuencias y cambio de personal, se regirán por las normas establecidas en el Título 4 de la Ordenanza General de Urbanismo y Construcciones, Capítulo 13, Terminales de Servicios de Locomoción Colectiva Urbana, artículos 4.13.1, al 4.13.10, y aquellas establecidas en el Manual Explicativo de Procedimientos en Materia de Terminales de Servicios de Locomoción Colectiva Urbana, del Ministerio de Transportes y Telecomunicaciones.
En la comuna de Lo Prado los Terminales Externos sólo podrán localizarse en predios que enfrenten vialidad de un ancho mínimo de 20m., con un coeficiente máximo de ocupación de suelo de 0,6 y de conformidad a lo dispuesto en el artículo 31 de la presente Ordenanza.
Las Estaciones de Intercambio Modal deberán cumplir con las exigencias sobre localización, usos de suelo y normas de edificación señaladas en el Artículo 31 de la presente ordenanza local, sin perjuicio del cumplimiento de las normas de la Ordenanza General de Urbanismo y Construcciones y del Plan Regulador Metropolitano de Santiago. Sin perjuicio de las normas de edificación que rigen para la zona en que se emplacen, deberán considerar para su localización que el predio debe enfrentar vialidad estructurante, las edificaciones serán aisladas y para mitigar su impacto sobre los predios vecinos considerarán una faja perimetral arborizada en todo el contorno de sus deslindes de 5 m de ancho.
Los proyectos de infraestructura deberán realizar, según corresponda, los estudios de impacto vial y ambiental respectivos.
Se encuentran prohibidos los siguientes tipos de uso de suelo infraestructura en el territorio comunal:
a) Rellenos sanitarios, vertederos.
b) Las calificadas por la SEREMI de Salud como molestas, contaminantes y/o peligrosas.
c) Las no indicadas como permitidas por el presente artículo y por el Artículo 31 de la presente Ordenanza.
Las plantas de transferencia de basura, mientras sean autorizadas por el PRMS deberán cumplir con toda la normativa vigente que las regule y además con las siguientes condiciones:
a) Plantas en zonas mixtas con actividades productivas y/o servicios inofensivos:
Superficie predial mínima: 10.000 m2
Franja de aislamiento: 20m de ancho en todo su perímetro, que contendrá pantallas verdes constituidas, a lo menos, por tres hileras de árboles.
Antejardín: 15 m.
Estacionamientos: deberá contemplar como mínimo 250 estacionamientos para camiones.
Accesos: deberán dar cumplimiento a la normativa vigente y a lo que señale el EISTU correspondiente.
Sus deslindes deberán distar a lo menos 2.000 m de los accesos a estaciones de metro.
Deberán ubicarse enfrentando vías expresas, prohibiéndose en las vías que siendo expresas contengan parques adyacentes a sistemas viales.
b) Plantas en subsuelo de Bienes Nacionales de Uso Público correspondiente a áreas verdes:
Sus accesos deberán efectuarse solo por vías expresas y sus deslindes deberán distar a lo menos 2.000 m de los accesos a estaciones de metro. En cualquier caso el municipio podrá o no otorgar la concesión municipal respectiva.
La altura máxima para aquellas instalaciones correspondientes a los usos de suelo del tipo Infraestructura, se regirá por lo dispuesto en el artículo 2.6.3 de la Ordenanza General de Urbanismo y Construcciones (rasante). Asimismo, estas instalaciones serán aisladas, se exigirá un distanciamiento mínimo de 5 m en todos sus deslindes, deberán incorporar una superficie conjunta arborizada y verde mínima de 10% del total del predio, distribuida en todo su perímetro. La transparencia mínima de los cierros perimetrales será de 70%.
No se permitirá, en los predios destinados a este uso, edificaciones u obstáculos que impidan la circulación de vehículos de emergencia.
Artículo 15. Locales según condiciones Acústicas. La producción de ruidos, sean continuos o de impacto y las trepidaciones generadas por fuentes fijas, ya sea en espacios abiertos o cerrados, como asimismo cualquier otro tipo de contaminación ambiental, deberá mitigarse de tal manera que no sobrepase los niveles máximos permitidos por el Ministerio de Salud.
