LLAMA A CONCURSO NACIONAL AÑO 2021 PARA PRESENTACIÓN DE PROYECTOS HABITACIONALES, DEL PROGRAMA DE INTEGRACIÓN SOCIAL Y TERRITORIAL DS Nº 19 (V. Y U.), DE 2016. FIJA EL NÚMERO DE SUBSIDIOS PARA LA ATENCIÓN DE LOS PROYECTOS A SELECCIONAR Y SU FORMA DE DISTRIBUCIÓN REGIONAL
Santiago, 26 de febrero de 2021.- Hoy se resolvió lo que sigue:
Núm. 246 exenta.
Visto:
a) El DS Nº 19 (V. y U.), de 2016, que Reglamenta el Programa de Integración Social y Territorial, y sus modificaciones, en especial el DS Nº 16 (V. y U.), de 2019;
b) La resolución exenta Nº 68 (V. y U.), de fecha 22 de enero de 2021, que autoriza efectuar llamados a postulación y/o comprometer recursos durante el año 2021 para el otorgamiento de subsidios habitacionales y señala el monto de los recursos destinados, entre otros, a la atención a través del programa regulado por el DS Nº 19 (V. y U.), de 2016;
c) El DS Nº 1 (V. y U.), de 2011, y sus modificaciones, que Reglamenta el Sistema Integrado de Subsidio Habitacional;
d) La resolución exenta Nº 4.832 (V. y U.), de fecha 14 de junio de 2012, publicada en el Diario Oficial de 18 de junio de 2012, y su modificación, que aprueba "Tabla de Espacios y Usos Mínimos para el Mobiliario del DS Nº 1 e Itemizado Técnico para Proyectos del Título I del DS Nº 1";
e) La resolución exenta Nº 6.625 (V. y U.), de fecha 13 de octubre de 2016, y sus modificaciones, que Aprueba Cuadro Normativo y Tabla de Espacios y Usos Mínimos para el Mobiliario, para Proyectos del Programa Fondo Solidario de Elección de Vivienda, y
Considerando:
a) La necesidad de disponer e implementar durante el año 2021, un llamado a concurso de carácter nacional para la presentación de proyectos habitacionales del Programa de Integración Social y Territorial DS Nº 19 (V. y U.), de 2016, y sus modificaciones, con el objeto de contribuir a la disminución del déficit habitacional cuantitativo;
b) La necesidad de distribuir los recursos equitativamente, incentivando la generación de oferta en comunas donde exista demanda habitacional;
c) Que este Llamado a Concurso promueve la incorporación de familias en barrios con diversos valores de vivienda, favoreciendo la integración social en áreas urbanas con acceso a servicios y equipamiento;
d) Los correos electrónicos de fechas 22 y 23 de febrero de 2021 de los Jefes de las Divisiones de Política Habitacional y Jurídica, dando su conformidad con el presente acto administrativo, dicto la siguiente:
Resolución:
1. Llamado a Concurso y Plazo para presentar proyectos:
Llámase, a partir del día de la publicación de la presente resolución en el Diario Oficial, hasta las 14:00 horas de las fechas que se indican y por la cantidad de cupos de subsidio que se señalan a continuación, a postulación nacional al Programa de Integración Social y Territorial, regulado por el DS Nº 19 (V. y U.), de 2016, para proyectos sin inicio de obras, períodos en que las entidades desarrolladoras ingresarán directamente a los Serviu respectivos los proyectos habitacionales, con la documentación y antecedentes exigidos por dicho reglamento y por esta resolución.
Previamente, las entidades desarrolladoras deberán ingresar los datos del proyecto a través de los medios electrónicos que el Ministerio de Vivienda y Urbanismo (Minvu) disponga para estos efectos.
