FIJA PRECIOS A NIVEL DE GENERACIÓN Y TRANSMISIÓN EN SISTEMAS MEDIANOS DE AYSÉN, PALENA Y GENERAL CARRERA Y ESTABLECE SU PLAN DE EXPANSIÓN
Núm. 3 T.- Santiago, 11 de marzo de 2019.
Vistos:
Lo establecido en los artículos 173º y siguientes del DFL Nº 4/20.018, que fija el texto refundido, coordinado y sistematizado del DFL Nº 1, de Minería, de 1982, Ley General de Servicios Eléctricos, en materia de energía eléctrica, en adelante e indistintamente la "Ley"; en el DL Nº 2.224, de 1978, que crea el Ministerio de Energía y la Comisión Nacional de Energía; en el decreto supremo Nº 229, de 2005, del Ministerio de Economía, Fomento y Reconstrucción, que aprueba el Reglamento de Valorización y Expansión de los Sistemas Medianos establecidos en la Ley General de Servicios Eléctricos; en el decreto supremo Nº 23, de 2015, del Ministerio de Energía, que aprueba el Reglamento de Operación y Administración de los Sistemas Medianos establecidos en la Ley General de Servicios Eléctricos; en la resolución exenta Nº 301, de 26 de abril de 2018, de la Comisión Nacional de Energía, en adelante la "Comisión"; en la resolución exenta Nº 154, de fecha 21 de febrero de 2018, de la Comisión, que aprueba las bases definitivas para realización de los estudios de los Sistemas Medianos de Aysén, Palena, General Carrera, Punta Arenas, Puerto Natales, Porvenir, Puerto Williams, Cochamó y Hornopirén, en adelante e indistintamente "resolución exenta Nº 154"; en la resolución exenta Nº 396, de 25 de mayo de 2018, de la Comisión, que establece el catastro de proyectos de generación y transmisión a que se refieren las bases definitivas para la realización de los estudios de los Sistemas Medianos de Aysén, Palena, General Carrera, Punta Arenas, Puerto Natales, Porvenir, Puerto Williams, Cochamó y Hornopirén, aprobadas mediante resolución exenta CNE Nº 154, de 2018; en la carta Nº 1354564, de fecha 30 de abril de 2018, de Sociedad Austral de Generación y Energía Chile S.A., en adelante "SAGESA S.A.", y Empresa Eléctrica de Aisén S.A. , mediante la cual remitieron a la Comisión los Informes Finales de Estudio de Planificación y Tarificación de los Sistemas Medianos de Aysén, Palena, General Carrera, Cochamó y Hornopirén; en la carta CNE Nº 144, de 11 de mayo de 2018, de la Comisión, que comunica observaciones al Informe Final de los Estudios de Planificación y Tarificación de los Sistemas Medianos de Aysén, Palena, General Carrera, Cochamó y Hornopirén; en la carta Nº 1357447, de 18 de mayo de 2018, de Empresa Eléctrica de Aisén S.A. y SAGESA S.A., mediante la cual remitieron a la Comisión los nuevos Informes Finales de los Estudios de Planificación y Tarificación de los Sistemas Medianos de Aysén, Palena, General Carrera y Cochamó; en la carta de la Comisión Nº 152, de 25 de mayo de 2018, que recibe conforme los Informes Finales de los Estudios de Planificación y Tarificación de los Sistemas Medianos de Aysén, Palena, General Carrera, Cochamó y Hornopirén; en la resolución exenta Nº 611, de 27 de agosto de 2018, de la Comisión, que aprueba Informe Técnico de Estudio de Planificación y Tarificación de los Sistema Medianos de Aysén, General Carrera y Palena; en la carta Nº 1378648, de 20 de septiembre de 2018, de Empresa Eléctrica de Aisén S.A.; en el oficio CNE OF. Ord. Nº 569/2018, de 17 de octubre de 2018, de la Comisión dirigido a Empresa Eléctrica de Aisén S.A.; en la carta Nº 1383516, de 18 de octubre de 2018, de Empresa Eléctrica de Aisén S.A.; en la resolución exenta Nº 697, de 24 de octubre de 2018, de la Comisión, que reemplaza Informe Técnico de Estudio de Planificación y Tarificación de los Sistemas Medianos de Aysén, General Carrera y Palena, aprobado mediante Res. Ex. Nº 611, de fecha 27 de agosto de 2018, y aprueba nuevo informe técnico; en el oficio CNE OF. Ord. Nº 583/2018, de fecha 24 de octubre de 2018, de la Comisión, que comunica a la Empresa Eléctrica de Aisén S.A. la resolución exenta Nº 697, de fecha 24 de octubre de 2018, de la Comisión, que reemplaza Informe Técnico de Estudio de Planificación y Tarificación de los Sistemas Medianos de Aysén, General Carrera y Palena, cuadrienio 2018 – 2022 y aprueba nuevo informe técnico; en la carta Nº 1388873, de 19 de noviembre 2018, de Empresa Eléctrica de Aisén S.A.; en la carta ESV/023/2018, de 19 de noviembre de 2018,de Empresa Eléctrica San Víctor SpA; en el oficio CNE OF. Ord. Nº 641/2018, de 21 de noviembre de 2018, de la Comisión, dirigido al H. Panel de Expertos; en el Dictamen Nº 13-2018 del Panel de Expertos, de 18 de enero, que se pronuncia sobre el Informe Técnico de Estudio de Planificación y Tarificación de los Sistemas Medianos de Aysén, General Carrera y Palena, Cuadrienio 2018-2022; en las resoluciones exentas Nº 182 y Nº 181, ambas de 15 de febrero de 2019, de la Comisión, que aprueba Informe Técnico Definitivo de Estudio de Planificación y Tarificación de los Sistemas Medianos de Aysén, General Carrera y Palena, y que aprueba informe de respuestas a observaciones formuladas al Informe Técnico de Estudio de Planificación y Tarificación de los Sistemas Medianos de Aysén, General Carrera y Palena, aprobado mediante resolución exenta Nº 611, de 27 de agosto de 2018, respectivamente enviadas al Ministerio de Energía mediante el oficio CNE. OF. Ord. Nº 120/2019, de 15 de febrero de 2019; en la resolución exenta Nº 727, de 22 de noviembre de 2019, de la Comisión, que Rectifica Informe Técnico Definitivo de Estudio de Planificación y Tarificación de los Sistemas Medianos de Aysén, Palena y General Carrera, aprobado por resolución exenta Nº 182, de 15 de febrero de 2019, comunicada al Ministerio de Energía mediante el oficio CNE OF. Ord. Nº 857/2019, de 22 de noviembre de 2019, de la Comisión; y en la resolución Nº 1.600, de 2008, de la Contraloría General de la República o en la disposición que la reemplace.