Los establecimientos considerados como ruidosos deberán atenerse a lo establecido en el Artículo 4.1.5 de la Ordenanza General de Urbanismo y Construcciones. Aquellos locales de funcionamiento nocturno, tales como restaurantes, fuentes de soda, bares, discotecas y similares, ubicados en zonas mixtas con vivienda, no podrán provocar molestias, ruidos o efectos lumínicos que alteren la habitabilidad del barrio. Para ello, la Dirección de Obras exigirá el cumplimiento de las disposiciones contenidas en todos los cuerpos legales atingentes, especialmente lo dispuesto en:
a. Norma Chilena Oficial NCH 1619 del Instituto Nacional de Normalización, declarada oficial de la República de Chile por el Decreto Nº 253 de 1979 del Ministerio de Salud sobre Evaluación del Ruido en Relación con la Reacción de la Comunidad, y sus posteriores modificaciones.
b. Reglamento DS Nº 146 de 1997, DO 17/04/1998, del Ministerio Secretaría General de la Presidencia sobre niveles máximos permisibles de ruidos molestos generados por fuentes fijas, en vías de prevenir el posible deterioro ambiental, y sus posteriores modificaciones.
Los niveles de presión sonora corregidos que se obtengan de la emisión de una fuente fija emisora de ruido, medidos en el lugar donde se encuentre el receptor, no podrán exceder los valores que se fijan a continuación 1:
----------------------------------------------------
1 DS Nº146 de 1997, DO 17/04/1998, Título III De los Niveles Máximos Permisibles de Presión Sonora Corregido, párrafos 4º y 6º.

Las fuentes fijas emisoras de ruido deberán cumplir con los niveles máximos permisibles de presión sonora corregidos correspondientes a la zona en que se encuentra el receptor.
Artículo 16. Áreas Verdes. La localización de Áreas Verdes públicas o privadas se permitirá en todo el territorio comunal y sus condiciones de uso de suelo y edificación son las que establecen los Artículos 2.1.30 y 2.1.31 de la Ordenanza General de Urbanismo y Construcciones, entre otras, además de aquellas indicadas en el presente Artículo. Para efecto de cesiones, regirá lo indicado en los Artículos 2.2.5 y 3.4.5 de la Ordenanza General de Urbanismo y Construcciones.
Cuando la cesión de terrenos destinados a áreas verdes que constituyan bien nacional de uso público en los nuevos loteos, arroje una superficie inferior a 1.000 m2, éstas deberán concentrarse en un solo paño. Si la superficie de cesión supera dicha dimensión, se buscará siempre definir áreas de 1.000 m2 de superficie mínima.
Para todo terreno colindante a un área verde, se prohíbe el adosamiento hacia ésta, debiéndose adoptar un distanciamiento mínimo en función de lo indicado en el Artículo 2.6.3 de la Ordenanza General de Urbanismo y Construcciones.
Los cierros en terrenos que enfrenten a un área verde, deberán considerar un 75% de transparencia mínima.
Las obras nuevas deberán respetar, cuidar y proteger las especies arbóreas ubicadas en el espacio de uso público, para lo cual el proyecto deberá incluir la ubicación de las especies existentes frente al terreno de la obra. En caso de deterioro de las especies existentes y previo a la recepción final de la obra, la Dirección de Obras Municipales exigirá la reposición de cada individuo de envergadura adulto.
Para el área verde ubicada en Brujo de Los Andes, entre Waldo Taff y General Buendía se aceptará un coeficiente de ocupación de suelo de 0,40 y un coeficiente de constructibilidad de 0,5.
Artículo 17. Estacionamientos. Los edificios que se construyan, habiliten, cambien de destino o se regularicen en la Comuna, deberán cumplir, en el mismo predio que genera la obligación, o en otros de acuerdo al Artículo 2.4.2. de la Ordenanza General de Urbanismo y Construcciones, con las normas y estándares mínimos de estacionamiento que se señalan a continuación.
Cuadro Exigencia de estacionamientos
Para el caso de la expresión de número de estacionamientos en función de metros cuadrados de recinto, indicados en la última columna, se entenderá que la fracción superior a lo indicado implicará inmediatamente un cambio al siguiente tramo, y por lo tanto la adición de un nuevo estacionamiento. Lo anterior, siempre respetando los mínimos establecidos en la primera columna.
.
NOTAS:
(1) En los edificios colectivos de habitación se exigirá un 15% adicional de estacionamientos para uso de visitas. Estos estacionamientos deberán tener un acceso directo desde el espacio público y podrán emplazarse ocupando hasta un máximo del 30% de la superficie del respectivo antejardín.
(2) Adicionalmente se consultará estacionamientos de buses, camiones u otros similares, según los siguientes tramos de superficie útil construida en el proyecto:
. Hasta 1.000 m2 1 estacionamientos de 30 m2
. de más de 1.000 m2 y hasta 3.000 m2 2 estacionamientos de 30 m2 c/u
. de más de 3.000 m2 y hasta 6.000 m2 3 estacionamientos de 30 m2 c/u
. de más de 6.000 m2 y hasta 12.000 m2 4 estacionamientos de 30 m2 c/u
. más de 12.000 m2 5 estacionamientos de 30 m2 c/u
(3) Adicionalmente los terminales de distribución agropecuaria y/o pesquero deberán consultar 1 estacionamiento de 30 m2, para camiones o similares, por cada 200 m2 edificados o 500 m2 de recinto.
