FIJA COSTOS DE FORESTACIÓN, RECUPERACIÓN DE SUELOS DEGRADADOS, ESTABILIZACIÓN DE DUNAS, PODA Y RALEO, POR HECTÁREA, Y ESTABLECIMIENTO DE CORTINAS CORTAVIENTOS POR KILÓMETRO, AL 13 DE DICIEMBRE DE 2010, PARA LOS EFECTOS DEL DECRETO LEY Nº 701, DE 1974, Y SUS MODIFICACIONES POSTERIORES

    Núm. 584.- Santiago, 13 de diciembre de 2010.- Vistos, y considerando las facultades que al Director Ejecutivo de la Corporación Nacional Forestal le otorgan los artículos vigésimo de los Estatutos y décimo noveno de su Reglamento Orgánico; lo dispuesto en los artículos 12º y 15º del Decreto Ley Nº 701, cuyo texto fuera modificado por el artículo primero de la ley Nº 19.561 y sus modificaciones posteriores, y la aprobación dada por los Ministerios de Agricultura y de Hacienda,

    Resuelvo:
    PRIMERO:

    Fíjense los siguientes costos de forestación, recuperación de suelos degradados, estabilización de dunas, poda y raleo, en pesos ($) por hectárea, y establecimiento de cortinas cortavientos, en pesos ($) por kilómetro, al 13 de diciembre de 2010, para la temporada de forestación del año 2010.

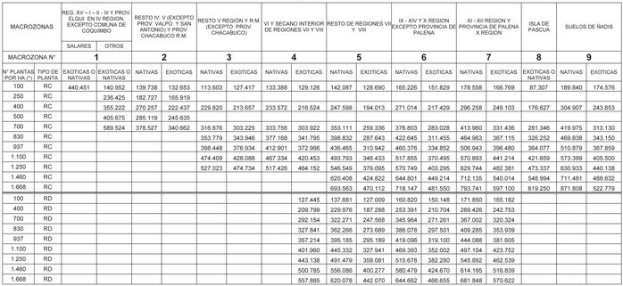
TABLA I.- COSTOS GENERALES DE FORESTACIÓN POR HECTÁREA, PARA LA TEMPORADA DE FORESTACIÓN 2010.

    .

TABLA II.- COSTOS DE ESTABLECIMIENTO DE CORTINAS CORTAVIENTOS POR KILÓMETRO, PARA LA TEMPORADA 2010.

    .

A.  PROCEDIMIENTO PARA LA DETERMINACIÓN DEL COSTO DE FORESTACIÓN

    1.  Los valores de la Tabla I anterior deberán
          ajustarse de acuerdo a lo que se establece a
          continuación:

    a)  El costo de forestación por hectárea contenido en
          la Tabla I se incrementará en las siguientes sumas
          por concepto de preparación de suelos:

    .
---------------------------------------------------------
* El subsolado con camellón sólo se podrá realizar en suelos compactados y/o con pie de arado, no siendo aplicable en suelos no estructurados y/o no compactados. Cuando se realice esta actividad, no se podrán realizar las siguientes obras de recuperación de suelos: Zanjas de infiltración y/o microterraza con escarificado.

    b)  El costo de forestación por hectárea contenido en
          la Tabla I se incrementará en $88.500/ha cuando la
          forestación requiera protección individual de las
          plantas contra lagomorfos, siempre que la
          protección se realice en el 100% de las plantas,
          utilizando mallas, tubetes u otros medios mecánicos
          de protección.

    c)  Para los efectos de fomentar la diversificación
          forestal, los costos de forestación por hectárea
          contenidos en la Tabla I se ponderarán por el
          factor 1,2 cuando se realicen forestaciones con las
          especies forestales en las condiciones y en las
          Macrozonas que se indican en el Cuadro siguiente:

    .