En tal sentido, se efectuarán dos cierres para la presentación de proyectos, de acuerdo a la siguiente distribución regional:

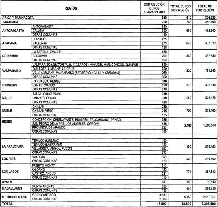
2. Cupos regionales de subsidios:
La cantidad de cupos de subsidio y recursos que se dispondrán para este llamado son los que se señalan a continuación:

3. En caso de detectarse en alguna instancia la presentación de proyectos a este llamado, por parte de distintas entidades desarrolladoras en un mismo terreno, el Serviu informará de esta situación a las entidades involucradas. De persistir esta situación, al momento de la formulación de observaciones, el Serviu solicitará a tales entidades, el contrato de promesa de compraventa vigente (por escritura pública) suscrita entre el propietario del terreno y el promitente comprador, el cual deberá corresponder al representante legal de la entidad desarrolladora postulante. Si no se presenta dicho contrato, el o los proyectos serán rechazados por falta de antecedentes.
4. Coherencia con el Entorno Urbano:
En caso de proyectos de edificación en altura, por sobre los 5 pisos, que imparten en el entorno urbano existente, se deberá velar por el cumplimiento de lo establecido en el ítem 3. Diseño del conjunto habitacional y distribución de familias, de la Tabla de Factores y Puntajes de Evaluación inserta en el artículo 11º del DS Nº 19, principalmente respecto de "asegurar la continuidad con la trama vial existente, la relación con las alturas de edificación, áreas verdes y equipamientos existentes y que la cantidad de viviendas propuestas (incluidas todas las etapas) tenga relación con la capacidad de carga del sector.".
5. Aspectos Técnicos:
5.1. Itemizado Técnico y Cuadro Normativo:
Todas las viviendas de los proyectos deberán cumplir con las exigencias mínimas establecidas en la resolución exenta Nº 4.832 (V. y U.), de 2012, y su modificación.
5.2. Adicionalmente, los proyectos deberán cumplir con lo siguiente:
5.2.1. En el caso de departamentos destinados a familias de sectores medios que consideren sólo un dormitorio, podrán eximirse del recinto logia, en cuyo caso deberán considerar el espacio para un artefacto lavadora en los recintos cocina o baño, así como también las correspondientes conexiones de agua fría-caliente y evacuación de aguas servidas.
5.2.2. Todos los recintos conformados deben considerar puertas, incluyendo puerta de logia.
5.2.3. En escaleras interiores se debe considerar pasamanos, con desarrollo a lo largo de toda la escalera.
5.2.4. Todos los tramos de las redes, al interior de la vivienda, deberán ser embutidos o dispuestos dentro de vigas falsas, nunca a la vista.
5.2.5. Todas las viviendas de los proyectos deberán considerar pavimento de terminación, detallando el producto específico, el que deberá corresponder a un revestimiento.
5.2.6. Los proyectos deben contemplar un abastecimiento eficiente de agua en las zonas de equipamiento y áreas verdes, considerando a lo menos paisajismo con especies acondicionadas a la geografía y zona climática en que se emplaza el proyecto, y riego eficiente (por goteo u otras alternativas). También deben considerar un abastecimiento interno eficiente de agua en todas las viviendas, incluyendo a lo menos sanitarios de doble descarga y griferías eficientes con aireadores.
5.2.7. Además de lo anterior, deben incluir la infraestructura necesaria para la gestión eficiente de residuos, en áreas comunes o de equipamiento, según corresponda, considerando al menos contenedores separados por tipo de residuo.
5.3. Eficiencia Energética:
5.3.1. En caso de incluir elementos de eficiencia energética, estos deberán ser evaluados de acuerdo a la siguiente tabla, que detalla lo mencionado en el artículo 11°, Item 4. Tipologías de Viviendas, letra F. Eficiencia Energética, del DS Nº 19 (V. y U.), de 2016:


5.3.2. Para aquellos PDA que consideren como requisitos obligatorios los Tipos II.3 y III.2, no obtienen puntaje por dicho ítem.