(4) Adicionalmente, las unidades de hospitalización y tratamiento deberán consultar 1 estacionamiento de 30 m2 para ambulancia.
Artículo 18. Condiciones Especiales para Estaciones de Servicio Automotor, Venta de Combustibles Líquidos y Edificios de Estacionamiento. Los terrenos o edificios en que se desarrollen las actividades de estaciones de servicio automotor, locales de venta o expendio de combustible líquido y edificios de estacionamiento de vehículos, sólo pueden localizarse en las zonas en que se permitan dichas actividades, las que deberán cumplir con las normas que se expresan a continuación, sin perjuicio de las disposiciones establecidas por la Ordenanza General de Urbanismo y Construcciones , el artículo 7.1.3 del Plan Regulador Metropolitano de Santiago y las establecidas para cada zona en el Artículo 31 de la presente Ordenanza Local.
Las estaciones de servicio automotor y los locales de venta o expendio de combustibles líquidos se atendrán a las siguientes condiciones:
1. Sólo podrán emplazarse en predios que enfrenten vías de ancho mínimo igual o superior a 15 m.
2. Superficie predial no inferior a 1.000 m2 para Centros de servicio automotriz y para establecimientos de venta minorista de combustibles líquidos.
3. Ocupación máxima de suelo de 0,4.
4. Agrupamiento aislado, salvo oficinas y locales distintos al servicio de vehículos.
5. En los casos en que haya exigencia de antejardines, dicha faja no podrá ser ocupada por las instalaciones anexas.
Los edificios de estacionamiento de vehículos se atendrán a las siguientes condiciones:
1. Sólo podrán emplazarse en predios que enfrenten a vías de ancho igual o superior a 20m.
2. Superficie predial mínima no inferior a 1.000 m2.
3. Altura máxima de edificación: de acuerdo a lo establecido en cada zona según el Artículo 31 de la presente Ordenanza Local.
4. Se permitirán adosamientos de construcciones abiertas y cubiertas que no excedan la altura de 3,50 m, debiendo consultarse muro cortafuego.
5. Distancia mínima de los accesos a la esquina más próxima será de 15 m, medidos desde la intersección entre la línea oficial existente o proyectada cuando corresponda, y el inicio del vano de acceso.
Los proyectos deberán contemplar, cuando corresponda, los estudios de impacto vial y ambiental respectivos.
Se prohíben en la comuna las playas de estacionamiento.
Párrafo 2. Normas Generales de Subdivisión, Ocupación de Suelo y Edificación.
Artículo 19. Condiciones de Urbanización. La aprobación de proyectos de urbanización y loteos, como la ejecución y recepción de las obras de alcantarillado de aguas servidas, de aguas lluvias, de agua potable, de electricidad, de gas y de pavimentación, se regirán por las disposiciones de la Ley General de Urbanismo y Construcciones, la Ordenanza General de Urbanismo y Construcciones , y las normas técnicas oficiales del Instituto Nacional de Normalización y de los servicios respectivos.
Las cesiones gratuitas de terrenos originadas por proyectos de nuevas urbanizaciones, se efectuarán en conformidad con lo dispuesto en el Artículo 70 de la Ley General de Urbanismo y Construcciones y en el Artículo 2.2.5 de la Ordenanza General de Urbanismo y Construcciones.
En aquellas manzanas en que se proyecten galerías interiores, techadas o descubiertas, con locales comerciales al menos en uno de los costados, donde además estas galerías comuniquen dos vías de tránsito vehicular o peatonal existentes o proyectadas y sean cedidas o permitan su uso como espacio de uso público de libre tránsito hasta un máximo del 30% de la superficie del terreno, podrá considerar un aumento del coeficiente de constructibilidad como sigue:
- 1 m2 por cada m2 de terreno liberado en el caso de galerías de un piso con losas sobre ella,
- 2 m2 por cada metro liberado en caso de galerías de doble altura, y
- 3 m2 por cada m2 liberado en caso de galerías techadas con cubiertas traslúcidas.
En estos casos las mayores superficies se agregaran a las que permita el coeficiente de constructibilidad.