          Cuando se emplee la especie álamo, con plantas en
          vareta, a una densidad mínima de 278 plantas/ha, se
          aplicará un costo único de $ 391.439 por hectárea.
          Cuando se emplee la especie álamo, con plantas en
          vareta, a una densidad mínima de 400 plantas/ha, se
          aplicará un costo único de $ 470.322 por hectárea.

    d)  El costo de forestación contenido en la Tabla I,
          para especies nativas que se encuentren
          identificadas en el listado de especies con
          problemas de conservación del Libro Rojo de la
          Flora Terrestre de Chile, publicado por CONAF el
          año 1989, corresponderá al costo para especies
          Nativas RC, ponderado por el factor 1,5, cuando se
          trate de especies en peligro y por 1,2 cuando se
          trate de especies vulnerables y raras.

    e)  El costo de forestación por hectárea contenido en
          la Tabla I, cuando se utilicen especies arbustivas,
          se ponderará por el factor 0,8, excepto en las
          Macrozonas 1, 2 y 3.

    f)  El costo por kilómetro de cerco construido o
          reparado se bonificará siempre que éstos se
          realicen en forma perimetral y adyacente a la
          forestación, utilizando los estándares mínimos que
          se señalan a continuación:

    .

          Nota: El monto por kilómetro de cerco, cuando se
          trate de pequeños propietarios forestales, se
          ponderará por 2.

    g)  El costo de forestación por hectárea para todo tipo
          de propietario contenido en la Tabla I y el costo
          de forestación en que proceda la aplicación de los
          factores y/o incrementos señalados en las letras
          a), b), c), d) y e) precedentes, y el monto por
          concepto de cerco, en los suelos forestables a que
          se refieren las letras b), c) y d) del artículo 4º
          del D.S. Nº 193, de 1998, del Ministerio de
          Agricultura, se ponderará por el factor 0,7.

    h)  El costo de forestación por hectárea contenido en
          la Tabla I se incrementará hasta un monto máximo de
          $ 28.000 /ha/año hasta que el interesado haya
          percibido la bonificación por forestación cuando se
          contrate un seguro por un período máximo de cuatro
          años ante siniestros tales como sequía, heladas,
          inundaciones e incendios forestales, el que se
          deberá acreditar mediante certificado emitido por
          la respectiva compañía de seguros en que conste que
          la póliza fue contratada en el año en que se
          efectuó la forestación.

B.  OBSERVACIONES GENERALES.

    1.  El distanciamiento entre plantas en la hilera de
          plantación para las densidades contenidas en la
          Tabla I no podrá ser inferior a 2 metros.

    2.  Tipo de planta RC = raíz cubierta, corresponde a
          plantas que se producen en contenedores de
          cualquier tipo.
          Tipo de planta RD = raíz desnuda, corresponde a
          plantas que se producen en platabanda.
          Varetas = Corresponden a plantas que se obtienen
          por reproducción vegetativa.

    3.  Los costos de forestación, cuando se utilicen
          plantas producidas en vareta, serán asimilados a
          los costos de forestación de plantas exóticas
          producidas a raíz cubierta.

    4.  El costo de forestación para la densidad de 100
          plantas por hectárea, entre las Macrozonas Nº 2 a
          la Nº 8, corresponde a plantaciones con baja
          densidad, para fines de uso silvopastoral,
          aplicable sólo a pequeños propietarios forestales.

    5.  El secano interior de la VII Región comprende las
          comunas de Hualañé, Rauco, Sagrada Familia,
          Pencahue, San Javier, Cauquenes, Empedrado y
          Curepto.

    6.  El secano interior de la VIII Región incluye las
          comunas Ninhue, San Nicolás, Portezuelo, Ranquil,
          Florida, Hualqui, Yumbel, Santa Juana, San Rosendo,
          Laja y Nacimiento.

    7.  Las áreas en proceso de desertificación
          corresponden a los suelos de secano ubicados en las
          Macrozonas Nº 1, 2, 3, 8, en la VI Región, en el
          secano interior de la VII Región, en las comunas de
          Lago Verde, Coyhaique, Río Ibáñez, Chile Chico,
          Cochrane y O'Higgins de la XI Región y en las
          comunas de Torres del Paine, Laguna Blanca, San
          Gregorio, Punta Arenas y Primavera de la XII
          Región.

