FIJA PRECIOS DE NUDO PROMEDIO EN EL SISTEMA ELÉCTRICO NACIONAL, DE ACUERDO AL ARTÍCULO 158º DE LA LEY GENERAL DE SERVICIOS ELÉCTRICOS Y FIJA AJUSTES Y RECARGOS POR APLICACIÓN DEL MECANISMO DE EQUIDAD TARIFARIA RESIDENCIAL

    Núm. 20T.- Santiago, 13 de diciembre de 2018.

    Vistos:

    Lo dispuesto en el artículo 35 de la Constitución Política de la República; en el DL Nº 2.224, de 1978, que crea el Ministerio de Energía y la Comisión Nacional de Energía; en el decreto con fuerza de ley Nº 4/20.018, de 2006, del Ministerio de Economía, Fomento y Reconstrucción, que fija texto refundido, coordinado y sistematizado del decreto con fuerza de ley Nº 1, de Minería, de 1982, Ley General de Servicios Eléctricos, en materia de Energía Eléctrica, en adelante e indistintamente la "Ley"; en la ley Nº 20.936, que establece un nuevo sistema de transmisión eléctrica y crea un organismo coordinador independiente del sistema eléctrico nacional; en el decreto supremo Nº 86, de 29 de agosto de 2012, del Ministerio de Energía, que aprueba reglamento para la fijación de precios de nudo y sus modificaciones posteriores; en la resolución exenta Nº 703, de la Comisión Nacional de Energía, de 30 de octubre de 2018, que modifica resolución exenta Nº 778, que establece plazos, requisitos y condiciones para la fijación de precios de nudo promedio, de fecha 15 de noviembre de 2016,    modificada por resoluciones exentas Nº 203 y Nº 558, ambas de 2017, y fija texto refundido de la misma, en adelante la "RE Nº 703", todas de la Comisión Nacional de Energía, en adelante la "Comisión"; en el decreto supremo Nº 11T, de 4 de noviembre de 2016, del Ministerio de Energía, actualizado por el decreto supremo Nº 5T, de 7 de marzo de 2018, del Ministerio de Energía, que fija fórmulas tarifarias aplicables a los suministros sujetos a precios regulados que se señalan, efectuados por las empresas concesionarias de distribución que se indican, en adelante "Decreto 11T"; en la resolución exenta Nº 641, de fecha 30 de agosto de 2016, que establece plazos, requisitos y condiciones para la fijación de precios de nudo de corto plazo, modificada por las resoluciones exentas Nº 434, de 16 de agosto de 2017, Nº 603, de 3 de noviembre de 2017 y Nº10, de 18 de enero de 2018, todas de la Comisión; en el decreto supremo Nº 12T, de 24 de agosto de 2018, del Ministerio de Energía, que fija Precios de Nudo para Suministros de Electricidad; en el decreto supremo Nº 7T, de 18 de mayo de 2018, del Ministerio de Energía, que fija Precios de Nudo Promedio en el Sistema Eléctrico Nacional, de acuerdo al artículo 158º de la Ley General de Servicios Eléctricos y fija ajustes y recargos por aplicación del mecanismo de equidad tarifaria residencial, del Ministerio de Energía; en la resolución exenta Nº 773, de fecha 27 de noviembre de 2018, de la Comisión, que aprueba Informe Técnico Definitivo para la fijación de precios de nudo promedio del Sistema Eléctrico Nacional y de ajustes y recargos por aplicación del mecanismo de equidad tarifaria residencial, de noviembre de 2018, enviada al Ministerio de Energía mediante oficio CNE Of. Ord. Nº 654, de fecha 27 de noviembre de 2018, de la Comisión; y en la resolución Nº 1.600, de 2008, de la Contraloría General de la República.

