APRUEBA ENMIENDA 6 A LA EDICIÓN 1 DE LA DAN 92 VOLUMEN III "REGLA DE OPERACIÓN PARA OPERACIONES NO COMERCIALES - HELICÓPTEROS"

    Núm. 931 exenta.- Santiago, 17 de septiembre de 2019.

    Vistos:

    a) La Ley Nº 18.916, de 1990, que aprueba el Código Aeronáutico y sus posteriores modificaciones;
    b) La Ley Nº 16.752, de 1968, que Fija Organización y Funciones y establece Disposiciones Generales a la Dirección General de Aeronáutica Civil y sus posteriores modificaciones;
    c) El decreto supremo Nº 222, de 2004, del Ministerio de Defensa Nacional, que aprueba el Reglamento Orgánico y de Funcionamiento (ROF) de la Dirección General de Aeronáutica Civil y sus posteriores modificaciones;
    d) El decreto supremo Nº 509 bis, de 28 de abril de 1947, del Ministerio de Relaciones Exteriores, publicado en el Diario Oficial de Chile el 6 de diciembre de 1957, que promulga el Convenio sobre Aviación Civil Internacional, suscrito en Chicago el 7 de diciembre de 1944;
    e) El Anexo 6 Parte III "Operaciones Internacionales-Helicópteros", Sección III "Aviación General Internacional", que incluye hasta la enmienda 22;
    f) El Reglamento DAR 06 Volumen III "Operación de Aeronaves-Aviación General";
    g) La resolución E Nº 0650 de fecha 18 oct 2013 que aprueba la 1a edición de la DAN 92 Volumen III "Regla de Operación para operaciones No Comerciales - Helicópteros";
    h) La propuesta de enmienda 6 a la DAN 92 Volumen III, puesta para opinión de los usuarios con fecha 06 feb 2019;
    i) Lo propuesto por la Sección Normas en su Nota de Estudio (SN) 04, 05 y 06-2017 y (OPS) 19 y 21-2018.

    Considerando:

    a) La necesidad de estandarizar con los requisitos contenidos con el Anexo 6 Parte III de OACI que incluye las enmiendas 1 a la 22;
    b) Las conclusiones alcanzadas durante el análisis de los comentarios recibidos respecto a las propuestas de la enmienda 6 a la DAN 92 Volumen III publicadas como "Normativa para Opinión" en la página web institucional;
    c) La necesidad de estandarizar el vocabulario entre las normas técnicas relacionadas con la operación no comercial de aeronaves y la normativa de aeronavegabilidad;
    d) La necesidad de estandarizar requisitos y plazos de cumplimiento establecidos en las reglas de operación para la aviación no comercial.

    Resuelvo:


    Apruébase, a partir del 15 de octubre 2019, la sexta enmienda a la edición 1 de la DAN, 92 Volumen III "Regla de Operación para operaciones No Comerciales - Helicópteros."

    Anótese y comuníquese.- Víctor Villalobos Collao, General de Aviación, Director General.

    CAPÍTULO A

    GENERALIDADES

92.1 DEFINICIONES

ACTUACIÓN HUMANA.

Capacidades y limitaciones humanas que repercuten en la seguridad operacional y eficiencia de las operaciones aeronáuticas.

AERÓDROMO

Área definida de tierra o de agua (que incluye todas sus edificaciones, instalaciones y equipos) destinada toda o parcialmente a la llegada, salida y movimiento en la superficie de la aeronave

AERÓDROMO AISLADO

Aeródromo de destino para el cual no hay aeródromo de alternativa para un tipo de aeronave determinada.

AERONAVE.

Toda máquina que puede sustentarse en la atmósfera por reacciones del aire que no sean las reacciones del mismo contra la superficie de la tierra.

AERONAVEGABLE

Condición de una aeronave, motor o hélice, cuando se encuentra conforme a su Certificado de Tipo y en condición de operación segura.

Condición de una parte, de un componente o de un sistema de aeronave, cuando se encuentra conforme a su diseño aprobado y en condición de operación segura.

ALCANCE VISUAL EN LA PISTA (RVR)

Distancia hasta la cual el piloto de una aeronave que se encuentra sobre el eje de una pista puede ver las señales de superficie de la pista o las luces que la delimitan o que señalan su eje.

ALTITUD DE DECISIÓN (DA) O ALTURA DE DECISIÓN (DH).

Altitud o altura especificada en una operación de aproximación por instrumentos 3D, a la cual debe iniciarse una maniobra de aproximación frustrada si no se ha establecido la referencia visual requerida para continuar la aproximación.

ALTITUD DE FRANQUEAMIENTO DE OBSTÁCULOS (OCA) O ALTURA DE FRANQUEAMIENTO DE OBSTÁCULOS (OCH).

La altitud más baja o la altura más baja por encima de la elevación del umbral de la pista pertinente o por encima de la elevación del aeródromo, según corresponda, utilizada para respetar los correspondientes criterios de franqueamiento de obstáculos.

ALTITUD MÍNIMA DE DESCENSO (MDA) O ALTURA MÍNIMA DE DESCENSO (MDH).

Altitud o altura especificada en una operación de aproximación por instrumentos 2D o en una operación de aproximación en circuito, por debajo de la cual no debe efectuarse el descenso sin la referencia visual requerida.

APROXIMACIÓN FINAL EN DESCENSO CONTINUO (CDFA)

Técnica de vuelo, congruente con los procedimientos de aproximación estabilizada, para el tramo de aproximación final siguiendo procedimientos de aproximación por instrumentos que no es de precisión en descenso continuo, sin nivelaciones de altura, desde una altitud/altura igual o superior a la altitud/ altura del punto de referencia de aproximación final hasta un punto a aproximadamente 15 m (50 ft) por encima del umbral de la pista de aterrizaje o hasta el punto en el que la maniobra de enderezamiento debería comenzar para el tipo de aeronave que se esté operando.

ÁREA CONGESTIONADA

Superficie que contiene elementos, estructuras o personas, dispuestas de tal forma, que ante una operación de emergencia puede crear peligro adicional para la aeronave, personas o propiedad.

ÁREA DE APROXIMACIÓN FINAL Y DE DESPEGUE (FATO).

Área definida en la que termina la fase final de la maniobra de aproximación hasta el vuelo estacionario o el aterrizaje y a partir de la cual empieza la maniobra de despegue. Cuando la FATO esté destinada a helicópteros que operan en Clase de performance 1, el área definida comprenderá el área de despegue interrumpido disponible.

ATERRIZAJE FORZOSO SEGURO.

Aterrizaje o amaraje inevitable con una previsión razonable de que no se produzcan lesiones a las personas en la aeronave ni en la superficie.

CATEGORÍA A.

Con respecto a los helicópteros, significa un helicóptero multimotor diseñado con las características de aislamiento de los motores y los sistemas especificadas en el Anexo 8, Parte IVB, apto para ser utilizado en operaciones en que se usen datos de despegue y aterrizaje anotados bajo el concepto de falla de motor crítico que asegura un área de superficie designada adecuada y capacidad de performance adecuada para continuar el vuelo en condiciones de seguridad o para un despegue interrumpido seguro.

CATEGORÍA B.

Con respecto a los helicópteros, significa un helicóptero monomotor o multimotor que no cumple las normas de la Categoría A. Los helicópteros de la Categoría B no tienen capacidad garantizada para continuar el vuelo seguro en caso de falla de un motor y se presume un aterrizaje forzoso.

CENTRO DE MANTENIMIENTO AERONÁUTICO (CMA)

Organismo técnico nacional aprobado por la Dirección General de Aeronáutica Civil (DGAC), para efectuar trabajos de mantenimiento, alteraciones o reparaciones de aeronaves y componentes de aeronaves.

CERTIFICADO DE AERONAVEGABILIDAD

Documento emitido por la DGAC para certificar que una determinada aeronave se encuentra aeronavegable. A menos que sea revocado, suspendido o se exceda su fecha de expiración, permanece efectivo o válido mientras el mantenimiento de la aeronave sea efectuado conforme a las normas de operación y de mantenimiento aplicables publicadas por la DGAC.

CHALECO SALVAVIDAS

Dispositivo de flotación que permite que una persona en estado consciente o inconsciente mantenga la cabeza fuera del agua.

COMUNICACIÓN BASADA EN LA PERFORMANCE (PBC).

Comunicación basada en especificaciones sobre la performance que se aplican al suministro de servicios de tránsito aéreo

CONDICIÓN DE AERONAVEGABILIDAD.

Estado de una aeronave, motor, hélice o pieza que se ajusta al diseño aprobado correspondiente y está en condiciones de operar de modo seguro.

CONDICIÓN DE OPERACIÓN SEGURA

Condición en que aparentemente se encuentra una aeronave o parte de ésta, si no se le observa desgaste o deterioro más allá de límites aceptables o normales, ni daño u otra anormalidad evidente.

CONDICIONES METEOROLÓGICAS DE VUELO POR INSTRUMENTOS (IMC).

Condiciones meteorológicas expresadas en términos de visibilidad, distancia desde las nubes y techo de nubes, inferiores a los mínimos especificados para las condiciones meteorológicas de vuelo visual.

CONDICIONES METEOROLÓGICAS DE VUELO VISUAL (VMC).

Condiciones meteorológicas expresadas en términos de visibilidad, distancia desde las nubes y techo de nubes, iguales o mejores que los mínimos especificados.

CONFORMIDAD DE MANTENIMIENTO.

Documento por el que se certifica que los trabajos de mantenimiento a los que se refieren han sido concluidos de manera satisfactoria, bien sea de conformidad con los datos aprobados y los procedimientos descritos en el manual de procedimientos del organismo de mantenimiento o según un sistema equivalente.

A partir del 05 nov 2020, documento por el que se certifica que los trabajos de mantenimiento a los que se refieren han sido concluidos de manera satisfactoria, de conformidad con los requisitos adecuados de aeronavegabilidad.

CONTROL OPERACIONAL (CONTROL DE LAS OPERACIONES)

Autoridad ejercida respecto a la iniciación, continuación, desviación o terminación de un vuelo en interés de la seguridad de la aeronave y de la regularidad y eficacia del vuelo.

DIRECTIVA DE AERONAVEGABILIDAD (AD/DA).
   
Documento de carácter técnico de cumplimiento obligatorio, emitido por el Estado de diseño, o por la DGAC, que establece inspecciones, modificaciones, reemplazo o limitaciones operacionales a un producto aeronáutico o componente, para eliminar una condición insegura y que podría desarrollarse o existir en todos los productos o componentes del mismo diseño.

DISPOSITIVO DE INSTRUCCIÓN PARA SIMULACIÓN DE VUELO.
   
Cualquiera de los tres tipos de aparatos que a continuación se describen, en los cuales se simulan en tierra las condiciones de vuelo:

Simulador de vuelo, que proporciona una representación exacta del puesto de pilotaje de un tipo particular de aeronave hasta el punto de que simula positivamente las funciones de los mandos de las instalaciones y sistemas mecánicos, eléctricos, electrónicos, etc., de a bordo, el medio ambiente normal de los miembros de la tripulación de vuelo, y la performance y las características de vuelo de ese tipo de aeronave.

Entrenador para procedimientos de vuelo, que reproduce con toda fidelidad el medio ambiente del puesto de pilotaje y que simula las indicaciones de los instrumentos, las funciones simples de los mandos de las instalaciones y sistemas mecánicos, eléctricos, electrónicos, etc., de a bordo, y la performance y las características de vuelo de las aeronaves de una clase determinada.

Entrenador básico de vuelo por instrumentos, que está equipado con los instrumentos apropiados, y que simula el medio ambiente del puesto de pilotaje de una aeronave en vuelo, en condiciones de vuelo por instrumentos.

ENTORNOS OPERACIONALES.

Entorno hostil.

Entorno en que:

(a)  no se puede realizar un aterrizaje forzoso seguro debido a que la superficie y su entorno son inadecuados; o

(b)  los ocupantes del helicóptero no pueden estar adecuadamente protegidos de los elementos; o
   
(c)  no se provee respuesta/capacidad de búsqueda y salvamento de acuerdo con la exposición prevista; o
   
(d)  existe un riesgo inaceptable de poner en peligro a las personas o a los bienes en tierra.
Entorno hostil congestionado.

Entorno hostil dentro de un área congestionada. Entorno hostil no congestionado.

Entorno hostil fuera de un área congestionada. Entorno no hostil.

Entorno en que:

(a)  un aterrizaje forzoso seguro puede realizarse porque la superficie y el entorno circundante son adecuados;

(b)  los ocupantes del helicóptero pueden estar adecuadamente protegidos de los elementos;
   
(c)  se provee respuesta/capacidad de búsqueda y salvamento de acuerdo con la exposición prevista; y

(d)  el riesgo evaluado de poner en peligro a las personas o a los bienes en tierra es aceptable

ESPECIFICACIÓN DE PERFORMANCE DE COMUNICACIÓN REQUERIDA (RCP).

Conjunto de requisitos para el suministro de servicios de tránsito aéreo y el equipo de tierra, las capacidades funcionales de la aeronave y las operaciones correspondientes que se necesitan para apoyar la comunicación basada en la performance.

ESPECIFICACIÓN DE PERFORMANCE DE VIGILANCIA REQUERIDA (RSP).

Conjunto de requisitos para el suministro de servicios de tránsito aéreo y el equipo de tierra, las capacidades funcionales de la aeronave y las operaciones correspondientes que se necesitan para apoyar la vigilancia basada en la performance.

ESPECIFICACIÓN PARA LA NAVEGACIÓN.

Conjunto de requisitos relativos a la aeronave y a la tripulación de vuelo necesarios para dar apoyo a las operaciones de la navegación basada en la performance dentro de un espacio aéreo definido. Existen dos clases de especificaciones para la navegación:

Especificación para la navegación de área (RNAV). Especificación para la navegación basada en la navegación de área que no incluye el requisito de control y alerta de la performance, designada por medio del prefijo RNAV; p. ej., RNAV 5, RNAV 1.

Especificación para la performance de navegación requerida (RNP). Especificación para la navegación basada en la navegación de área que incluye el requisito de control y alerta de la performance, designada por medio del prefijo RNP; p. ej., RNP 4, RNP APCH.

ESTADO DE MATRÍCULA.

Estado en el cual está matriculada la aeronave.

ESTADO DEL AERÓDROMO.

Estado en cuyo territorio está situado el aeródromo. Comprende helipuertos y lugares de aterrizaje.

ESTADO DEL EXPLOTADOR.

Estado en el que está ubicada la oficina principal del explotador o, de no haber tal oficina, la residencia permanente del explotador.

EXPLOTADOR.

Es la persona que utiliza la aeronave por cuenta propia, con o sin fines de lucro, conservando su dirección técnica. Se presume explotador al propietario de la aeronave.

FASE DE APROXIMACIÓN Y ATERRIZAJE - HELICÓPTEROS.
   
Parte del vuelo a partir de 300 m (1 000 ft) sobre la elevación de la FATO, si se ha previsto que el vuelo exceda de esa altura, o bien a partir del comienzo del descenso en los demás casos, hasta el aterrizaje o hasta el punto de aterrizaje interrumpido.

FASE DE DESPEGUE Y ASCENSO INICIAL.

Parte del vuelo a partir del comienzo del despegue hasta 300 m (1 000 ft) sobre la elevación de la FATO, si se ha previsto que el vuelo exceda de esa altura o hasta el fin del ascenso en los demás casos.

FASE EN RUTA.

Parte del vuelo a partir del fin de la fase de despegue y ascenso inicial hasta el comienzo de la fase de aproximación y aterrizaje.

FATIGA.

Estado fisiológico que se caracteriza por una reducción de la capacidad de desempeño mental o físico debido a la falta de sueño, a períodos prolongados de vigilia, fase circadiana o volumen de trabajo (actividad mental o física) que puede menoscabar el estado de alerta de una persona y su habilidad para realizar adecuadamente funciones operacionales relacionadas con la seguridad operacional.

HELICÓPTERO.

Aerodino que se mantiene en vuelo principalmente en virtud de la reacción del aire sobre uno o más rotores propulsados por motor que giran alrededor de ejes verticales o casi verticales.

HELICOPTERO GRANDE

Para fines operacionales, helicóptero cuyo peso máximo de despegue es superior a los 3.175 kg.

HELICOPTERO PEQUEÑO

Para fines operacionales, helicóptero cuyo peso máximo de despegue es de 3.175 kg o menos.

HELIPLATAFORMA.
   
Helipuerto situado en una estructura mar adentro, ya sea flotante o fija.

HELIPUERTO.
   
Aeródromo o área definida sobre una estructura artificial destinada a ser utilizada, total o parcialmente, para la llegada, la salida o el movimiento de superficie de los helicópteros

HELIPUERTO DE ALTERNATIVA.
   
Helipuerto al que podría dirigirse un helicóptero cuando fuera imposible o no fuera aconsejable dirigirse al helipuerto de aterrizaje previsto o aterrizar en el mismo, y que cuenta con las instalaciones y los servicios necesarios, que tiene la capacidad de satisfacer los requisitos de performance de la aeronave y que estará operativo a la hora prevista de utilización. Existen los siguientes tipos de helipuertos de alternativa:
   
Helipuerto de alternativa posdespegue. Helipuerto de alternativa en el que podría aterrizar un helicóptero si esto fuera necesario poco después del despegue y no fuera posible utilizar el helipuerto de salida.
   
Helipuerto de alternativa en ruta. Helipuerto de alternativa en el que podría aterrizar un helicóptero en el caso de que fuera necesario desviarse mientras se encuentra en ruta.
   
Helipuerto de alternativa de destino. Helipuerto de alternativa en el que podría aterrizar un helicóptero si fuera imposible o no fuera aconsejable aterrizar en el helipuerto de aterrizaje previsto.

HELIPUERTO ELEVADO.
   
Helipuerto emplazado sobre una estructura terrestre elevada.

LISTA DE DESVIACIONES RESPECTO A LA CONFIGURACIÓN (CDL).
   
Lista establecida por el organismo responsable del diseño del tipo de aeronave con aprobación del Estado de diseño, en la que figuran las partes exteriores de un tipo de aeronave de las que podría prescindirse al inicio de un vuelo, y que incluye, de ser necesario, cualquier información relativa a las consiguientes limitaciones respecto a las operaciones y corrección de la performance.

LISTA DE EQUIPAMIENTO MÍNIMO (MEL).
   
Lista del equipo que basta para el funcionamiento de una aeronave, a reserva de determinadas condiciones, cuando parte del equipo no funciona, y que ha sido preparada por el explotador de conformidad con la MMEL establecida para el tipo de aeronave, o de conformidad con criterios más restrictivos.

LISTA MAESTRA DE EQUIPO MÍNIMO (MMEL).
   
Lista establecida para un determinado tipo de aeronave por el organismo responsable del diseño del tipo de aeronave con aprobación del Estado de diseño, en la que figuran elementos del equipo, de uno o más de los cuales podría prescindirse al inicio de un vuelo. La MMEL puede estar asociada a condiciones de operación, limitaciones o procedimientos especiales.

MALETÍN DE VUELO ELECTRÓNICO (EFB)
   
Sistema electrónico de información que comprende equipo y aplicaciones y está destinado a la tripulación de vuelo para almacenar, actualizar, presentar visualmente y procesar funciones del EFB para apoyar las operaciones o tareas de vuelo.

MANTENIMIENTO.
   
Realización de las tareas requeridas para asegurar el mantenimiento de la aeronavegabilidad de una aeronave, lo que incluye una o varias de las siguientes tareas: reacondicionamiento, inspección, reemplazo de piezas, rectificación de defectos e incorporación de una modificación o reparación.
 
A partir del 05 nov 2020, Realización de las tareas requeridas en una aeronave, motor, hélice o pieza conexa, para asegurar el mantenimiento de la aeronavegabilidad de una aeronave, motor, hélice o pieza conexa incluyendo, por separado o en combinación, la revisión general, inspección, sustitución, rectificación de defecto y la realización de una modificación o reparación.

MANTENIMIENTO DE LA AERONAVEGABILIDAD.
   
Conjunto de procedimientos que permite asegurar que una aeronave, motor, rotor o pieza cumple con los requisitos aplicables de aeronavegabilidad y se mantiene en condiciones de operar de modo seguro durante toda su vida útil.

MANUAL DE OPERACIÓN DE LA AERONAVE.
   
Manual, aceptable para el Estado del explotador, que contiene los procedimientos de utilización de la aeronave en situación normal, anormal y de emergencia, listas de verificación, limitaciones, información sobre la performance, detalles de los sistemas de aeronave y otros textos pertinentes a las operaciones de las aeronaves.

MANUAL DE VUELO.
   
Manual relacionado con el certificado de aeronavegabilidad, que contiene limitaciones dentro de las cuales la aeronave debe considerarse aeronavegable, así como las instrucciones e información que necesitan los miembros de la tripulación de vuelo para la operación segura de la aeronave.

MASA MÁXIMA.
   
Masa máxima certificada de despegue.

MERCANCÍAS PELIGROSAS.
   
Todo objeto o sustancia que pueda constituir un riesgo para la salud, la seguridad operacional, los bienes o el medio ambiente y que figure en la lista de mercancías peligrosas de las Instrucciones Técnicas o esté clasificado conforme a dichas Instrucciones.

MIEMBRO DE LA TRIPULACIÓN DE VUELO.
   
Miembro de la tripulación, titular de la correspondiente licencia, a quien se asignan obligaciones esenciales para la operación de una aeronave durante el período de servicio de vuelo.

MÍNIMOS DE UTILIZACIÓN DE HELIPUERTO.
   
Las limitaciones de uso que tenga un helipuerto para:
   
a)  el despegue, expresadas en términos de alcance visual en la pista o visibilidad y, de ser necesario, condiciones de nubosidad;

b)  el aterrizaje en operaciones de aproximación por instrumentos 2D, expresadas en términos de visibilidad o de alcance visual en la pista y altitud/altura mínima de descenso (MDA/H) y, de ser necesario, condiciones de nubosidad; y

c)  el aterrizaje en operaciones de aproximación por instrumentos 3D, expresadas en términos de visibilidad o de alcance visual en la pista y altitud/altura de decisión (DA/H), según corresponda al tipo y/o categoría de la operación.

MODIFICACIÓN.
   
Un cambio en el diseño de tipo de una aeronave, motor o hélice.

MOTOR.
   