    8.  Las cortinas cortavientos se deben establecer con
          dos o tres hileras y un número mínimo de 800 y
          1.200 árboles por kilómetro, respectivamente. Los
          costos indicados en la Tabla II corresponden a
          costos netos por kilómetro de cortina cortavientos

C.  PLANTACIONES CON FINES DENDROENERGÉTICOS

    En el caso de plantaciones dendroenergéticos, éstas corresponderán a aquellas cuyo objetivo es la producción de biomasa para la generación de energía.
    Para estos efectos sólo se bonificarán plantaciones con especies del género Eucaliptus y en las Macrozonas 5 y 6, aplicándose un costo único de $ 781.200 por hectárea, para una densidad mínima de 3.000 plantas/ha, en distanciamientos máximos de 3 metros entre líneas por 1,1 metros sobre la línea.
    A este valor se le deberá agregar los componentes de preparación de suelo y cerco, que se detallan en el "Procedimiento para la determinación del costo de forestación", contenido en esta misma tabla.

III. COSTOS DE RECUPERACIÓN DE SUELOS, POR HECTÁREA

    En el cuadro N° 1 se fijan los siguientes valores unitarios por tipo de obra, en pesos ($).

CUADRO 1.- COSTOS DE LAS OBRAS DE RECUPERACIÓN DE SUELOS DEGRADADOS

    .

    Las actividades de recuperación de suelos degradados serán evaluadas y procederá el pago de la bonificación respectiva de acuerdo a los requerimientos técnicos de calidad y cantidad de obras realizadas. Estas obras deben ser consignadas en el estudio técnico de "Calificación de terreno de aptitud preferentemente forestal" o de "Reconocimiento de suelos forestables", según corresponda, y las obras efectivamente construidas deberán quedar identificadas en el estudio de "Acreditación del establecimiento de la forestación y actividades de recuperación de suelos degradados o estabilización de dunas" y en la cartografía correspondiente.

    Respecto de suelos arables degradados, los costos unitarios señalados en el Cuadro N° 1, como así mismo el costo máximo bonificable según categoría de erosión señalado en el Cuadro 2, se ponderarán por el factor 0,7.

    Para acceder a la bonificación por actividades de recuperación de suelos degradados, el beneficiario deberá acreditar la ejecución de las obras de recuperación de suelos en el área, las que se bonificarán por obra efectivamente construida, hasta el monto máximo que se señala a continuación en función del grado de erosión.

CUADRO N° 2.- MONTOS MÁXIMOS BONIFICABLES SEGÚN CATEGORÍA DE EROSIÓN:

    .

No se contempla la bonificación de actividades de recuperación de suelos degradados en terrenos con pendientes menores o iguales al 10%.