    Considerando:

    1. Que, de conformidad a lo establecido en el artículo 158º de la ley, corresponde fijar por decreto del Ministerio de Energía, expedido bajo la fórmula "por orden del Presidente de la República", los precios promedio que las concesionarias de servicio público de distribución, en adelante e indistintamente las "concesionarias", deben traspasar a sus clientes regulados, previo informe de la Comisión;
    2. Que, de acuerdo a lo señalado en el artículo 158º, inciso tercero, de la ley, las concesionarias pagarán a sus suministradores los niveles de precios de los respectivos contratos señalados en el presente decreto;
    3. Que el artículo 158º de la ley señala que los decretos de precio de nudo promedio tendrán vigencia semestral y serán dictados en la oportunidad que determine el reglamento;
    4. Que, el artículo vigésimo transitorio de la ley Nº 20.936 estableció que mientras los reglamentos emanados de la mencionada ley no entren en vigencia, dichas disposiciones se sujetarán en cuanto a los plazos, requisitos y condiciones a las disposiciones de la ley y a las que se establezcan por resolución exenta de la Comisión;
    5. Que mediante la RE Nº 703, la Comisión estableció los plazos, requisitos y condiciones a los que deberá sujetarse el proceso de fijación de precios de nudo promedio regulado en los artículos 155º y siguientes de la ley;
    6. Que, la señalada RE Nº 703, junto con fijar un texto refundido introdujo modificaciones en relación al tipo de cambio a utilizar en el cálculo para la determinación y aplicación de los precios de nudo promedio con la finalidad de reducir la volatilidad en las cuentas finales de los clientes regulados;
    7. Que, la modificación señalada en el considerando anterior implicó que la Comisión emitiera un nuevo Informe Técnico Preliminar para la Fijación de Precios de Nudo Promedio del Sistema Eléctrico Nacional y de ajustes y recargos por aplicación del mecanismo de equidad tarifaria residencial para ser sometido a las observaciones de las empresas;
    8. Que, el artículo 157º de la ley regula los mecanismos de reconocimiento de generación local y de reconocimiento de generación local adicional;
    9. Que, de conformidad a lo establecido en el inciso octavo del artículo 157º de la ley, las reliquidaciones entre empresas concesionarias deberán ser calculadas por el Coordinador Independiente del Sistema Eléctrico Nacional, en adelante el "Coordinador";
    10. Que el artículo 191º de la ley regula el mecanismo de equidad tarifaria residencial, estableciendo que los ajustes y recargos a que dé lugar la aplicación del mencionado mecanismo serán fijados en el presente decreto previo informe de la Comisión;
    11. Que, la Comisión remitió al Ministerio de Energía, mediante oficio CNE Of. Ord. Nº 654, de fecha 27 de noviembre de 2018, la resolución exenta Nº 773, de la misma fecha, que aprueba Informe Técnico Definitivo para la fijación de precios de nudo promedio del Sistema Eléctrico Nacional y de ajustes y recargos por aplicación del mecanismo de equidad tarifaria residencial, correspondiente a noviembre de 2018; y
    12. Que el informe técnico señalado en el considerando anterior contiene el cálculo de los nuevos precios de nudo promedio para cada empresa concesionaria de distribución, según lo establecido en el artículo 157º de la ley, los cargos y descuentos asociados a la aplicación de los mecanismos de reconocimiento de generación local y de reconocimiento de generación local adicional, y de conformidad a lo dispuesto en el artículo 191º de la ley, los ajustes y recargos a aplicar en virtud del mecanismo de equidad tarifaria residencial.

    Decreto:


NOTA
      El artículo 5° de la Ley 21285, energía, publicada el 02.11.2019, modifica la presente norma en el sentido de extender su vigencia desde su vencimiento original hasta la publicación del decreto de precio de nudo promedio que corresponda dictar con posterioridad a la entrada en vigencia de la citada ley.
    Artículo primero: Fíjanse los siguientes precios de nudo promedio y las condiciones de aplicación de los mismos, para los suministros de electricidad destinados a clientes sometidos a regulación de precios, en adelante e indistintamente, "clientes regulados" o "clientes", en virtud de lo señalado en los artículos 155º y siguientes de la ley. Estos precios se aplicarán desde la publicación del presente decreto en el Diario Oficial, sin perjuicio de su entrada en vigencia a contar del 1º de enero de 2019, de acuerdo a lo dispuesto en la RE Nº 703.

    1. DEFINICIONES Y CONSIDERACIONES

    1.1 Precios de Nudo de Largo Plazo de energía y potencia

    Son aquellos precios que debe pagar una concesionaria a su suministrador en virtud del contrato de suministro respectivo, suscrito a partir de las licitaciones públicas reguladas en conformidad a los artículos 131º y siguientes de la ley.

