ESTABLECE NUEVA ÁREA DE REGULACIONES CUARENTENARIAS PARA EL CONTROL Y ERRADICACIÓN DE LA MOSCA DEL MEDITERRÁNEO (CERATITIS CAPITATA W.) PARA EL MERCADO DE CHINA
    Núm. 802 exenta.- Santiago, 24 de abril de 2018.
    Vistos:
    La Ley N° 18.755, Orgánica del Servicio Agrícola y Ganadero; Lo dispuesto en el decreto ley N° 3.557, de 1980, sobre Protección Agrícola; la resolución exenta N° 3.513 del Servicio Agrícola y Ganadero, de 7 de diciembre de 1995, publicada en el Diario Oficial el 13 de diciembre del mismo año; la resolución N° 1.600 de la Contraloría General de la República y las facultades que invisto mediante resolución exenta RA 240/5/2018, de 2 de enero, que renueva Nombramiento del Director Regional Metropolitano del Servicio Agrícola y Ganadero.
    Considerando:
    1. Que, por resolución exenta N° 3.513, citada en vistos, se declaró a Chile como país libre de la plaga de los vegetales conocida como "Mosca del Mediterráneo" (Ceratitis capitata Wied).
    2. Que, con fecha 21 de abril de 2018, se ha detectado la presencia de un ejemplar de "Mosca del Mediterráneo" (Ceratitis capitata Wied) alejado del foco principal de las detecciones iníciales en la comuna de Ñuñoa.
    3. Que, en virtud de lo dispuesto en el N° 3 de la resolución N° 3.513, el Servicio está facultado para adoptar las medidas fitosanitarias que sean necesarias para el control y erradicación de esta plaga.
    4. Que, debe entenderse por área reglamentada, aquella en la cual los Establecimientos frutícolas que se encuentran dentro de ella, los productos vegetales y otros artículos regulados, que ingresan, se mueven dentro de ella y provienen de la misma, están sujetas a medidas fitosanitarias.
    5. Que, el Servicio, define como su área reglamentada la superficie incluida en un círculo de radio 7,2 km desde los puntos de detección, la cual es aceptada por la mayoría de los mercados de exportación, excepto por el mercado de China que considera un área reglamentada de 27,2 km desde cada punto de detección.
    6. Que, se hace necesario establecer restricciones cuarentenarias dirigidas específicamente al mercado de China, basadas en todos los protocolos de trabajo firmados con ese país y las aclaraciones oficiales recibidas con posterioridad.
    7. Que, en virtud de lo expuesto se procede a lo siguiente.
    Resuelvo:
    1. Establézcase:
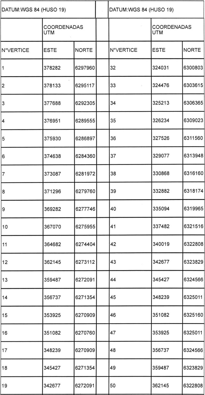
    a) A partir del 24 de abril de 2018, como área reglamentada para el mercado de China el polígono de 61 vértices, determinado por las siguientes coordenadas UTM, señaladas a continuación:
.
.
    b) El polígono que determina el área reglamentada incorpora completamente la comuna de La Pintana, El Bosque, Puente Alto, San Ramón, La Granja, La Cisterna, Lo Espejo, La Florida, San Miguel, Pedro Aguirre Cerda, Cerrillos, San Joaquín, Macul, Peñalolén, Estación Central, Lo Prado, Ñuñoa, La Reina, Santiago, Cerro Navia, Quinta Normal, Providencia, Independencia, Renca, Recoleta, Conchalí, Las Condes, Vitacura, Huechuraba, Quilicura y parcialmente las siguientes comunas: Peñaflor, Pirque, Calera de Tango, San Bernardo, Padre Hurtado, Maipú, Pudahuel, Lampa, Lo Barnechea, San José de Maipo, Colina, Buin.
    2. Dispóngase la ejecución de todas aquellas medidas fitosanitarias en el área reglamentada ya contempladas en la Res. exenta N° 447, de fecha 8 de marzo de 2018, y la N° 493, de fecha 16 de marzo de 2018.
    3. Déjese establecido que los inspectores del SAG podrán fiscalizar la aplicación de las medidas fitosanitarias dispuestas en este Control Obligatorio, revisar documentación relacionada con las medidas implementadas, realizar inspección de los cultivos, colectar muestras, entre otras, a fin de dar cumplimiento a lo dispuesto precedentemente.
    4. Déjese establecido que las transgresiones o incumplimientos de las medidas dispuestas, serán sancionadas de acuerdo a lo indicado en el decreto ley N° 3.557, de 1980, sobre Protección Agrícola y al procedimiento establecido en la Ley N° 18.755 Orgánica del Servicio Agrícola y Ganadero.
    5. Publíquese la presente resolución conforme lo dispuesto en el Art. 6 del DL 3.557, de 1980, y en especial a lo dispuesto en su Inc. 3°, publicándose en el Diario Oficial y en los periódicos de mayor circulación de la Región.
    Anótese comuníquese y publíquese.- Óscar Enrique Concha Díaz, Director Regional, Servicio Agrícola y Ganadero Región Metropolitana de Santiago.