DENIEGA EN PARTE SOLICITUDES DE DERECHOS DE APROVECHAMIENTO NO CONSUNTIVOS DE AGUAS SUPERFICIALES QUE INDICA, EN LAS PROVINCIAS DE OSORNO Y LLANQUIHUE, REGIÓN DE LOS LAGOS Y ESTABLECE RESERVA DE CAUDALES

    Núm. 1.015.- Santiago, 13 de junio de 2013.- Vistos:

    1) Lo dispuesto en los artículos 147 bis inciso tercero y 147 ter del Código de Aguas;
    2) El informe técnico N° 48, de 3 de abril de 2013, denominado "Reserva para el Abastecimiento de la población que habita la Cordillera de la Costa entre los ríos Bueno y Maullín, Región de Los Lagos", de la Dirección General de Aguas Región de Los Lagos;
    3) El decreto N° 87, de 23 de agosto de 2005, del Ministerio Secretaría General de la Presidencia, que delegó la facultad contenida en el artículo 147 bis inciso tercero del Código de Aguas, en el Ministro de Obras Públicas;
    4) La resolución N° 1.600, de 30 de octubre de 2008, de la Contraloría General de la República;
    5) El dictamen N° 30.067, de 23 de mayo de 2012, de la Contraloría General de la República; y

    Considerando:

    1.- Que el artículo 147 bis, inciso tercero, del Código de Aguas, dispone que "cuando sea necesario reservar el recurso para el abastecimiento de la población por no existir otros medios para obtener el agua, o bien, tratándose de solicitudes de derechos no consuntivos y por circunstancias excepcionales y de interés nacional, el Presidente de la República podrá, mediante decreto fundado, con informe de la Dirección General de Aguas, disponer la denegación parcial de una petición de derecho de aprovechamiento. Este decreto se publicará por una sola vez en el Diario Oficial, el día primero o quince de cada mes, o el primer día hábil inmediatamente siguiente si aquéllos fueran feriados.".
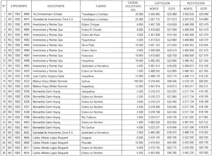
    2.- Que el informe técnico N° 48, de 3 de abril de 2013, denominado "Reserva para el Abastecimiento de la población que habita la Cordillera de la Costa entre los ríos Bueno y Maullín, Región de Los Lagos", de la Dirección General de Aguas, Región de Los Lagos, consigna que en las cuencas ubicadas en la Cordillera de la Costa entre los ríos Bueno y Maullín, en la Región de Los Lagos, se ha presentado gran cantidad de solicitudes de derecho de aprovechamiento de aguas de carácter no consuntivo que, en el evento de otorgarse, agotarán la disponibilidad de caudales para otorgar derechos consuntivos aguas arriba de sus respectivos puntos de captación, las cuales son:

    .

    3.- Que en las cuencas en que se ubican las solicitudes no consuntivas, existen habitantes y, en el evento de que se otorguen los derechos no consuntivos solicitados, no existirá disponibilidad para otorgar derechos de agua consuntivos a los habitantes de dichas cuencas.
    4.- Que en la Cordillera de la Costa, entre los ríos Bueno y Maullín, en la Región de Los Lagos, las únicas fuentes para obtener el agua que tienen los habitantes, son los ríos y esteros que la surcan.
    5.- Que, además, existe una serie de solicitudes de derecho de aprovechamiento consuntivo sobre las mismas cuencas que, en el evento de otorgarse los derechos no consuntivos, también se verán afectadas en cuanto a la disponibilidad de caudal, las que se indican a continuación:

    .