    1.2 Precios de Nudo de Corto Plazo de energía y potencia de punta

    Son aquellos precios fijados semestralmente conforme a lo establecido en el artículo 160º de la ley y demás normativa vigente.

    1.3 Consideraciones Generales

    Para los efectos del presente decreto, el precio de nudo promedio corresponderá al promedio de los precios de nudo de largo plazo vigentes para los suministros, conforme a la modelación de los contratos de las concesionarias, ponderando cada precio por el volumen de suministro correspondiente.
    En el caso que una concesionaria, a la fecha de entrada en vigencia del presente decreto, tenga suministros sujetos a precio de nudo de corto plazo, el precio de nudo promedio se obtendrá considerando esos suministros con criterios similares a los contratos licitados, constituyéndose entonces como un contrato recogido en el cálculo del precio de nudo promedio.
    La modelación de los contratos de suministro, elaborada por la Comisión con ocasión de la realización de su informe técnico, considera los índices disponibles al momento en que realiza el cálculo. Lo anterior, sin perjuicio del pago que deban realizar las concesionarias a sus suministradores, de acuerdo a lo establecido en sus respectivos contratos.

    2. PRECIOS DE NUDO DE LARGO PLAZO

    2.1 Precios de Nudo de Largo Plazo en puntos de oferta actualizados y Ajustes por Armonización Tarifaria

    Los Precios de Nudo de Largo Plazo de energía y potencia, de acuerdo a lo señalado en los artículos 6 y 11 de la RE Nº 703 y los Ajustes por Armonización Tarifaria o "AAT", conforme a lo indicado en el artículo 18 de la RE Nº 703, son los que se indican en la siguiente tabla.
    Para estos efectos, se han considerado las empresas que resultaron adjudicadas en las respectivas licitaciones, sin perjuicio de las posteriores cesiones de contratos y cambios en la persona jurídica del suministrador.

.
.
.
.
.
.
.
.
.
.
.
.
.
.
.
.

    2.2 Diferencias por compras de contratos de suministro sin previsión de demanda

    Para los efectos de la aplicación del artículo 18º de la RE Nº 703, en contratos de suministro que durante el periodo de vigencia de las tarifas fijadas en el presente decreto, no cuenten con previsión de demanda asociada a dicho periodo, establézcanse las diferencias por compras que se señalan en la siguiente tabla:

.

    Las diferencias por compras establecidas en la tabla anterior, correspondientes al periodo enero - junio de 2018, constituyen el monto que las concesionarias deberán pagar a sus respectivos suministradores.
    Las diferencias por compras establecidas en las tablas de los numerales 2.1 y 2.2 deberán ser pagadas por las concesionarias a sus correspondientes suministradores de acuerdo a lo recaudado mediante los Cargos por Armonización Tarifaria. El pago debe ser conforme a los montos efectivamente facturados a prorrata de sus contratos.

    3. PRECIOS DE NUDO PROMEDIO APLICABLES A CLIENTES REGULADOS

    Para efectos de la determinación de los precios de nudo promedio a utilizar en las fórmulas tarifarias de las concesionarias, según se establece en el Decreto 11T, se considerarán los precios que se presentan en la tabla subsiguiente, donde se indican los AR, los CD RGL y el CAT correspondientes, para cada concesionaria y sector de nudo asociado al sistema de transmisión zonal en donde se ubica el cliente respectivo, considerando la siguiente clasificación para las empresas distribuidoras presentes en más de un sector de nudo:

.
.
.
.
.

*En el caso de las comunas que están asociadas a dos o más sistemas de transmisión zonal, la concesionaria deberá asignar el cliente al sistema que le corresponda de acuerdo a la información que sustenta el proceso anual de "Ingresos de Explotación" entregado a la SEC.

    Los precios de nudo de energía y potencia promedio en nivel de distribución para cada concesionaria fueron calculados de acuerdo a las fórmulas, parámetros y definiciones considerados en el informe técnico de la Comisión.

.
.
.
.
.
.
.
.
.
.