Artículo 20. Predios Existentes Fuera de Norma. Se aceptarán proyectos de construcción, reconstrucción, reparación, alteración y ampliación que se emplacen en predios existentes cuya superficie es inferior a la superficie predial mínima exigida por la presente Ordenanza Local, sólo para el caso de uso de suelo vivienda, equipamiento de escala básica y talleres artesanales inofensivos. En todo lo demás se deberá dar cumplimiento a las normas que se especifican para la zona en que se localiza el predio. La calidad de predio existente deberá acreditarse de acuerdo a su Inscripción vigente en el Conservador de Bienes Raíces o en base al proyecto de loteo aprobado por la Dirección de Obras Municipales en una fecha anterior a la vigencia del presente Plan Regulador.
Artículo 21. Antejardines. En las zonas normadas en el Artículo 31 de la presente Ordenanza se exigirá un antejardín de 3 m mínimo, con las siguientes excepciones:
Se exigirá un antejardín mínimo de 2 m en pasajes.
No se exigirá antejardines para aquellos predios que enfrentan a las avenidas San Pablo, Teniente Cruz, Las Rejas y Sergio Valdovinos.
En zona ZE-1, Recreacional Deportivo Comunal y zona ZE-2 Equipamiento Comunal se exigirá antejardín de 5m.
En zona ZR-3 Zona de Protección Infraestructura Sanitaria, se exigirá antejardín de 10m.
Plantas en zonas mixtas con actividades productivas y/o servicios inofensivos se exigirá antejardín de 15 m.
En caso que la zona detallada en el Artículo 31 haga referencia a normas contenidas en el Plan Regulador Metropolitano de Santiago, dichas normas prevalecerán sobre lo indicado en el presente Artículo.
Artículo 22. Rasantes, Alturas y Distanciamientos. Para la aplicación de normas sobre Superficies de Rasantes y sobre Distanciamientos, regirá lo dispuesto en los Artículos 2.6.3., 2.6.11 y 2.6.12. de la Ordenanza General de Urbanismo y Construcciones.
Cuando dos predios contiguos pertenezcan a zonas diferentes, en las fachadas que enfrenten el deslinde común se aplicará para ambos predios las normas más restrictivas en lo referente a la altura de la edificación aislada, pareada o continua y respecto a la aplicación de rasantes.
En las zonas en que se permita la edificación continua hasta una altura determinada, las rasantes dentro de las cuales deberá inscribirse la edificación aislada se aplicarán a partir de la altura máxima de continuidad.
En aquellos casos en que las normas de altura máxima contenidas en el Artículo 31 de la presente ordenanza local indiquen "libre" (según rasante), el cuerpo edificado deberá estarse a las disposiciones del Artículo 2.6.3 y 2.6.11 de la Ordenanza General de Urbanismo y Construcciones respectivamente.
Artículo 23. Adosamientos y Agrupamientos. Regirá lo dispuesto en los Artículos 2.6.1 y 2.6.2 de la OGUC y lo indicado para cada zona en el Artículo 31 de la presente Ordenanza Local. En todos los casos los cuerpos adosados no podrán ocupar los antejardines y deberán respetar una distancia mínima a la línea de edificación de 2 m.
Artículo 24. Cierros al Espacio Público, Ochavos y Deslindes. Los edificios que consulten cierros al espacio público y ochavos, deberán atenerse a lo dispuesto en los Artículos 2.5.1., 2.5.3 al 2.5.8. de la Ordenanza General de Urbanismo y Construcciones.
La altura máxima de los cierros será de 3m medidos desde el nivel natural del terreno, con un 60% de transparencia, exceptuando: los terrenos que enfrenten áreas verdes los que consideraran un 75% de transparencia en sus cierros y los terrenos zonificados como infraestructura en el Articulo 14 de la presente Ordenanza, que considerarán un 75% de transparencia.
En las esquinas de calles y pasajes, los cierros o muros de fachada de los edificios ubicados en la línea oficial formarán ochavos perpendiculares a la bisectriz del ángulo que forma la línea oficial. La longitud del ochavo será de 4 m, salvo que el plano de loteo definitivo correspondiente establezca una longitud mayor. En cualquier caso, esta longitud no podrá exceder los 8 m.
En el caso de los sitios esquina localizados en la intersección de pasajes, la longitud del ochavo será de 3 m.
Los sitios eriazos deberán ser cerrados con cierros de albañilería, tabiques de hormigón o elementos similares levantados en su frente hacia espacios públicos que impida su uso como botaderos de basura o escombros, siendo de responsabilidad del propietario mantenerlos en buen estado, y cuyas características aprobará la Dirección de Obras Municipales.
Artículo 25. Cuerpos salientes sobre el Espacio Público y/o que sobresalgan de la línea de edificación sobre el antejardín.