NORMAS TÉCNICAS MÍNIMAS DE OBRAS DE RECUPERACIÓN DE SUELOS DEGRADADOS SUSCEPTIBLES DE BONIFICAR

3.1. ZANJA DE INFILTRACION: Obra de recuperación de suelos, manual o mecanizada, diseñada y construida para capturar la escorrentía superficial y favorecer la infiltración del agua en el suelo. Se construye transversalmente a la pendiente, en la curva de nivel. La obra comprende un conjunto de zanjas continuas o individuales en tresbolillo. Presenta una sección trapezoidal con un ancho mínimo en la base de 0,2 metros, una altura efectiva mínima entre 0,2 a 0,5 metros, una pendiente lateral referencial en ambos taludes de la obra de 1:1 a 1:3. La sección transversal y el distanciamiento entre las zanjas se calcula de acuerdo a la precipitación de diseño, el coeficiente de escorrentía y la categoría de erosión. Al construirse zanjas individuales en tresbolillo el largo fluctúa entre 3 y 8 metros y la separación o tabique entre zanjas, en la curva de nivel, varía entre 0,7 y 7 metros, según la altura y largo de ellas. Si las zanjas son continuas, en un rango de 5 a 15 metros se deberá dejar un tabique de 0,3 metros sin construir. Aguas abajo, adyacente a la excavación, se construye un camellón de altura y ancho similares a la profundidad de la zanja y a la anchura superior de la obra, respectivamente. Se excluye la construcción de zanjas como obra de recuperación de suelos degradados en suelos no estructurados, tales como trumaos, arenales y dunas.
3.2. CANAL DE DESVIACIÓN: Obra de recuperación de suelos, manual o mecanizada, que se sitúa preferentemente en la parte superior o media de la ladera para capturar la escorrentía procedente de las cotas superiores. Se construye transversalmente a la pendiente con un ligero desnivel (1%) para transportar el agua a un área receptora estabilizada o vertedero. Presenta una sección trapezoidal con un ancho mínimo en la base de 0,2 metros, una altura efectiva mínima de 0,3 metros y una pendiente lateral referencial en ambos taludes de la obra de 1:1. Las dimensiones deben permitir evacuar un volumen de agua según la precipitación de diseño. Aguas abajo, adyacente a la excavación, se construye un camellón de altura y ancho similares a la profundidad del canal y a la anchura superior de la obra respectivamente. El largo máximo es de 100 metros. El último tramo del canal corresponde entre un cuarto y un quinto de la longitud total de la obra, se construye a nivel y sin camellón, con una sección entre un 25 a 35% mayor que la sección en desnivel, sin variación de las pendientes en los taludes. Se excluye la construcción de canales de desviación como obra de recuperación de suelos degradados en suelos no estructurados, tales como trumaos, arenales y dunas.
3.3. DIQUES DE POSTES: Obra para el control de cárcavas y de cursos de agua secundarios, generalmente temporales, tales como arroyos y quebradas, que actúa por resistencia mecánica. Consiste en una estructura de postes verticales impregnados y horizontales de una altura efectiva entre 0,5 a 1,5 metros. Los postes verticales se entierran entre 0,5 a 1 metro, según el tipo de suelo, y se distancian entre 0,5 y 1,2 metros. Los postes horizontales deben empotrarse entre 0,3 a 0,6 metros en el fondo y lateralmente. En la parte posterior del dique para aumentar la capacidad de retención de sedimentos, se coloca una malla de polietileno "tipo malla sombra" (80% de cobertura como mínimo) u otra de similar calidad. Para proteger la estructura de un eventual socavamiento, se construye un pequeño terraplén en su parte posterior. En diques con altura efectiva superior a 1,5 y hasta 3 metros, se deberá colocar tirantes de alambre anclados y rellenar de acuerdo a las necesidades de la obra.
    Para evacuar la descarga, de acuerdo con el caudal máximo estimado, se construye un vertedero de sección trapezoidal, generalmente con un largo entre 1/4 a 1/5 de la longitud del dique y de 0,2 a 0,4 metros de altura. Finalmente, para amortiguar el golpe de las aguas vertidas se construye un disipador de energía de longitud 1,3 a 1,5 veces la altura efectiva de la obra.
3.4. GAVIONES: Obra de mampostería para la estabilización y protección de cursos de agua secundarios, generalmente temporales, tales como arroyos, esteros, quebradas y de cárcavas y contención de taludes. Esta estructura se sustenta por su propio peso y actúa por resistencia mecánica. Consiste en un conjunto de paralelepípedos fabricados con malla hexagonal en alambre de acero galvanizado y relleno con piedras. La altura, largo y ancho de la obra se calculará según las condiciones del terreno y el tipo de relleno del gavión. La altura máxima para obras de mampostería gavionada fluctúa entre 2 a 3 metros. La utilización de bases antisocavantes se evaluará según las necesidades específicas.
    Cuando la obra de gaviones corresponda a un dique, los gaviones deben ser enterrados entre 0,25 y 0,6 metros y empotrados en los taludes laterales entre 0,4 y 0,6 metros, según el tipo de suelo. Para aumentar la capacidad de retención de sedimentos, la cara aguas arriba de los paralelepípedos se cubre con un tipo de "malla sombra" de polietileno (mínimo 80% de cobertura) u otra de similar calidad. Para proteger la estructura de un eventual socavamiento, se construye un pequeño terraplén en su parte posterior. Para evacuar la descarga, de acuerdo con el caudal máximo estimado, y amortiguar el golpe de las aguas vertidas, se construye un vertedero de sección trapezoidal o rectangular de aproximadamente 1/4 a 1/5 de la longitud del dique y un disipador de energía de longitud 1,4 a 1,7 veces la altura efectiva de la obra, respectivamente.