Unidad que se utiliza o se tiene la intención de utilizar para propulsar una aeronave. Consiste, como mínimo, en aquellos componentes y equipos necesarios para el funcionamiento y control, pero excluye las hélices/los rotores (si corresponde)

NAVEGACIÓN BASADA EN LA PERFORMANCE (PBN).
   
Requisitos para la navegación de área basada en la performance que se aplican a las aeronaves que realizan operaciones en una ruta ATS, en un procedimiento de aproximación por instrumentos o en un espacio aéreo designado.

NAVEGACIÓN DE ÁREA (RNAV).
   
Método de navegación que permite la operación de aeronaves en cualquier trayectoria de vuelo deseada, dentro de la cobertura de las ayudas para la navegación basadas en tierra o en el espacio, o dentro de los límites de capacidad de las ayudas autónomas, o una combinación de ambas.

NOCHE.
   
Las horas comprendidas entre el fin del crepúsculo civil vespertino y el comienzo del crepúsculo civil matutino, o cualquier otro período entre la puesta y la salida del sol que prescriba la autoridad correspondiente.

OPERACIÓN.
   
Actividad o grupo de actividades que están sujetas a peligros iguales o similares y que requieren un conjunto de equipo que se habrá de especificar; o, el logro o mantenimiento de un conjunto de competencias de piloto, para eliminar o mitigar el riesgo de que se produzcan esos peligros.

OPERACIÓN DE LA AVIACIÓN GENERAL.
   
Es la que tiene por objeto actividades de vuelo sin fines de lucro, tales como la instrucción, la recreación o el deporte.

OPERACIÓN DE TRANSPORTE AÉREO COMERCIAL.
   
Es la que tiene por objeto prestar servicios de transporte aéreo y de trabajos aéreos, con fines de lucro.

OPERACIONES DE APROXIMACIÓN POR INSTRUMENTOS.
   
Aproximación o aterrizaje en que se utilizan instrumentos como guía de navegación basándose en un procedimiento de aproximación por instrumentos. Hay dos métodos para la ejecución de operaciones de aproximación por instrumentos:

a)  una operación de aproximación por instrumentos bidimensional (2D), en la que se utiliza guía de navegación lateral únicamente; y
   
b)  una operación de aproximación por instrumentos tridimensional (3D), en la que se utiliza guía de navegación tanto lateral como vertical.

Guía de navegación lateral y vertical se refiere a la guía proporcionada por:

a)  una radio ayuda terrestre para la navegación; o bien
   
b)  datos de navegación generados por computadora a partir de ayudas terrestres, con base espacial, autónomas para la navegación o una combinación de las mismas.

OPERACIONES EN CLASE DE PERFORMANCE 1.

Operaciones con una performance tal que, en caso de falla del motor crítico, permite al helicóptero continuar el vuelo en condiciones de seguridad hasta un área de aterrizaje apropiada, a menos que la falla ocurra antes de alcanzar el punto de decisión para el despegue (TDP) o después de pasar el punto de decisión para el aterrizaje (LDP), casos en que el helicóptero debe poder aterrizar dentro del área de despegue interrumpido o de aterrizaje.

OPERACIONES EN CLASE DE PERFORMANCE 2.
   
Operaciones con una performance tal que, en caso de falla del motor crítico, permite al helicóptero continuar el vuelo en condiciones de seguridad hasta un área de aterrizaje apropiada, salvo si la falla ocurre al principio de la maniobra de despegue o hacia el final de la maniobra de aterrizaje, casos en que podría ser necesario un aterrizaje forzoso.

OPERACIONES EN CLASE DE PERFORMANCE 3.
   
Operaciones con una performance tal que, en caso de falla del motor en cualquier momento durante el vuelo, podría ser necesario un aterrizaje forzoso.

OPERACIONES EN EL MAR.
   
Operaciones en las que una proporción considerable del vuelo se realiza sobre zonas marítimas desde puntos mar adentro o a partir de los mismos. Dichas operaciones incluyen, sin que la enumeración sea exhaustiva, el apoyo a explotaciones de petróleo, gas y minerales en alta mar y el traslado de pilotos de mar.

ORGANIZACIÓN DE MANTENIMIENTO APROBADA (OMA)
   
Centro de Mantenimiento Aeronáutico (CMA), Centro de Mantenimiento Aeronáutico Extranjero (CMAE) o Club Aéreo con capacidad de ejecutar mantenimiento, certificado y habilitado por la DGAC.

PASAJERO
   
Para fines de esta norma, se entiende por pasajero a aquella persona a bordo de un avión, globo o planeador que no es parte de la tripulación.

PILOTO AL MANDO.
   
Piloto designado por el explotador, para estar al mando y encargarse de la realización segura de un vuelo.

PLAN DE VUELO.
   
Información especificada que, respecto a un vuelo proyectado o a parte de un vuelo de una aeronave, se somete a las dependencias de los servicios de tránsito aéreo.

PLAN OPERACIONAL DE VUELO.
   
Plan del explotador para la realización segura del vuelo, basado en la consideración de la performance del helicóptero, en otras limitaciones de utilización y en las condiciones previstas pertinentes a la ruta que ha de seguirse y a los helipuertos de que se trate.

PRINCIPIOS RELATIVOS A FACTORES HUMANOS.
   
Principios que se aplican al diseño, certificación, instrucción, operaciones y mantenimiento aeronáuticos y cuyo objeto consiste en establecer una interfaz segura entre los componentes humano y de otro tipo del sistema mediante la debida consideración de la actuación humana.

PROCEDIMIENTO DE APROXIMACIÓN POR INSTRUMENTOS (IAP).
   
Serie de maniobras predeterminadas realizadas por referencia a los instrumentos de a bordo, con protección específica contra los obstáculos desde el punto de referencia de aproximación inicial, o, cuando sea el caso, desde el inicio de una ruta definida de llegada hasta un punto a partir del cual sea posible hacer el aterrizaje; y, luego, si no se realiza éste, hasta una posición en la cual se apliquen los criterios de circuito de espera o de margen de franqueamiento de obstáculos en ruta. Los procedimientos de aproximación por instrumentos se clasifican como sigue:

Procedimiento de aproximación que no es de precisión (NPA).

Procedimiento de aproximación por instrumentos diseñado para operaciones de aproximación por instrumentos 2D de Tipo A.

Procedimiento de aproximación con guía vertical (APV).

Procedimiento de aproximación por instrumentos, con navegación basada en la performance (PBN), diseñado para operaciones de aproximación por instrumentos 3D de Tipo A.

Procedimiento de aproximación de precisión (PA).

Procedimiento de aproximación por instrumentos, basado en sistemas de navegación (ILS, MLS, GLS, y SBAS CAT I), diseñado para operaciones de aproximación por instrumentos 3D de Tipo A o B.

PROGRAMA DE INSPECCIÓN

Corresponde al programa de inspección recomendado por el fabricante en el manual de mantenimiento de la aeronave que incluye métodos, técnicas y prácticas estándar a ser cumplidos. Este programa se adopta en su totalidad.

PROGRAMA DE MANTENIMIENTO

Documento que describe las tareas concretas de mantenimiento programadas y la frecuencia con que han de efectuarse y procedimientos conexos, por ejemplo el programa de fiabilidad, que se requieren para la seguridad de las operaciones de aquellas aeronaves a las que se aplique el programa.

PERFORMANCE DE COMUNICACIÓN REQUERIDA (RCP).

Declaración de los requisitos de performance para comunicaciones operacionales para funciones de la Gestión del Tránsito Aéreo (ATM) específicas.

PUNTO DE DECISIÓN PARA EL ATERRIZAJE (LDP).
   
(Solo para helicópteros que operan en Clase de Performance 1)
   
Punto que se utiliza para determinar la performance de aterrizaje y a partir del cual, al ocurrir una falla de motor en dicho punto, se puede continuar el aterrizaje en condiciones de seguridad o bien iniciar un aterrizaje interrumpido.
   
PUNTO DE DECISIÓN PARA EL DESPEGUE (TDP).
   
Punto utilizado para determinar la performance de despegue a partir del cual, si se presenta una falla de motor, puede interrumpirse el despegue o bien continuarlo en condiciones de seguridad.
   
PUNTO DE NO RETORNO
   
Último punto geográfico posible en el que la aeronave puede proceder tanto al aeródromo de destino como a un aeródromo de alternativa en ruta disponible para un vuelo determinado.
   
PUNTO DEFINIDO ANTES DEL ATERRIZAJE (DPBL).
   
Punto dentro de la fase de aproximación y aterrizaje, después del cual no se asegura la capacidad del helicóptero para continuar el vuelo en condiciones de seguridad, con un motor fuera de funcionamiento, pudiendo requerirse un aterrizaje forzoso.
   
PUNTO DEFINIDO DESPUÉS DEL DESPEGUE (DPATO).
   
Punto dentro de la fase de despegue y de ascenso inicial, antes del cual no se asegura la capacidad del helicóptero para continuar el vuelo en condiciones de seguridad, con un motor fuera de funcionamiento, pudiendo requerirse un aterrizaje forzoso.

REGISTRADOR DE VUELO.
   
Cualquier tipo de registrador instalado en la aeronave a fin de facilitar la investigación de accidentes o incidentes

REGISTRADOR DE VUELO DE DESPRENDIMIENTO AUTOMÁTICO (ADFR).
   
Registrador de vuelo combinado instalado en la aeronave que puede desprenderse automáticamente de la aeronave.

REGISTRADORES DE VUELO PROTEGIDOS CONTRA ACCIDENTES
   
Comprenden uno o más de los siguientes sistemas: un registrador de datos de vuelo (FDR), un registrador de la voz en el puesto de pilotaje (CVR), un registrador de imágenes de a bordo (AIR); y un registrador de enlace de datos (DLR). La información de imágenes y enlace de datos podrá registrarse en el CVR o en el FDR.

REGISTRADORES DE VUELO LIVIANOS
   
Comprenden uno o más de los siguientes sistemas: un sistema registrador de datos de aeronave (ADRS); un sistema registrador de audio en el puesto de pilotaje (CARS); un sistema registrador de imágenes de a bordo (AIRS); un sistema registrador de enlace de datos (DLRS). La información de imágenes y enlace de datos podrá registrarse en el CARS o en el ADRS.

REGISTROS DE MANTENIMIENTO DE LA AERONAVEGABÍLIDAD.
   
Registros que se relacionan con el estado en que se encuentra el mantenimiento de la aeronavegabilidad de aeronaves, motores, hélices o piezas conexa.

REPARACIÓN.
   
Restauración de un producto aeronáutico a su condición de aeronavegabilidad para asegurar que la aeronave sigue satisfaciendo los aspectos de diseño que corresponden a los requisitos de aeronavegabilidad aplicados para expedir el certificado de tipo para el tipo de aeronave correspondiente, cuando ésta haya sufrido daños o desgaste por el uso.

A partir del 05 nov 2010, restauración de una aeronave, motor, hélice o pieza conexa a su condición de aeronavegabilidad, de conformidad con los requisitos adecuados de aeronavegabilidad cuando haya sufrido daños o desgaste por el uso.

REQUISITO DE AERONAVEGABILIDAD
   
En general cualquier especificación o condición que una aeronave individual debe cumplir para que esté aeronavegable.

REQUISITOS ADECUADOS DE AERONAVEGABILIDAD.
   
Códigos de aeronavegabilidad completos y detallados establecidos, adoptados o aceptados por el Estado de Chile para la clase de aeronave, de motor o de hélice en cuestión, indicados en la DAN 21, sección 21.9 "Estándares de aeronavegabilidad nacionales".

SERVICIOS DE TRÁNSITO AÉREO (ATS).
   
Expresión genérica que se aplica, según el caso, a los servicios de información de vuelo, alerta, asesoramiento de tránsito aéreo, control de tránsito aéreo (servicios de control de área, control de aproximación o control de aeródromo).

SISTEMA DE DOCUMENTOS DE SEGURIDAD DE VUELO.
   
Conjunto de documentación interrelacionada establecido por el explotador, en el cual se recopila y organiza la información necesaria para las operaciones de vuelo y en tierra, y que incluye, como mínimo, el manual de operaciones y el manual de control de mantenimiento del explotador.

SISTEMA DE GESTIÓN DE LA SEGURIDAD OPERACIONAL (SMS).
   
Enfoque sistemático para la gestión de la seguridad operacional que incluye las estructuras orgánicas, la obligación de rendición de cuentas, las políticas y los procedimientos necesarios.

SISTEMA DE GESTIÓN DE RIESGOS ASOCIADOS A LA FATIGA (FRMS).
   
Medio que se sirve de datos para controlar y gestionar constantemente los riesgos de seguridad operacional relacionados con la fatiga, basándose en principios y conocimientos científicos y en experiencia operacional, con la intención de asegurar que el personal pertinente esté desempeñándose con un nivel de alerta adecuado.

SISTEMA DE VISIÓN COMBINADO (CVS)
   
Sistema de presentación de imágenes procedentes de una combinación de sistemas de visión mejorada (EVS) y sistema de visión sintética (SVS)

SISTEMA DE VISIÓN MEJORADA (EVS).
   
Sistema de presentación, en tiempo real, de imágenes electrónicas de la escena exterior mediante el uso de sensores de imágenes.

SISTEMA DE VISIÓN SINTÉTICA (SVS)
   
Sistema de presentación de imágenes sintéticas, obtenidas de datos, de la escena exterior desde la perspectiva del puesto de pilotaje.

SITIO NO DEFINIDO COMO AERÓDROMO

Superficie no habilitada por la Dirección General de Aeronáutica Civil (DGAC), y que puede ser apta para el despegue y aterrizaje.

SUSTANCIAS PSICOACTIVAS.
   
El alcohol, los opiáceos, los canabinoides, los sedantes e hipnóticos, la cocaína, otros psicoestimulantes, los alucinógenos y los disolventes volátiles, con exclusión del tabaco y la cafeína.

TIPO DE PERFORMANCE DE COMUNICACIÓN REQUERIDA (TIPO DE RCP).
   
Un indicador (p. ej., RCP 240) que representa los valores asignados a los parámetros RCP para el tiempo de transacción, la continuidad, la disponibilidad y la integridad de las comunicaciones.

TRABAJOS AÉREOS.
   
Operación de aeronave en la que ésta se aplica a servicios especializados tales como agricultura, construcción, fotografía, levantamiento de planos, observación y patrulla, búsqueda y salvamento, anuncios aéreos, etc.

TRAJE DE SUPERVIVENCIA INTEGRADO.
   
Traje que debe satisfacer los requisitos relativos a un traje de supervivencia y un chaleco salvavidas.

TRAMO DE APROXIMACIÓN FINAL (FAS).
   
Fase de un procedimiento de aproximación por instrumentos durante la cual se ejecutan la alineación y el descenso para aterrizar.

TRANSMISOR DE LOCALIZACIÓN DE EMERGENCIA (ELT).
   
Término genérico que describe el equipo que difunde señales distintivas en frecuencias designadas y que, según la aplicación puede ser de activación automática al impacto o bien ser activado manualmente. Existen los siguientes tipos de ELT:
   
ELT fijo automático [ELT (AF)]. ELT de activación automática que se instala permanentemente en la aeronave.
   
ELT portátil automático [ELT(AP)]. ELT de activación automática que se instala firmemente en la aeronave, pero que se puede sacar de la misma con facilidad.
   
ELT de desprendimiento automático [ELT(AD)]. ELT que se instala firmemente en la aeronave y se desprende y activa automáticamente al impacto y en algunos casos por acción de sensores hidrostáticos. También puede desprenderse manualmente.
   
ELT de supervivencia [ELT(S)]. ELT que puede sacarse de la aeronave, que está estibado de modo que su utilización inmediata en caso de emergencia sea fácil y que puede ser activado manualmente por los sobrevivientes.

VIGILANCIA BASADA EN LA PERFORMANCE (PBS).
   
Vigilancia que se basa en las especificaciones de performance que se aplican al suministro de servicios de tránsito aéreo.

VISUALIZADOR DE "CABEZA ALTA" (HUD).
   
Sistema de presentación visual de la información de vuelo en el campo visual frontal externo del piloto.

VTOSS.
   
Velocidad mínima a la cual puede lograrse el ascenso con el motor crítico fuera de funcionamiento, con los demás motores en funcionamiento dentro de los límites operacionales aprobados.

92.3 APLICACIÓN

(a)  Esta norma aplica a los operadores de helicópteros de matrícula nacional y extranjera que efectúen operaciones aéreas no comerciales en Chile.
   
(b)  Para los fines de esta norma se entiende por operador al explotador del helicóptero.

92.5 AUTORIDAD DE FISCALIZACIÓN

(a)  La Dirección General de Aeronáutica Civil (DGAC) a través de los Inspectores de Operaciones y de Aeronavegabilidad, tiene la facultad de controlar o inspeccionar a las aeronaves, tripulación, a las personas y cosas transportadas a bordo de ellas.

(b)  Los Inspectores serán funcionarios de la DGAC y contarán con una credencial que los identifique como tales.

(c)  Los Inspectores tendrán respectivamente durante las fiscalizaciones que efectúen, la facultad de:

    (1)  establecer la continuidad o no de un vuelo que no reúna las condiciones exigidas por la Ley o los reglamentos

    (2)  prohibir por justa causa el ejercicio de los privilegios emergentes de una licencia en el caso de observar o sospechar el no cumplimiento de algún requisito que afecte la seguridad operacional e integridad de las personas.

(d)  Los Operadores deberán otorgar facilidades a los Inspectores para que en el cumplimiento de sus funciones tengan acceso a la aeronave, cabina de mando siempre que la operación lo permita, facilidades para verificar las licencias del personal aeronáutico y tengan el derecho de inspeccionar toda la documentación relacionada con las operaciones, tanto a bordo de los aviones como en las dependencias de tierra.

(e)  Frente a situaciones observadas que obliguen la aplicación de la letra (c) anterior, el inspector deberá informar y poner a disposición del jefe del sub departamento que corresponda, toda evidencia o sospecha de no conformidad que ponga en riesgo la seguridad operacional.

92.7 APROBACIONES ESPECÍFICAS.

    El piloto al mando no realizará operaciones para las cuales se requiera una aprobación específica, a menos que dicha aprobación haya sido emitida por el Estado de matrícula. Las aprobaciones específicas seguirán el formato del Apéndice 7 y contendrán por lo menos la información que se enumera en dicho Apéndice.

    CAPÍTULO B

    REGLAS GENERALES DE OPERACIÓN.

92.101 CUMPLIMIENTO DE LEYES, REGLAMENTOS Y PROCEDIMIENTOS

(a)  El piloto al mando observará las leyes, reglamentos, y procedimientos pertinentes, de los Estados en que opere su helicóptero.

(b)  El piloto al mando es el responsable de la operación y seguridad operacional del helicóptero así como también de la seguridad de todos los miembros de la tripulación, pasajeros y carga que se encuentren a bordo, desde el momento en que se encienden los motores hasta que el helicóptero se detiene por completo al finalizar el vuelo, se apagan los motores y se paran las palas del rotor.

(c)  Si una situación de emergencia que ponga en peligro la seguridad de las personas o del helicóptero, exige tomar medidas que infrinjan los reglamentos o procedimientos, el piloto al mando notificará sin demora este hecho a la autoridad aeronáutica. Si esta situación se produce en otro Estado y la autoridad aeronáutica de ese país así lo exige, el piloto al mando del helicóptero presentará, tan pronto como sea posible un informe sobre tal infracción. En este caso, el piloto al mando remitirá también una copia del informe a la DGAC. Tales documentos se presentarán dentro de un plazo no mayor de diez (10) días.

(d)  El piloto al mando deberá notificar a la autoridad competente más próxima, por el medio más rápido de que disponga, cualquier accidente en relación con el helicóptero, en el cual alguna persona resulte muerta o con lesiones graves o se causen daños de importancia al helicóptero o a la propiedad.

(e)  El piloto al mando deberá conocer y llevar a bordo del helicóptero la información relativa a los servicios de búsqueda y salvamento sobre las áreas en que opere, conforme se establece en el DAR 12 "Servicio de búsqueda y Salvamento (SAR)".

(f)  Después de ocurrido un acto de interferencia ilícita, el piloto al mando de un helicóptero sujeto a la jurisdicción chilena, deberá presentar un informe sobre dicho acto a la DGAC si este se ha producido en el territorio nacional o a la autoridad local en vuelos en el extranjero considerando una copia para la DGAC.

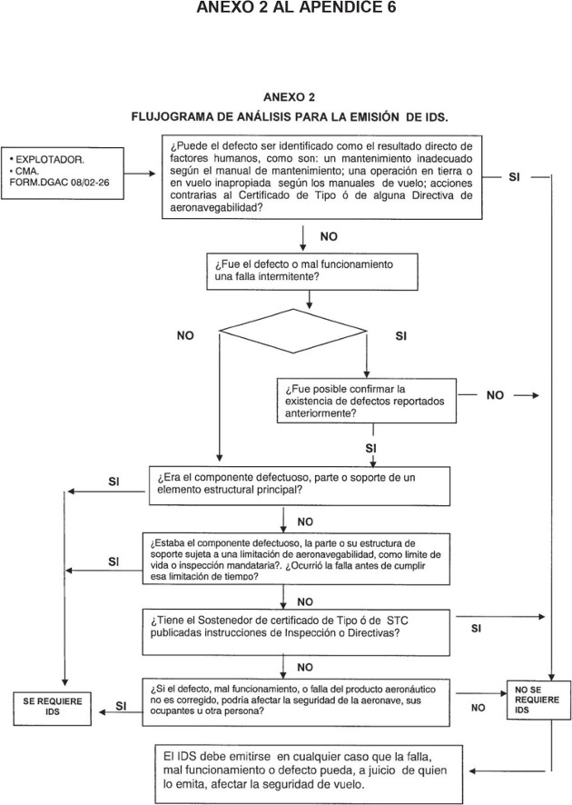
(g)  El operador deberá informar a la DGAC cualquier falla, mal funcionamiento, o defecto en el helicóptero que ocurra o se detecte en cualquier momento si, en su opinión, esa falla, mal funcionamiento o defecto ha puesto en peligro o pueda poner en peligro la operación segura del helicóptero. Los informes deberán contener toda la información pertinente sobre la condición que sea de conocimiento del operador.

(h)  En caso de vuelos en el extranjero, el piloto al mando se deberá asegurar que los miembros de la tripulación de vuelo tengan la capacidad de hablar y comprender el idioma utilizado para las comunicaciones radiotelefónicas aeronáuticas en el territorio sobre el cual están operando, conforme a lo especificado en el reglamento de licencias.