Para aquellos casos en que la línea oficial coincida con la línea de edificación (fachadas continuas), se permitirá la edificación de cuerpos salientes de la línea oficial en los predios que enfrentan a las avenidas San Pablo, Teniente Cruz, Las Rejas y Sergio Valdovinos, con una saliente máxima de 1.80m. ateniéndose a lo indicado en el Artículo 2.7.1 de la Ordenanza General de Urbanismo y Construcciones.
Se podrán autorizar cuerpos salientes de hasta 1.80 m de la línea de edificación, sobre antejardines de 5 m y superiores, siempre que sean volados y que no generen superficie construida bajo ellos. Asimismo, se podrán autorizar cuerpos salientes hasta 1,2 m de la línea de edificación sobre antejardines de a lo menos de 3m.
En los edificios en que se permite el uso comercial, el Director de Obras podrá autorizar marquesinas o toldos en todo su frente, cuya dimensión máxima de volado será de 1,8 m y, conforme a la Ordenanza General de Urbanismo y Construcciones, la altura libre mínima entre la acera y la marquesina será de 3,5 m. Los edificios que consideren la construcción de marquesinas podrán contemplar:
2 m2 por cada m2 de marquesina, que se sumaran a la superficie máxima permitida por el coeficiente de constructibilidad, en el caso de aquellos edificios que enfrenten la Avenida San Pablo.
1 m2 por cada m2 de marquesina, que se sumaran a la superficie máxima permitida por el coeficiente de constructibilidad, en el caso de aquellos edificios que enfrenten las Avenidas Teniente Cruz, Neptuno y Las Rejas.
La instalación de publicidad deberá regirse por lo establecido en el Artículo 2.7.10 de la Ordenanza General de Urbanismo y Construcciones y las disposiciones que establezca el Municipio en las ordenanzas especiales respectivas.
Artículo 26. Bienes Nacionales de Uso Público. En el espacio público podrán realizarse construcciones según lo establecido por el Artículo 2.1.30 de la Ordenanza General de Urbanismo y Construcciones. Las condiciones de edificación para estas construcciones serán determinadas en los proyectos específicos, los cuales serán aprobados por el Director de Obras Municipales, previo visto bueno del Asesor Urbanista.
CAPÍTULO IV.
Zonificación, Usos de Suelo y Normas Específicas.
Párrafo 1. Zonificación.
Artículo 27. Zonas del PRC. Para los efectos de la aplicación de la presente Ordenanza Local, se distinguen las siguientes Zonas:

Artículo 28. Límites de Zonas. Los límites de zonas, en sus tramos compartidos con los límites de otras zonas, trazados por el interior de las manzanas según figura en el Plano PRC – LP – 01 Zonificación Usos de Suelo, coincidirán con los deslindes prediales. En aquellos casos en que no coincidan y que necesariamente el predio quede separado en dos zonas distintas, la distancia entre el límite de zona y el deslinde predial no podrá ser inferior a 10 m. Los deslindes prediales corresponderán a lo predios debidamente inscritos en el Conservador de Bienes Raíces correspondiente, al momento de publicación en el Diario Oficial del presente Plan Regulador.
Artículo 29. Predios afectos a más de una zona. Para normas de edificación y usos de suelo deberá atenerse al Artículo 2.1.21 de la Ordenanza General de Urbanismo y Construcciones.
Párrafo 2. Usos de Suelo y Normas Específicas por Zona.
Artículo 30. Definición de Usos de Suelo y Normas de Edificación.
Las zonas indicadas en el Artículo 27 se aplicarán las normas relativas a usos de suelo, ocupación, subdivisión de predios y de edificación que se señalan a continuación, conforme a las disposiciones de los Artículos 2.1.25. al 2.1.36, y demás pertinentes de la Ordenanza General de Urbanismo y Construcciones.
En particular, según se establece en el Artículo 2.1.25 de la Ordenanza General de Urbanismo y Construcciones el tipo de uso Residencial contempla preferentemente el destino vivienda e incluye hogares de acogida, así como edificaciones y locales destinados al hospedaje, sea éste remunerado o gratuito, siempre que no presten servicios comerciales adjuntos tales como bares, restaurantes o discotecas, en cuyo caso requerirán que en el lugar donde se emplazan esté admitido algún uso comercial.
En los conjuntos de viviendas o edificios colectivos se admitirá, como parte del uso de suelo Residencial, el funcionamiento de locales destinados a lavandería, gimnasio, piscina, guardería infantil o similar, para uso exclusivo de los residentes, mientras no requieran patente.