    6.- Que dichas solicitudes corresponden a peticiones realizadas por habitantes de la zona afectada que tiene por fin abastecerse del recurso (aquellas de caudales menores a 5 litros por segundo) y, por otra parte, para generar emprendimientos agrícolas (aquellas por caudales superiores a 5 litros por segundo) y contribuir con ello a generar empleo entre los pobladores de la zona en estudio, los que en su mayoría son de la etnia Mapuche Huilliche, cuyo detalle se describe en la Tabla N° 30, informe técnico N° 48, de 3 de abril de 2013, denominado "Reserva para el Abastecimiento de la población que habita la Cordillera de la Costa entre los ríos Bueno y Maullín, Región de Los Lagos", de la Dirección General de Aguas Región de Los Lagos.
    7.- Que, además, los costos asociados a la mayoría de las solicitudes en trámite, han sido financiados por el Programa de Saneamiento de Tierras y Aguas de la Corporación Nacional de Desarrollo Indígena; otras han sido financiadas por programas de Indap y por la Subdere.
    8.- Que, el reservar caudal para estas solicitudes en trámite se enmarca dentro del interés nacional, establecido en el artículo 147 bis inciso tercero, toda vez que permite que en la zona se generen nuevas alternativas de desarrollo para sus pobladores, contribuyendo a mejorar su calidad de vida, ayudando a disminuir la migración campo ciudad.
    9.- Que cabe dejar constancia que el caudal reservado se otorgará a la solicitud en trámite que haya sido considerada en el presente informe, en el evento de que cumpla con todos los requisitos establecidos en el Código de Aguas para tal efecto, previo Informe Técnico de Análisis de Caudales Disponibles elaborado por la Dirección General de Aguas Región de Los Lagos.
    10.- Que, por lo tanto, es procedente reservar el caudal necesario para el abastecimiento de la población que habita la zona descrita y para aquellas solicitudes de derecho de aprovechamiento consuntivo pendientes de resolución, cuya justificación se indica en los Considerandos 6 al 9.
    11.- Que, en consecuencia, conforme lo establecido en el artículo 147 bis inciso 3° del Código de Aguas, procede denegar parcialmente las solicitudes de aprovechamiento no consuntivos de aguas superficiales que indica, en las provincias de Osorno y Llanquihue, Región de Los Lagos.

    Decreto:

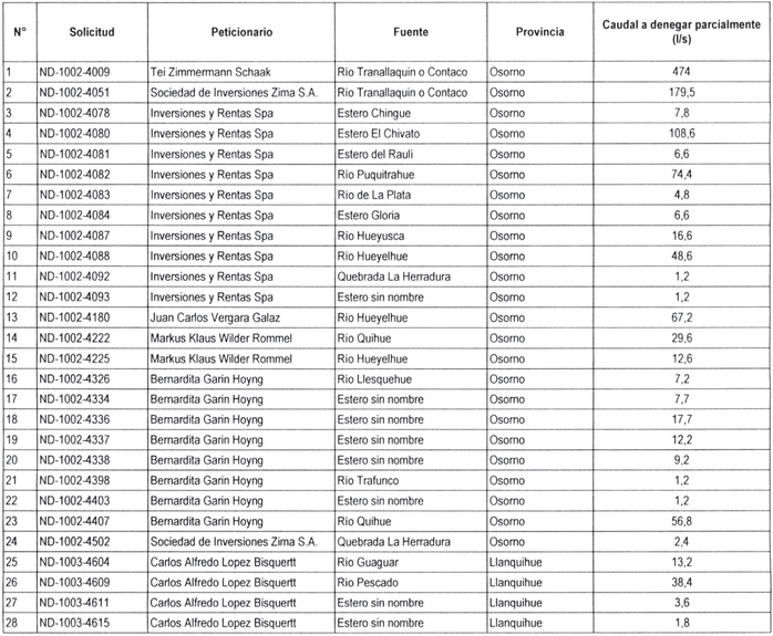
    1.- Deniéganse parcialmente las solicitudes de aprovechamiento no consuntivos de aguas superficiales que indica, en las provincias de Osorno y Llanquihue, Región de Los Lagos, contenidas en los expedientes administrativos que se señalan a continuación y por el caudal que se expresa:

    .

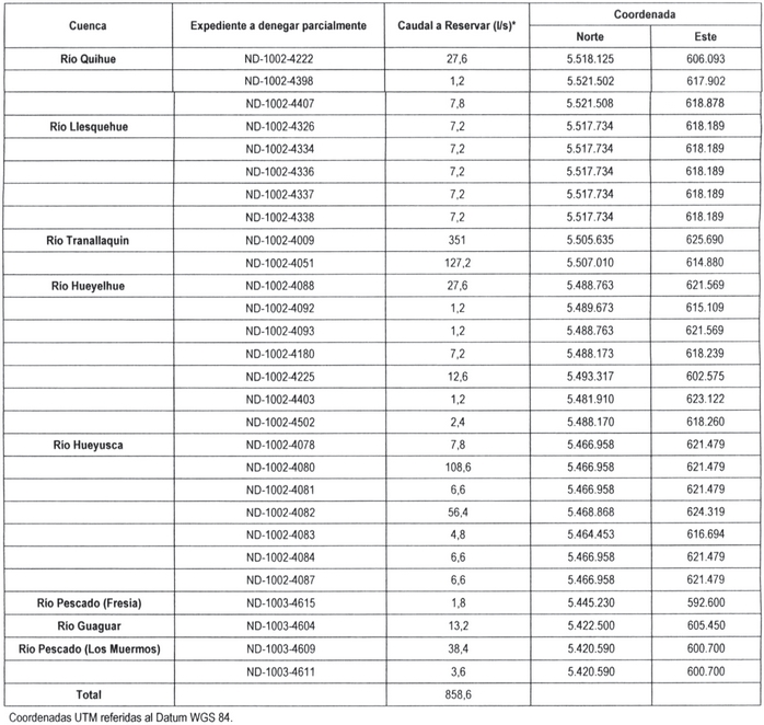
    2.- Resérvense los caudales que se indican, para la asignación de las solicitudes de derechos de aprovechamiento consuntivos siguientes:

    .

    3.- Déjese constancia que la asignación de los caudales reservados anteriormente, dependerá de que las solicitudes indicadas precedentemente cumplan los requisitos establecidos en el Código de Aguas y tras emitirse el correspondiente informe técnico de análisis de caudales disponibles, elaborado por la Dirección General de Aguas Región de Los Lagos.
    4.- Resérvense los caudales que se indican, para el abastecimiento de la población que reside aguas arriba de las restituciones de las solicitudes no consuntivas en trámite, los que estarán disponibles aguas arriba de las coordenadas que se indican a continuación:

    .

    5.- Rebájense de la disponibilidad de los balances hídricos pertinentes, los caudales correspondientes a las solicitudes denegadas en el punto N° 1 del presente decreto, que en total suman la cantidad de 1.211,9 litros por segundo:

    .

    6.- Déjese constancia que la asignación de caudales reservados anteriormente, dependerá de que los solicitantes puedan demostrar residencia en el sector en que solicitan el derecho, y el caudal a otorgar dependerá de la existencia de viviendas que puedan ser abastecidas, siendo el caudal estimado por cada una de 0,6 l/s.
    7.- Publíquese el presente decreto por una sola vez en el Diario Oficial, el día 1 ó 15 de cada mes, o el primer día hábil inmediatamente siguiente, si aquéllos fueran feriados.
    8.- Regístrese el presente decreto de conformidad con lo dispuesto en el artículo 122 del Código de Aguas.
    9.- Establécese que de acuerdo con lo dispuesto en el artículo 139 del Código de Aguas, el presente decreto se entenderá notificado desde la fecha de su dictación, por cuanto los interesados no designaron domicilio dentro de los límites urbanos del lugar en que funciona la oficina donde efectuaron su presentación.
    10.- Comuníquese el presente decreto a don Tei Zimmermann Schaak, a la Casilla 311, Pucón; a la Sociedad de Inversiones Zima S.A., a la Casilla 311, Pucón; a Inversiones y Renta SpA, a su domicilio ubicado en calle Magdalena N° 140, piso 6°, comuna de Las Condes, Santiago; a don Juan Carlos Vergara Galaz, a su domicilio ubicado en Paso El Roble N° 269, departamento 142-A, comuna de La Florida, Santiago; a don Markus Kalus Wilder Rommel, a su domicilio ubicado en Manuel Bulnes N° 815, oficina 601, Temuco; a doña Bernardita Garín Hoyng, a su domicilio ubicado en Paseo Los Bravos N° 4500, casa 239, comuna de Lo Barnechea, Santiago, y a don José Francisco Sánchez Drouilly, a su domicilio ubicado en Avenida Alonso de Córdova N° 5670, oficina 603, comuna de Las Condes, Santiago.
    11.- Comuníquese además el presente decreto al Sr. Director General de Aguas; a la División Legal de la Dirección General de Aguas; al Departamento de Administración de Recursos Hídricos de la Dirección General de Aguas; al Centro de Información de Recursos Hídricos de la Dirección General de Aguas; a las respectivas oficinas regionales y provinciales de la Dirección General de Aguas; a la Oficina de Partes de la Dirección General de Aguas.

    Anótese, regístrese, comuníquese y publíquese.- Por orden del Presidente de la República, Lucas Palacios Covarrubias, Ministro de Obras Públicas (S).
    Lo que transcribo a Ud. para su conocimiento.- Saluda atte. a Ud., Patricia Contreras Alvarado, Subsecretaria de Obras Públicas Subrogante.