3.5. EMPALIZADA: Obra de regulación de flujos hídricos y de contención de sedimentos en taludes, cárcavas y laderas inestables. Presenta una altura entre 0,25 y 0,8 metros y un largo variable. Se utilizan postes o rodrigones verticales impregnados, que se entierran entre 0,25 a 0,7 metros, se distancian de 0,5 a 0,8 metros y postes u otros materiales para los horizontales que se empotran en el fondo de 0,1 a 0,3 metros. Para aumentar la capacidad de retención de sedimentos la parte posterior de la estructura se cubre con un tipo de "malla sombra" (mínimo 80% de cobertura) u otra de similar calidad. Para proteger la obra en su parte posterior, se debe construir un pequeño terraplén. La distancia entre líneas de empalizadas dependerá del estado de degradación e inclinación del terreno. Empalizadas con una altura entre 0,8 y 1,5 metros deben reforzarse con tirantes de alambre anclados y rellenar según las necesidades de la obra.
3.6. MURETES DE SACOS: Obra de retención de sedimentos, control de taludes, zanjas incipientes, márgenes y cabeceras de cárcavas medianas y menores. Se utilizan sacos de polietileno "tipo malla sombra" de 50 a 65% de cobertura, de 0,6 m de largo x 0,4 m de ancho. En su ejecución debe emparejarse el talud y la base, rellenar con tierra y empotrar los sacos en el fondo, disponerlos imbricados (como ladrillos en albañilería) y escalonados (con peldaños de 6 a 10 cm.). Cuando corresponda se debe construir un pequeño terraplén o rellenar en su parte posterior. El largo de esta obra es variable y la altura no debe superar 1,2 m cuando se trabaje en las cabeceras de cárcavas. Como complemento de la obra se deben sembrar las especies herbáceas apropiadas para cada región.
3.7. MURETES O DIQUES DE PIEDRAS: Obra de control de taludes, de regulación de flujos hídricos y de retención de sedimentos en cursos de agua secundarios y temporales, tales como arroyos y quebradas menores y en laderas con erosión lineal de canalículos, zanjas y cárcavas. Esta estructura se sustenta por su peso propio y actúa por resistencia mecánica. Las piedras deben enterrarse 0,35 m como mínimo y sobreponerse imbricadas para formar el murete. El ancho fluctúa entre 0,5 a 1 m, la altura efectiva entre 0,4 a 1 m y la pendiente de talud y murete debe ser de 1:0,3 aproximadamente. Cuando la obra corresponda a un dique, la sección transversal es trapezoidal con pendientes entre 1:0,5 a 1:0,7. Para evacuar la descarga, según el caudal máximo estimado, se construye un vertedero de 1/4 a 1/5 de la longitud del murete y un disipador de energía de largo 1,2 a 1,5 veces la altura efectiva. En la parte posterior, para aumentar la capacidad de retención de sedimentos, se coloca un tipo de "malla sombra" de polietileno (mínimo 80 % de cobertura) u otra de calidad similar. También, esta obra puede servir como fuente acumuladora de agua para una plantación, al construirse en forma de medialuna, rellenarse con tierra en su parte posterior y presentar una sección trapezoidal con pendientes de 1:0,3.
3.8. FAJINAS: Obra de regulación de flujos hídricos y de retención de sedimentos en taludes y en laderas inestables. Presenta una altura entre 0,20 a 0,40 metros y un largo variable. En su construcción se utilizan estacas o rodrigones, preferentemente impregnados, como postes verticales, enterrados a 0,25 m como mínimo, y fajinas (haz de ramas) para las líneas horizontales. Las fajinas se alambran cada 0,5 a 1,0 m en la horizontal, según la flexibilidad del material. También deben alambrarse a las estacas verticales, que se disponen de 0,7 a 0,8 m en la horizontal. Las fajinas se entierran a más de 0,1 m y se cubren en su parte posterior con un tipo de "malla sombra" de polietileno (mínimo 80% de cobertura) u otra de calidad similar. La distancia entre líneas dependerá del estado de degradación e inclinación del terreno.
3.9. MICROTERRAZA MANUAL: Obra de regulación de flujos hídricos en laderas. Favorece una mayor infiltración en el suelo y retiene sedimentos. Presenta un ancho en la base de 0,6 a 0,8 m, una altura de talud entre 0,2 a 0,25 m con una pendiente de 1: 0,3 a 1: 0,5. Se establece en curvas de nivel con una base levemente inclinada (1% aproximado) hacia el borde interno. Aguas abajo de la obra debe construirse un camellón de una altura de 0,15 a 0,2 metros. La distancia entre líneas de microterrazas dependerá de la inclinación del terreno, de la degradación del suelo y de la distancia de las líneas de plantación. El largo de las microterrazas es variable, con una disposición continua o discontinua. La plantación se debe establecer sobre la base del tratamiento, cuando el suelo sea profundo, o sobre el camellón cuando el suelo sea delgado o superficial.
3.10. MICROTERRAZA CON ESCARIFICADO: Tratamiento mecanizado al suelo que permite controlar la escorrentía superficial y aumentar la infiltración. Se hace en curvas de nivel con una remoción superficial del suelo, conocida como escarificado. Previamente, se hace un subsolado a una profundidad mínima de 0,5 m, en curvas de nivel, utilizando buldózer o tractor. Para aumentar el control de la escorrentía superficial, la base de la microterraza debe presentar un ligero desnivel, de aproximadamente 1%, hacia el borde interno, y aguas abajo de la obra debe construirse un camellón. El espaciamiento entre microterrazas quedará definido según la densidad de la plantación, la inclinación y el estado de degradación del terreno