(i)  El operador es responsable de instalar y mantener legibles en el helicóptero las marcas de nacionalidad y matrícula, de acuerdo con la normativa vigente.

92.103 TRANSPORTE DE MERCANCÍAS PELIGROSAS.

    El operador podrá transportar mercancías peligrosas, solo si cumple con los requisitos y disposiciones establecidas para tal efecto.

92.105 USO DE SUSTANCIAS PSICOACTIVAS Y CONSUMO DE ALCOHOL

    De acuerdo con el reglamento de licencias, no se deberá iniciar o continuar un vuelo si el piloto al mando o algún miembro de la tripulación de vuelo se encuentra incapacitado para cumplir sus obligaciones por los efectos del alcohol o sustancias psicoactivas.

    CAPÍTULO C

    OPERACIONES DE VUELO

92.201 SERVICIOS E INSTALACIONES DE VUELO

    El piloto al mando no deberá iniciar un vuelo a menos que se haya determinado previamente por todos los medios razonables de que se dispone, que las instalaciones y servicios terrestres o marítimos disponibles y requeridos necesariamente durante ese vuelo, y para la operación del helicóptero en condiciones de seguridad son adecuados, incluidas las instalaciones y servicios de comunicaciones y las ayudas para la navegación.

92.203 OPERACIONES

(a)  Instrucciones para las operaciones-Generalidades

    El rodaje en el área de movimiento de un aeródromo/helipuerto lo efectuará un piloto u otra persona autorizada por el operador que cumpla los siguientes requisitos:

    (1)  Sea competente para maniobrar el helicóptero en rodaje;
   
    (2)  Esté calificado para usar la radio y haya recibido instrucción sobre la forma de comunicarse con los organismos aeronáuticos pertinentes; y
     
    (3)  Haya recibido instrucción con respecto a la disposición general de aeródromo/helipuerto y, cuando sea pertinente, información sobre accesos, letreros, luces de señalización, señales e instrucciones ATC, fraseología y procedimientos.
     
    (4)  Los rotores del helicóptero no girarán con potencia de vuelo sin que se encuentre un piloto calificado al mando.

(b)  Instrucción a los Pasajeros y miembros de la tripulación.

    (1)  El piloto al mando se asegurará de que los miembros de la tripulación y los pasajeros, conozcan bien, la ubicación y el uso de:

          (i)  Los cinturones o arneses de seguridad; y, cuando sea apropiado;
       
          (ii) Las salidas de emergencia

          (iii)Los chalecos salvavidas, si está dispuesto llevarlos a bordo;

          (iv) El equipo de suministro de oxígeno, si está dispuesto para el uso de pasajeros; y

          (v)  Otro equipo de emergencia para uso individual inclusive tarjetas de instrucción de emergencia para los pasajeros.

          (vi) El piloto al mando se asegurará de que todas las personas a bordo conozcan la ubicación y el modo general de usar el equipo principal de emergencia que se lleve para uso colectivo.

    (2)  El piloto al mando deberá verificar que durante el despegue y el aterrizaje y por razones de turbulencia o cualquier otra emergencia que ocurra durante el vuelo, todas las personas a bordo de la aeronave estén asegurados a sus asientos por medio de los cinturones de seguridad o de tirantes de sujeción.

    (3)  El piloto al mando dará cumplimiento a lo que establezca el manual de vuelo del helicóptero respecto a la prohibición de fumar a bordo de la aeronave.
     
    (4)  Instrucción para casos de emergencia en vuelo.

          En caso de emergencia durante el vuelo, el piloto al mando instruirá a los pasajeros a bordo respecto a las medidas de emergencia que pueden ser apropiadas a las circunstancias.

(c)  Simulacro en vuelo de situaciones de emergencia.

    No se efectuarán simulaciones de emergencia o maniobras no normales cuando se transporten pasajeros.

(d)  Listas de verificación.

    El piloto al mando deberá utilizar las listas de verificación durante todas las fases del vuelo y, las que correspondan, en caso de emergencia a fin de garantizar que se cumplan los procedimientos operacionales establecidos para el helicóptero.

e)  Altitudes mínimas de vuelo.

    El piloto al mando deberá utilizar para sus vuelos, las altitudes mínimas establecidas por la DGAC o por el Estado sobre el cual sobrevuele.

(f)  Utilización a bordo de dispositivos electrónicos portátiles.

    El piloto al mando no permitirá la utilización a bordo de dispositivos electrónicos portátiles que puedan causar interferencias en los sistemas de navegación y comunicaciones del helicóptero.
     
    Esta disposición no se aplicará a los siguientes dispositivos

    (1)  Grabadoras de voz portátiles.

    (2)  Audífonos (Ayudas a la audición).

    (3)  Marcapasos.

    (4)  Afeitadoras eléctricas.

    (5)  Cualquier otro equipo electrónico portátil que el piloto al mando determine que no causará interferencias con los sistemas de navegación o de comunicaciones propios del helicóptero.

(g)  Permiso especial de vuelo.

    (1)  En aquellos casos en que un operador requiera efectuar un vuelo con una aeronave que no cumpla la totalidad de las condiciones de aeronavegabilidad aplicables establecidas en el certificado de tipo, deberá solicitar a la DGAC un Certificado de Aeronavegabilidad Especial y operar conforme a las limitaciones y condiciones establecidas en dicho Permiso Especial de Vuelo.

    (2)  El piloto al mando, debe estar en conocimiento de que los permisos especiales de vuelo, no son válidos en espacio aéreo extranjero, a menos que estos sean comunicados y aceptados por los Estados en que sobrevuele la aeronave.

92.205 PREPARACIÓN DE LOS VUELOS

(a)  El piloto al mando no iniciará el vuelo a menos que haya comprobado:

    (1)  El helicóptero se encuentre en condiciones seguras para operar, esté debidamente matriculado y que los certificados respectivos (aeronavegabilidad y matrícula) se llevan a bordo.

    (2)  Los instrumentos y los equipos instalados en el avión sean apropiados y estén en condiciones para la operación a realizar.
     
    (3)  Se haya cumplido con el mantenimiento necesario de conformidad con lo señalado en el Capítulo G de este volumen.
     
    (4)  El peso y balance cumpla con lo establecido en el certificado de tipo y sean tales que pueda realizarse el vuelo con seguridad, teniendo en cuenta las condiciones de vuelo previstas.
     
    (5)  La carga transportada esté debidamente distribuida e inmovilizada.
     
    (6)  Que durante la planificación se considere no exceder las limitaciones de operación del helicóptero que figuran en el Manual de Vuelo.
     
    (7)  El equipo de emergencia y supervivencia requerido según el tipo de operación esté a bordo.
     
    (8)  La organización de mantenimiento haya emitido la correspondiente conformidad de mantenimiento para el helicóptero o componente del helicóptero, después de la realización de cualquier tarea de mantenimiento.
     
    (9)  Se ha cumplido con lo establecido en los requisitos relativos al planeamiento operacional del vuelo.

(b)  Planificación operacional del vuelo.

    (1)  Antes de comenzar un vuelo, el piloto al mando se familiarizará con toda la información meteorológica disponible, apropiada al vuelo que se intenta realizar.

    (2)  La preparación de un vuelo que suponga alejarse de los alrededores del punto de partida y la de cada vuelo que se atenga a las reglas de vuelo por instrumentos incluirán:

          (i) un estudio de los informes y pronósticos meteorológicos actualizados de que se disponga; y
       
          (ii) la planificación de medidas alternativas en caso de que el vuelo no pueda completarse como estaba previsto debido a las condiciones climatológicas.

    (3)  Para cada despegue, hacer uso de la información disponible en su manual de vuelo respecto a las limitaciones de performance de su helicóptero con todos los motores en funcionamiento. Se deberá considerar en la planificación las distancias de despegue y aterrizaje contenido en el manual, así como cualquier otra información relativa a la altura del aeródromo/helipuerto, pendiente y características de la pista, peso bruto del helicóptero, viento y temperatura.

    (4)  Procedimientos de aproximación por instrumentos.

          (i)  Los helicópteros que vuelen de conformidad con las reglas de vuelo por instrumentos observarán los procedimientos de aproximación por instrumentos aprobados por la DGAC o el Estado en que esté situado el aeródromo.
       
          (ii) Las operaciones de aproximación por instrumentos se clasificarán basándose en los mínimos de utilización más bajos por debajo de los cuales la operación de aproximación deberá continuarse únicamente con la referencia visual requerida, de la manera siguiente:

              (A)  Tipo A: una altura mínima de descenso o altura de decisión igual o superior a 75 m (250 ft); y

              (B)  Tipo B: una altura de decisión inferior a 75 m (250 ft). Las operaciones de aproximación por instrumentos de Tipo B están categorizadas de la siguiente manera:

                    (*)  Categoría I (CAT I): una altura de decisión no inferior a 60 m (200 ft) y con visibilidad no inferior a 800 m o alcance visual en la pista no inferior a 550 m;

                    (**) Categoría II (CAT II): una altura de decisión inferior a 60 m (200 ft) pero no inferior a 30 m (100 ft) y alcance visual en la pista no inferior a 300 m;

                    (***)Categoría IIIA (CAT IIIA): una altura de decisión inferior a 30 m (100 ft) o sin limitación de altura de decisión y alcance visual en la pista no inferior a 175 m;

                    (*iv) Categoría IIIB (CAT IIIB): una altura de decisión inferior a 15 m (50 ft) o sin limitación de altura de decisión y alcance visual en la pista inferior a 175 m pero no inferior a 50 m; y

                    (*v) Categoría IIIC (CAT IIIC): sin altura de decisión ni limitaciones de alcance visual en la pista.

          (iii)Los mínimos de utilización para las operaciones de aproximación por instrumentos 2D con procedimientos de aproximación por instrumentos se determinarán estableciendo una altitud mínima de descenso (MDA) o una altura mínima de descenso (MDH), visibilidad mínima y, de ser necesario, condiciones de nubosidad.

          (iv) Los mínimos de utilización para las operaciones de aproximación por instrumentos 3D con procedimientos de aproximación por instrumentos se determinarán estableciendo una altitud de decisión (DA) o una altura de decisión (DH) y la visibilidad mínima o el RVR.

(c)  Condiciones meteorológicas.

      (1)  No se iniciará ningún vuelo que haya de efectuarse de acuerdo con las VFR, a menos que se trate de uno puramente local en condiciones meteorológicas de vuelo visual, a no ser que los informes meteorológicos más recientes, o una combinación de los mismos y de pronósticos, indiquen que las condiciones meteorológicas a lo largo de la ruta, o en aquella parte de la ruta que haya de volarse de acuerdo con reglas VFR, serán, a la hora apropiada, tales que permitan el cumplimiento de estas reglas.

      (2)  Solo se podrá iniciar un vuelo IFR, cuando la información disponible indique que, a la hora prevista de llegada, las condiciones en el helipuerto de aterrizaje previsto o en al menos un helipuerto de alternativa, serán, a la hora prevista de llegada, iguales o superiores a los mínimos de utilización del helipuerto.

      (3)  Cuando se opere en zonas conocidas o previstas de formación de hielo u otro contaminante que se pueda producir en alguna parte del helicóptero en tierra, este se deberá eliminar antes de iniciar el vuelo a fin de mantener el helicóptero en condiciones seguras de operación.

      (4)  Solo se podrá iniciar un vuelo en condiciones de formación de hielo conocidas o previstas, si el helicóptero está certificado y equipado para volar en esas condiciones.

      (5)  Los helicópteros que vuelen en circunstancias para las que se haya notificado que existe o que se prevé formación de hielo, deberán estar equipados con dispositivos antihielo o de deshielo en cada parabrisa, motor, superficie de estabilización o control y en toda toma del sistema estático pitot.

(d)  Helipuertos de alternativa.

    (1)  Para un vuelo que haya de efectuarse de acuerdo con las IFR, se especificará al menos un helipuerto o lugar de aterrizaje de alternativa en el plan operacional de vuelo, a no ser que:

          (i)  Las siguientes condiciones meteorológicas existirán desde dos horas antes hasta dos horas después de la hora prevista de llegada, o desde la hora real de salida hasta dos horas después de la hora prevista de llegada, el período que sea más corto:

              (A) una altura de base de nubes de por lo menos 120 mts (400 ft) por encima de la altitud mínima que corresponda al procedimiento de aproximación por instrumentos; y
              (B) visibilidad de por lo menos 1.5 kms más que la mínima correspondiente al procedimiento.

          (ii) El helipuerto o lugar de aterrizaje previsto esté aislado y no se disponga ningún helipuerto o lugar de aterrizaje de alternativa; y

          (iii)Se prescriba un procedimiento de aproximación por instrumentos para el helipuerto aislado de aterrizaje previsto; y

          (iv) Se determine un punto de no retorno (PNR) en caso de que el destino sea el mar.

    (2)  Pueden considerarse helipuertos de alternativa en el mar, de acuerdo a las siguientes condiciones:

        (i)  Solo se utilizarán después de pasar un PNR. Antes del PNR, se utilizarán los helipuertos de alternativa en tierra;

        (ii) Se considerará la fiabilidad mecánica de los sistemas críticos de control y de los componentes críticos y se la tendrá en cuenta al determinar la conveniencia de los helipuertos de alternativa;

        (iii)Se podrá obtener la capacidad de performance con un motor fuera de funcionamiento antes de llegar al helipuerto de alternativa;

        (iv) En la medida de lo posible, la disponibilidad de la plataforma estará garantizada; y

        (v)  La información meteorológica debe ser fiable y precisa;

        (vi) Los helipuertos de alternativa en el mar no deben utilizarse cuando sea posible llevar combustible suficiente para llegar a un helipuerto de alternativa en tierra. En un entorno hostil no deberían utilizarse helipuertos de alternativa en el mar;

(e)  Requisitos de combustible y aceite.

    (1)  Se podrá iniciar un vuelo, solo si el helicóptero lleva suficiente combustible y aceite para completar el vuelo sin peligro teniendo en cuenta las condiciones meteorológicas y cualquier atraso que se prevea. Además llevará una reserva para prever contingencias.
   
    (2)  La cantidad de combustible que ha de llevarse debe permitir que:

          (i)  Para vuelos VFR.

              La cantidad de combustible y de aceite que se lleve para cumplir con el numeral (1) anterior será, por lo menos la suficiente para que el helicóptero pueda:

              (A)  Volar hasta el helipuerto al cual se ha proyectado el vuelo;
           
              (B)  Seguir volando por un período de 20 minutos a la velocidad de alcance óptimo;

              (C)  Disponer de una cantidad adicional de combustible suficiente para compensar el aumento de consumo en caso de posibles contingencias;

          (ii) Para vuelos (IFR).

              La cantidad de combustible y de aceite que se lleve para cumplir con (e)(1) anterior será, por lo menos la que le permita al helicóptero:

              (A)  Cuando se requiera un helipuerto de alternativa, volar hasta el helipuerto o lugar de aterrizaje al cual se proyecta el vuelo y realizar una aproximación y una aproximación frustrada, y a continuación:

                    (*) Volar hasta el helipuerto o lugar de aterrizaje de alternativa indicado en el plan de vuelo y ejecutar una aproximación al mismo;

                    (**) Disponer de combustible de reserva final para volar durante 30 minutos a la velocidad de espera a 450 m (1 500 ft) por encima del helipuerto o lugar de aterrizaje de alternativa en condiciones normales de temperatura y realizar la aproximación y aterrizar; y

                    (***) Disponer de una cantidad adicional de combustible para compensar el aumento de consumo en caso de posibles contingencias;

              (B)  Cuando no se disponga de helipuerto o lugar de aterrizaje de alternativa (es decir el helipuerto previsto para el aterrizaje está aislado y no se dispone de helipuerto de alternativa) volar hasta el helipuerto al cual se proyecta el vuelo y considerar la cantidad de combustible necesaria para retornar al punto de salida.

    (3)  Además a lo señalado en esta sección, para calcular el combustible y el aceite requeridos, se deberá tener en cuenta lo siguiente:

          (i)  Las condiciones meteorológicas pronosticadas;
       
          (ii) Las instrucciones del control de tránsito aéreo y las demoras de tránsito posibles;

          (iii)En caso de vuelos IFR, una aproximación por instrumentos al helipuerto de destino, incluso una aproximación frustrada;
       
          (iv) Los procedimientos respecto a pérdidas de presión en la cabina, cuando corresponda, o parada de un grupo motor en ruta; y
       
          (v)  Cualquier otra situación que pueda demorar el aterrizaje del helicóptero o aumentar el consumo de combustible o aceite;

    (4)  El uso de combustible después del inicio del vuelo para fines distintos a los previstos originalmente durante la planificación previa al vuelo exigirá un análisis y, si corresponde, ajuste de la operación prevista.
     
    (5)  Gestión del combustible en vuelo.

          (i)  El piloto al mando se asegurará continuamente de que la cantidad de combustible utilizable remanente a bordo no sea inferior a la cantidad de combustible que se requiere para proceder a un lugar de aterrizaje en el que puede realizarse un aterrizaje seguro con el combustible de reserva final previsto.

        (ii) El piloto al mando notificará al ATC una situación de combustible mínimo declarando COMBUSTIBLE MÍNIMO cuando, teniendo la obligación de aterrizar en un lugar de aterrizaje específico, calcula que cualquier cambio en la autorización existente para ese lugar de aterrizaje puede originar un aterrizaje con menos del combustible de reserva previsto.

        (iii) El piloto al mando declarará una situación de emergencia del combustible mediante la radiodifusión de MAYDAY MAYDAY MAYDAY COMBUSTIBLE, cuando la cantidad de combustible utilizable que, según lo calculado, estaría disponible al aterrizar en el lugar de aterrizaje más cercano donde puede efectuarse un aterrizaje seguro es inferior a la cantidad de combustible de reserva final requerido en cumplimiento de (e).
       
(f)  Reabastecimiento de combustible y oxígeno con o sin rotores girando.

    (1)  No se reabastecerá de combustible u oxígeno a ningún helicóptero con o sin los rotores girando cuando los pasajeros estén embarcando, a bordo o desembarcando o durante una tormenta eléctrica.

    (2)  Para los efectos de esta norma el abastecimiento, la distribución y el almacenamiento de combustibles en zonas rurales destinadas al consumo propio, deben ceñirse a lo establecido por el Reglamento de Seguridad para las Instalaciones y Operaciones de Producción y Refinación, Transporte, Almacenamiento, Distribución y Abastecimiento de Combustibles Líquidos.

    (3)  En aeródromo/helipuertos.

          Como norma general, el carguío de combustible deberá ceñirse a las siguientes normas de seguridad básicas:

          (i)  El reabastecimiento de combustible deberá efectuarse al aire libre.

          (ii) Durante el proceso de reabastecimiento deberán considerarse los siguientes aspectos:

              (A)  Previo al inicio del reabastecimiento, se establecerá una zona de seguridad de 15 metros, medidos desde el centro de la boca de llenado. Al interior de la zona demarcada, solo podrá acceder el personal involucrado en la operación de reabastecimiento y la tripulación de vuelo.

              (B)  Tanto el helicóptero como el dispositivo abastecedor deben estar conectados a tierra entre sí.

              (C)  Durante el proceso de reabastecimiento o carguío, todo dispositivo electrónico dentro del radio de seguridad de 15 metros, deberá mantenerse apagado, incluyendo pero no limitado a teléfonos celulares.

              (D)  Durante el procedimiento de carguío de combustible, tanto en un lugar cercano a la boca de carguío como del estanque proveedor y al alcance del personal que ejecuta la maniobra, deberá considerarse un extintor apropiado al tipo de fuego posible.

              (E)  Queda estrictamente prohibido fumar, encender fósforos, encendedores o cualquier otra fuente que pudiera generar chispas o llamas abiertas mientras se realiza el carguío de combustible.

    (4)  En lugares distintos a aeródromo/helipuertos.

          Tales como propiedades particulares, lugares aislados, pistas eventuales etc., deberán considerar los siguientes aspectos:

          (i)  Traslado y almacenamiento de combustible.

              (A)  El traslado terrestre y almacenamiento de combustible debe efectuarse en conformidad a lo establecido por el Ministerio de Economía, Fomento y Turismo en su "Reglamento de Seguridad para las Instalaciones y Operaciones de Producción y Refinación, Transporte, Almacenamiento, Distribución y Abastecimiento de Combustibles Líquidos".

              (B)  El traslado aéreo de combustible debe efectuarse de acuerdo a las disposiciones establecidas en el DAR 18 "Transporte sin Riesgos de Mercancías Peligrosas por Vía Aérea".

          (ii) Operación de carguío de combustible.

              (A)  Antes de comenzar el procedimiento de abastecimiento de combustible (carguío), se debe establecer la cantidad de combustible necesaria a cargar. Lo indicado tiene como objeto prevenir derrames, especialmente cuando la boca de llenado de la aeronave se encuentra en el perfil superior del ala o en la estructura del fuselaje.

              (B)  Si a pesar de las precauciones, el combustible se derrama, se debe proceder en forma inmediata a limpiar la estructura y permitir la evaporación de los gases en forma previa a la puesta en marcha de los motores.

              (C)  Durante el procedimiento de carguío de combustible, tanto en un lugar cercano a la boca de carguío como del estanque proveedor y al alcance del personal que ejecuta la maniobra, deberá respectivamente considerarse un extintor apropiado al tipo de fuego posible.

              (D)  Mientras se realiza el carguío, todo dispositivo electrónico deberá mantenerse apagado, incluyendo pero no limitado a teléfonos celulares.

              (E)  Queda estrictamente prohibido fumar, encender fósforos, encendedores o cualquier otra fuente que pudiera generar chispas o llamas abiertas mientras se realiza el carguío de combustible.

              (F)  Si se utilizan bidones metálicos durante el proceso de carguío, en forma previa al inicio de transferencia de combustible, deben equipararse los potenciales eléctricos entre el medio de trasvasije y la aeronave. Para lograr equiparar los potenciales eléctricos si no es posible establecer conexiones a tierra, se debe eliminar toda posibilidad de electricidad estática, poniendo en contacto con la estructura del avión (en un lugar alejado de la boca de llenado) el borde metálico del dispositivo de llenado y posteriormente manteniendo el mismo dispositivo en contacto permanente con la estructura de la boca de llenado durante todo el proceso de carguío de combustible.

(g)  Provisión de Oxigeno.

    Generalidades

    (1) Las altitudes aproximadas en la atmósfera tipo, correspondientes a los valores de presión absoluta que se emplean en el texto, son las siguientes:

.