Considerando:
1. Que, en virtud de lo dispuesto en el artículo 174º de la Ley, los planes de expansión de las instalaciones de generación y de transmisión y los precios regulados a nivel de generación y de transmisión de cada sistema mediano, se determinarán conjuntamente, cada cuatro años;
2. Que, mediante la resolución exenta Nº 154 la Comisión aprobó las bases definitivas para la realización de los estudios de los Sistemas Medianos de Aysén, Palena, General Carrera, Punta Arenas, Puerto Natales, Porvenir, Puerto Williams, Cochamó y Hornopirén;
3. Que, de conformidad a lo señalado precedentemente, la Comisión dio inicio, con fecha 21 de febrero de 2018, mediante resolución exenta Nº 154, al proceso de realización de los estudios de expansión y de costos de los Sistemas Medianos de Aysén, Palena, General Carrera, Punta Arenas, Puerto Natales, Porvenir, Puerto Williams, Cochamó y Hornopirén;
4. Que, mediante la carta Nº 1354564, de 30 de abril de 2018, las empresas SAGESA S.A. y Empresa Eléctrica de Aisén S.A. presentaron los Informes Finales de los Estudios de Planificación y Tarificación de los Sistemas Medianos de Aysén, General Carrera, Palena, Cochamó y Hornopirén, los que fueron observados por la Comisión a través de carta CNE Nº 144, de 11 de mayo de 2018 referida en vistos;
5. Que, en atención a las observaciones realizadas, mediante carta Nº 1357447, de 18 de mayo de 2018 individualizada en los vistos, las empresas SAGESA S.A. y Empresa Eléctrica de Aisén S.A. presentaron una nueva versión de los Informes Finales de Estudio de Planificación y Tarificación de los Sistemas Medianos de Aysén, General Carrera, Palena y Cochamó, los que fueron recibidos conforme por la Comisión con fecha 25 de mayo de 2018 mediante carta CNE Nº 152;
6. Que, mediante resolución exenta Nº 611 individualizada en los vistos, la Comisión aprobó el Informe Técnico del Estudio de Planificación y Tarificación de los Sistemas Medianos de Aysén, General Carrera y Palena;
7. Que, la empresa Empresa Eléctrica de Aisén S.A., mediante carta Nº 1378648, de 20 de septiembre de 2018, manifestó su desacuerdo al Informe Técnico del Estudio de Planificación y Tarificación de los Sistemas Medianos de Aysén, General Carrera y Palena.
8. Que, asimismo manifestaron su desacuerdo otras empresas que forman parte del catastro de proyectos de generación y transmisión contenido en la resolución exenta Nº 396, de 25 de mayo de 2018, de la Comisión;
9. Que la Comisión mediante el oficio CNE OF. Ord. Nº 569/2018, de 17 de octubre de 2018, solicitó antecedentes a la Empresa Eléctrica de Aisén S.A, los que fueron remitidos por ésta mediante la carta Nº 1383516, de 18 de octubre de 2018;
10. Que, a partir de los antecedentes aportados y del análisis y revisión de las observaciones recibidas, conforme al mérito de las mismas, mediante resolución exenta Nº 697, de 24 de octubre de 2018, la Comisión reemplazó el Informe Técnico del Estudio de Planificación y Tarificación de los Sistemas Medianos de Aysén, General Carrera y Palena, el que fue comunicado, por la Comisión, a la Empresa Eléctrica de Aisén S.A. y a los titulares de proyectos del catastro de generación y transmisión, mediante el oficio CNE OF. ORD Nº 583, de 24 de octubre de 2018, a efectos que, dentro del plazo de quince días, formularan su acuerdo o desacuerdo con dicho informe;
11. Que, mediante carta Nº 1388873, de 19 de noviembre 2018, la Empresa Eléctrica de Aisén S.A. manifestó formalmente su acuerdo respecto del nuevo informe técnico individualizado en el considerando anterior y que mediante la carta ESV/023/2018, la Empresa Eléctrica San Víctor SpA manifestó formalmente su desacuerdo con el referido informe;
12. Que, mediante el oficio CNE OF. ORD Nº 641/2018, de 21 de noviembre de 2018, la Comisión remitió al H. Panel de Expertos las materias en que no se había logrado acuerdo con las empresas Novotempo Energía Aysén SpA y Empresa Eléctrica San Víctor SpA respecto del Informe Técnico aprobado mediante la resolución exenta Nº 697, de 24 de octubre de 2018, de la Comisión;
13. Que, el H. Panel de Expertos a través de su Dictamen Nº 13 -2018, de fecha 18 de enero de 2018, resolvió las discrepancias presentadas por Empresa Eléctrica San Víctor SpA;
14. Que, mediante el oficio CNE. OF. Ord. Nº 120/2019, de 15 de febrero de 2019, de la Comisión, ésta remitió al Ministerio de Energía la resolución exenta Nº 182, de 15 de febrero de 2019, que aprueba el Informe Técnico Definitivo del Estudio de Planificación y Tarificación de los Sistemas Medios de Aysén, Palena y General Carrera y la resolución exenta Nº 181 que aprueba informe de respuestas a observaciones formuladas al Informe Técnico de Estudio de Planificación y Tarificación de los Sistemas Medianos de Aysén, General Carrera y Palena, aprobado mediante resolución exenta Nº 611, de 27 de agosto de 2018;
15. Que, mediante el oficio CNE OF. Ord. Nº 857/2019, de 22 de noviembre de 2019, la Comisión remitió al Ministerio de Energía la resolución exenta Nº 727, de 22 de noviembre de 2019, de la Comisión, que Rectifica Informe Técnico Definitivo de Estudio de Planificación y Tarificación de los Sistemas Medianos de Aysén, Palena y General Carrera, aprobado por resolución exenta Nº 182, de 15 de febrero de 2019;
16. Que, se han cumplido todas las etapas y actuaciones previstas en la Ley para que se dicte el presente decreto.
Decreto:
Artículo primero: Fíjanse los siguientes precios a nivel de generación y transmisión, en adelante "precios de nudo", sus fórmulas de indexación y las condiciones de aplicación de los mismos, para los suministros de electricidad a que se refiere el artículo 174º y siguientes de la Ley, que se efectúen en los Sistemas Medios de Aysén, Palena y General Carrera. Estos precios se aplicarán desde la publicación del presente decreto en el Diario Oficial, sin perjuicio de su entrada en vigencia a contar del 1º noviembre de 2018, conforme a lo dispuesto en el artículo 178º de la Ley, para efectos de las reliquidaciones señaladas en el inciso cuarto del mismo artículo.
1. PRECIOS DE NUDO.
1.1 Precios de Nudo en Barras de Retiro.
A continuación se detallan los precios de nudo de energía y potencia de punta que se aplicarán a los suministros servidos en las barras de retiro para el nivel de tensión que se indica.
a) Sistema Aysén:
. b) Sistema Palena:
. c) Sistema General Carrera:
. 1.2 Fórmulas de Indexación.
Las fórmulas de indexación aplicables a los precios de nudo en las barras de retiro de los Sistemas Medianos de Aysén, Palena y General Carrera, son las siguientes.