IV. COSTO DE ESTABILIZACIÓN DE DUNAS, POR HECTÁREA: $ 309.777

V. COSTO DE MANEJO, APLICABLE A PEQUEÑOS PROPIETARIOS FORESTALES

a)  Primera poda :  $ 53.332/ha  Se excluyen plantaciones de
                                  Eucalyptus globulus,

b)  Primer raleo :  $ 30.222/ha

VI. COSTO POR ASESORÍA PROFESIONAL APLICABLE A PEQUEÑOS PROPIETARIOS FORESTALES

    El valor del costo por concepto de asesoría profesional para cada una de las actividades de: forestación, recuperación de suelos degradados, estabilización de dunas, poda y raleo se incrementará en $ 61.208/ha por concepto asesoría profesional, el que es desagregado en $ 38.561/ha por concepto de asistencia técnica en terreno y $ 22.648/ha por concepto de elaboración de estudios técnicos.

    Para el caso de estudios técnicos de primera poda y raleo elaborados en forma separada, se cancelará $ 22.648/ha por una sola vez para cada superficie, independientemente si tal estudio se refiere a una o ambas actividades.

    En el caso de pequeños propietarios que se acojan a los estudios tipo preparados por CONAF, no accederán al monto por concepto de elaboración de estudios técnicos.
    Eduardo Vial Ruiz Tagle, Director Ejecutivo Corporación Nacional Forestal.