    (2)  El piloto al mando verificará previamente que en vuelos que se realicen a altitudes por sobre los 10.000 pies en que la falta de oxígeno podría resultar en una disminución de las facultades de los miembros de la tripulación o en un efecto perjudicial para los pasajeros, se disponga de suficiente cantidad de oxígeno para su suministro.

    (3)  Para helicópteros no presurizados.

          Sólo se podrá iniciar un vuelo cuando se tenga que volar a altitudes en que la presión atmosférica en los compartimientos de tripulación y pasajeros sea inferior a 700 hPa (10.000 pies), si se lleva una provisión de oxígeno para suministrarlo:

          (i)  A todos los tripulantes y al 10% de los pasajeros durante todo período de tiempo, que exceda de treinta (30) minutos, en que la presión en los compartimientos que ocupan se mantenga entre 700 hPa (10.000 pies) y 620 hPa (13.000 pies); y

          (ii) A la tripulación y a los pasajeros durante todo período de tiempo en que la presión atmosférica en los compartimientos ocupados por los mismos sea inferior a 620 hPa (13.000 pies).

    (4)  Para helicópteros presurizados:

          Solo se podrá iniciar un vuelo si se lleva suficiente provisión de oxígeno para suministrarlo a todos los miembros de la tripulación y a una parte de los pasajeros, en caso de pérdida de presión, durante todo período de tiempo en que la presión atmosférica en cualquier compartimiento por ellos ocupado sea menor de 700 hPa (10.000 pies).

(h)  Uso de Oxigeno.

    (1)  Todos los miembros de la tripulación de vuelo que realicen operaciones a altitudes a las que la falta de oxígeno podría provocar una disminución de sus facultades, deberán utilizar continuamente oxígeno respirable especificación MIL-PRF-27210 o equivalente, de manera de no afectar la seguridad del vuelo.

    (2)  En un helicóptero no presurizado, la tripulación de vuelo, deberá hacer uso permanente de oxígeno a partir de los 10.000 pies MSL de día y 8.000 pies MSL, de noche.

    (3)  Todos los miembros de la tripulación ocupados en servicios esenciales para la operación del helicóptero en vuelo utilizarán continuamente el oxígeno respirable siempre que prevalezcan las circunstancias por las cuales se exige el suministro, según 92.205 (g) (3)(i) y (ii) o 92.205 (g)(4).

92.207 PROCEDIMIENTOS DURANTE EL VUELO

(a)  Mínimos de utilización de aeródromo/helipuerto o lugar de aterrizaje.

    (1)  Para operar hacia o desde un aeródromo/helipuerto, el piloto al mando deberá usar los mínimos de utilización que establezca para ese aeródromo/helipuerto la DGAC o lugar de aterrizaje, y en el extranjero la autoridad aeronáutica local en que esté situado. Para fines de planificación de vuelo se utilizarán mínimos más elevados para un aeródromo/ helipuerto cuando éste se designa como de alternativa que para el mismo aeródromo/ helipuerto cuando se prevé como aeródromo/helipuerto de aterrizaje propuesto.

    (2)  No se continuará ningún vuelo hasta el helipuerto de aterrizaje previsto, a menos que la información meteorológica más reciente de que se disponga indique que, a la hora prevista de llegada, puede hacerse un aterrizaje en ese helipuerto o por lo menos en uno de los helipuertos de alternativa de destino de acuerdo con los mínimos de utilización del helipuerto.

    (3)  No se continuará una aproximación por instrumentos por debajo de 300 m (1.000 ft) por encima de la elevación del helipuerto o en el tramo de aproximación final, a menos que la visibilidad notificada o el RVR de control esté por encima de los mínimos de utilización del helipuerto.

    (4)  Si, después de ingresar en el tramo de aproximación final o después de descender por debajo de 300 m (1.000 ft) por encima de la elevación del helipuerto, la visibilidad notificada o el RVR de control es inferior al mínimo especificado, puede continuarse la aproximación hasta DA/H o MDA/H. En todo caso, ningún helicóptero proseguirá su aproximación para el aterrizaje en ningún helipuerto, más allá de un punto en el cual se infringirían los mínimos de utilización del helipuerto.

(b)  Reporte de pilotos durante el vuelo.

    (1)  Si durante el vuelo se encuentren condiciones meteorológicas que pudieran afectar a la seguridad de otras aeronaves, el piloto al mando deberá notificarlas lo antes posible a las dependencias Servicio de Tránsito Aéreo (ATS) respectivas.

    (2)  Condiciones de vuelo peligrosas.

          Las condiciones de vuelo peligrosas, que no sean las relacionadas con fenómenos meteorológicos, que se encuentren en ruta deberán notificarse lo antes posible. Los informes emitidos deberán dar los detalles que puedan ser pertinentes para la seguridad de otros helicópteros.

(c)  Obligaciones de la tripulación durante el vuelo

    (1)  Despegue, aterrizaje y en ruta.

          Todos los miembros de la tripulación que estén de servicio durante el vuelo deberán permanecer en sus puestos a menos que su ausencia sea necesaria para desempeñar cometidos relacionados con la utilización de la aeronave o por necesidades fisiológicas.

    (2)  Cinturones de seguridad.

          Todos los miembros de la tripulación de vuelo mantendrán abrochados sus cinturones de seguridad y arneses de hombro mientras estén en sus puestos.

    (3)  Arnés de seguridad.

          Cuando el helicóptero esté equipado con arnés de seguridad, se deberá cumplir con lo siguiente:

          (i)  El miembro de la tripulación que ocupe el asiento de piloto deberá mantener abrochado el arnés de seguridad durante las fases de despegue y aterrizaje. Todo otro miembro de la tripulación deberá mantener abrochado su arnés de seguridad durante las fases de despegue y aterrizaje, salvo que los tirantes le impidan desempeñar sus obligaciones, en cuyo caso los tirantes pueden aflojarse, aunque el cinturón de seguridad debe quedar ajustado. El arnés de seguridad incluye tirantes y un cinturón que pueden usarse separadamente.

          (ii) El arnés de seguridad de cada asiento de la tripulación deberá incluir un dispositivo que sujete el torso del ocupante en caso de desaceleración rápida. Además el arnés de seguridad de cada asiento de piloto deberá incluir un dispositivo destinado a impedir que el piloto que quede repentinamente incapacitado dificulte el acceso a los mandos de vuelo.

92.209 FUNCIONES Y RESPONSABILIDADES DEL PILOTO AL MANDO

(a)  Es la única y máxima autoridad a bordo y será responsable de la operación, seguridad operacional y protección del helicóptero, así como de la seguridad de todos los miembros de la tripulación, los pasajeros y la carga que se encuentre a bordo.

(b)  Será responsable de registrar en la bitácora de vuelo del avión (Flight Log) todas las discrepancias o novedades que detecte o que sospeche existan en el helicóptero.

(c)  Deberá seguir los contenidos de las listas de verificación.

(d)  Será responsable de verificar que se encuentren a bordo los documentos relativos al helicóptero establecidos en esta Norma.

(e)  Deberá verificar que al inicio de un vuelo su helicóptero se encuentra en condiciones seguras para operar.

(f)  No comenzará ningún vuelo si algún miembro de la tripulación de vuelo se halla incapacitado para cumplir sus obligaciones por una causa cualquiera, como lesiones, enfermedad, fatiga o los efectos del alcohol o de drogas; y no se continuará ningún vuelo más allá del helipuerto adecuado más próximo cuando la capacidad de los miembros de la tripulación de vuelo para desempeñar sus funciones se vea significativamente reducida por la aminoración de sus facultades debido a causas tales como fatiga, enfermedad, falta de oxígeno.

(g)  El piloto al mando operará el avión conforme a lo establecido en el manual de vuelo.

(h)  Antes de iniciar un vuelo, el piloto al mando, verificará que se encuentre a bordo del helicóptero, la correspondiente certificación de la última inspección efectuada conforme a lo especificado en el Capítulo G de esta norma.

92.211 EQUIPAJE DE MANO

      El Piloto al Mando se deberá asegurar de que todo equipaje de mano embarcado en el helicóptero e introducido en la cabina de pasajeros quede bien asegurado.

92.213 OPERACIONES EN SITIOS NO DEFINIDOS COMO AERÓDROMOS.

      Las disposiciones de esta sección no aplican a las actividades de instrucción y entrenamiento.

(a)  El despegue y aterrizaje de todo helicóptero se hará en los aeródromos/helipuertos.
   
    Salvo los autorizados por la DGAC y de acuerdo a lo establecido en esta norma, podrán hacerlo en cualquier otro sitio.

(b)  Toda operación en un sitio no definido como aeródromo/helipuerto, se efectuará bajo las reglas VFR diurno.

(c)  Para operar hacia o desde, en o entre sitios no definidos como aeródromos/helipuertos, el operador o piloto al mando deberá considerar lo siguiente:

    (1) Para operaciones por hasta 30 días, informará de la operación a la DGAC, a través del plan de vuelo.

    (2)  Para operaciones por 31 o más días y hasta 6 meses (180 días), deberá solicitar la correspondiente autorización de la DGAC haciendo uso de la solicitud indicada en el Apéndice 8.

    (3)  El operador o piloto al mando que desee operar por seis o más meses en un mismo sitio no definido como aeródromo, deberá solicitar a la DGAC su habilitación como aeródromo, ya sea de uso público o privado, según corresponda.
   
    (4)  Estará en conocimiento y dará cumplimiento a los requisitos establecidos en la normativa de Sitios no definidos como Aeródromos.

    (5)  Previo a la operación evaluará las características físicas del terreno y su entorno.

(d) El operador o piloto al mando será responsable respecto del cuidado y mantenimiento del sitio durante la operación en este.

    CAPÍTULO D

    LIMITACIONES DE UTILIZACIÓN DE LA PERFORMANCE DEL HELICÓPTERO

92.301 GENERALIDADES.

(a)  Los helicópteros a los que aplica esta norma deben ser operados:

    De conformidad con los términos establecidos en su certificado de aeronavegabilidad y dentro de las limitaciones de utilización y cartas de performance establecidas en su manual de vuelo o prescritas por la DGAC teniendo presente que al aplicar las normas de este capítulo, se tendrán en cuenta todos los factores que afecten de modo importante a la performance del helicóptero (como por ejemplo: masa, procedimientos operacionales, la altitud de presión apropiada a la elevación del helipuerto/aeródromo, temperatura, viento, y condiciones de la pista, es decir, presencia de fango, agua, hielo o una combinación de estos elementos. Tales factores se tomarán en cuenta directamente como parámetros de utilización o indirectamente mediante tolerancias o márgenes que pueden indicarse en los datos de performance.

(b)  En el helicóptero deberán existir letreros, listas, marcas en los instrumentos, o combinaciones de estos recursos, que presenten visiblemente las limitaciones prescritas por la DGAC.

(c)  El piloto al mando determinará que de acuerdo a las performances establecidas para el helicóptero, se lleven a cabo con seguridad las diferentes actividades del vuelo.

(d)  El piloto al mando deberá operar dentro de las limitaciones de peso impuestas por las normas aplicables de homologación en cuanto al ruido.

(e)  Limitaciones de peso.

    (1)  El peso del helicóptero al comenzar el despegue no excederá de aquel establecido en su Manual de Vuelo, teniendo en cuenta las reducciones de peso previstas conforme progresa el vuelo.

    (2)  En ningún caso, el peso calculado para la hora prevista de aterrizaje en el aeródromo/ helipuerto en que se pretende aterrizar y en cualquier otro de alternativa, excederá del peso máximo de aterrizaje especificado en el Manual de Vuelo del helicóptero.

    (3)  En ningún caso, el peso al comenzar el despegue o a la hora prevista de aterrizaje en el aeródromo/helipuerto en que se pretende aterrizar y en cualquier otro de alternativa de destino, deberá exceder los pesos máximos pertinentes para las que se haya demostrado el cumplimiento de las normas aplicables de homologación en cuanto al ruido, cuando corresponda.

92.303 CLASES DE PERFORMANCE Y ENTORNOS DE OPERACIÓN.

(a)  Generalidades.

    (1)  Cuando corresponda, el operador establecerá para la aprobación de la DGAC, aquellos procedimientos necesarios para controlar el riesgo relacionado con una falla del grupo motor.

    (2)  El operador informará a la DGAC respecto de cualquier cambio en el entorno del helipuerto que haga necesario modificar la Resolución de Funcionamiento aprobada por la DGAC.

(b)  Clases de performance según etapa del vuelo.

    (1)  Despegue y ascenso inicial:

          (i)  Clase de performance 1 (Helicóptero Categoría A)

              En caso de falla de un motor, o por otros motivos en cualquier punto del despegue, el piloto al mando del helicóptero podrá interrumpir el despegue y detenerse dentro de la distancia disponible, o continuar el despegue y salvar con un margen adecuado todos los obstáculos situados a lo largo de toda la trayectoria de vuelo.

          (ii) Clase de performance 2. (Helicóptero Categoría A)

              En caso de falla de un motor en cualquier momento después de alcanzar el punto de decisión después del despegue (DPATO), el piloto al mando del helicóptero podrá continuar el despegue franqueando con un margen adecuado todos los obstáculos situados a lo largo de la trayectoria de vuelo. Antes del DPATO, la falla del motor crítico podría obligar al helicóptero a efectuar un aterrizaje forzoso.

          (iii)Clase de performance 3 (Helicóptero Categoría A o B o equivalente)

              En cualquier punto de la trayectoria de vuelo, la falla del grupo motor obligará al piloto al mando del helicóptero a efectuar un aterrizaje forzoso.

    (2)  En ruta – un motor inactivo.

          (i)  Operaciones en Clase de performance 1 y 2 (Helicóptero Categoría A).

              En caso de falla de un grupo motor en cualquier punto en la fase en ruta, el piloto al mando del helicóptero podrá continuar el vuelo hasta un lugar en que puedan satisfacerse las condiciones indicadas en (3)(i) siguiente para operaciones en Clase performance 1 o las correspondientes a (3)(ii) siguiente para operaciones en Clase de performance 2, sin volar por debajo de la altitud mínima apropiada en cualquier punto.

          (ii) Operaciones en Clase de performance 3 (Helicóptero Categoría A o B o equivalente).

              El piloto al mando del helicóptero podrá, con su motor en funcionamiento, continuar por la ruta prevista o desviaciones planificadas sin volar en cualquier punto por debajo de la altitud mínima apropiada. En cualquier punto de la trayectoria de vuelo, la falla del grupo motor obligará al helicóptero a realizar un aterrizaje forzoso.

    (3)  Aproximación y aterrizaje

          (i)  Operaciones en Clase de performance 1 (Helicóptero Categoría A).

              En caso de falla de un grupo motor, que se observe en cualquier punto durante la fase de aproximación y aterrizaje, antes del punto de decisión de aterrizaje, el piloto al mando del helicóptero podrá, en el punto de destino o en cualquier otro de alternativa, después de franquear todos los obstáculos en la trayectoria de aproximación, aterrizar y detenerse dentro de la distancia de aterrizaje disponible o efectuar un aterrizaje interrumpido franqueando todos los obstáculos en la trayectoria de vuelo con un margen suficiente equivalente al que se indica en (b)(1)(i) anterior. En caso de que la falla ocurra antes del punto de decisión de aterrizaje, el piloto al mando del helicóptero podrá aterrizar y detenerse dentro de la distancia de aterrizaje disponible.

          (ii) Operaciones en Clase de performance 2 (Helicóptero Categoría A).

              En caso de falla de un grupo motor antes del punto de decisión antes del aterrizaje (DPBL), el piloto al mando del helicóptero en el punto de destino o en cualquier otro de alternativa, después de franquear todos los obstáculos en la trayectoria de aproximación, aterrizará o bien se detendrá dentro de la distancia de aterrizaje disponible o efectuar un aterrizaje interrumpido franqueando todos los obstáculos en la trayectoria de vuelo con un margen adecuado equivalente al indicado en (b)(2) anterior. Después del DPBL, la falla del grupo motor obligaría al piloto al mando del helicóptero a realizar un aterrizaje forzoso.

          (iii)Operaciones en Clase de performance 3 (Helicóptero Categoría A o B o equivalente).

              En cualquier punto de la trayectoria del vuelo, la falla del grupo motor obligará al piloto al mando del helicóptero a realizar un aterrizaje forzoso.
     
(c)  Entornos operacionales

    Cuando los helicópteros vuelen hacia o desde aeródromos/helipuertos cualquiera sea su entorno operacional, el operador adoptará las medidas necesarias para controlar el riesgo relacionado con una falla del motor.

92.305 DATOS SOBRE OBSTÁCULOS

    El operador empleará todos los datos disponibles sobre obstáculos para elaborar procedimientos a fin de cumplir con las fases de despegue, ascenso inicial, aproximación y aterrizaje descritas en el Manual de Vuelo.

    CAPÍTULO E

    INSTRUMENTOS, EQUIPOS, LUCES Y EQUIPAMIENTO

92.401 GENERALIDADES.

(a)  Además del equipo mínimo necesario para el otorgamiento del certificado de aeronavegabilidad, en los helicópteros se instalarán o llevarán a bordo, según sea apropiado, los instrumentos, equipo y luces que se prescriben en los párrafos siguientes, con las circunstancias en que haya de realizarse el vuelo. La DGAC aprobará los instrumentos o equipo prescritos, incluida su instalación.

(b)  Un helicóptero irá equipado con instrumentos para que la tripulación de vuelo pueda verificar la trayectoria de vuelo del helicóptero, llevar a cabo cualquier maniobra reglamentaria requerida y observar las limitaciones de utilización del helicóptero en las condiciones de utilización previstas.

(c)  El piloto al mando, no despegará un helicóptero con instrumentos, sistemas, luces u otros ítems de equipamiento inoperativos. Para los fines de aplicación de esta sección, se deben considerar también como inoperativos aquellos ítems de equipamiento que teniendo una ubicación en el helicóptero se encuentren desinstalados.

(d)  Cuando se establezca una lista maestra de equipo mínimo (MMEL) para un tipo de helicóptero, el operador podrá desarrollar conforme se indica en 92.415 siguiente, una lista de equipo mínimo (MEL) la que será aprobada por la DGAC para que el piloto al mando pueda determinar si cabe iniciar el vuelo, o continuarlo a partir de cualquier parada intermedia, en caso de que algún instrumento, equipo o sistema dejen de funcionar.

(e)  Cuando no se establezca una lista maestra de equipo mínimo (MMEL), pero sí una lista KOEL (ver 92.413), el piloto al mando podrá basado en esta lista, determinar si cabe iniciar el vuelo, o continuarlo a partir de cualquier parte intermedia, en caso de que algún instrumento, equipo o sistema dejen de funcionar.

92.403 INSTRUMENTOS

(a)  Helicópteros que realicen vuelos de conformidad con las reglas VFR durante el día.
   
    Todos los helicópteros que realicen vuelos VFR durante el día estarán equipados con medios que le permitan medir y exhibir las siguientes funciones:

    (1)  una brújula magnética;

    (2)  un baroaltímetro de precisión;

    (3)  un indicador de velocidad aerodinámica;

    (4)  la cantidad de combustible por cada estanque;

    (5)  la posición del tren de aterrizaje si este es retráctil;

    (6)  Instrumentos de motor y rotores que indiquen los parámetros básicos de funcionamiento.

(b)  Todos los helicópteros que realicen vuelos de conformidad con las reglas VFR durante la noche.

    (1)  los indicados para reglas de vuelo VFR durante el día

    (2)  las luces indicadas en 92.407

(c)  Aeronaves que operen conforme a las reglas de vuelo por instrumentos (IFR).

    Todos los helicópteros cuando vuelen de conformidad a las reglas IFR, o cuando no puedan mantenerse en la actitud deseada sin referirse a uno o más instrumentos de vuelo estarán equipados con medios que le permitan medir y exhibir las siguientes funciones:

    (1) Los indicados para vuelos VFR.

    (2) Reloj instalado que permita medir y exhibir el tiempo en horas, minutos y segundos.

    (3) Un altímetro de precisión

    (4) Un indicador de desplazamiento lateral

    (5) Un indicador de actitud de vuelo (horizonte artificial) por cada piloto requerido y un indicador de actitud de vuelo adicional;

    (6) Indicador de rumbo (giróscopo direccional)

    (7) Variómetro

    (8) Un medio que indique en el puesto de pilotaje, la temperatura exterior

    (9) Un sistema de estabilización, salvo que se haya demostrado a satisfacción de la autoridad encargada de la certificación que el helicóptero, por su mismo diseño, posee estabilidad suficiente sin necesidad de ese sistema;

    (10) Dispositivos que impidan el mal funcionamiento del indicador de velocidad debido a la condensación o a formación de hielo;

    (11) Medios para comprobar si es adecuada la fuente de energía que acciona los instrumentos giroscópicos;

    (12) Fuente alterna de presión estática.

    NOTA. Los indicadores de velocidad, rumbo y viraje, se pueden integrar mediante combinaciones de instrumentos o directores de vuelo, con tal que se conserven las garantías contra la falla total inherentes a los tres instrumentos por separado.

92.405 EQUIPOS

(a)  Básicos

    (1) Para helicópteros que cuenten con sistemas giroscópicos alimentados eléctricamente, deben contar con medios para comprobar si es adecuada la energía que acciona dichos instrumentos.

    (2) De estar el helicóptero equipado con una fuente de energía auxiliar esta entrará en funcionamiento en forma automática en caso de falla total del sistema principal generador de electricidad y en el tablero de instrumentos deberá haber una indicación clara de que el indicador de actitud de vuelo funciona con la energía auxiliar.

(b)  Equipo de comunicaciones

    (1)  Operaciones basadas en la performance.

          (i)  Para operaciones en las que se requiere que el equipo de comunicaciones cumpla una especificación de comunicación basada en la performance (PBC) para la RCP, el helicóptero, además de los requisitos indicados en 92.405 (b)(2), (3) y (4) y 92.409:

              (A)  estará dotado de equipo de comunicaciones que le permita funcionar de acuerdo con la especificación o especificaciones RCP prescritas; y

              (B)  contará con la información relacionada con las capacidades funcionales del helicóptero respecto de la especificación RCP que se enumeran en el manual de vuelo o en otra documentación del helicóptero aprobada por el Estado de diseño o el Estado de matrícula; y

              (C)  cuando el helicóptero opere de acuerdo con una MEL, contará con la información relacionada con las capacidades funcionales del helicóptero respecto de la especificación RCP que se incluyen en la MEL.