1.2.1 Precio de Nudo de la Potencia
. Donde:
CPIi: Consumer Price Index (USA), publicado por el Bureau of Labor Statistics of USA, cuyo valor se encuentra en el sitio web http://data.bls.gov/cgi-bin/srgate, clave "CUUR0000SA0", identificación "CONSUMER PRICE INDEX-ALL URBAN CONSUMERS (CPI)", o en su defecto, una nueva publicación que reemplace a la mencionada para efectos de la publicación de este índice. Se considera el índice
correspondiente al tercer mes anterior al mes en el cual se evalúa la fórmula de indexación.
CPI0: Consumer Price Index (USA), publicado por el Bureau of Labor Statistics of USA, cuyo valor se encuentra en el sitio web http://data.bls.gov/cgi-bin/srgate, clave "CUUR0000SA0", identificación "CONSUMER PRICE INDEX-ALL URBAN CONSUMERS (CPI)", correspondiente al mes de marzo de 2018 (249,554).
IPCi: Índice de Precios al Consumidor, publicado por el Instituto Nacional de Estadísticas,correspondiente al segundo mes anterior a aquel en que se aplique la indexación.
IPC0: Índice de Precios al Consumidor, publicado por el Instituto Nacional de Estadísticas, correspondiente al mes de abril de 2018 (117,66).
DOLi: Valor promedio del tipo de cambio observado del dólar en EE.UU., publicado por el Banco Central, correspondiente al segundo mes anterior a aquel mes en que se aplique la indexación, en $/US$.
DOL0: Valor promedio del tipo de cambio observado del dólar en EE.UU., publicado por el Banco Central, correspondiente al mes de abril de 2018 (600,55 $/US$).
Los ponderadores de cada uno de los índices que componen la fórmula indexación del precio de nudo de la potencia, son los que a continuación se indican:
a) Sistema Aysén:
. b) Sistema Palena:
. c) Sistema General Carrera:
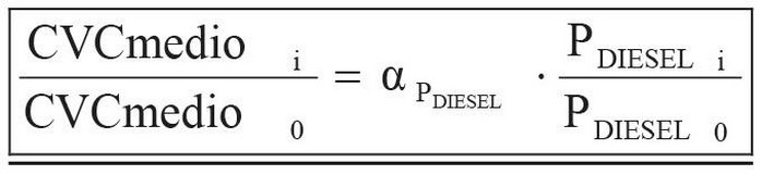
. 1.2.2 Precio de Nudo de la Energía
La fórmula de indexación del precio de nudo de la energía, así como la fuente y convención de cálculo de los índices se presenta a continuación:
. Donde:
ΧE: Ponderador de la componente de costos variables y fijos asociado al precio de la energía.
ΧP: Ponderador de la componente de inversión asociado al precio de la energía.
IPCi: Índice de Precios al Consumidor, publicado por el Instituto Nacional de Estadísticas, correspondiente al segundo mes anterior a aquel en que se aplique la indexación.
IPC0: Índice de Precios al Consumidor, publicado por el Instituto Nacional de Estadísticas,correspondiente al mes de abril de 2018 (117,66).
PDIÉSELi: Precio vigente del petróleo diésel enAysén, Palena y General Carrera,según corresponda, informado por la Empresa, correspondiente al promedio de los últimos 6 meses anteriores a aquel mes en que se aplique la indexación, en $/m3.
PDIÉSEL0: Precio vigente del petróleo diésel enAysén, Palena y General Carrera,según corresponda, informado por la Empresa, correspondiente al promedio del periodo diciembre 2017 a mayo de 2018 (363.370 $/m3, 434.153 $/m3 y 417.356 $/m3, respectivamente).
CPIi: Consumer Price Index (USA), publicado por el Bureau of Labor Statistics of USA, cuyo valor se encuentra en el sitio web http://data.bls.gov/cgi-bin/srgate, clave "CUUR0000SA0", identificación "CONSUMER PRICE INDEX-ALL URBAN CONSUMERS (CPI)", o en su defecto, una nueva publicación que reemplace a la mencionada para efectos de la publicación de este índice. Se considera el índice correspondiente al tercer mes anterior al mes en el cual se evalúa la fórmula de indexación.
CPI0: Consumer Price Index (USA), publicado por el Bureau of Labor Statistics of USA, cuyo valor se encuentra en el sitio web http://data.bls.gov/cgi-bin/srgate, clave "CUUR0000SA0", identificación "CONSUMER PRICE INDEX-ALL URBAN CONSUMERS (CPI)", correspondiente al mes de marzo de 2018 (249,554).
DOLi: Valor promedio del tipo de cambio observado del dólar en EE.UU., publicado por el Banco Central, correspondiente al segundo mes anterior a aquel mes en que se aplique la indexación, en $/US$.
DOL0: Valor promedio del tipo de cambio observado del dólar en EE.UU., publicado por el Banco Central, correspondiente al mes de abril de 2018 (600,55$/US$).
Los precios de combustibles aplicables en las fórmulas de indexación del precio de nudo de la energía, serán los costos que informe Empresa Eléctrica de Aisén S.A. a la Comisión, netos de IVA.
Los ponderadores de cada uno de los índices que componen la fórmula indexación del precio de nudo de la energía, son los que a continuación se indican.
a) Sistema Aysén
. b) Sistema Palena:
.
. c) Sistema General Carrera:
. 1.2.3 Factor de ajuste en caso de situaciones de sequía en los Sistemas Medianos de Aysén, General Carrera o Palena
En caso de presentarse situaciones de sequía en los sistemas de Aysén, General Carrera o Palena, será necesario aplicar un factor de corrección para el cálculo del precio de la energía a través del parámetro αr que multiplique el precio de la energía base. Este parámetro será calculado en forma individual para cada uno de los Sistemas Medianos de Aysén, General Carrera o Palena, y será comunicado por la Comisión, una vez que sea instruido por la autoridad correspondiente. Asimismo, la Comisión comunicará los nuevos valores resultantes de los costos variables totales promedio de cada una de las empresas que operen las instalaciones de generación, y que serán aplicables durante el periodo en que se presente la situación de sequía.
El parámetro αr se define como el coeficiente que multiplica el precio de la energía base para incorporar la desviación que se haya presentado en los costos eficientes de generación debido al despacho de centrales diésel, gatillado por una sequía.
. Dónde:
costo operación diesel eficiente 6 meses: Corresponde a la estimación de los costos eficientes por utilización de diésel, calculados a partir del parque generador determinado en el CTLP y/o nueva inversión eficiente, generando el volumen de energía efectivamente producido en el semestre anterior con diésel debido a restricciones por sequía.
costo operación eficientei 6 meses : Corresponde a la estimación de los costos de operación eficiente, calculados a partir del parque generador determinado en el CTLP, generando el volumen de energía considerado para la determinación del costo operación diesel eficiente6 meses.
Pnindex: Corresponde al precio de energía indexado aplicable durante el siguiente período sin la aplicación del αr.