    Para el caso particular de los sistemas medianos de Cochamó y Hornopirén pertenecientes a la zona de concesión de Saesa, no será aplicable el cargo correspondiente los parámetros AR, CD RGL y CAT.

    4. GRAVÁMENES E IMPUESTOS

    Las tarifas establecidas en el presente decreto son netas y no incluyen el impuesto al valor agregado ni otros impuestos o tributos que sean de cargo de los clientes.

    5. RELIQUIDACIONES ENTRE CONCESIONARIAS

    5.1 Mecanismo de reliquidación del Coordinador

    El Coordinador determinará las reliquidaciones entre concesionarias producto de la aplicación del artículo 157º de la ley. A ese efecto, para cada concesionaria deberá reliquidar, a más tardar dentro de los primeros 15 días corridos de cada mes, respecto del mes anterior, los montos asociados a la aplicación del factor ARbase y CD RGLbase del precio traspasado al cliente final, establecido en el número 3 del artículo primero del presente decreto, considerando lo siguiente:

    5.1.1 Reliquidación entre concesionarias del ARbase.

    a) Para cada concesionaria y a partir de los volúmenes de energía facturados para el suministro de clientes regulados, el Coordinador deberá calcular el monto asociado a la valorización, producto de la aplicación del factor ARbase correspondiente, señalado en el número 3 del artículo primero del presente decreto, que resulta de aplicar la siguiente expresión:

.

    Cuando la energía facturada o la lectura de inyecciones esté conformada por fracciones de tiempo en que se hayan incluido distintos ajustes o recargos, el monto recaudado se determinará a partir de la proporción de días en los cuales se encuentre vigente el ajuste o recargo que en cada caso corresponda.

    b) La valorización de dicho monto (MFAR) se denominará, para cada concesionaria, Valorización del Ajuste (VA) o bien Valorización del Recargo (VR), según lo siguiente:

.

    c) El Coordinador deberá validar la información entregada por las concesionarias. Asimismo, a partir de la suma de la totalidad de los VA y VR de los sistemas eléctricos, obtenidos según la letra anterior, deberá determinar la valorización total de los ajustes de los sistemas (VTAS) y la valorización total de los recargos de los sistemas (VTRS), según corresponda.
    d) La VTRS deberá ser transferida a las concesionarias con ajustes a prorrata de sus respectivos VA. Por su parte, las concesionarias que hayan aplicado recargos en sus tarifas finales, deberán transferirlos a prorrata de sus respectivos VR.

    Sin perjuicio de lo anterior, en caso que la VTRS sea superior a la de la VTAS, el monto total que deberán transferir las concesionarias que aplican recargos, será igual a la VTAS.
    e) Las concesionarias deberán hacer efectiva la reliquidación, procediendo a realizar el pago correspondiente, a más tardar 3 días contados desde la determinación de los montos a reliquidar entre concesionarias por el Coordinador. Asimismo, deberá informar a este último los pagos recibidos o realizados con ocasión de dicha reliquidación, conforme al formato que para ello establezca el Coordinador.
    f) El Coordinador deberá contabilizar en cuentas individuales por concesionaria los montos correspondientes a los saldos resultantes de la aplicación de la reliquidación, de modo que ellos sean considerados en las reliquidaciones posteriores que mensualmente efectúen.
    g) El Coordinador deberá informar a la Comisión y a la Superintendencia de Electricidad y Combustibles, dentro de los 25 primeros días corridos de cada mes, el detalle de los resultados de las reliquidaciones indicadas en la letra d) anterior y los volúmenes de energía determinados de acuerdo a la letra a) de este número.
    h) Conjuntamente con el envío de la información a que hace referencia la letra anterior, el Coordinador deberá informar a la Comisión los volúmenes de energía y potencia asociados a los contratos de suministro, de acuerdo a los formatos que ésta establezca.

    5.1.2 Reliquidación entre concesionarias del CD RGLbase.

    a) Para cada concesionaria y a partir de los volúmenes de energía facturados para el suministro de clientes regulados, el Coordinador deberá calcular el monto asociado a la valorización, producto de la aplicación del factor CD RGLbase correspondiente, señalado en el número 3 del artículo primero del presente decreto, que resulta de aplicar la siguiente expresión:

.