Cuando la presente Ordenanza se refiera a uso de vivienda o habitacional, éstos se asimilarán al uso Residencial. El destino de vivienda o Residencial se entenderá siempre admitido, salvo que esta Ordenanza lo prohíba en forma expresa en el presente Artículo.
Asimismo, según se establece en el Artículo 2.1.26. de la Ordenanza General de Urbanismo y Construcciones, las viviendas podrán consultar el funcionamiento de pequeños comercios, industrias artesanales o el ejercicio de una actividad profesional, en tanto su principal destino subsista como habitacional y salvo que la presente ordenanza defina porcentajes menores. Con todo, cuando las actividades complementarias a la vivienda sobrepasen la mitad de la superficie edificada de la misma, dichas actividades deberán cumplir con los usos de suelo permitidos por esta Ordenanza para la zona respectiva.
Artículo 31. Zonificación
A continuación se señalan las zonas que se distinguen y las condiciones a las que se atienen.
1. Zonas Mixtas Centrales
.
.
2. Zonas Residenciales
.
.
.
3. Zonas de Equipamiento Comunal
.
4. Zonas de Áreas Verdes y Recreación
ZAV – 1 Zona Parque Adyacente a Sistema Vial: Parque Lo Prado (Ruta 68)
Regulada por los Artículos 5.2.1 y 5.2.3.4 de la ordenanza del Plan Regulador Metropolitano de Santiago.
En esta área verde pública sólo se permitirá las instalaciones mínimas complementarias a su función, como actividades recreativas y de esparcimiento al aire libre, así como determinadas construcciones de edificios de uso público o con destinos complementarios al área verde en los términos dispuestos en el Artículo 2.1.30 de la Ordenanza General de Urbanismo y Construcciones. Asimismo, regirá lo dispuesto en el Artículo 16 de la presente Ordenanza Local.
Las condiciones técnico-urbanísticas para las instalaciones y edificaciones complementarias como asimismo las zonas de estacionamientos, serán determinadas en los proyectos específicos de acuerdo a lo dispuesto en el Artículo 5.2.4.1. del Plan Regulador Metropolitano de Santiago y a lo dispuesto en el artículo 2.1.30 de la Ordenanza General de Urbanismo y Construcciones, debiendo contar con el visto bueno del asesor urbanista y la aprobación de la Dirección de Obras Municipales de Lo Prado, previo informe favorable de la Secretaría Ministerial Metropolitana de Vivienda y Urbanismo.

En este parque podrá destinarse hasta un 30% de su ancho para vialidad graficado en plano PRC-LP-02. Infraestructura de transporte.
En el sector de la Juguetina los Usos de suelo permitidos son:
Equipamiento clase comercio: centros comerciales, restaurantes, pubs y discotecas.
Equipamiento de clase culto y cultura: todos los usos de cultura.
Equipamiento de clase Deporte: todos.
Además se contempla un incremento 50% para las normas de edificación.
En todo caso debe darse cumplimiento a lo dispuesto por Plan Regulador Metropolitano de Santiago para la zona.
ZAV - 2 Zona Equipamiento Recreacional y Deportivo: Estadio Zambrano y Parque Intercomunal Poniente (Santa Anita)
Regulada por los Artículos 5.2.1., 5.2.1.1, 5.2.4 y 5.2.4.1 de la ordenanza del Plan Regulador Metropolitano de Santiago.
Corresponden a recintos de carácter público o privado en que se desarrolla una función de equipamiento con construcciones asociadas a espacios libres dotados de árboles y especies vegetales necesarias para la recreación y la mejor calidad del medio ambiente de la ciudad.
Estas áreas están destinadas a acoger actividades deportivas y/o espectáculos de concurrencia masiva de público. Las condiciones para autorizar las instalaciones y construcciones propias de su uso específico y las complementarias para su funcionamiento se encuentran contenidas en el Plan Regulador Metropolitano de Santiago.
Las condiciones técnico-urbanísticas para las instalaciones y edificaciones complementarias como asimismo las zonas de estacionamientos, serán determinadas en los proyectos específicos de acuerdo a lo dispuesto en el Artículo 5.2.3. del Plan Regulador Metropolitano de Santiago y a lo dispuesto en el artículo 2.1.31 de la Ordenanza General de Urbanismo y Construcciones, debiendo contar con el visto bueno del asesor urbanista y la aprobación de la Dirección de Obras Municipales de Lo Prado, previo informe favorable de la Secretaría Ministerial Metropolitana de Vivienda y Urbanismo.