EProy 6 meses : Corresponde a la energía proyectada a partir de las ventas para el período de 6 meses siguientes al cálculo del αr.
El cálculo de este ajuste tendrá una periodicidad de 6 meses, contados a partir del 1 de mayo de 2019 y se realizará con ocasión de la revisión semestral del precio de nudo.
Para el período comprendido entre el 1 de noviembre de 2018 y 30 de abril de 2019, el valor del αr = 1.
Corresponderá a la Comisión establecer y comunicar periódicamente el valor de los índices contenidos en las fórmulas de indexación señaladas, así como el valor del αr, para que Empresa Eléctrica de Aisén S.A. determine los valores de los precios de nudo de energía y de potencia de punta a ser aplicados. Para tal efecto, la Comisión informará la actualización de los índices antes mencionados, durante los meses de abril y octubre de cada año. En aquellos casos en que alguno de los índices dejase de estar vigente, la Comisión propondrá, mediante un informe técnico dirigido al Ministerio de Energía, el nuevo índice que mejor lo reemplace.
Sin perjuicio de lo anterior, las fórmulas de indexación se aplicarán según lo dispuesto en el artículo 172º de la ley.
Finalmente, cada vez que Empresa Eléctrica de Aisén S.A. modifique sus tarifas, deberá comunicar los nuevos valores a la Comisión y a la Superintendencia de Electricidad y Combustibles, en adelante la "Superintendencia", y publicarlos en un diario de circulación nacional.
1.3 Seguridad y Calidad de Servicio.
Las exigencias de Seguridad y Calidad de Servicio asociadas a los niveles tarifarios que establece el presente decreto corresponderán a las que estén contenidas en la norma técnica dictada para tal efecto.
2. CONDICIONES DE APLICACIÓN.
2.1 Cliente.
Se considerará cliente a toda empresa de servicio público de distribución que esté recibiendo suministro eléctrico de una empresa generadora, aunque no esté vigente un contrato entre las partes para ese objeto.
2.2 Entrega y medida.
Cuando la medida se efectúe en un nivel de tensión o en un punto diferente al de entrega, ésta se afectará por un coeficiente que, tomando en consideración las pérdidas, las refiera a la tensión y punto de entrega. Si el suministro se entrega a través de líneas de terceros, serán de cargo del cliente los pagos en que se incurra por este concepto.
Si un mismo cliente recibe suministro en dos o más puntos de entrega, cada uno será facturado por separado, a los precios de nudo en la barra de retiro correspondiente.
2.3 Horas de punta y fuera de punta del sistema eléctrico.
En los Sistemas Medianos de Aysén, Palena y General Carrera, para los efectos de las disposiciones establecidas en el presente artículo, se entenderá por horas de punta el período del día comprendido entre las 17:00 y las 22:00 horas durante los meses de mayo, junio, julio, agosto y septiembre, exceptuándose los domingo, festivos y sábado inmediatamente siguiente a un día viernes festivo o anterior a un día lunes festivo de dichos meses. El resto de las horas del año serán fuera de punta.
En los Sistemas Medianos de Aysén, Palena y General Carrera, para los efectos de las disposiciones establecidas en el Decreto que fija las fórmulas tarifarias aplicables a suministros de precio regulado efectuados por las empresas concesionarias de distribución, se entenderá por horas de punta el período del día comprendido entre las 17:00 y las 22:00 horas durante los meses de mayo, junio, julio, agosto y septiembre, exceptuándose, a solicitud del cliente, los días domingo, festivos y sábado inmediatamente siguiente a un día viernes festivo o anterior a un día lunes festivo de dichos meses, siempre y cuando y de ser necesario, el usuario asuma los costos de inversión correspondientes. El resto de las horas del año serán fuera de punta.
Excepcionalmente, Decreto 11; Decreto-11T,
ENERGÍA
Art. PRIMERO
D.O. 01.08.2020para el año 2020, se entenderá por horas de punta el periodo del día comprendido entre las 17:00 y las 22:00 horas durante los meses de junio y julio, exceptuándose los días sábados, domingos y festivos de dichos meses. El resto de las horas del año serán horas fuera de punta. Asimismo, para los efectos de las disposiciones establecidas en el decreto que fija las fórmulas tarifarias aplicables a suministros de precio regulado efectuados por las empresas concesionarias de distribución, así como en el decreto que fija los peajes de distribución aplicables al servicio de transporte que presten los concesionarios de distribución, se entenderá por horas de punta el período comprendido entre las 17:00 y las 22:00 horas de cada día de los meses de junio y julio exceptuándose, a solicitud del cliente, los días sábados, domingos y festivos de dichos meses, siempre y cuando y de ser necesario, el usuario asuma los costos de inversión correspondientes. Sin perjuicio de lo anterior, para los clientes definidos en el DS 11T/2016 y en el DS 4T/2018, o el decreto que los reemplace, cuya opción tarifaria cuente con la modalidad de medición de la demanda máxima de potencia leída en horas de punta, se considerará a los meses de mayo y/o agosto y/o septiembre como meses que contienen horas de punta en el periodo de horas señalado, sólo si la demanda máxima de potencia en horas de punta efectivamente leída en uno o más de los meses antes señalados, según corresponda, fuese inferior al promedio de las dos mayores demandas máximas de potencia en horas de punta registradas durante los meses del periodo de punta inmediatamente anterior, a saber, los meses de mayo a septiembre del año calendario anterior. Finalmente, y para efectos de la disposición establecida en el numeral 7.9 del Artículo 1 del DS 11T/2016, se considerará que los meses en que se han definido horas de punta son los meses de mayo, junio, julio, agosto y septiembre en el respectivo sistema mediano.
ENERGÍA
Art. PRIMERO
D.O. 01.08.2020para el año 2020, se entenderá por horas de punta el periodo del día comprendido entre las 17:00 y las 22:00 horas durante los meses de junio y julio, exceptuándose los días sábados, domingos y festivos de dichos meses. El resto de las horas del año serán horas fuera de punta. Asimismo, para los efectos de las disposiciones establecidas en el decreto que fija las fórmulas tarifarias aplicables a suministros de precio regulado efectuados por las empresas concesionarias de distribución, así como en el decreto que fija los peajes de distribución aplicables al servicio de transporte que presten los concesionarios de distribución, se entenderá por horas de punta el período comprendido entre las 17:00 y las 22:00 horas de cada día de los meses de junio y julio exceptuándose, a solicitud del cliente, los días sábados, domingos y festivos de dichos meses, siempre y cuando y de ser necesario, el usuario asuma los costos de inversión correspondientes. Sin perjuicio de lo anterior, para los clientes definidos en el DS 11T/2016 y en el DS 4T/2018, o el decreto que los reemplace, cuya opción tarifaria cuente con la modalidad de medición de la demanda máxima de potencia leída en horas de punta, se considerará a los meses de mayo y/o agosto y/o septiembre como meses que contienen horas de punta en el periodo de horas señalado, sólo si la demanda máxima de potencia en horas de punta efectivamente leída en uno o más de los meses antes señalados, según corresponda, fuese inferior al promedio de las dos mayores demandas máximas de potencia en horas de punta registradas durante los meses del periodo de punta inmediatamente anterior, a saber, los meses de mayo a septiembre del año calendario anterior. Finalmente, y para efectos de la disposición establecida en el numeral 7.9 del Artículo 1 del DS 11T/2016, se considerará que los meses en que se han definido horas de punta son los meses de mayo, junio, julio, agosto y septiembre en el respectivo sistema mediano.