    Cuando la energía facturada o la lectura de inyecciones esté conformada por fracciones de tiempo en que se hayan incluido distintos cargos o descuentos, el monto recaudado se determinará a partir de la proporción de días en los cuales se encuentre vigente el cargo o descuento que en cada caso corresponda.

    b) La valorización de dicho monto (MFCD RGL) se denominará, para cada concesionaria,
Valorización del Cargo (VC) o bien Valorización del Descuento (VD), según lo siguiente:

.

    c) El Coordinador deberá validar la información entregada por las concesionarias. Asimismo, a partir de la suma de la totalidad de los valores VC y VD de las comunas, obtenidos según la letra anterior, deberá determinar la valorización total de los descuentos de las comunas (VTDC) y la valorización total de los cargos de las comunas (VTCC), según corresponda.
    d) La VTCC deberá ser transferida a las concesionarias con descuentos a prorrata de sus respectivos valores VD. Por su parte, las concesionarias que hayan aplicado cargos en sus tarifas finales, deberán transferirlos a prorrata de sus respectivos VC.
        Sin perjuicio de lo anterior, en caso que la VTCC sea superior a la de la VTDC, el monto total que deberán transferir las concesionarias que aplican cargos, será igual a la VTDC.
    e) Las concesionarias deberán hacer efectiva la reliquidación, procediendo a realizar el pago correspondiente, a más tardar 3 días contados desde la determinación de los montos a reliquidar por el Coordinador. Asimismo, deberán informar a este último los pagos recibidos o realizados con ocasión de dicha reliquidación, conforme al formato que para ello establezca el Coordinador.
    f) El Coordinador deberá contabilizar en cuentas individuales por concesionaria los montos correspondientes a los saldos resultantes de la aplicación de la reliquidación, de modo que ellos sean considerados en las reliquidaciones entre concesionarias posteriores que mensualmente efectúe.
    g) El Coordinador deberá informar a la Comisión y a la Superintendencia de Electricidad y Combustibles, dentro de los 25 primeros días corridos de cada mes, el detalle de los resultados de las reliquidaciones indicadas en la letra d) anterior y los volúmenes de energía determinados de acuerdo a la letra a) de este número.
    h) Conjuntamente con el envío de la información a que hace referencia la letra anterior, el Coordinador deberá informar a la Comisión los volúmenes de energía y potencia asociados a los contratos de suministro, de acuerdo a los formatos que ésta establezca.

    5.2 Determinación de excedente o déficit de recaudaciones

    En virtud de lo establecido en el inciso penúltimo del artículo 133º de la ley, la Comisión determinará los excedentes o déficit de recaudación producto de las reliquidaciones realizadas conforme el número 5.1 del presente decreto y de la diferencia de precios y volúmenes de energía y potencia que resultaren de la aplicación del presente decreto con respecto a los contratos de suministro modelados con información actualizada.
    Los excedentes o déficits de recaudación corresponderán a la diferencia que resulte entre la aplicación de los precios contenidos en el presente decreto sobre los volúmenes de energía y potencia a que se refiere la letra h) del número 5.1.1 y 5.1.2 precedente, incorporando a su vez las reliquidaciones a que dé origen la letra d) del número 5.1.1 y 5.1.2 de este decreto y las facturaciones teóricas del cumplimiento de los contratos de suministro de las concesionarias.
    La facturación teórica anteriormente mencionada corresponde al monto que resulte de considerar los volúmenes de energía y potencia señalados en la letra h) del número 5.1.1 y 5.1.2 del presente decreto, valorizados a los precios calculados por la Comisión para los contratos de suministros, debidamente indexados con los índices definitivos del mes correspondiente.
    La Comisión deberá considerar en la elaboración del siguiente informe técnico de fijación de precios de nudo promedio semestral, de acuerdo a la información de la cual disponga, los montos de excedentes o déficits de recaudación para ser reconocidos en la determinación del nivel tarifario del siguiente período.

    5.3 Obligaciones de la concesionaria

    Para la determinación de los montos afectos a reliquidación entre concesionarias a que hace referencia el número 5.1 del presente decreto por parte del Coordinador, las concesionarias deberán entregar toda la información requerida en la forma que para dichos efectos la Comisión establezca, a más tardar dentro de los primeros 8 días corridos de cada mes.