ZAV - 3 Zona Áreas Verdes Comunales
Corresponde a las Áreas Verdes Públicas existentes o que se incorporen producto de nuevos loteos o nuevas urbanizaciones, destinadas preferentemente al esparcimiento o circulación peatonal. En ellas se permitirán instalaciones y edificaciones complementarias a sus usos, como mobiliario urbano, estanques de agua abiertos para aves y peces, anfiteatros al aire libre, zonas de picnic, estructuras para acoger ferias artesanales, iluminación y la correspondiente dotación de infraestructura de tendidos sanitarios y eléctricos para su habilitación, respetándose su valor paisajístico y su equilibrio ecológico.
Se aplicará, para su regulación, lo dispuesto en los Artículos 2.1.30 y 2.1.31 de la Ordenanza General de Urbanismo y Construcciones, además de lo señalado en el Artículo 16 de la presente ordenanza local y lo dispuesto a continuación en relación a las condiciones de uso de suelo y edificación:

5. Zonas de Riesgo y Protección
ZR – 1 Zona de Protección de Aeropuerto Arturo Merino Benítez (Límite Área "e")
Regulado por Artículo 8.4.1.3 del Plan Regulador Metropolitano de Santiago, y por el Decreto Nº 173 del 16/10/2003, Subsecretaría de Aviación del Ministerio de Defensa Nacional, publicado en el Diario Oficial con fecha 9/02/2004, que define las zonas de protección para el aeropuerto Arturo Merino Benítez y sus radioayudas, las que se encuentran precisadas en el Plano PP-03-01, elaborado por la Dirección General de Aeronáutica Civil. Estas restricciones se entenderán incorporadas al Plan Regulador Comunal de Lo Prado.
Los proyectos de edificación por desarrollar en terrenos afectados por alguna de las zonas de protección y que sobrepasen las restricciones de alturas señaladas en dicho Decreto, deberán contar con la autorización previa de la Dirección General de Aeronáutica Civil.
Las áreas de restricción se encuentran graficadas en el plano PRC - LP – 01 Zonificación y Usos de Suelo.
En dicho plano se grafica la extensión y localización del área "e" para la cual se establece una restricción de altura que queda determinada por la superficie de rasante aplicada a partir del límite exterior del área "d", a una altura de 45 m. medidos del nivel medio de las pistas y con una pendiente del 5% hacia el exterior.
ZR – 2 Zona de Protección Sub-Estaciones y Líneas de Transmisión de Energía Eléctrica
Regulado por Artículo 8.4.3, "Sub-Estaciones y Líneas de Transmisión de Energía Eléctrica" del PRMS.
Son las zonas que comprenden los terrenos ocupados por la planta y sus instalaciones anexas, como asimismo las fajas de terrenos destinadas a proteger los tendidos de las redes eléctricas de alta tensión.
Las disposiciones que permiten determinar las fajas de seguridad de las Líneas de Alta Tensión, como asimismo, las condiciones y restricciones respecto de las construcciones que se emplacen en las proximidades de las líneas eléctricas aéreas, están contenidas en el Artículo 56 del DFL Nº 1 de 1992, del Ministerio de Minería y en los Artículos 108 al 111 del Reglamento S.E.C.: NSEG 5E.n.71, "Instalaciones de corrientes Fuertes".
Para los efectos de la aplicación del presente Plan, se consideran las siguientes fajas de protección que se encuentran identificadas en el plano PRC - LP - 01 Zonificación y Usos de Suelo y cuyas dimensiones dependen de la tensión de la red medida en Kilovolt conforme a lo señalado en el siguiente cuadro:

Las fajas de protección, no podrán quedar incorporadas a los espacios de antejardín.
Las subestaciones eléctricas que se instalen en el territorio del Plan, deberán consultar una faja arborizada en todo su perímetro de un ancho mínimo de 20 m.
ZR – 3 Zona de Protección Infraestructura Sanitaria
Se atendrá a lo estipulado en el Artículo 2.1.29 de la Ordenanza General de Urbanismo y Construcciones. Se refiere específicamente a las copas de agua localizadas en calle Las Acacias, entre calles Los Clarines y Los Jazmines; calle Turquía, entre calles Escocia y Ucrania, y Waldo Taff esquina Tupungato.

CAPÍTULO V
Vialidad
Artículo 32. Red Vial Estructurante Comunal. La Red Vial Estructurante del Plan Regulador Comunal de Lo Prado está especificada en el plano PRC – LP- 02 Infraestructura de Transporte y descrita en el Artículo 32 de la presente Ordenanza, estableciéndose para esta vialidad su clasificación según los Artículos 2.3.2 y 2.3.4 de la Ordenanza General de Urbanismo y Construcciones, y sus líneas oficiales definidas tanto por el propio Plan regulador Comunal como por el Artículo 7.1.1 del Plan Regulador Metropolitano de Santiago sobre vialidad metropolitana.