          (ii) Respecto a las operaciones para las que se haya prescrito una especificación RCP para la PBC, el explotador establecerá:

              (A)  procedimientos para situaciones normales y anormales, así como procedimientos de contingencia;

              (B)  requisitos de cualificaciones y competencias de la tripulación de vuelo, de conformidad con las especificaciones RCP apropiadas;

              (C)  un programa de instrucción para el personal pertinente que corresponda a las operaciones previstas; y

              (D)  procedimientos apropiados de mantenimiento para garantizar el mantenimiento de la aeronavegabilidad, de conformidad con las especificaciones RCP.

    (2)  Helicópteros que operen bajo las reglas de vuelo VFR de día o de noche.

          (i)  Deberán contar con un equipo que permita la comunicación en ambos sentidos con las estaciones aeronáuticas en el modo y frecuencia asignado al espacio aéreo en que está operando.

          (ii)  Cuando la ruta a ser volada exija que se proporcione más de una unidad de equipo de comunicaciones, cada unidad será independiente de la otra u otras, hasta el punto de que la falla de una cualquiera no acarree la falla de ninguna otra.

    (3)  Helicópteros que operen bajo reglas de vuelo IFR de día o de noche.

          (i) Deberán contar con un equipo que permita la comunicación en ambos sentidos con las estaciones aeronáuticas en el modo y frecuencia asignado al espacio aéreo en que está operando.

          (ii) Cuando la ruta a ser volada exija que se proporcione más de una unidad de equipo de comunicaciones, cada unidad será independiente de la otra u otras, hasta el punto de que la falla de una cualquiera no acarree la falla de ninguna otra.

    (4)  El equipo de radiocomunicaciones requerido en (2) y (3), debe ser apto para comunicarse en la frecuencia aeronáutica de emergencia de 121.5 MHz.

    (5)  Para el caso de uso de dos sistemas de comunicación, la aeronave deberá contar como mínimo con dos micrófonos (uno en uso y otro de repuesto) y, con dos parlantes independientes o un parlante y un par de fonos.

    (6)  Todo helicóptero que vuele sobre el agua a una distancia superior a cien (100) millas náuticas de la costa o a más de treinta (30) minutos de vuelo de ella, o vuele sobre terreno considerado como zona designada, deberá contar con un equipo de comunicaciones HF que permita comunicarse en ambos sentidos, en los modos y frecuencias aeronáuticas designadas en el espacio aéreo en que se efectúa el vuelo.

(c)  Equipo de Navegación.

    (1)  Los helicópteros irán provistos del equipo de navegación que les permita proseguir:

          (i)  de acuerdo con su plan de vuelo; y

          (ii) de acuerdo con los requisitos de los servicios de tránsito aéreo.

    (2)  Operaciones PBN.

          (i)  En operaciones para las que se ha prescrito una especificación de navegación basada en la performance [PBN (RNAV / RNP)], el helicóptero deberá, además de los requisitos indicados en (1):

              (A)  estar dotado de equipo de navegación que le permita funcionar de conformidad con las especificaciones para la navegación prescritas; y

              (B)  contar con información relativa a las capacidades de especificación de navegación del helicóptero enumeradas en el manual de vuelo o en otra documentación del helicóptero que haya aprobado el Estado de diseño o la DGAC; y

              (C)  contar con la información relativa a las capacidades de especificación de navegación del helicóptero que se incluyen en la MEL.

          (ii) El piloto al mando:

              (A)  Deberá estar en posesión de su habilitación en vuelo por instrumentos (IFR) y demostrar que es competente en los procedimientos normales y anormales, incluidos los procedimientos de contingencia;

              (B)  Deberá mostrar en su bitácora personal de vuelo un registro que demuestre haber recibido la instrucción correspondiente, lo que se informará a la DGAC.

              (C)  Verificará se cumplan los procedimientos de mantenimiento (ICAs) apropiados para mantener la aeronavegabilidad continuada de acuerdo con las especificaciones apropiadas de navegación.

          (iii)Para operaciones con base en especificaciones de navegación con autorización requerida (AR) para PBN, se requerirá de una autorización especial de la DGAC.

    (3)  El helicóptero irá suficientemente previsto de equipo de navegación para asegurar que, en caso de falla de un elemento del equipo en cualquier fase del vuelo, el equipo restante sea suficiente para permitir que el helicóptero navegue de conformidad con (1) y, donde se aplica, (2).

    (4)  Para los vuelos en que se proyecte aterrizar en condiciones meteorológicas de vuelo por instrumentos, el helicóptero estará provisto de equipo de navegación apropiado que sirva de guía hasta un punto desde el cual pueda efectuarse un aterrizaje visual. Este equipo permitirá obtener tal guía respecto a cada uno de los helipuertos en que se proyecte aterrizar en condiciones meteorológicas de vuelo por instrumentos y a cualquier helipuerto de alternativa designado.

    (5)  Gestión de datos electrónicos de navegación:

          (i)  Solo se emplearán datos electrónicos de navegación que hayan sido procesados para su aplicación en vuelo o en tierra.

          (ii) El operador debe asegurar que la distribución e inserción oportuna de datos electrónicos de navegación actualizados e inalterados para su aeronave.

(d)  Otros equipos

    (1)  Transmisor de localización de emergencia (ELT).

          (i)  Todo helicóptero que opere en Clase de Performance 1 y 2 deberá estar equipado con un Transmisor localizador de emergencia ELT del tipo automático que cumpla con TSO C-126 que sea capaz de transmitir en 121.5 y 406 MHz simultáneamente, que tenga su switch inercial en condición operativa y cuya batería cumpla con lo siguiente:

              (A)  Sea reemplazada o recargada

                    (-)  Cuando el transmisor haya acumulado más de una hora de operación.

                    (-)  Cuando cumpla el 50% de su vida útil lo que corresponde a la fecha indicada en la etiqueta adosada al equipo o la batería o si la batería es recargable cuando se cumpla el 50% de su vida útil de carga de acuerdo con lo establecido por el fabricante del transmisor. Este requisito no aplica a aquellas baterías que no son afectadas por períodos de almacenamiento, por ejemplo aquellas activadas por agua.

                    (-)  La nueva fecha de vencimiento para reemplazo o recarga debe marcarse en forma legible en el exterior del transmisor y ser anotada en los registros de mantenimiento.

              (B)  Independiente del tipo de batería recargable o no que se emplee, estas deben permanecer cargadas de forma que el dispositivo permanezca siempre en condición operativa.

              (C)  Cuando realicen vuelos sobre el agua, llevarán por lo menos un ELT automático y un ELT(S) en una balsa o un chaleco salvavidas.

          (ii) Todos los helicópteros que operen en Clase de performance 3 llevarán un ELT automático y, cuando realicen vuelos sobre el agua a una distancia superior a la distancia de autorrotación o de aterrizaje forzoso seguro, llevarán además un ELT(S) en una balsa o en un chaleco salvavidas.

          (iii)Codificación de los ELT.

              (A)  El operador solicitará a la DGAC la codificación del ELT utilizando el formulario "FORM DGAC OPS 1" señalado en el Apéndice 1.

              (B)  Los ELT deberán utilizar la codificación asignada por el Departamento de Seguridad Operacional de la DGAC conforme a la documentación de OACI vigente. Esta codificación, será válida mientras la aeronave mantenga su matrícula y se encuentre registrada en Chile.

              (C)  El operador, anotará el código asignado en los registros de mantenimiento de la aeronave y en la bitácora o libro de vuelo de la aeronave afectada.

              (D)  El operador deberá a la brevedad informar a la DGAC de cualquier cambio o variación de la información suministrada al solicitar la codificación, con tal de mantener actualizada la información que requieren los Servicios de Búsqueda y Salvamento.

              (E)  Quedan exentos de este requisito los helicópteros que se encuentren operando en las siguientes condiciones:

                    (-) Instrucción de vuelo local.

                    (-) Mantención de eficiencia en vuelo local.

                    (-) Vuelos locales de mantenimiento o de prueba funcional.

                    Todo operador que desee acogerse a una de las exenciones indicadas en el punto (iii) anterior, deberá solicitarlo por escrito a la DGAC.

    (2)  Requisitos relativos a transpondedores.

          (i)  Todo helicóptero estará equipado con transpondedor de notificación de la altitud de presión.

          (ii) Solicitud y Codificación de los Transpondedores de Notificación de Altitud de Presión.

              En Apéndice 2 se establece el procedimiento para obtener la codificación de los transpondedores.

    (3)  Registradores de Datos de Vuelo Digitales (DFDR), Registradores de Voz de Cabina (CVR) y Registradores de Enlace de Datos.

          NOTA. Verificar Apéndice transitorio Nº 1 (aplicable a partir del 08 nov 2020) por nuevos requisitos y próximos plazos de cumplimiento.

          (i)  Generalidades

              (A)  Todos los helicópteros que deban estar equipados con un DFDR y un CVR podrán alternativamente estar equipados con dos registradores combinados DFDR/CVR.

              (B)  Los registradores de vuelo no se desconectarán durante el tiempo de vuelo.

          (ii) DFDR

              (A)  Todo helicóptero propulsado con motores turbina con una capacidad de asientos de pasajeros según certificado de tipo excluyendo los asientos de piloto de 10 o más y que haya sido fabricada después del 11 de octubre de 1991, debe estar equipado con una o más Grabadoras de Datos de Vuelo que utilizan un método digital de grabación y almacenamiento de datos y un método de extracción rápida de estos datos desde el medio de almacenamiento. El equipo indicado debe ser capaz de grabar los datos que se indican en Apéndice 4 y que sea capaz de retener no menos de 8 horas de operación.

              (B)  El sistema requerido para aquellos helicópteros fabricados el o después del 7 abril 2010, deberá ser capaz de operar continuamente desde el instante en que el helicóptero comienza el ascenso hasta que haya aterrizado en su destino. Además, deberá poder conservar la información registrada durante por lo menos las últimas veinte y cinco (25) horas de su funcionamiento y cumpliendo con la TSO C124a o posterior.

          (iii) CVR

              (A)  Todo helicóptero propulsado con motores turbina con una capacidad de asientos de pasajeros según certificado de tipo excluyendo los asientos de piloto de 6 o más y que haya sido fabricada después del 11 de octubre de 1991 y para la cual se requiera de dos pilotos por certificado de tipo, debe estar equipada con un grabador de voz de cabina que cumpla con lo siguiente:

                    (*) Estar instalado conforme a los requisitos vigentes.

                    (**) Opere continuamente desde el uso de las listas de verificación antes del vuelo hasta completar la lista de verificación final al término del vuelo.

                    (***) Un CVR que posea una capacidad de borrado, puede ser usado, de tal forma que durante cualquier momento de la operación del grabador se puedan borrar los 15 minutos previos a la grabación.

              (B)  El CVR instalado en helicópteros fabricados en o después del 07 abril 2010, deberá conservar la información registrada por lo menos durante las 2 últimas horas de funcionamiento y que cumpla con la TSO C123a o posterior.

              (C)  Para aquellos helicópteros a los cuales se les haya extendido su certificado de aeronavegabilidad en fecha anterior al 11 de octubre 1991 deberá conservar la información registrada por lo menos durante 30 minutos.

          (iv) DFDR/CVR

              (A)  El Operador deberá realizar verificaciones operacionales y evaluaciones de las grabaciones de los sistemas FDR y CVR establecidas en el Capítulo M de esta norma.

              (B)  Todo registrador de datos de vuelo (FDR) y de voz de cabina de pilotaje (CVR) deberá:

                    (*) Ser pintado de un color llamativo, anaranjado o amarillo.

                    (**)  Llevar materiales reflectantes para facilitar su ubicación.

                    (***) Tener adosado, en forma segura, un dispositivo automático de localización subacuática que funcione a una frecuencia de 37,5 kHz. Lo antes posible, pero a más tardar el 1 de enero de 2018, este dispositivo funcionará durante un mínimo de noventa días.

              (C)  Ante un accidente o incidente que exija aviso inmediato a la DGAC, el operador deberá conservar la información de los registradores. Además deberá:
     
                    (*) Desconectar, retirar y proteger los dispositivos antes mencionados.

                    (**)  Hacer entrega de estos elementos al órgano jurisdiccional competente o a la DGAC según corresponda.

          (v)  Registradores de Enlace de Datos

              (A)  Todos los helicópteros cuyo certificado de aeronavegabilidad se haya expedido el 1 de enero de 2016 o después de esa fecha, que utilicen cualquiera de las publicaciones para comunicaciones por enlace de datos que se indican a continuación y que deban llevar un CVR, grabarán en un registrador de vuelo los mensajes de las comunicaciones por enlace de datos.

              *    Aplicaciones que se registrarán

                    -    Capacidad de inicio del enlace de datos (obligatorio)

                    -    Comunicaciones de enlace de datos controlador-piloto (obligatorio)

                    -    Servicios de información de vuelo por enlace de datos (obligatorio)

                    -    Vigilancia dependiente automática - contrato (obligatorio)

                    -    Vigilancia dependiente automática – radiodifusión (en la medida de lo posible según la arquitectura del sistema)

                    -    Control de las operaciones aeronáuticas (en la medida de lo posible según la arquitectura del sistema)

              (B)  Todos los helicópteros que el 1 de enero de 2016 o después de esa fecha, se modifiquen para poder instalar y utilizar en ellos cualquiera de las aplicaciones para establecer comunicaciones por enlace de datos que se enumeran en letra (A) anterior y que deban llevar un CVR, grabarán en un registrador de vuelo los mensajes de las comunicaciones por enlace de datos.

              (C)  La duración mínima del registro será equivalente a la duración del CVR.

              (D)  Los registros por enlace de datos deberán poder correlacionarse con los registros de audio del puesto de pilotaje.

    (4)  Helicópteros equipados con sistemas de aterrizaje automático, un visualizador de "cabeza alta" (HUD) o visualizadores equivalentes, sistemas de visión mejorada (EVS), sistemas de visión sintética (SVS) o sistemas de visión combinados (CVS).

          (i)  Para operar con los equipos señalados, el helicóptero estará equipado con sistemas de aterrizaje automático, un HUD o visualizadores equivalentes, EVS o CVS, o cualquier combinación de esos sistemas en un sistema híbrido, y conforme a los criterios que establezca la DGAC para una operación segura.

          (ii) Para aprobar el uso operacional de sistemas de aterrizajes automáticos, HUD o visualizadores equivalentes, EVS, SVS o CVS, el operador se asegurará de que:

              (A)  el equipo satisfaga los requisitos apropiados en materia de certificación de la aeronavegabilidad;

              (B)  el operador haya llevado a cabo una evaluación de riesgos de seguridad operacional relacionados con las operaciones apoyadas por los sistemas de aterrizajes automáticos, un HUD o visualizadores equivalentes, EVS, SVS o CVS;

              (C)  el explotador/propietario haya establecido y documentado los procedimientos relativos al uso de los sistemas de aterrizaje automático, un HUD o visualizadores equivalentes, EVS, SVS o CVS y a los requisitos de instrucción correspondientes.

    (5)  Equipo de vigilancia.

          Todo helicóptero estará dotado de equipo de vigilancia para que pueda realizar operaciones de acuerdo con los requisitos de tránsito aéreo.

          (i)  Para operaciones en las que se requiere que el equipo de vigilancia cumpla una especificación RSP para la vigilancia basada en la performance (PBS), el helicóptero:

              (A)  estará dotado de equipo de vigilancia que le permita funcionar de acuerdo con la especificación o especificaciones RSP prescritas;

              (B)  contará con la información relacionada con las capacidades funcionales del helicóptero respecto de la especificación RSP que se enumeran en el manual de vuelo o en otra documentación del helicóptero aprobada por el Estado de diseño o el Estado de matrícula; y
     
              (C)  cuando el helicóptero opere de acuerdo con una MEL, contará con la información relacionada con las capacidades funcionales del helicóptero respecto de la especificación RSP que se incluyen en la MEL.

          (ii) Respecto a las operaciones para las que se haya prescrito una especificación RSP para la PBS el operador:

              (A)  Deberá demostrar competencia en las situaciones normales y anormales, así como procedimientos de contingencia;

              (B)  Demostrará sus competencias de conformidad con las especificaciones RSP apropiadas;

              (C)  Demostrará haber recibido instrucción para las operaciones previstas; y

              (D)  Verificará se cumplan los procedimientos de mantenimiento (ICAs) apropiados para mantener la aeronavegabilidad continuada, de conformidad con las especificaciones RSP.

92.407 LUCES Y EQUIPAMIENTO

(a)  Luces

    Todo helicóptero deberá además de las luces indicadas en la DAN 91 "Reglas del Aire", estar equipado con las siguientes luces:

    (1)  Faro de aterrizaje.

          (i)  Un faro orientable al menos en el plano vertical; o

          (ii) Si el helicóptero cuenta con un sistema de luces doble, cada una debe estar instalada en distinto ángulo vertical de tal forma, que su uso permita aumentar el campo de visión del piloto.

    (2)  Luces de instrumentos y de equipos indispensables para la operación segura del helicóptero utilizados por la tripulación de vuelo.

    (3)  Luces en compartimiento de pasajeros, cuando se cuente con tal compartimiento.

    (4)  Luces para la visualización de los letreros interiores de las salidas de emergencia, cuando estas existan.

(b)  Equipamiento.

    (1)  Para todos los helicópteros en todos los vuelos.
      Los helicópteros en todos los vuelos deberán estar equipados con:

          (i)  Un (1) Botiquín de primeros auxilios situado en lugar accesible. El contenido deberá ser conforme a lo indicado en Apéndice 3 de esta DAN.

          (ii) Extintores portátiles de un tipo que, cuando se descarguen, no causen contaminación peligrosa del aire dentro del helicóptero tales como polvo químico seco o dióxido de carbono. Al menos uno estará ubicado:

              (A)  en el compartimiento de pilotos; y

              (B)  en cada compartimiento de 6 y hasta 30 pasajeros

              (C)  Los extintores de fuego portátiles deben estar instalados y asegurados de tal forma que no entorpezcan la operación segura de la aeronave o afecte la seguridad de la tripulación y pasajeros.

              (D)  Su ubicación deberá permitir el fácil acceso a ellos a no ser que su ubicación sea obvia. Si se encuentran almacenados, esta ubicación debe estar señalizada.

              (E) Todo agente que se utilice en los extintores de incendios incorporados (no individuales) en los receptáculos destinados a desechar toallas, papel o residuos en los lavabos de un helicóptero cuyo certificado de aeronavegabilidad individual se haya expedido por primera vez el 31 de diciembre de 2011 o después y todo agente extintor empleado en los extintores de incendios portátiles de un helicóptero cuyo certificado de aeronavegabilidad individual haya sido expedido por primera vez el 31 de diciembre de 2018 o después, no será de un tipo de los enumerados en el protocolo de Montreal aprobado por el DECRETO SUPREMO (Relaciones Exteriores) Nº 238 del 08 mar 1990 (publicado el 28 abr 1990) relativo a las sustancias que agotan la capa de ozono.

          (iii)Un asiento o litera para cada persona que exceda los dos (2) años. Para menores a la edad indicada, estos pueden viajar en los brazos de un adulto que ocupe un asiento equipado con el respectivo cinturón de seguridad o, podrá hacer uso de sillas certificadas para su uso en aviación.

          (iv) Un cinturón para cada asiento y cinturones de sujeción para cada litera

          (v)  Todo asiento de la tripulación de vuelo estará equipado con una combinación de cinturón de seguridad y una amarra de hombros unida a un riel de inercia que cumpla con la TSO C114 o especificación equivalente, que sujete el torso del ocupante en caso de deceleración rápida e impida que el piloto que quede repentinamente incapacitado, pueda interferir el normal funcionamiento de los mandos de vuelo.

          (vi) Disponible

          (vii)De no contar con fusibles automáticos, requerirá de fusibles de repuesto de los amperajes apropiados para reemplazar aquellos que sean accesibles en vuelo.

          (viii)Claves de señales de tierra a aire para fines de búsqueda y salvamento.
     
          (ix) Micrófonos de vástago cuando la aeronave se encuentre bajo el nivel de transición/ altitud que permita la comunicación entre los miembros de la tripulación de vuelo.
     
          (x)  Todo helicóptero deberá disponer para uso de la tripulación durante un vuelo nocturno de una linterna operativa y de rápido acceso desde el asiento de cada miembro de la tripulación

    (2)  Para helicópteros que vuelen sobre el agua.

          El estado del mar formará parte integrante de la información sobre amaraje forzoso

          (i)  Medios de flotación.

              (A)  Todos los helicópteros que vuelen sobre el agua en un entorno hostil, estarán certificados para amaraje forzoso y deberá estar equipado con medios de flotación permanente o rápidamente desplegables, a fin de asegurar un amaraje forzoso del helicóptero de acuerdo a lo siguiente:

                    (-1) Helicópteros Categoría Clase de Perfomance 1 o 2 cuando realicen operaciones en el mar, u otras operaciones sobre el agua, a más de 10 minutos de la costa a la velocidad de crucero; o

                    (-2) Helicópteros Categoría Clase de Perfomance 3 cuando vuelen a una distancia desde tierra superior a la distancia de autorotación o de aterrizaje forzoso seguro.

              (B)  Los helicópteros, cuando se prevea que habrán de volar sobre el agua, estarán equipados con medios de flotación permanentes rápidamente desplegables, a fin de asegurar un amaraje forzoso seguro del helicóptero

          (ii) Equipo de emergencia.

              (A)  Los helicópteros de Clase de Perfomance 1 y 2 que operen de acuerdo con las disposiciones de (2)(i) anterior, llevarán el equipo siguiente:

                    (-1) Un chaleco salvavidas con iluminación eléctrica que cumpla con TSO C13, para cada persona que vaya a bordo, situado en un lugar fácilmente accesible desde el asiento de la persona que haya de usarlo.

                    (-2) Cuando no lo impida el tipo de helicóptero, balsas salvavidas desplegables por control a distancia, de forma que facilite su empleo si fuera necesario, en número suficiente para alojar a todas las personas que se encuentren a bordo. Estas balsas deberán estar provistas del equipo de salvamento incluyendo medios para el sustento de la vida apropiado para el vuelo que se vaya a realizar; y

                    (-3) Equipo necesario para hacer las señales de socorro de la DAN 91 "Reglas del Aire".

                    (-4) Un radio transmisor portátil de emergencia, que flote por sí mismo, sea resistente al agua y no dependa del sistema eléctrico del avión, que transmita simultáneamente en las frecuencias de emergencia 121.5 y 406 MHz.