    5.4 Intereses y reajustes

    Los cálculos que realicen el Coordinador y la Comisión en la aplicación de las reliquidaciones que correspondan de acuerdo a este número 5, deberán incluir el cálculo de los intereses y reajustes que procedan.
    Artículo segundo: Fíjanse los ajustes y recargos a que da origen el mecanismo de equidad tarifaria residencial establecido en el artículo 191º de la ley y las condiciones de aplicación del mismo.

    1. MECANISMO DE EQUIDAD TARIFARIA RESIDENCIAL

    De conformidad a lo establecido en los incisos segundo y siguientes del artículo 191º de la ley, en el conjunto de los sistemas eléctricos con capacidad instalada superior a 1.500 kilowatts, las tarifas máximas que las empresas distribuidoras podrán cobrar por suministro a usuarios residenciales no podrán superar el promedio simple de éstas, calculadas sobre la base de un consumo tipo, incrementado en un 10% del mismo, considerando una muestra representativa. En caso que dichas tarifas excedan el porcentaje señalado, se deberá aplicar un ajuste a la componente contemplada en el número 3 del artículo 182º de la ley. Si a pesar de ello no se lograre alcanzar el porcentaje antes mencionado, se aplicará el máximo descuento obtenido, sin que procedan ajustes adicionales.
    Las diferencias serán absorbidas progresivamente por todos los demás suministros sometidos a regulación de precios que estén bajo el promedio señalado, con excepción de aquellos usuarios residenciales cuyo consumo promedio mensual de energía del año calendario anterior sea menor o igual a 200 kWh, de modo que no varíe la recaudación total inicial. Sin perjuicio de lo anterior, las tarifas correspondientes a aquellos usuarios residenciales que deban absorber las diferencias señaladas, no podrán resultar superiores al promedio simple de éstas.
    Los ajustes y recargos que se originen con motivo de la aplicación del mecanismo antes señalado, se implementarán mediante la aplicación de los factores de equidad tarifaria residencial (FETR) a las correspondientes fórmulas tarifarias señaladas en el decreto 11T.

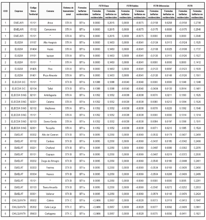
    2. FACTORES DE EQUIDAD TARIFARIA RESIDENCIAL

    Los FETR a aplicar en las correspondientes fórmulas tarifarias contenidas en el Decreto 11T son los contenidos en la siguiente tabla:

.
.
.
.
.
.
.
.
.
.
.
.

* Todas aquellas comunas que no se encuentren individualizadas en la tabla y que son suministradas por la respectiva empresa concesionaria en el sistema de transmisión zonal indicado.

    En particular, para las combinaciones de tipos de suministros que se indican a continuación, atendidos los factores de modulación de costos subterráneos establecidos en el numeral 7.11 del Decreto 11T que le corresponden a estos suministros a clientes residenciales, se deben aplicar los FETR señalados en la siguiente tabla en las correspondientes fórmulas tarifarias contenidas en el decreto 11T:

.

    Para el caso de los clientes residenciales cuyo consumo promedio mensual de energía del año calendario anterior haya sido mayor a 200 kWh y menor o igual a 240 kWh, los factores señalados en las tablas precedentes deberán aplicarse conforme las proporciones a que se refiere el inciso segundo del artículo 191º de la ley.

    3. RELIQUIDACIONES ENTRE CONCESIONARIAS

    Las transferencias entre concesionarias a que den origen las diferencias de facturación producto de la aplicación del mecanismo indicado anteriormente serán calculadas por el Coordinador de acuerdo a lo señalado en la resolución exenta Nº 556, de fecha 6 de octubre de 2017, de la Comisión.
    Anótese, tómese razón y publíquese.- Por orden del Presidente de la República, Susana Jiménez Schuster, Ministra de Energía.
    Lo que transcribo a Ud. para su conocimiento.- Saluda Atte. a Ud., Marcelo Mardones Osorio, Jefe División Jurídica, Subsecretaría de Energía.