Las vías públicas comunales mantienen los anchos existentes, excepto las que se señalen en el Artículo 34.
Los perfiles geométricos viales en el proyecto de pavimentación se definirán según lo establecido en la Ordenanza General de Urbanismo y Construcciones y serán aprobados por el SERVIU Metropolitano. Los proyectos señalados, tanto los que se localizan en la propiedad privada como en el espacio público, serán desarrollados y aprobados conforme a lo señalado en el Artículo 7.1.1.3 del Plan Regulador Metropolitano de Santiago.
Artículo 33. Realización de Estudios de Impacto sobre el Sistema de Transporte Urbano. Los proyectos inmobiliarios que de acuerdo con la normativa vigente deban presentar Estudio de Impacto sobre el Sistema de Transporte Urbano (EISTU), deberán hacerlo de acuerdo a los parámetros y procedimientos que establece la normativa vigente y según los procedimientos fijados en la Resolución Exenta Nº 2.379/2003, del Ministerio de Vivienda y Urbanismo, o la norma que la reemplace.
Dichos Estudios de Impacto sobre el Sistema de Transporte Urbano, deberán considerar como base de modelación los resultados del Estudio de Capacidad Vial que forma parte del Plan Regulador Comunal y proponer medidas de mitigación consistentes con las medidas de gestión, ensanches y aperturas consideradas en el plan regulador.
Los EISTU serán informados por la Dirección de Tránsito en conjunto con la Dirección de Obras y Asesoría Urbana, en los aspectos que les compete, con el fin de resguardar la coherencia entre proyectos y plan regulador. El cumplimiento y recepción de las obras de mitigación formarán parte de la Recepción Final de Obra debiendo la Dirección de Obras Municipales solicitar informe favorable a la Dirección de Tránsito y Asesoría Urbana respectivamente.
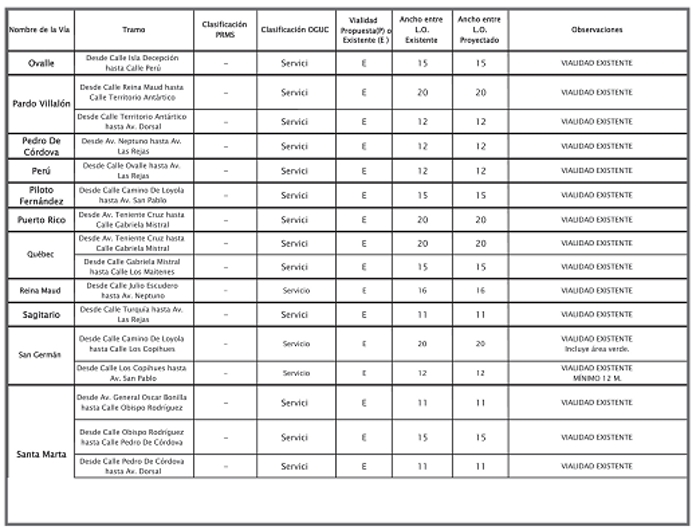
Artículo 34. Definición de la Red Vial Estructurante Comunal. Los siguientes Cuadros definen la Red Vial Estructurante de la comuna de Lo Prado y sus características específicas.
VIAS EXPRESAS

VIAS TRONCALES
.
VIAS COLECTORAS
.
VIAS DE SERVICIO
.
VIAS DE SERVICIO

3.- DÉJASE SIN EFECTO CUALQUIER DECRETO ANTERIOR QUE SEA CONTRADICTORIO CON LAS NORMAS CONTENIDAS EN EL PRESENTE DECRETO DE APROBACIÓN DEL NUEVO PLAN REGULADOR DE LA COMUNA DE LO PRADO A CONTAR DE LA FECHA DE SU PUBLICACIÓN EN EL DIARIO OFICIAL.
4.- PUBLÍQUESE, POR PARTE DEL DEPARTAMENTO DE PRENSA Y RELACIONES PÚBLICAS, EN EL DIARIO OFICIAL EL PRESENTE DECRETO Y ADEMÁS EN LA PÁGINA WEB DE LA MUNICIPALIDAD.
5.- ARCHÍVESE EL PLAN REGULADOR COMUNAL EN EL CONSERVADOR DE BIENES RAÍCES DE SANTIAGO Y EN LA SECRETARÍA REGIONAL MINISTERIAL DE VIVIENDA Y URBANISMO REGIÓN METROPOLITANA.
Anótese, comuníquese, publíquese y archívese.- L. Gonzalo Navarrete Muñoz, Alcalde.- Paulina Brito Astrosa Muñoz, Secretaria Municipal.