ADecreto 3; Decreto-3T
ENERGÍA
Art. tercero
D.O. 22.03.2021dicionalmente, para el año 2021, se entenderá por horas de punta el periodo del día comprendido entre las 17:00 y las 22:00 horas durante los meses de junio y julio, exceptuándose los días sábado, domingo y festivos de dichos meses. El resto de las horas del año serán horas fuera de punta. Asimismo, para los efectos de las disposiciones establecidas en el decreto que fija las fórmulas tarifarias aplicables a suministros de precio regulado efectuados por las empresas concesionarias de distribución, así como en el decreto que fija los peajes de distribución aplicables al servicio de transporte que presten los concesionarios de distribución, se entenderá por horas de punta el período comprendido entre las 17:00 y las 22:00 horas de cada día de los meses de junio y julio, exceptuándose, a solicitud del cliente, los días sábado, domingo y festivos de dichos meses, siempre y cuando y de ser necesario, el usuario asuma los costos de inversión correspondientes. Sin perjuicio de lo anterior, para los clientes definidos en el DS 11T/2016 y en el DS 4T/2018, o el decreto que los reemplace, cuya opción tarifaria cuente con la modalidad de medición de la demanda máxima de potencia leída en horas de punta, se considerará a los meses de mayo y/o agosto y/o septiembre como meses que contienen horas de punta en el periodo de horas señalado, sólo si la demanda máxima de potencia en horas de punta efectivamente leída en uno o más de los meses antes señalados, según corresponda, fuese inferior al promedio de las dos mayores demandas máximas de potencia en horas de punta registradas durante los meses del periodo de punta del año calendario anterior. Finalmente, y para efectos de la disposición establecida en el numeral 7.9 del Artículo 1 del DS 11T/2016, se considerará que los meses en que se han definido horas de punta son los meses de mayo, junio, julio, agosto y septiembre en el respectivo sistema mediano.
ENERGÍA
Art. tercero
D.O. 22.03.2021dicionalmente, para el año 2021, se entenderá por horas de punta el periodo del día comprendido entre las 17:00 y las 22:00 horas durante los meses de junio y julio, exceptuándose los días sábado, domingo y festivos de dichos meses. El resto de las horas del año serán horas fuera de punta. Asimismo, para los efectos de las disposiciones establecidas en el decreto que fija las fórmulas tarifarias aplicables a suministros de precio regulado efectuados por las empresas concesionarias de distribución, así como en el decreto que fija los peajes de distribución aplicables al servicio de transporte que presten los concesionarios de distribución, se entenderá por horas de punta el período comprendido entre las 17:00 y las 22:00 horas de cada día de los meses de junio y julio, exceptuándose, a solicitud del cliente, los días sábado, domingo y festivos de dichos meses, siempre y cuando y de ser necesario, el usuario asuma los costos de inversión correspondientes. Sin perjuicio de lo anterior, para los clientes definidos en el DS 11T/2016 y en el DS 4T/2018, o el decreto que los reemplace, cuya opción tarifaria cuente con la modalidad de medición de la demanda máxima de potencia leída en horas de punta, se considerará a los meses de mayo y/o agosto y/o septiembre como meses que contienen horas de punta en el periodo de horas señalado, sólo si la demanda máxima de potencia en horas de punta efectivamente leída en uno o más de los meses antes señalados, según corresponda, fuese inferior al promedio de las dos mayores demandas máximas de potencia en horas de punta registradas durante los meses del periodo de punta del año calendario anterior. Finalmente, y para efectos de la disposición establecida en el numeral 7.9 del Artículo 1 del DS 11T/2016, se considerará que los meses en que se han definido horas de punta son los meses de mayo, junio, julio, agosto y septiembre en el respectivo sistema mediano.
2.4 Determinación de la demanda máxima y del cargo por demanda máxima.
Los clientes podrán optar por cualquiera de los sistemas de facturación que se indican a continuación:
1. Demanda máxima leída.
2. Potencia contratada.
En el caso que un cliente no opte por uno de los sistemas de facturación mencionados, la empresa vendedora le aplicará el sistema de facturación de demanda máxima leída. En todo caso, para los efectos de calcular la demanda de facturación que se señala en el numeral 2.4.1 siguiente, la empresa vendedora considerará el promedio de las dos más altas demandas máximas leídas, en horas de punta o fuera de punta según corresponda, en los últimos 12 meses, incluido el mes que se factura, independientemente de que en algunos de estos meses el cliente hubiere tenido otro suministrador. Si el cliente tuviere simultáneamente potencias contratadas con otros suministradores, estas potencias se restarán de la demanda de facturación calculada como se indicó anteriormente. Si el cliente estuviere acogido al sistema de demanda máxima leída con varios suministradores simultáneamente, la demanda de facturación será prorrateada entre todos ellos en función de las potencias que tuvieren disponibles para abastecerlo.
Si un mismo cliente recibe energía en dos o más puntos de entrega, cuyos precios de nudo se calculan sobre la base de los precios de nudo en la misma barra de retiro, los clientes podrán solicitar al vendedor, o a los vendedores, que para los fines de facturación, se consideren las demandas máximas de cada punto afectadas por un coeficiente, para compensar el posible efecto de diversidad. El valor de dicho coeficiente se determinará conforme el aporte de cada punto de entrega a la demanda máxima del cliente, determinada ésta como la suma de las demandas individuales de cada punto de entrega. Las demás normas de aplicación a este respecto se establecerán de común acuerdo entre el vendedor, o los vendedores, y el cliente.
Los clientes tendrán el derecho de instalar a su cargo los equipos necesarios de medición y registro de demanda, en los grupos de puntos de suministro cuyos precios de nudo se calculen sobre la base de precios en la misma barra de retiro, para establecer mensualmente el factor de diversidad del grupo correspondiente. En este caso, la demanda máxima en horas de punta a considerar en cada punto de entrega, para fines de facturación, será su aporte a la demanda máxima conjunta del grupo. Asimismo, la demanda máxima en horas fuera de punta a considerar en cada punto de entrega, para fines de facturación, será su aporte a la demanda máxima conjunta en horas fuera de punta del grupo. La empresa vendedora tendrá acceso a los equipos para su control e inspección. Lo anterior será igualmente aplicable en el caso de más de un suministrador.