          (iii)Los helicópteros de Clase de Perfomance 3 cuando operen más allá de la distancia de auto rotación a partir de tierra, deberán estar equipados con un chaleco salvavidas con iluminación eléctrica que cumplan con TSO C13 para cada persona que vaya a bordo, situado en un lugar fácilmente accesible desde el asiento de la persona que haya de usarlo.

          (iv) Cuando la trayectoria de despegue o aterrizaje de helicópteros de Clase de Perfomance 2 y 3 esté sobre el agua de manera tal que, en caso de contratiempo haya posibilidad de un amaraje forzoso, llevarán por lo menos un chaleco salvavidas o cojín con capacidad de flotación que cumplan con TSO C13 y C72 respectivamente, para cada persona que vaya a bordo, situado en un lugar fácilmente accesible desde el asiento de la persona que haya de usarlo.

          (v)  Todo helicóptero con un peso máximo de despegue de 3.175 kg o más, el 50% de sus balsas serán desplegadas por control a distancia

          (vi) Aquellas balsas no desplegadas por control a distancia y cuyo peso exceda los 40 kgs, serán desplegadas por un medio mecánico.

          (vii)Equipo de comunicaciones.

              Los helicópteros estarán equipados con equipo de radiocomunicaciones que permita la comunicación en ambos sentidos en cualquier momento del vuelo con las estaciones aeronáuticas y en las frecuencias que prescriba la autoridad competente.

92.409 PARA TODOS LOS HELICÓPTEROS QUE REALICEN OPERACIONES DE VUELO SOBRE ZONAS TERRESTRES DESIGNADAS.

    Los helicópteros que realicen operaciones sobre zonas terrestres que hayan sido designadas como zonas en las que sería muy difícil la búsqueda y salvamento, deberán estar provistas de equipo de radiocomunicaciones que permita la comunicación en ambos sentidos en cualquier momento del vuelo con las estaciones aeronáuticas y en las frecuencias que prescriba la autoridad competente y de los dispositivos de señales y del equipo salvavidas (incluyendo medios para el sustento de la vida) apropiados al área sobre la que se haya de volar.

92.411 PARA TODOS LOS HELICÓPTEROS QUE VUELAN A GRANDES ALTITUDES.

(a)  Helicópteros sin cabina a presión

    Los helicópteros sin cabina a presión que operen a grandes altitudes deberán estar equipados con dispositivos para el almacenaje y distribución de oxígeno que puedan contener y distribuir la provisión de oxígeno requerida en 92.205 (g) de este Volumen.

(b)  Helicópteros con cabina a presión.

    Los helicópteros con cabina a presión que operen a grandes altitudes deberán estar equipados con dispositivos de respaldo que puedan contener y distribuir la provisión de oxígeno requerida en 92.205 (h)(2) de este Volumen.

92.413 OPERACIÓN CON EQUIPAMIENTO INOPERATIVO.

(a)  El piloto al mando de un helicóptero no operado de acuerdo a la Lista de Equipamiento Mínimo (MEL), requerida en la Sección 92.413 de esta norma, solo podrá despegar un helicóptero con equipos, instrumentos, luces u otros ítems de equipamiento inoperativos siempre y cuando estos no afecten la seguridad operacional del helicóptero o de sus pasajeros, tripulación o carga y se cumpla con lo siguiente:

    (1)  Ninguno de los ítems que se encuentren inoperativos:

          (i)  Es parte de la certificación de tipo

          (ii) Está indicado como requerido en la Lista de Equipamiento del manual de vuelo;

          (iii)Está indicado como requerido en la Lista de Equipamiento por Tipo de Operación (KOEL o KOL), del manual de vuelo, para el tipo de operación que se pretende realizar;

          (iv) Está entre los requeridos por esta norma para efectuar el tipo de operación o de vuelo que se pretende realizar; o

          (v)  Es requerido que esté operativo por una Directiva de Aeronavegabilidad (AD o DA); y

    (2)  Además, cada ítem que se encuentre inoperativo:

          (i)  Es desinstalado del helicóptero, su control en cabina de pilotaje es etiquetado "INOPERATIVO", el espacio que deje en el panel de instrumentos (si es el caso), es cubierto por una placa, y todo este trabajo lo certifica una OMA conforme a la norma DAN 43; o

          (ii) Es desactivado y etiquetado "INOPERATIVO". Y, si tal desactivación del equipo implica un trabajo de mantenimiento, todo este trabajo lo certifica una OMA conforme a la norma DAN 43; y

    (3)  Finalmente, una determinación de que el ítem inoperativo no constituye un peligro para la operación del helicóptero, es hecha por un piloto que tenga la habilitación apropiada para operar el helicóptero o por una OMA habilitada para efectuar el mantenimiento del helicóptero.

(b)  Un helicóptero con equipamiento inoperativo, pero cumpliendo las condiciones señaladas en esta sección, es considerado por la DGAC como apropiadamente alterado. El piloto al mando es responsable de operarlo dentro de las limitaciones que implica no contar con el equipamiento etiquetado "INOPERATIVO".

92.415 LISTA DE EQUIPAMIENTO MÍNIMO (MEL)

(a)  Los operadores que posean helicópteros cuyo fabricante tenga aprobado para ese helicóptero un Master MEL (MMEL), podrán desarrollar una Lista de Equipamiento Mínimo (MEL) la que será aprobada por la DGAC.

(b)  La MEL propuesta por el operador deberá estar basada en la última revisión del Master MEL (MMEL) aplicable al modelo de helicóptero, y cumplir con el formato que se indica en Apéndice 5.

(c)  Todo equipo o sistema no incluido en la MEL, que tenga relación con Aeronavegabilidad y Operaciones, deberá estar operativo al momento del despacho del helicóptero.

(d)  El MMEL no puede ser usado como un Listado de Equipamiento Mínimo válido para realizar despachos con equipos o sistemas inoperativos.

(e)  La MEL propuesta deberá ser más restrictiva que el MMEL, deberá considerar los requerimientos nacionales de equipamiento mínimo y deberá considerar las limitaciones a su Manual de Vuelo (AFM), Procedimientos de Emergencia y las Directivas de Aeronavegabilidad aplicables.

(f)  Cuando se opere con equipos o sistemas inoperativos que se encuentren considerados en la MEL aprobada, el Operador será el responsable de ejercer el control operacional necesario para asegurar que se mantiene un nivel de seguridad aceptable y que los plazos para la reparación de los equipos o sistemas inoperativos, se realicen dentro de los plazos establecidos en él.

(g)  El listado MEL debe considerar la real configuración de los helicópteros a los cuales aplica, pudiendo no incluir aquellos ítems no instalados, debiendo respetar la numeración del MMEL para los efectos de mantener la referencia a los procedimientos de Operaciones y Mantenimiento cuando corresponda.

(h)  Debe quedar establecido en los documentos en que se detallan los procedimientos de Mantenimiento (M) y/o de Operaciones (O) requeridos para el despacho con ciertos equipos o sistemas inoperativos, tales como el Dispatch Deviation Guide (DDG) o similar, los que se deben encontrar a bordo y ser parte de los manuales del helicóptero. Los procedimientos de Mantenimiento y Operaciones deben corresponder a los recomendados por el fabricante del helicóptero.

(i)  Revisiones.

    El Listado de Equipamiento Mínimo debe ser revisado en al menos las siguientes circunstancias:

    (1)  Revisión al MMEL.

    El Operador deberá presentar una revisión al MEL aprobado, hasta dentro de 60 días en que se haya emitido una revisión al MMEL utilizado como referencia.

    (2) Cambio de configuración del helicóptero.

    El Operador deberá presentar una revisión a la MEL aprobada cada vez que exista un cambio en la configuración de la aeronave, que afecte a algún equipo o sistema considerado en la MEL.

      CAPÍTULO F

      NORMAS DE HOMOLOGACIÓN Y ATENUACIÓN EN CUANTO AL RUIDO

92.501 CUMPLIMIENTO DE REQUISITOS DE RUIDO PARA LA OPERACIÓN DE HELICÓPTEROS GRANDES EN EL ESPACIO AÉREO NACIONAL.

    Todo helicóptero cumplirá con los niveles de ruido indicados en su manual de vuelo y establecidos en su base de certificación.

92.503 PROCEDIMIENTOS OPERACIONALES DE HELICÓPTEROS PARA LA ATENUACIÓN DEL RUIDO.

(a)  Los procedimientos operacionales de cada tipo de helicóptero para la atenuación del ruido deberán ajustarse a los procedimientos establecidos en los aeródromo/helipuertos en los cuales opera.

(b)  Los procedimientos de atenuación de ruido especificados por un operador para cualquier tipo determinado de helicóptero deberán ser los mismos para todos los aeródromo/helipuertos.

    CAPÍTULO G
   
    MANTENIMIENTO DE LA AERONAVEGABILIDAD DEL HELICÓPTERO

92.601 RESPONSABILIDAD DEL OPERADOR RESPECTO DEL MANTENIMIENTO DE LA AERONAVEGABILIDAD

    El operador es el principal responsable de que:

(a)  El certificado de aeronavegabilidad no haya expirado y que el helicóptero se mantiene en condición aeronavegable.

(b)  El equipo operacional y de emergencia para la operación prevista se encuentre operativo.

(c)  El mantenimiento de su helicóptero se efectúe conforme a la sección 92.603 siguiente.

(d)  El mantenimiento del helicóptero, así como de cualquier motor, rotor y pieza conexos, lo lleve a cabo:

    (1)  Un organismo que cumpla las disposiciones del DAR/DAN 145, y esté aprobado o reconocido por la DGAC y habilitado en la marca y modelo de la aeronave; o
   
    (2)  Una persona u organismo, de conformidad lo establecido en la DAN 43.

(e)  La organización o persona responsable del trabajo de mantenimiento efectuado haya hecho los correspondientes registros en la bitácora de vuelo y de mantenimiento que correspondan, incluyendo las respectivas conformidades de mantenimiento o aprobaciones para su retorno al servicio de acuerdo con la norma DAN 43.
     
(f)  Para asegurar que el mantenimiento de la aeronavegabilidad de la aeronave se mantiene, el operador podrá contratar a una organización aprobada por la DGAC para los fines señalados.

92.603 MANTENIMIENTO OBLIGATORIO.

(a)  Excepto en los casos prescritos en los párrafos (d) o (f) de esta Sección, se prohíbe despegar un helicóptero propulsado por motor convencional si este no ha sido sometido, dentro de los 12 meses calendario precedentes, a una inspección anual de acuerdo a la norma DAN 43 y conste la conformidad de mantenimiento por dicha inspección.

(b)  El piloto al mando no podrá despegar un helicóptero:

    (1)  con fines de instrucción si el instructor es o no remunerado y provee el helicóptero; o

    (2)  en arrendamiento; o

    (3)  que siendo propiedad de la empresa es usado para el traslado de sus empleados.

          Si además de lo señalado en (a), a este no se le ha efectuado dentro de las 100 horas de vuelo precedentes una inspección anual de acuerdo a la norma DAN 43 y conste la conformidad de mantenimiento por dicha inspección. La limitación de 100 horas puede excederse en no más de 10 horas si estas se vuelan en ruta hacia donde se cumplirá con la inspección anual. El exceso de tiempo ocupado para llegar a un lugar donde se le pueda ejecutar la inspección, debe incluirse en el cómputo correspondiente a las próximas 100 horas de tiempo en servicio.

(c)  En el caso de un helicóptero propulsado por motor turbina, no aplica (a) o (b) anterior, debiendo el operador optar obligatoriamente por una de las alternativas del párrafo (d) siguiente.

(d)  Como alternativas a la inspección anual señalada en el párrafo (a) precedente, la cual abarca la aeronave completa en una sola entrada a mantenimiento, el operador, con aprobación expresa de la DGAC, podrá mantener la aeronave de acuerdo a una inspección progresiva o a otro tipo de programa de inspecciones o de mantenimiento que considere más adecuado al régimen y condiciones de utilización de la aeronave. Cualquiera de estas opciones deberá estar basada en una recomendación del fabricante de la aeronave y para obtener la aprobación requerida el operador deberá presentar una solicitud a la DGAC, incluyendo los siguientes documentos e información:

    (1)  El manual de mantenimiento u otra publicación técnica del fabricante de la aeronave, que especifique cada una de las fases de la inspección progresiva o cada una de las inspecciones que contemple el otro tipo de programa de inspecciones o de mantenimiento, según sea el caso, con los respectivos intervalos de aplicación en horas de vuelo, ciclos y/o tiempo calendario recomendados, incluyendo ajustes que el operador demuestre como más adecuados de acuerdo a su experiencia operando la aeronave, si estos ajustes los considera necesarios. En cualquier caso, excepto que el helicóptero sea categoría de transporte, debe ser distinguible un ciclo de inspecciones que abarque la aeronave completa cada 12 meses calendario.

    (2)  Las instrucciones de aeronavegabilidad continuada asociadas a alteraciones mayores y reparaciones mayores que tenga incorporadas la aeronave, mostrando cómo éstas en forma adecuada se agregan o sustituyen, según corresponda, a las inspecciones recomendadas por el fabricante de la aeronave.

    (3)  Los formularios propuestos para registrar el cumplimiento de cada una de las fases de la inspección progresiva o de las inspecciones del otro tipo de programa, según el caso, recogiendo el detalle de ítems a inspeccionar en razón de los párrafos (1) y (2) precedentes. Además, un formulario propuesto para llevar el estatus de cumplimiento de la inspección progresiva o programa, que sea de fácil y rápida comprensión para el piloto y personal de mantenimiento. Y,

    (4)  La identificación de la(s) OMA habilitada(s) a cargo de la ejecución de los trabajos de inspección de la aeronave, y la identificación de una persona a cargo de llevar el control del cumplimiento de las fases de la inspección progresiva o de las inspecciones del otro tipo de programa, según el caso (la función de esta persona no releva al operador de su responsabilidad de operar la aeronave conforme al programa de mantenimiento aprobado).

          Una vez aprobado y en ejecución el mantenimiento de la aeronave de acuerdo a las condiciones establecidas en este párrafo (b), el operador podrá optar por volver al mantenimiento de la aeronave según la inspección anual indicada en el párrafo (a), siempre que se ejecute una inspección anual de acuerdo a ese párrafo, e informe a la DGAC del término de la inspección progresiva o programa de mantenimiento que anteriormente se haya aprobado conforme a este párrafo (b).

(e)  En el periodo entre inspecciones el operador es responsable de que el mantenimiento que se detalla a continuación sea efectuado a su aeronave:

    (1)  Que se cumplan las Directivas de Aeronavegabilidad emitidas por los Estados de Diseño o por la DGAC, que sean aplicables a la aeronave, a sus motores, palas, rotores o equipo instalado;

    (2)  Que se cumplan las Limitaciones de Aeronavegabilidad establecidas por los Estados de Diseño o por la DGAC en las Instrucciones de Aeronavegabilidad Continuada o Manuales de Mantenimiento de la aeronave, de sus motores, palas, rotores o equipo instalado;

    (3)  Que las fallas o discrepancias de mantenimiento que se presenten se solucionen antes del próximo vuelo, o que su solución se difiera (indicando ello por escrito), si no implican la condición no aeronavegable;

    (4)  Que se efectúen las pruebas, inspecciones y demás trabajos de mantenimiento indicados en las secciones 92.609 a la 92.615; y

    (5)  En el caso de que el helicóptero se haya involucrado en un accidente o incidente de aviación, que se efectúe el mantenimiento que la DGAC apruebe o acepte para retornar la aeronave al servicio.

(f)  Se podrá despegar un helicóptero con algún mantenimiento obligatorio no efectuado o que se encuentre por otra razón no aeronavegable, solo si cuenta con un Permiso Especial de Vuelo (PEV), otorgado por la DGAC.

92.605 REGISTROS DE MANTENIMIENTO DE LA AERONAVEGABILIDAD.

(a)  El operador es responsable de conservar en los plazos que se indican en (b) siguiente los siguientes registros de mantenimiento de la aeronave:

    (1)  tiempo total de servicio (horas, tiempo transcurrido y ciclos, según corresponda) del helicóptero y de todos los componentes de duración limitada;

    (2)  situación actualizada de cumplimiento de toda la información obligatoria que corresponda en relación con el mantenimiento de la aeronavegabilidad, lo que incluye:

          (i)  cada Directiva de Aeronavegabilidad del Estado de Diseño o de la DGAC. Si la Directiva considera una acción repetitiva, los datos necesarios para determinar el estatus de cumplimiento de la Directiva;

          (ii) registros relacionados con cada ítem afecto a una Limitación de Aeronavegabilidad (inspección, otro mantenimiento o vida límite), incluyendo los datos necesarios para determinar el estatus del ítem respecto a esa Limitación de Aeronavegabilidad;

    (3)  detalles pertinentes de las modificaciones y reparaciones lo que incluye:

          (i)  el registro de cada alteración mayor o reparación mayor incorporada al helicóptero, o a sus motores, rotores o componentes, en el formulario DGAC 337 o formularios equivalentes de anteriores Estados de Matrícula; y

          (ii) los documentos con los datos técnicos necesarios para la operación y mantenimiento del helicóptero con dichas alteraciones y reparaciones incorporadas (Certificados de Tipo Suplementarios, Proyectos Técnicos, Suplementos de Manual de Vuelo o de Mantenimiento, o documentos equivalentes).

    (4)  tiempo de servicio (horas, tiempo transcurrido y ciclos, según corresponda) desde la última revisión general del helicóptero o de sus componentes sujetos a revisión general obligatoria

    (5)  situación actual del helicóptero en cuanto al cumplimiento del programa de mantenimiento autorizado;

    (6)  registros detallados de los trabajos de mantenimiento para demostrar que se ha cumplido con todos los requisitos necesarios para la firma de la conformidad (visto bueno) de mantenimiento.

    (7)  El peso y balance del helicóptero según se indica en 92.615

(b)  Los registros que figuran en (a)(1) al (5) se conservarán durante un período mínimo de 90 días después de retirado permanentemente de servicio el componente a que se refieren, y los registros enumerados en (a)(6) durante por lo menos un año a partir de la firma de la conformidad de mantenimiento.
   
(c)  El operador no está obligado a conservar los registros señalados en esta sección, cuando correspondan a:

    (1)  Registros de trabajos de mantenimiento repetitivos, excepto que se trate del correspondiente al último efectuado;

    (2)  Registros de trabajos de mantenimiento incluidos nuevamente en un trabajo de mantenimiento más amplio efectuado con posterioridad; y

    (3)  Registros de mantenimiento de motores, rotores o componentes que ya no se encuentren instalados en la aeronave.

(d)  A partir del 5 de noviembre de 2020, los registros que se llevan y transfieren de acuerdo con 92.607 se mantendrán en una forma y un formato que garanticen, en todo momento, su legibilidad, seguridad e integridad.

92.607 TRANSFERENCIA DE REGISTROS DE MANTENIMIENTO DE LA AERONAVEGABILIDAD.

(a)  En caso de cambio temporal de operador, los registros de mantenimiento se deben poner a disposición del nuevo explotador con el fin de que este último dé cumplimiento a los requisitos de aeronavegabilidad correspondientes.

(b)  En caso de cambio permanente de propiedad de la aeronave, los registros de mantenimiento se transferirán al nuevo propietario.

92.609 PRUEBAS E INSPECCIÓN DE ALTÍMETROS, SISTEMAS DE PRESIÓN ESTÁTICA – PITOT Y SISTEMAS AUTOMÁTICOS DE REPORTE DE ALTITUD DE PRESIÓN.

    No se debe operar un helicóptero en condición IFR, excepto:

(a)  Que en los 24 meses precedentes cada sistema de presión estática - pitot, cada altímetro y cada sistema automático de reporte de altitud de presión, haya sido probado, inspeccionado y encontrado conforme por una OMA, en cuanto a los requisitos pertinentes establecidos en los Apéndices B y C de la DAN 43;

(b)  Que se haya probado e inspeccionado nuevamente el sistema de presión estática - pitot, por parte de una OMA y conforme al Apéndice B de la norma DAN 43, en caso de que dicho sistema se haya por algún motivo abierto y cerrado (excepto que ello haya sido a través de su sistema de drenaje o de válvulas de presión estática alterna); y

(c)  Que la altura a la cual se opere la aeronave no exceda la altura máxima a la cual han sido probados todos los altímetros y sistemas automáticos de reporte de altitud del helicóptero.

92.611 PRUEBAS E INSPECCIÓN DE TRANSPONDEDOR DE CONTROL DE TRÁNSITO AÉREO (ATC TRANSPONDER).

    No se debe hacer uso de un ATC Transponder, excepto:

(a)  Que en los 24 meses precedentes, el ATC Transponder haya sido probado, inspeccionado y encontrado conforme por una OMA, en cuanto a los requisitos establecidos en el Apéndice C, de la norma DAN 43; y

(b)  Que, en caso que se haya efectuado la instalación del ATC Transponder o se le haya efectuado un mantenimiento donde podría haberse introducido errores de correspondencia de datos, después de tal trabajo el sistema integral haya sido probado, inspeccionado y encontrado conforme por una OMA, en cuanto a los requisitos pertinentes establecidos en el Apéndice B, de la norma DAN 43.

92.613 PRUEBAS E INSPECCIÓN DE TRANSMISOR LOCALIZADOR DE EMERGENCIA (ELT).

    Excepto que se trate de una operación para la cual el ELT no es requerido según se establece en la Sección 92.405 de esta norma, no se debe operar un helicóptero, a menos que, dentro de los 12 meses calendario precedentes, de acuerdo a las instrucciones del fabricante del ELT haya sido probado, inspeccionado y encontrado conforme por una OMA, en cuanto a:

(a)  Su instalación (no se haya degradado), por condición y seguridad (conectores, cable, antenas);

(b)  Su batería, por fecha de expiración y condición (ausencia de filtraciones, ventilación, deformaciones y señales de sobrecalentamiento);

(c)  Los controles del sistema en cabina, los del propio ELT y su sensor de impacto (operación del g-switch), por condición y operación;

(d)  La presencia de suficiente señal irradiada por la antena (potencia y frecuencias transmitidas); y

(e)  La codificación emitida por el ELT.

(f)  Si el ELT es parte de o está instalado en un artículo cuyo propósito es flotar: verificar la ausencia de desgaste, rotura de la tela del artículo que pueda afectar la flotabilidad de este

92.615 PESO Y BALANCE

(a)  No se debe operar un helicóptero, a menos que los datos actualizados de peso vacío y correspondiente posición del centro de gravedad estén disponibles a bordo y con la respectiva lista de equipamiento asociada, la que constará de la siguiente información; descripción, número de parte (cuando corresponda), el peso y la distancia (brazo) respecto del datum.
     