2.4.1 Demanda máxima leída.
En esta modalidad de facturación se toman como referencia las demandas máximas leídas en horas de punta y en horas fuera de punta, aplicándose para el kW de demanda máxima leída en horas de punta el precio de nudo de la potencia de punta en el punto de entrega. Adicionalmente la empresa compradora deberá convenir una potencia máxima conectada con la empresa vendedora.
En el caso que no existan o no hayan existido instrumentos que permitan obtener dichas demandas máximas directamente, la empresa vendedora las determinará mediante algún método adecuado.
Para los efectos de facturación se consideran los siguientes dos casos:
Caso a): Empresas distribuidoras cuya mayor demanda máxima leída se produce en horas de punta.
Caso b): Empresas distribuidoras cuya mayor demanda máxima leída se produce en horas fuera de punta.
Para la clasificación de las empresas distribuidoras en los casos a) o b) señalados anteriormente, se considerarán las demandas máximas leídas en los últimos 12 meses de consumo, incluido el mes que se factura.
Se entenderá por demanda máxima leída el más alto valor de las demandas integradas en períodos sucesivos de 15 minutos.
Para las empresas distribuidoras clasificadas en el caso a), la demanda de facturación, en la cual se basa el cargo mensual por demanda máxima, será el promedio de las dos más altas demandas máximas leídas en las horas de punta de los últimos 12 meses, incluido el propio mes que se factura.
Para las empresas distribuidoras clasificadas en el caso b), la facturación mensual de la demanda máxima incluirá los siguientes dos elementos que se sumarán en la factura:
1. Cargo por demanda máxima de punta, y
2. Cargo por demanda máxima fuera de punta.
La demanda de facturación, en la cual se basa el cargo por demanda máxima de punta, será el promedio de las dos más altas demandas máximas leídas en las horas de punta de los últimos 12 meses, incluido el propio mes que se factura.
La demanda de facturación, en la cual se basa el cargo por demanda máxima fuera de punta, será el promedio de las dos más altas demandas máximas leídas en las horas fuera de punta de los últimos 12 meses, incluido el propio mes que se factura.
El cargo por demanda máxima fuera de punta se aplicará a la diferencia entre la demanda de facturación fuera de punta y la demanda de facturación de punta. El precio que se aplicará a esta diferencia de demandas máximas será establecido de común acuerdo entre la empresa vendedora y la empresa compradora, y se basará en los costos adicionales en que incurra la empresa vendedora para suministrarla.
Para cualquier empresa, ya sea clasificada en el caso a) o en el caso b), si la demanda de facturación, dentro o fuera de punta, sobrepasa la potencia conectada, cada kW de exceso sobre dicha potencia se cobrará al doble del precio establecido.
Adicionalmente, si la potencia conectada es excedida en más de 2 días, en el período de un año, la empresa vendedora podrá obligar a la empresa compradora a redefinir la potencia conectada en forma inmediata por un monto igual a la suma de la potencia conectada vigente y del máximo exceso registrado, y cobrar los aportes reembolsables correspondientes.
Si la Decreto 4, ENERGÍA
Art. segundo
D.O. 30.04.2020empresa compradora no contara con un dispositivo de medida de demanda en horas de punta, se considerará como demanda máxima leída en horas de punta, la registrada en cualquiera de las horas de cada uno de los meses establecidos en el punto referido a horas de puntas y fuera de punta que se indican en el numeral 2.3.
Art. segundo
D.O. 30.04.2020empresa compradora no contara con un dispositivo de medida de demanda en horas de punta, se considerará como demanda máxima leída en horas de punta, la registrada en cualquiera de las horas de cada uno de los meses establecidos en el punto referido a horas de puntas y fuera de punta que se indican en el numeral 2.3.
2.4.2 Potencia contratada.
En esta modalidad de facturación, las empresas compradoras deberán contratar las demandas máximas que tendrán derecho a tomar en horas de punta y/o fuera de punta. La contratación de las potencias regirá por un período mínimo de un año y se realizará bajo las siguientes condiciones generales:
. Aquellas empresas cuya demanda máxima anual se produce durante las horas de punta, deberán contratar una potencia de punta.
. Aquellas empresas cuya demanda máxima anual se produce fuera de las horas de punta deberán contratar una potencia fuera de punta y una potencia de punta.
. La potencia de punta contratada se facturará mensualmente al precio de nudo de la potencia de punta en el punto de entrega.
. A las empresas que contraten potencia fuera de punta, por aquella parte en que la potencia fuera de punta excede de la potencia de punta, se les aplicará un precio establecido de común acuerdo entre la empresa vendedora y la empresa compradora. Dicho precio se basará en los costos adicionales en que incurra la empresa vendedora para suministrar la diferencia entre la potencia fuera de punta y la potencia de punta.
. Si en cualquier mes las demandas máximas registradas sobrepasan las potencias de contrato respectivas, por aquella parte que las demandas máximas excedan la potencia de contrato, la empresa vendedora podrá aplicar en ese mes un precio igual al doble del estipulado.
. De manera similar, si en cualquier mes la demanda máxima registrada de una empresa compradora, excede las sumas de las potencias contratadas con diferentes suministradores, este exceso de potencia será prorrateado entre las empresas vendedoras, en proporción a las potencias contratadas que el cliente tenga con cada una de ellas, quienes podrán aplicar en ese mes, a la proporción del exceso que les corresponda, un precio igual al doble del estipulado.
. Adicionalmente, si la potencia de contrato es excedida en más de 2 días, en el período de vigencia de la potencia contratada, la empresa vendedora podrá obligar a la empresa compradora a recontratar potencia en forma inmediata por un monto igual a la suma de la potencia contratada vigente, del exceso registrado y del crecimiento de la demanda máxima correspondiente verificada en el último año, siempre que este crecimiento sea positivo.
. Igualmente, si la suma de las potencias contratadas por una empresa compradora con los diferentes suministradores, es excedida en más de 2 días en el período de vigencia de las potencias contratadas, la empresa compradora estará obligada a recontratar potencia en forma inmediata por un monto igual a la suma de las potencias contratadas vigentes con los diferentes suministradores, del exceso registrado y del crecimiento de la demanda máxima verificada en el último año, siempre que este crecimiento sea positivo.
. En todo caso, la empresa vendedora no estará obligada a suministrar más potencia que las contratadas.
. Se entenderá por exceso registrado, a la diferencia entre la mayor demanda máxima leída, ocurrida en el período de vigencia hasta el momento en que se efectúa recontratación obligada, y la potencia de contrato. El crecimiento registrado se obtendrá como la diferencia entre dicha demanda máxima leída y la mayor demanda máxima leída ocurrida en el período de vigencia anterior. El período máximo de vigencia de la potencia recontratada será de 12 meses. Los clientes podrán recontratar una nueva potencia con la respectiva empresa suministradora, la que regirá por un plazo mínimo de un año. Durante dicho período los clientes no podrán disminuir su potencia contratada sin el acuerdo de la empresa suministradora. Al término de la vigencia anual del contrato los clientes podrán recontratar la potencia.
3. ENERGÍA REACTIVA.
3.1 Cargo por factor de potencia.
En cada uno de los puntos de compra de toda empresa distribuidora de servicio público que esté recibiendo energía eléctrica de una empresa generadora, se deberá aplicar de manera horaria el siguiente procedimiento:
a) Medir y registrar energía activa, reactiva inductiva y reactiva capacitiva.
b) Calcular el cociente entre energía reactiva inductiva y energía activa.
c) Conforme al cociente anterior y de acuerdo al nivel de tensión del punto de compra, aplicar los cargos por energía reactiva inductiva correspondientes. Los valores de cargos por energía reactiva inductiva a emplear corresponderán a los establecidos en el punto referido a energía reactiva para el SEN-SING del Decreto de Precios de Nudo que se encuentre vigente.
Se exceptúa la aplicación de los cargos por energía reactiva inductiva para:
1. Las horas del período comprendido entre las 00:00 y 08:00 hrs. de cada día, y
2. Todas las horas de los días domingos o festivos.
3.2 Cargo por factor de potencia medio mensual.
La facturación por consumos efectuados en instalaciones de clientes cuyo factor de potencia medio mensual sea inferior a 0,93, se cargará en un 1% por cada 0,01 en que dicho factor baje de 0,93.
La facturación por consumos efectuados en instalaciones de los clientes definidos en el DS 11T/2016, actualizado por el DS 5T/2018, ambos del Ministerio de Energía o el que lo reemplace y en el DS 4T/2018 o el que lo reemplace, cuyo factor de potencia medio mensual sea inferior a 0,93, se cargará en un 1% por cada 0,01 en que dicho factor baje de 0,93. En el caso de los clientes en baja tensión cuyas tarifas correspondan a aquellas destinadas a usuarios residenciales definidos en el DS 11T/2016 actualizado por el DS 5T/2018, ambos del Ministerio de Energía o el que lo reemplace, la facturación se cargará en un 0%. La metodología de medición y cálculo del factor de potencia será la establecida en la normativa técnica aplicable al segmento de distribución.
3.3 Facturación de la energía reactiva.
El cargo por energía reactiva que se aplique a la facturación de un mes cualquiera, será el más alto que resulte de comparar los cargos calculados de acuerdo con los numerales 3.1 y 3.2 precedentes.
4. PRECIOS DE NUDO APLICABLES A CLIENTES REGULADOS EN ZONAS DE CONCESIÓN DE EMPRESAS DISTRIBUIDORAS.
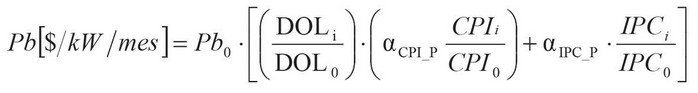
Para efecto de la determinación de los precios de nudo a utilizar en las fórmulas tarifarias de concesionarios de servicio público de distribución, según lo establecido en el Decreto Supremo Nº 11T de 2016, actualizado por el Decreto Supremo Nº 5T de 2018, ambos del Ministerio de Energía, o el que los reemplace, se considerarán los precios que resultan de aplicar las siguientes fórmulas para cada concesionario y sector de nudo en donde se ubica el cliente de la empresa concesionaria, considerando la siguiente clasificación:
. Para cada concesionario y sector de nudo los precios de nudo de energía y potencia se calcularán de la siguiente forma:
. En que:
Pe : Precio de nudo de la energía correspondiente al cliente de acuerdo al sector en que éste se ubica, [$/kWh].
Pp : Precio de nudo de la potencia correspondiente al cliente de acuerdo al sector en que éste se ubica,[$/kW/mes].
PNEi : Precio de nudo de la energía para la barra de retiro i, explicitado en el artículo primero, numeral 1.1 del presente decreto,[$/kWh].
PNPi : Precio de nudo de la potencia de punta para la barra de retiro i, explicitado en el artículo primero, numeral 1.1 del presente decreto, [$/kW/mes].
Ni : Proporción del aporte de electricidad considerado para la barra de retiro i.
n : Número de barras de retiro consideradas en la determinación de los precios Pe y Pp correspondientes al cliente de acuerdo al sector en que éste se encuentra.
A continuación se indican los valores del parámetro Ni en cada una de las barras de retiro consideradas para efectos de representar los costos de generación-transporte en su estructura de precios a nivel de distribución.
. El parámetro Ni será actualizado por la Comisión, en abril de cada año, con ocasión de la actualización de índices a que se refiere el artículo primero, numeral 1.2 del presente Decreto.
5. PAGO DE LAS FACTURAS.
Los clientes deberán pagar las facturas dentro del plazo de 20 días a contar de la fecha de su emisión, en las oficinas que se acuerden con la entidad suministradora.
6. GRAVÁMENES E IMPUESTOS.
Las tarifas del presente decreto son netas y no incluyen el impuesto al valor agregado ni otros impuestos o tributos que sean de cargo de los clientes.
Artículo segundo: Determínase la construcción de las obras de generación y transmisión que se indican a continuación y fíjense las siguientes condiciones para su ejecución.
1. EXPANSIÓN SISTEMAS DE AYSÉN Y GENERAL CARRERA
I. Para el Sistema Aysén, la siguiente empresa será responsable de la ejecución y construcción de la obra de generación que a continuación se indica:
. II. Para el Sistema General Carrera, la siguiente empresa será responsable de la ejecución y construcción de la obra de generación que a continuación se indica:
. Para el Sistema Aysén, la siguiente empresa será responsable de la ejecución y construcción de la obra de transmisión que a continuación se indica:
. 2. INICIO DE CONSTRUCCIÓN.
Las obras de generación que deben comenzar su operación a partir del año 2020, deberán dar inicio a su construcción a lo menos seis meses antes de la fecha de entrada en operación que establece el presente decreto.
La obra de transmisión que debe comenzar su operación a partir del año 2021 indicada en el punto anterior, deberá dar inicio a su construcción a lo menos seis meses antes de la fecha de entrada en operación que establece el presente decreto.
3. AUDITORÍA DE LA EJECUCIÓN Y CONSTRUCCIÓN.
A más tardar 30 días después de que entre en operación cada uno de los proyectos identificados en el presente artículo, Empresa Eléctrica de Aisén S.A. o Hidroeléctrica San Víctor SpA, según corresponda, deberán informar a la Comisión y a la Superintendencia, los resultados de la auditoría técnica que éstas contraten, para certificar el cabal cumplimiento de las exigencias del plan de expansión que establece el presente decreto.
Artículo tercero: Aplícanse los siguientes factores para efectos de la repartición de la recaudación por ventas de energía y potencia:
1. COSTOS VARIABLES TOTALES.
Para efectos de la repartición de la recaudación por venta de energía y potencia a clientes regulados, el costo variable de cada empresa generadora de los Sistemas Medianos de Aysén, Palena y General Carrera, correspondiente al promedio ponderado por generación esperada de los costos variables unitarios de generación, combustibles y no combustibles, considerados en la determinación de tarifas de aquellas unidades de generación asignables a cada empresa, son los que se detallan a continuación:
1. Sistema Aysén
. 2. Sistema Palena
. 3. Sistema General Carrera
. La fórmula de indexación del costo variable combustible medio, así como la fuente y convención de cálculo de los índices se presenta a continuación:
. Donde:
PDIÉSELi: Precio vigente del petróleo diésel enAysén, Palena y General Carrera,según corresponda, informado por la Empresa, correspondiente al promedio de los últimos 6 meses anteriores a aquel mes en que se aplique la indexación, en $/m3.