(b)  Los datos actualizados requeridos según el párrafo precedente, deben ser, según corresponda:

    (1)  Los del último informe de pesaje real de la aeronave, o
    (2)  Los resultantes de sucesivas correcciones de ese último informe de pesaje real, que se hayan efectuado por cálculo y conforme a la norma DAN 43, con motivo de reparaciones, alteraciones, o instalaciones o remociones de equipamiento.

92.617 INFORME DE DIFICULTADES EN SERVICIO.

(a)  El operador de un helicóptero con una masa máxima certificada de despegue sobre 3.175 kg, o si está arrendado, el arrendatario debe informar al titular del certificado de tipo con copia a la DGAC sobre cualquier falla, malfuncionamiento, o defecto en el helicóptero que ocurre o es detectado en cualquier momento si, en su opinión, esa falla, malfuncionamiento o defecto ha puesto en peligro o puede poner en peligro la operación segura del helicóptero utilizado por él.

(b)  Los informes deben ser hechos en la forma y manera indicada por la DGAC y deben contener toda la información pertinente sobre la condición que sea de conocimiento del operador.

92.619 INSPECCIONES DE LOS SISTEMAS REGISTRADORES DE VUELO.

    Ver Apéndice transitorio Nº 2 por requisitos y próximos plazos de cumplimiento (08 nov 2020).

    CAPÍTULO H

    TRIPULACIÓN DE VUELO

92.701 COMPOSICIÓN DE LA TRIPULACIÓN DE VUELO

    El número y composición de la tripulación de vuelo no deberá ser menor que lo especificado en el Certificado de Tipo o STC del helicóptero.

92.703 CALIFICACIONES.

    El piloto al mando y copiloto de ser requerido, estarán en posesión de una licencia con su habilitación de tipo vigente, expedida o convalidada por la DGAC

92.705 EXPERIENCIA RECIENTE
     
    Piloto al mando y copiloto
   
    De acuerdo a lo que establezca el Reglamento de Licencias.

    CAPÍTULO I

    MANUALES, DOCUMENTACIÓN, LIBROS DE A BORDO Y REGISTROS

92.801 MANUAL DE VUELO

    El operador deberá tener un manual de vuelo actualizado (incluido los correspondientes suplementos) para la operación del helicóptero, correspondiente al modelo y tipo de helicóptero en operación.

92.803 BITÁCORA O LIBRO DE VUELO DE A BORDO

    El operador deberá asegurarse que todo helicóptero lleve a bordo una bitácora de vuelo (flightlog) en la cual se anoten los siguientes datos:

(a) nacionalidad y matrícula del helicóptero;

(b) fecha, horas de salida y llegada;

(c) Nombres y función asignada a los tripulantes

(d) Naturaleza del vuelo, lugar de salida y llegada, tiempo total de vuelo

(e) Observaciones detectadas durante el vuelo; y

(f) licencia y firma del piloto al mando.

92.805 DOCUMENTACIÓN QUE DEBE SER LLEVADA A BORDO EN CADA HELICÓPTERO

(a) A bordo del helicóptero se llevarán los siguientes documentos:

    (1)  Licencias y habilitaciones de la tripulación.

    (2)  Certificado de aeronavegabilidad

    (3)  Certificado de matrícula.

    (4)  Bitácora de vuelo (Flight Log)

    (5)  Manual de vuelo correspondiente al helicóptero y suplementos cuando corresponda.

    (6)  Certificado de Estación de Radio, tratándose de operaciones internacionales

    (7)  Publicaciones y Cartas Aeronáuticas actualizadas para la ruta del vuelo propuesto para condiciones VFR y/o IFR según corresponda.

    (8)  Certificado de ruido (Homologación Acústica), para todo helicóptero que realice navegación aérea internacional. Cuando ese documento, o una declaración apropiada que certifique la homologación acústica contenida en otro documento aprobado por el Estado de matrícula se expida en un idioma distinto del inglés, se incluirá una traducción al inglés.

    (9)  Lista de Equipos Mínimos (Minimun Equipment List, MEL), aprobada por la DGAC para cada helicóptero en particular (cuando corresponda).

    (10) Los procedimientos y señales visuales prescritos para el caso de aeronaves interceptadas e interceptoras.

    (11) Listas de verificación

    (12) Si corresponde, cualquier aprobación específica emitida por la DGAC para la operación u operaciones que se realizarán.

    (13)  Cuando corresponda, registro última Inspección Anual efectuada

(b)  Maletines de vuelo electrónicos (EFB).

    El operador, previo al uso de un EFB portátil, deberá asegurarse de que no afectan la actuación de los sistemas y equipo del helicóptero o a la capacidad de operar del mismo.

    (1)  Funciones EFB.

          Cuando se utilizan EFB a bordo del helicóptero el operador deberá:

          (i)  Evaluar los riesgos de seguridad operacional relacionados con cada función EFB;

          (ii) Establecer y documentar los procedimientos de uso y los requisitos de instrucción correspondientes al dispositivo y a cada función EFB; y

          (iii)Verificar que, en caso de falla del EFB, la tripulación de vuelo dispone rápidamente de información suficiente para que el vuelo se realice en forma segura.

    (2)  Previo a requerir la aprobación del uso del EFB, el operador verificará que:

          (i) El equipo EFB y su soporte físico de instalación conexo, incluyendo la instalación con los sistemas del helicóptero si corresponde, satisface los requisitos de certificación de la aeronavegabilidad apropiados;

          (ii) Se han evaluado los riesgos de seguridad relacionados con las operaciones apoyadas por las funciones EFB;

          (iii)Se han establecido los requisitos para la redundancia de la información (si corresponde) contenidos en las funciones EFB y presentados por las mismas;

          (iv) Se han establecido y documentado procedimientos para la gestión de las funciones EFB incluyendo cualquier base de datos que pueda utilizarse; y

          (v)  Se han establecido y documentado los procedimientos relativos al uso del EFB y de las funciones de dicho dispositivo y a los requisitos de instrucción correspondientes.

92.807 REGISTROS DEL EQUIPO DE EMERGENCIA Y SUPERVIVENCIA DE A BORDO

    El piloto al mando deberá dejar constancia en su plan de vuelo de la lista de equipos de emergencia y/o supervivencia llevados a bordo de su helicóptero. La información comprenderá, según corresponda, el número, color y tipo de las balsas salvavidas y de las señales pirotécnicas, los detalles sobre el material médico de emergencia, provisión de agua y el tipo y frecuencia del equipo portátil de radio de emergencia.

92.811 INFORMACIÓN DE HORAS DE VUELO.

    Los Clubes Aéreos informarán a la DGAC semestralmente las horas de vuelo del período.

.

      APÉNDICE 2

      ASIGNACIÓN DE DIRECCIONES DE AERONAVE PARA USO EN SISTEMAS DE COMUNICACIONES, NAVEGACIÓN Y/O VIGILANCIA

1.  PROPÓSITO

Establecer la solicitud, por parte de los Operadores de aeronaves, y la asignación, por la DGAC, de Direcciones de Aeronave para uso en sistemas de comunicaciones, navegación y/o vigilancia, de acuerdo al plan de distribución mundial establecido por la Organización de Aviación Civil Internacional (OACI).

2.  ANTECEDENTES

(a)  Convenio de Aviación Civil Internacional firmado en Chicago, el 07 de diciembre de 1944.
   
(b)  Lo establecido por el Anexo 10 de OACI.

(c)  DAR 10 "Telecomunicaciones Aeronáuticas".

3.  MATERIA

(a)  Generalidades.

    (1)  El gran avance experimentado, a nivel mundial, por la actividad aérea ha influido en el desarrollo de nuevas técnicas que permiten aumentar la eficiencia y seguridad de las operaciones aéreas en lo relacionado con sistemas de comunicaciones, navegación y vigilancia, llegando a la necesidad de tener que establecer, a través de OACI, un código identificatorio para cada aeronave, código llamado técnicamente "Dirección de Aeronave".

    (2)  La asignación de estas direcciones de aeronave exige un plan completo de distribución de códigos que pueda aplicarse, en forma segura, en todo el mundo. Lo anterior exige que en ningún momento sea asignada una misma dirección de aeronave a más de una aeronave.

    (3)  Los sistemas que actualmente utilizan esta técnica son el radar secundario de vigilancia (SSR) en modo "S", la red de telecomunicaciones aeronáuticas (ATN), el sistema anticolisión de a bordo (ACAS) y, en algunos países, el transmisor de localización de emergencia (ELT).

(b)  Descripción del Plan.

    Cada dirección de aeronave estará compuesta por un bloque de 24 bits. La OACI, ha establecido que los primeros 12 identifiquen el Estado o país de matrícula de la aeronave y le entrega, a cada una de las Autoridades Aeronáuticas Nacionales, la distribución y control de los otros 12 bits, para asignarlas a las aeronaves de cada uno de los respectivos Estados.

(c)  Administración del Plan.

    (1)  La OACI administrará el plan de modo que pueda mantenerse una distribución internacional apropiada de direcciones de aeronave.

    (2)  La DGAC, asignará y controlará las direcciones de aeronave de matrícula chilena.

(d)  Asignación de direcciones de aeronave.

    (1)  El estado de matrícula asignará direcciones exclusivas, dentro del bloque que le corresponda, a las aeronaves que lo requieran y que estén equipadas.

    (2)  Las direcciones de aeronave se asignarán de conformidad con los siguientes principios:

          (i)  En ningún momento se asignará la misma dirección a más de una aeronave.

          (ii) Se asignará a cada aeronave una sola dirección independiente de la composición del equipo de a bordo.

          (iii)No se modificará la dirección salvo en circunstancias excepcionales y tampoco se modificará durante el vuelo.

          (iv) Cuando una aeronave cambie de Estado de matrícula, se abandonará la dirección asignada previamente y la nueva autoridad de registro le asignará una nueva dirección.

          (v)  La dirección servirá únicamente para la función técnica de direccionamiento e identificación de la aeronave y no para transmitir ninguna información específica; y

          (vi) No se asignarán a las aeronaves direcciones compuestas de 24 ceros o de 24 unos.

(e)  Asignación de direcciones de aeronave.

    Las direcciones de aeronave se utilizarán para aplicaciones que exijan el encaminamiento de información hacia y desde aeronaves debidamente equipadas.

(f)  Solicitud de direcciones de aeronave.

    (1)  Todo operador de helicóptero con matrícula chilena que tenga instalado y aprobado por la DGAC, equipamiento que requiera una dirección de aeronave de 24 bits para cumplir la función para la cual fue diseñada, deberá solicitarla a la DGAC usando el formulario del Anexo 1 a este Apéndice 2.

    (2)  En el formulario indicado se deberá establecer con precisión tanto la aeronave (marca, modelo, número de serie y matrícula), el Operador (nombre, dirección, fono y fax), como la utilización que se le dará a la dirección solicitada (SSR modo "S", ACAS, SATCOM, etc.).

(g)  Formato y distribución de direcciones de aeronave en Chile.

.

    (1)  El formato de toda dirección de aeronave, está constituido por un conjunto de 24 bits, divididos en dos bloques de 12 dígitos cada uno. Los primeros 12 corresponden al código de país y los otros 12 identificarán a la aeronave en particular.

    (2)  Para el Estado de Chile el código de país, que tiene por característica ser fijo y asignado por OACI, a través del Anexo 10, Parte I, Capítulo 9, Tabla 9-1 "Atribuciones a los Estados de Direcciones de Aeronave", es el número binario 1110 10 000 000.

    (3)  El segundo bloque de 12 bits permite la combinación de 4096 códigos y corresponde a la sección que administra la DGAC., para las aeronaves con matrícula chilena.

    (4)  Con el fin de mantener un ordenamiento lógico y facilitar la identificación de las aeronaves que utilicen esta tecnología, la DGAC., diseñó la siguiente estructura dentro del bloque de dígitos que debe administrar:

.

          (i)  Los 6 primeros dígitos de este bloque (bits 13, 14, 15, 16, 17, y 18 de la dirección de aeronave), establecerán un indicativo sobre el Operador al cual pertenece la aeronave, tal como empresa aérea, organismo del estado, club aéreo, particular, etc. Esta estructura permite disponer de sesenta y cuatro distintas combinaciones para cada indicativo de Operador.

          (ii) Los últimos 6 dígitos de este bloque (bits 19, 20, 21, 22, 23 y 24) identificarán consecutivamente la aeronave dentro del indicativo de Operador que corresponda. Esta estructura permite disponer de 64 distintas combinaciones para cada indicativo de Operador.

          (iii)El Subdepartamento de Aeronavegabilidad de la DGAC., mantendrá un registro, actualizado con la distribución de asignaciones para los distintos indicativos de Operador y aeronaves en particular.

(h)  Certificado de Asignación de Dirección de Aeronave.

    (1)  La DGAC por intermedio del Subdepartamento de Aeronavegabilidad otorgará a cada solicitante que cumpla los requisitos de esta regla de operación, un certificado de asignación de dirección de aeronave que se indica en el Anexo 2 de este Apéndice 2

    (2)  De acuerdo a lo establecido internacionalmente, esta asignación será única para cada aeronave y se mantendrá vigente durante el tiempo que la aeronave pertenezca a una empresa u organización en particular y/o permanezca bajo matrícula chilena. Es decir, que en caso de enajenación, cambio de operador o cualquier circunstancia que implique cambio o cancelación de matrícula, el Operador deberá informar de ello al Subdepartamento de Aeronavegabilidad de la DGAC., para su confirmación, reemplazo o eliminación del registro correspondiente.

4.  APÉNDICES

4.1  Anexo 1 FORM. DGAC 08/2-19 "Solicitud de asignación de dirección de aeronave".

4.2  Anexo 2: FORM. DGAC 08/2-20 "Certificado de asignación de dirección de aeronave".

.
.
.
.
.
.

    APÉNDICE 3 SUMINISTROS MÉDICOS

Contenido del Botiquín de primeros auxilios:

- Dos (2) gasas de 10*10 cms

- Dos (2) gasas de 15*15 cms

- Cinco (5) toallitas con alcohol

- Un (1) pocket gel de 60 ml

- Un (1) apósito transparente Tegaderm

- Una (1) cinta Transpore

- Una (1) mini guía de primeros auxilios

- Una (1) caja transportadora

.
.
.

1    Cuando la fuente de datos son los instrumentos del helicóptero (excepto los altímetros) de una calidad aceptable para volar el helicóptero, el sistema de grabación excluyendo estos sensores (pero incluyendo todas las otras características del sistema de grabación) deben contribuir en no más de la mitad de los valores de esta columna.
2    Porcentaje del rango completo
3    Esta columna aplica a los helicópteros fabricados después del 11 de octubre de 1991.
4    Para todo helicóptero fabricado en o después del 06 abril 2012, el intervalo de muestreo por seg es 4.

    APÉNDICE 5

    FORMATO LISTA EQUIPAMIENTO MINIMO (MEL)

    El MEL propuesto deberá respetar el formato del MMEL en que está basado, incluyendo a lo menos las siguientes secciones:

a)  Cubierta:

    El MEL debe contar con una cubierta en donde se identifique al Operador, la(s) aeronave(s) a la(s) que aplica, fecha y número de revisión que corresponde y la revisión del MMEL empleada.

b)  Tabla de contenidos:

    Debe incorporar un índice con el contenido del MEL con la correspondiente identificación de páginas

c)  Tabla de Revisiones:

    Esta tabla debe contener un registro histórico de las revisiones a que ha sido sometido el MEL, indicando número, fecha y responsable de cada revisión así "'Como la identificación de las páginas que han sido revisadas.

d)  Preámbulo y Definiciones:

    Con el fin de facilitar el uso, buen entendimiento de la aplicación y alcances del MEL y responsabilidades del operador, se deben reproducir los contenidos de las secciones Preámbulo y Definiciones, o capítulos similares del MMEL, realizando las adaptaciones necesarias en lo relativo a la identificación de la normativa nacional pertinente, agregando además, si el operador lo estima necesario, cualquier instrucción o procedimientos que permita un correcto y eficiente uso de este documento por parte del personal técnico responsable del despacho de la aeronave y las tripulaciones de vuelo.

e)  Control de páginas efectivas:

    En esta sección se debe indicar cada una de las páginas que componen el MEL, identificando para cada una de ellas, la revisión y fecha a la que corresponden.

f)  Descripción de los cambios:

    Si corresponde, esta sección debe contener un detalle del motivo de cada uno de los cambios incorporados en la revisión propuesta al MEL.

    APÉNDICE 6
   
    INFORME DE DIFICULTADES EN SERVICIO

(a)  Objeto.

    Establecer directrices respecto al contenido de la información relacionada con la experiencia operacional y de mantenimiento, que deben suministrar los operadores, a la Dirección General de Aeronáutica Civil (DGAC), cuando operen helicópteros de más de 3.180 Kg.

(b)  Informe de dificultades en servicio (IDS).

    (1)  Todo operador que opere helicópteros de más de 3.180 Kgs., deberá notificar a la DGAC su experiencia operacional y de mantenimiento a través de un "INFORME DE DIFICULTADES EN SERVICIO" (IDS) quien determinará la necesidad de notificar al Estado u organización de diseño.

          Este informe será emitido obligatoriamente, dentro de las veinticuatro (24) horas siguientes, a que se produzca alguna de las condiciones que a continuación se indican:

          (i)  Fuego durante vuelos y si ha funcionado correctamente el sistema de alarma o aviso de incendio.

          (ii) Fuego durante el vuelo, cuando la aeronave no está protegida por un sistema de alarma o de aviso de incendio.

          (iii)Falsas alarmas de incendio o humo durante el vuelo.

          (iv) Un Sistema de escape de motor, que cause daño durante el vuelo en el motor, a la estructura adyacente, equipamiento o componentes.

          (v)  Cualquier componente de aeronave que cause acumulación o circulación de humo, vapor u otras emanaciones tóxicas o no toxicas en el compartimiento del motor, cabina de vuelo, de carga o de pasajeros durante el vuelo.

          (vi) Detención o corte de un motor durante el vuelo, debido a una extinción.

          (vii)Detención o corte de un motor durante el vuelo, cuando tiene lugar algún daño exterior al motor o a la estructura de la aeronave.

          (viii)Detención o corte de un motor durante el vuelo, debido a ingestión de objetos extraños.

          (ix) Detención o corte durante el vuelo de un motor, por cualquier falla.
     
          (x)  Dificultades en el sistema de control de paso de hélice o la capacidad del sistema para controlar sobre-velocidad o entrada a posición bandera durante el vuelo.
     
          (xi) Falla en el sistema de combustible o sistema de vaciado de combustible, que afecte el flujo o produzca filtración peligrosa de éste durante el vuelo.
     
          (xii)Falla en el sistema de extensión o retracción del tren de aterrizaje, o falla en el sistema de apertura o cierre de las puertas del tren de aterrizaje, durante el vuelo.
     
          (xiii)Falla de cualquier componente del sistema de freno, que resulte en alguna pérdida detectable de la fuerza de frenado, cuando el avión se encuentre en movimiento en tierra.

          (xiv)Corrosión, trizaduras, grietas o desunión, que requiera reemplazo de la parte afectada o reparaciones de importancia en la estructura de la aeronave.

          (xv) Grietas, deformación permanente o Corrosión, en la estructura de la aeronave, que requiera reparación o remoción de material, que exceden los límites de daño establecido y permitido por el fabricante.

          (xvi)Mal funcionamiento de cualquier componente o sistema de la aeronave, que den como resultado rehusar el despegue o la aplicación de una acción de emergencia durante el vuelo, como está definida por el Manual de vuelo de la Aeronave o el Manual de Operaciones de la empresa.

          (xvii)Cada interrupción de un vuelo, cambios no programados de una aeronave en ruta, paradas no programadas o desviaciones de una ruta o remoción de motor no programada, causadas por conocimiento o sospecha de dificultades mecánicas o de mal funcionamiento.

          (xviii)Cualquier otra falla, mal funcionamiento o defecto en la aeronave, motor, sistema o componente, que ocurra o sea detectada en cualquier momento, si en su opinión pueda causar o haya causado riesgos a la seguridad de vuelo.
     
          (xix)Trizaduras, fracturas o despegamiento en estructura de material compuesto que el fabricante haya designado como estructura primaria o un elemento estructural principal que exceda los límites de daño establecido y/o permitidos por el fabricante, en su documentación de mantenimiento.
     
          (xx) Defecto o falla de funcionamiento del acelerador automático, piloto automático, sistema de control del vuelo o componente de estos sistemas, que generen emergencias.

          (xxi)Cualquier defecto o falla del funcionamiento del sistema de evacuación de emergencia o componente, incluida cualquier puerta de escape, sistema de iluminación de evacuación de emergencia de pasajeros o equipo de evacuación encontrado defectuoso o que falte durante una emergencia real o durante entrenamientos, pruebas, mantenimiento, demostraciones o accionamiento inadvertido.

          (xxii)Pérdida de ignición o detención no comandada de motor, en tierra o vuelo.

          (xxiii)Falla, defecto o mal funcionamiento del rotor o sistema de control de rotores.
          (xxiv)Operación asimétrica de flaps, slats, spoilers, o limitación de movimiento de una de estas superficies.

    (2)  Para efectos de este apéndice, la expresión "durante el vuelo", se considerará el período desde el momento en que la aeronave deja la superficie de la tierra en el despegue, hasta que vuelve a tocarla en el aterrizaje.

    (3)  Si como resultado del envío directo de esta información a la DGAC se obtienen desde el Estado u organización de diseño, instrucciones especiales de inspección o mantenimiento, por la situación ocurrida, la DGAC, informará al operador de las acciones a seguir.

(c)  Forma de notificación.

    (1)  Para efectuar la notificación establecida para los IDS, se ocupará el formulario Form. DGAC 08/2-26, adjunto y explicado en el Anexo "A", de este apéndice.

    (2)  En el Anexo "B" se muestra un flujo grama que asesora respecto a las condiciones bajo las cuales deberá o no, emitirse un IDS.

    (3)  El Formulario DGAC 08/2-26, será elaborado en original (para la DGAC) y dos copias (una para el operador y otra para la OMA responsable del mantenimiento del helicóptero).

.
.