PDIÉSEL0: Precio vigente del petróleo diésel enAysén, Palena y General Carrera,según corresponda, informado por la Empresa, correspondiente al promedio del periodo diciembre 2017 a mayo de 2018 (363.370 $/m3, 434.153 $/m3 y 417.356 $/m3, respectivamente).
Los precios de combustibles aplicables en las fórmulas de indexación de los costos variables combustibles,serán los costos que informe Empresa Eléctrica de Aisén S.A. a la Comisión, netos de IVA.
Los ponderadores de cada uno de los índices que componen la fórmula indexación del costo variable combustible medio, son los que a continuación se indican.

Asimismo, la fórmula de indexación del costo variable no combustible medio, así como la fuente y convención de cálculo de los índices se presenta a continuación:

Donde:
IPCi: Índice de Precios al Consumidor, publicado por el Instituto Nacional de Estadísticas, correspondiente al segundo mes anterior a aquel en que se aplique la indexación.
IPC0: Índice de Precios al Consumidor, publicado por el Instituto Nacional de Estadísticas, correspondiente al mes de abril de 2018(117,66).
CPIi: Consumer Price Index (USA), publicado por el Bureau of Labor Statistics of USA, cuyo valor se encuentra en el sitio web http://data.bls.gov/cgi-bin/srgate, clave "CUUR0000SA0", identificación "CONSUMER PRICE INDEX-ALL URBAN CONSUMERS (CPI)", o en su defecto, una nueva publicación que reemplace a la mencionada para efectos de la publicación de este índice. Se considera el índice correspondiente al tercer mes anterior al mes en el cualse evalúa la fórmula de indexación.
CPI0: Consumer Price Index (USA), publicado por el Bureau of Labor Statistics of USA, cuyo valor se encuentra en el sitio web http://data.bls.gov/cgi-bin/srgate, clave "CUUR0000SA0", identificación "CONSUMER PRICE INDEX-ALL URBAN CONSUMERS (CPI)", correspondiente al mes de marzo de 2018 (249,554).
DOLi: Valor promedio del tipo de cambio observado del dólar en EE.UU., publicado por el Banco Central, correspondiente al segundo mes anterior a aquel mes en que se aplique la indexación, en $/US$.
DOL0: Valor promedio del tipo de cambio observado del dólar en EE.UU., publicado por el Banco Central, correspondiente al mes de abril de 2018 (600,55 $/US$).
Los ponderadores de cada uno de los índices que componen la fórmula indexación del costo variable no combustible medio, son los que a continuación se indican.

2. FACTORES DE COSTOS DE INVERSIÓN Y ADMINISTRACIÓN ($)
El factor de costos de inversión y administración de cada empresa generadora, que corresponde a la proporción que le resulta asignable a cada empresa de generación respecto del total de costos actualizados de inversiones en instalaciones de generación e infraestructura asociada al segmento de generación y de los costos de administración considerados en la determinación de la tarifa y que no se encuentren contemplados dentro de los costos variables medios, corresponden a los que se detallan a continuación:
I. Sistema Aysén
a. Previo a la entrada en operación de la Central Hidroeléctrica San Víctor
. b. Posterior a la entrada en operación de la Central Hidroeléctrica San Víctor
. Por último, los costos de transmisión determinados a partir de la anualidad de la inversión y de los costos de operación, mantenimiento y administración de las empresas propietarias de instalaciones de transmisión que operan el Sistema Mediano de Aysén, considerados en la determinación de la tarifa, son los que se presentan a continuación:
. La fórmula de indexación de los costos de transmisión, así como la fuente y convención de cálculo de los índices se presenta a continuación:
. Donde:
IPCi : Índice de Precios al Consumidor, publicado por el Instituto Nacional de Estadísticas, correspondiente al segundo mes anterior a aquel en que se aplique la indexación.
IPC0 : Índice de Precios al Consumidor, publicado por el Instituto Nacional de Estadísticas, correspondiente al mes de abril de 2018 (117,66).
CPIi : Consumer Price Index (USA), publicado por el Bureau of Labor Statistics of USA, cuyo valor se encuentra en el sitio web http://data.bls.gov/cgi-bin/srgate, clave "CUUR0000SA0", identificación "CONSUMER PRICE INDEX-ALL URBAN CONSUMERS (CPI)", o en su defecto, una nueva publicación que reemplace a la mencionada para efectos de la publicación de este índice. Se considera el índice correspondiente al tercer mes anterior al mes en el cualse evalúa la fórmula de indexación.
CPI0 : Consumer Price Index (USA), publicado por el Bureau of Labor Statistics of USA, cuyo valor se encuentra en el sitio web http://data.bls.gov/cgi-bin/srgate, clave "CUUR0000SA0", identificación "CONSUMER PRICE INDEX-ALL URBAN CONSUMERS (CPI)", correspondiente al mes de marzo de 2018 (249,554).
DOLi : Valor promedio del tipo de cambio observado del dólar en EE.UU., publicado por el Banco Central, correspondiente al segundo mes anterior a aquel mes en que se aplique la indexación, en $/US$.
DOL0 : Valor promedio del tipo de cambio observado del dólar en EE.UU., publicado por el Banco Central, correspondiente al mes de abril de 2018 (600,55 $/US$).
Los ponderadores de cada uno de los índices que componen la fórmula de indexación del costo de transmisión, son los que a continuación se indican.
. Anótese, tómese razón y publíquese.- Por orden del Presidente de la República, Susana Jiménez Schuster, Ministra de Energía.
Lo que transcribo a Ud. para su conocimiento.- Saluda Atte. a Ud., Loreto Cortés Alvear, Jefa División Jurídica, Subsecretaría de Energía.
CONTRALORÍA GENERAL DE LA REPÚBLICA
División de Infraestructura y Regulación
Cursa con alcance los decretos Nos 2T, 3T y 4T, de 2019, todos del Ministerio de Energía
Nº 5.340.- Santiago, 2 de marzo de 2020.
La Contraloría General ha dado curso a los decretos del epígrafe que, en lo que interesa, fijan precios a nivel de generación y transmisión en los sistemas medianos de Cochamó, de Aysén, Palena y General Carrera, y de Hornopirén, respectivamente, teniendo presente, además, los antecedentes que en su oportunidad fueron acompañados por dicha cartera de Estado.
Saluda atentamente a Ud., Jorge Bermúdez Soto, Contralor General de la República.
Al señor
Ministro de Energía
Presente.