    INSTRUCCIONES DEL LLENADO

I.  ANTECEDENTES
    Marca y Modelo    :  Marca y Modelo del material aéreo
    Matrícula          :  Matrícula de la Aeronave
    Empresa Aérea / CMA:  Nombre de la Empresa Aérea o Centro
                          de Mantenimiento Aeronáutico
    Nº Control        :  Nº asignado por la Empresa Aérea 
                          o CMA al IDS
    Fecha suceso      :  Fecha ocurrencia del problema

II.  PARTE CAUSANTE DEL PROBLEMA
    Código ATA        :  Identificación del código aplicable
                          al sistema afectado
    Nº de Parte        :  Del componente o parte afectada
    Nº de Serie        :  Del componente o parte afectada
    Tiempo desde
    último OH.        :  Del componente o parte afectada
    Tiempo total      :  Del componente o parte afectada
    Descripción        :  Del componente o parte afectada
    Condición de la    :  Quebrado, doblado, corroído, quemado,
    parte                corto, etc.           

III. DESCRIPCIÓN DEL PROBLEMA
    Fase              :  Etapa de la operación en que se
                          produjo el problema
    Texto              :  Describir las condiciones en las cuales
                          se produce la falla, las acciones de
                          emergencia tomadas y otros antecedentes
                          importantes para entender la falla
                          ocurrida.

IV.  INFORMACIÓN DEL CONJUNTO MAYOR
    Aeronave, Motor,      Identificar el conjunto mayor 
    Hélice, Rotor      :  relacionado con el problema.
                          Incluir nombre del fabricante,
                          modelo y número de serie.
    Conjunto que      :  Nombre del sistema o componente que
    incluye la parte      incluye la Parte Indicando fabricante,
                          modelo, Nº de Parte y Nº de Serie.
    Presentado por    :  Responsable de la información y quien
                          debe estar indicado en el MCM o MPM
                          (Nombre y firma).

V.  ANTECEDENTES DE INFORMACIÓN
    Documento de          Nº del documento de remisión al
    remisión          :  sostenedor del certificado de Tipo
                          (fabricante).
    Fecha de remisión  :  Fecha de envío al sostenedor del
                          Certificado de Tipo.
    Informe Técnico      Nº del documento de análisis del
    CMA Nº            :  IDS emitido por el CMA responsable.

VI.  USO DE LA DGAC
    Nº de control DGAC :  Asignado por la DGAC.
    Certificado Tipo  :  Cuando implica situaciones relacionadas
                          con el T. C.
    STC / Alteración  :  Cuando afecta a la aplicación de un
                          suplemento de Certificado de Tipo
                          con situaciones relacionadas con 
                          una Alteración aprobada.
    Reparación mayor
    / Otros            :  Cuando afecta a una reparación mayor
                          efectuada o esta relacionada con
                          normativa específica aplicable.
    Análisis          :  Evaluación de la novedad informada 
                          Definición de acciones efectuadas
                          o por realizar.
    Status del caso    :  Caso abierto, cerrado o pendiente.
    Observaciones      :  Condiciones especiales de análisis.
    Inspector DGAC    :  Que cierra el caso.

.
.
.

Notas.-

1.  El nombre y la información de contacto de la autoridad de aviación civil, incluido el código telefónico del país y el correo electrónico de haberlo.

2.  Fecha de expedición de la aprobación específica (dd-mm-aaaa) y firma del representante de la autoridad.

3.  Nombre y domicilio del propietario o explotador.

4.  Insértese la marca, modelo y serie del avión, o la serie maestra si se le designó. La taxonomía CAST/OACI está disponible en: http://www.intlaviationstandards.org/.

5.  Enumérense en esta columna los criterios más permisivos para cada aprobación o tipo de aprobación (con los criterios pertinentes).

6.  Insértese la categoría de la operación de aproximación por instrumentos que corresponda (CAT II, IIIA, IIIB o IIIC).

    Insértense la RVR mínima en metros y la altura de decisión en pies. Se utiliza una línea por categoría de aproximación enumerada.

7.  Insértese la RVR mínima de despegue aprobada en metros. Se puede utilizar una línea por aprobación si se otorgan aprobaciones diferentes.

8.  Lista de las capacidades de a bordo (es decir, aterrizaje automático, HUD, EVS, SVS, CVS) y créditos operacionales conexos otorgados.

9.  Navegación basada en la performance (PBN): se utiliza una línea para cada aprobación de las especificaciones de navegación AR para PBN (p. ej., RNP AR APCH), con las limitaciones pertinentes enumeradas en las columna "Descripción".

10.  Aquí pueden anotarse otras aprobaciones específicas o datos utilizando una línea (o un bloque de varias líneas) por aprobación (p. ej., aprobación específica para operaciones de aproximación, MNPS).

.
.

      APENDICE TRANSITORIO Nº 1

Nota: Con fecha 08 nov 2020, este Apéndice Transitorio reemplaza en su totalidad la sección 92.405 (d)(3)

92.405 (d)(3) REGISTRADORES DE DATOS DE VUELO

Registradores de datos de vuelo (FDR), Sistemas registradores de datos de aeronave (ADRS), Sistemas registradores de la voz en el puesto de pilotaje (CVR) y Sistemas registradores de audio en el puesto pilotaje (CARS), Registrador de imágenes de a bordo (AIR), Sistema registrador de imágenes de a bordo (AIRS), Sistema registradores de Enlace de Datos (DLR).

    (i)  Generalidades

          (A)  Instalación

              (-1) Los registradores de vuelo se construirán, emplazarán e instalarán de manera que proporcionen la máxima protección posible de los registros, a fin de que estos puedan preservarse, recuperarse y transcribirse. Los registradores de vuelo satisfarán las especificaciones prescritas de resistencia al impacto y protección contra incendios.

              (-2) Los sistemas registradores de vuelo se instalarán de manera que:

                    (*)  sea mínima la probabilidad de daño a los registros;

                    (**) exista un dispositivo auditivo o visual para comprobar antes del vuelo que los sistemas registradores de vuelo están funcionando bien; y.

                    (***)los sistemas registradores de vuelo cuentan con un dispositivo de borrado instantáneo, la instalación procurará evitar que el dispositivo funcione durante el vuelo o durante un choque.

              (-3) Los sistemas registradores de vuelo se instalarán de manera que reciban energía eléctrica de una barra colectora que ofrezca la máxima confiabilidad para el funcionamiento de los sistemas registradores de vuelo sin comprometer el servicio a las cargas esenciales o de emergencia.

          (B)  Los registradores de vuelo no se desconectarán o estarán desconectados durante el tiempo de vuelo, ni utilizarán bandas metálicas, frecuencia modulada, películas fotográficas o cintas magnéticas.

          (C)  El explotador/propietario conservará la documentación relativa a la asignación de parámetros, ecuaciones de conversión, calibración periódica y otras informaciones sobre el funcionamiento/mantenimiento. La documentación será suficiente para asegurar que las autoridades encargadas de la investigación de accidentes dispongan de la información necesaria para efectuar la lectura de los datos en unidades de medición técnicas.

          (D)  Ante un accidente o incidente que exija aviso inmediato a la DGAC, el operador deberá conservar la información de los registradores. Además deberá:

              (-1) Desconectar, retirar y proteger los dispositivos antes mencionados.

              (-2) Hacer entrega de estos elementos al órgano jurisdiccional competente o a la DGAC según corresponda.

              (-3) los registradores de vuelo no volverán a conectarse antes de que la autoridad determine lo que ha de hacerse con ellos.

          (E)  El Operador deberá realizar verificaciones operacionales y evaluaciones de las grabaciones de los sistemas registradores de vuelo según se establece en el Capítulo G (92.619) de esta norma, para asegurar el buen funcionamiento constante de los registradores.

          (F)  La documentación sobre los parámetros de los FDR que deben proporcionar los propietarios/explotadores a las autoridades de investigación de accidentes deberá presentarse en formato electrónico y deberá ajustarse a las especificaciones ARINC 647 A de la industria o documentos equivalentes.

          (G)  Los recipientes que contengan los registradores no desprendibles de vuelo estarán pintados de un color anaranjado distintivo.

          (H)  Los recipientes que contengan los registradores de vuelo no desprendibles protegidos contra accidentes:

              (-1) Llevarán materiales reflectantes para facilitar su ubicación.

              (-2) llevarán perfectamente sujetado a ellos un dispositivo automático de localización subacuática que funcione a una frecuencia de 37,5 kHz. Lo antes posible, pero a más tardar el 1 de Enero de 2018, este dispositivo funcionará durante un mínimo de noventa días.

          (I)  Los recipientes que contengan los registradores de vuelo de desprendimiento automático:

              (-1) estarán pintados de un color anaranjado distintivo; sin embargo, la superficie visible por fuera de la aeronave podrá ser de otro color;

              (-2) llevarán materiales reflectantes para facilitar su localización; y

              (-3) llevarán un ELT integrado de activación automática.

          (J)  Los registradores combinados (FDR/CVR), podrán usarse para cumplir con los requisitos de equipamiento relativos a los registradores de vuelo de esta norma.

    (ii) Registradores de datos de vuelo (FDR) y sistemas registradores de datos de aeronave (ADRS).

          (A)  Aplicación

              (-1) Todo helicóptero para el cual se solicite un primer certificado de aeronavegabilidad en Chile, que tenga una masa máxima certificada de despegue superior a 3 175 kg y cuyo certificado de aeronavegabilidad individual se haya expedido por primera vez el 1 de enero de 2016 o después de esa fecha, estará equipado con un FDR que registrará por los 48 parámetros enumerados en la Tabla 2 del Apéndice 4.

              (-2) Todo helicóptero para el cual se solicite un primer certificado de aeronavegabilidad en Chile, que tenga una masa máxima certificada de despegue superior a 7 000 kg, o que tenga una configuración de asientos para más de 19 pasajeros y cuyo certificado de aeronavegabilidad se haya expedido por primera vez el 1 de enero de 1989 o después de esa fecha, estarán equipados con un FDR que registrará por lo menos los primeros 30 parámetros enumerados en la Tabla 2 del Apéndice 4.

              (-3) Todo helicóptero para el cual se solicite un primer certificado de aeronavegabilidad en Chile, que tenga una masa máxima certificada de despegue superior a 3 175 kg y hasta 7 000 kg, inclusive, y cuyo certificado de aeronavegabilidad se haya expedido por primera vez el 1 de enero de 1989 o después de esa fecha, deberá estar equipado con un FDR que registrará por lo menos los primeros 15 parámetros enumerados en la Tabla 2 del Apéndice 4.

          (B)  Registro

              (-1) Los parámetros que debe registrar un FDR o ADRS se encuentran en Tabla 2 y 4 del Apéndice Transitorio Nº 3.

              (-2) Los FDR o los ADRS comenzarán a registrar antes de que el helicóptero empiece a desplazarse por su propia potencia y continuarán registrando hasta la finalización del vuelo, cuando el helicóptero ya no pueda desplazarse por su propia potencia.

              (-3) Si se dispone de más capacidad de registro FDR, se considerará la posibilidad de registrar la siguiente información adicional:

                    (*)  Otra información operacional obtenida de presentaciones electrónicas, tales como sistemas electrónicos de instrumentos de vuelo (EFIS), monitor electrónico centralizado de aeronave (ECAM) y sistema de alerta a la tripulación y sobre los parámetros del motor (EICAS); y

                    (**) otros parámetros del motor (EPR, N1, flujo de combustible, etc.).

              (-4) Los FDR no utilizarán bandas metálicas, frecuencia modulada (FM), películas fotográficas o cintas magnéticas.

          (C)  Duración

              Todos los FDR conservarán la información registrada durante por lo menos las últimas 10 horas de su funcionamiento.

    (iii)Registradores de la voz en el puesto de pilotaje (CVR) y Sistemas registradores de audio en el puesto pilotaje (CARS).

          (A)  Aplicación.

              (-1) Todo helicóptero para el cual se solicite un primer certificado de aeronavegabilidad en Chile, que tenga una masa máxima certificada de despegue superior a 7 000 kg, estará equipado con un CVR.

              Los helicópteros que ya cuenten con un certificado de aeronavegabilidad otorgado por la DGAC y que a la fecha de emisión de la presente enmienda, no estén equipados con FDR, deberían registrar por lo menos la velocidad del rotor principal en el CVR.

              (-2) Todo helicóptero para el cual se solicite un primer certificado de aeronavegabilidad en Chile, que tenga una masa máxima certificada de despegue superior a 3 175 kg, cuyo certificado de aeronavegabilidad individual se haya expedido por primera vez el 1 de enero de 1987 o después de esa fecha, estarán equipados con un CVR. Los helicópteros que no estén equipados con FDR, deberían registrar por lo menos la velocidad del rotor principal en el CVR.

          (B)  Registros y asignación de audio.

              (-1) El CVR o CARS comenzará a registrar antes de que el helicóptero empiece a desplazarse por su propia potencia y continuará registrando hasta la finalización del vuelo, cuando el helicóptero ya no pueda desplazarse por su propia potencia. Además, dependiendo de la disponibilidad de energía eléctrica, el CVR o CARS comenzará a registrar lo antes posible durante la verificación del puesto de pilotaje previa al arranque del motor, al inicio del vuelo, hasta la verificación del puesto de pilotaje que se realiza al finalizar el vuelo, inmediatamente después de que se apaga el motor.

              (-2) El CVR registrará simultáneamente, en cuatro o más canales separados, por lo menos, lo siguiente:

                    (*)  Comunicaciones orales transmitidas o recibidas en la aeronave por radio;

                    (**) Ambiente sonoro del puesto de pilotaje;

                    (***)Comunicaciones orales de los miembros de la tripulación de vuelo en el puesto de pilotaje transmitido por el intercomunicador, cuando esté instalado dicho sistema;

                    (*iv)Señales orales o auditivas que identifiquen las ayudas para la navegación o la aproximación, recibidas por un auricular o altavoz; y

                    (*v) Comunicaciones orales de los tripulantes por medio del sistema de altavoces destinado a los pasajeros, cuando exista tal sistema.

              (-3) El CARS registrará simultáneamente, en dos o más canales separados, por lo menos lo siguiente:

                    (*)  Comunicaciones orales transmitidas o recibidas en el helicóptero por radio;

                    (**) Ambiente sonoro del puesto de pilotaje; y

                    (***)Comunicaciones orales de los miembros de la tripulación de vuelo en el puesto de pilotajes transmitidos por el intercomunicador del helicóptero, cuando esté instalado.

              (-4) La asignación de audio preferente para los CVR deberá ser la siguiente:

                    (*)  Panel de audio del piloto al mando

                    (**) Panel de audio del copiloto

                    (***)Posiciones adicionales de la tripulación de vuelo y referencia horaria; y

                    (*iv)Micrófono del área del puesto de pilotaje

              (-5) La asignación de audio preferente para los CARS deberá ser la siguiente:

                    (*)  Comunicaciones orales; y

                    (**) Ambiente sonoro del puesto de pilotaje.

              (-6) Los CVR no utilizarán cinta magnética ni serán alámbricos.

          (C)  Duración.

              Todos los helicópteros que deban estar equipados con un CVR llevarán un CVR capaz de que conservará la información registrada durante al menos las últimas 2 horas de su funcionamiento.

    (iv) Registradores de enlace de datos

          (A)  Aplicación

              (-1) Todos los helicópteros cuyo primer certificado de aeronavegabilidad se haya expedido el 1 de enero de 2016 o después de esa fecha, que utilicen cualquiera de las aplicaciones para comunicaciones por enlace de datos enumeradas en la Tabla 3 del Apéndice 4 y que deban llevar un CVR, grabarán en un registrador de vuelo protegido contra accidentes todos los mensajes de las comunicaciones por enlace de datos.

              (-2) Todos los helicópteros que el 1 de enero de 2016 o después de esa fecha, se modifiquen para poder instalar y utilizar en ellos cualquiera de las aplicaciones para establecer comunicaciones por enlace de datos que se enumeran en (-1) anterior y que deban llevar un CVR, grabarán en un registrador de vuelo protegido contra accidentes los mensajes de las comunicaciones por enlace de datos.

          (B)  Registro.

              (-1) Los registros por enlace de datos podrán correlacionarse con los registros de audio del puesto de pilotaje.

              (-2) Cuando la trayectoria de vuelo del helicóptero haya sido autorizada o controlada mediante el uso de mensajes de enlace de datos, se registrarán en el helicóptero todos los mensajes de enlace de datos, tanto ascendentes (enviados al helicóptero) como descendentes (enviados desde el helicóptero). En la medida en que sea posible, se registrará la hora en la que se mostraron los mensajes en pantalla a los miembros de la tripulación de vuelo, así como la hora de las respuestas.

          (C)  Duración

          La duración mínima del registro será equivalente a la duración del CVR.

    APÉNDICE TRANSITORIO Nº 2

Nota: Este Apéndice Transitorio con fecha 08 nov 2020 se incorporará como sección 92.619 de esta norma

92.619 INSPECCIONES DE LOS SISTEMAS REGISTRADORES DE VUELO.

(a)  Inspección.

    (1)  Antes del primer vuelo del día, los mecanismos integrados de prueba para los registradores de vuelo y el equipo de adquisición de datos de vuelo (FDAU), cuando estén instalados, se controlarán por medio de verificaciones manuales y/o automáticas.

    (2)  Los sistemas FDR o ADRS, los sistemas CVR o CARS, y los sistemas AIR o AIRS, tendrán intervalos de inspección del sistema de registro de un año, este período puede extenderse a dos años, siempre y cuando se haya demostrado la alta integridad de estos sistemas en cuanto a su buen funcionamiento y auto control. Los sistemas DLR o DLRS, tendrán intervalos de inspección del sistema de registro de dos años, este período puede extenderse a cuatro años, siempre y cuando se haya demostrado la alta integridad de estos sistemas en cuanto a su buen funcionamiento y auto control.

    (3)  En Tabla 5 del Apéndice 4 se detalla como llevar a cabo la inspección del registro.

    (4)  Un sistema registrador de vuelo se considerará fuera de servicio si durante un tiempo considerable se obtienen datos de mala calidad, señales ininteligibles, o si uno o más parámetros obligatorios no se registran correctamente.

    (5)  Cuando la DGAC lo requiera, se remitirá un informe sobre las inspecciones del sistema de registro para fines de control.

(b)  Calibración del sistema FDR.

    (1)  para los parámetros con sensores dedicados exclusivamente al sistema FDR y que no se controlan por otros medio se hará una recalibración por lo menos cada cinco años, o de acuerdo con las recomendaciones del fabricante de sensores para determinar posibles discrepancias en las rutinas de conversión a valores técnicos de los parámetros obligatorios y asegurar que los parámetros se estén registrando dentro de las tolerancias de calibración; y

    (2)  cuando los parámetros de altitud y velocidad aerodinámica provienen de sensores especiales para el sistema FDR se efectuará una nueva calibración, según lo recomendado por el fabricante de los sensores, por lo menos cada dos años.

    APÉNDICE TRANSITORIO Nº3

Nota: Con fecha 08 nov 2020, el contenido de este Apéndice Transitorio, complementará el Apéndice 4 de esta norma.

    TABLA 2

El número de parámetros que se registrarán dependerá de la complejidad del helicóptero. Los parámetros que no llevan asterisco (*) son obligatorios y deberán registrarse cualquiera que sea la complejidad del helicóptero. Además, los parámetros indicados con asterisco (*) se registrarán si los sistemas del helicóptero o la tripulación de vuelo emplean una fuente de datos de información sobre el parámetro para la operación del helicóptero. No obstante, pueden sustituirse por otros parámetros teniendo debidamente en cuenta el tipo de helicóptero y las características del equipo de registro.

Los siguientes parámetros satisfarán los requisitos para trayectoria de vuelo y velocidad:

- Altitud de presión
     
- Velocidad aerodinámica indicada
     
- Temperatura exterior del aire
     
- Rumbo
     
- Aceleración normal
     
- Aceleración lateral 
 
- Aceleración longitudinal (eje de la aeronave)
     
- Hora o cronometraje relativo
     
- Datos de navegación*: ángulo de deriva, velocidad del viento, dirección del viento, latitud/ longitud - Radioaltitud

.
.
.
.
.
.
.
.

Las aplicaciones que aparecen sin asterisco (*) son obligatorias, y deberán registrarse independientemente de la complejidad del sistema. Las aplicaciones que tienen asterisco (*) se registrarán en la medida en que sea factible, según la arquitectura del sistema.

.
.
.
.
.
.

    TABLA 5

    INSPECCIÓN DE REGISTRO

5.1  La inspección del sistema de registro se llevará a cabo de la siguiente manera:

a)  el análisis de los datos registrados en los registradores de vuelo garantizará que se compruebe que el registrador funcione correctamente durante el tiempo nominal de grabación;
     
b)  con el análisis de los registros del FDR o ADRS se evaluará la calidad de los datos registrados, para determinar si la proporción de errores en los bits (incluidos los errores introducidos por el registrador, la unidad de adquisición, la fuente de los datos del helicóptero y los instrumentos utilizados para extraer los datos del registrador) está dentro de límites aceptables y determinar la índole y distribución de los errores;
     
c)  los registros del FDR o ADRS de un vuelo completo se examinarán en unidades de medición técnicas para evaluar la validez de los parámetros registrados. Se prestará especial atención a los parámetros procedentes de sensores del FDR o ADRS. No es necesario verificar los parámetros obtenidos del sistema ómnibus eléctrico de la aeronave si su buen funcionamiento puede detectarse mediante otros sistemas de la aeronave;
     
d)  el equipo de lectura tendrá el soporte lógico necesario para convertir con precisión los valores registrados en unidades de medición técnicas y determinar la situación de las señales discretas;

e)  se realizará un examen de la señal registrada en el CVR o CARS mediante lectura de la grabación del CVR o CARS. Instalado en la aeronave, el CVR o CARS registrará las señales de prueba de cada fuente de la aeronave y de las fuentes externas pertinentes para comprobar que todas las señales requeridas cumplan las normas de inteligibilidad;

f)  siempre que sea posible, durante el examen se analizará una muestra de las grabaciones en vuelo del CVR o CARS, para determinar si es aceptable la inteligibilidad de la señal; y
     
g)  se realizará un examen de las imágenes registradas en el AIR o AIRS reproduciendo la grabación del AIR o AIRS. Instalado en la aeronave, el AIR o AIRS registrará imágenes de prueba de todas las fuentes de la aeronave y de las fuentes externas pertinentes para asegurarse de que todas las imágenes requeridas cumplan con las normas de calidad del registro.