5.3.3. Otras soluciones de eficiencia energética serán revisadas por la Comisión Evaluadora, que podrá otorgar el puntaje, asimilándolo a los tipos indicados en la Tabla precedente, según corresponda. Los puntajes de la tabla anterior no son sumables entre sí.
5.3.4. Los proyectos habitacionales que concursen en el presente llamado, podrán presentar un Informe de Calificación Energética de Viviendas con una evaluación "C" o superior, según lo indicado en la Tabla precitada. En esta instancia, se podrá considerar el informe con la evaluación de las viviendas más desfavorables del conjunto, las que corresponderán a lo menos a una vivienda por tipología.
5.3.5. El compromiso de la entidad desarrolladora de mantener la evaluación "C" o superior, deberá quedar consignado en el respectivo convenio suscrito con Serviu, asegurando el cumplimiento de la letra "C" o superior, para todas las viviendas del conjunto al obtener el Permiso de Edificación (presentando la Precalificación Energética del proyecto), y al obtener la Recepción Municipal (presentando la Calificación Energética Definitiva del proyecto). El Serviu respectivo deberá asegurarse que dicha evaluación se mantenga y se corrobore en los hitos descritos anteriormente.
5.3.6. El informe deberá ser emitido por un Evaluador Energético de Viviendas acreditado por el Minvu. Más información en www.calificacionenergertica.cl.
5.4. Vivienda para personas con discapacidad, asociada a movilidad reducida:
Deberán considerar, además, lo indicado en:
. Los incisos 7 y 8 del punto 5 del artículo 10º del DS Nº 19 (V. y U.), 2016.
. Resolución exenta Nº 6.625 (V. y U.), de 2016, y sus modificaciones, que Aprueba Cuadro Normativo y Tabla de Espacios y Usos Mínimos para el Mobiliario, para Proyectos del Programa Fondo Solidario de Elección de Vivienda, en su ítem II.
5.5. Condominios:
Los proyectos desarrollados en la modalidad de condominios, acogidos a la ley Nº 19.537, de Copropiedad Inmobiliaria, que consideren viviendas unifamiliares ubicadas en su perímetro y con acceso directo a través de un Bien Nacional de Uso Público, deberán disponer las viviendas de forma que se genere entremezcla y se garantice el acceso equitativo al interior de la copropiedad y al equipamiento del proyecto, para todas las viviendas que lo conforman.
Esta modalidad de condominio deberá otorgar una respuesta arquitectónica y urbana a el o los Bienes Nacionales de Uso Público colindantes al proyecto, evitando muros medianeros o cierros opacos que superen el 20% de extensión en cada frente.
5.6. Cierros a Bienes Nacionales de Uso Público y entre unidades:
Respecto de los cierros indicados en el artículo 10º, punto 5., inciso final, del DS Nº 19, alternativamente se podrán considerar parámetros distintos a los señalados, manteniendo como mínimo una altura de 1,20 mts., en casos debidamente justificados y con aprobación del Serviu.
Como estándar mínimo, los cierros deberán ser de carácter definitivo y con materiales indeformables, considerando:
. Frente de las viviendas: Reja de perfilería metálica y transparencia según ordenanza local.
. Entre unidades: Placas opacas rígidas con estructura soportante desde el fondo de sitio hasta la línea oficial o hasta la línea de edificación, considerando para el tramo restante hasta la línea oficial las mismas características definidas para el frente de las viviendas.
. Hacia bienes nacionales de uso público excepto frente de la vivienda: Placas opacas rígidas con estructura soportante. Deberá considerar como mínimo un 15% de transparencia a fin de permitir el control visual del espacio y evitar zonas inseguras.
5.7. Pavimentos en espacios comunes:
El proyecto de equipamiento y áreas verdes deberá considerar el diseño y ejecución de la totalidad de la superficie destinada a ello. No podrá haber espacios sin tratamiento de pavimentos peatonales, pavimentos blandos, vegetación o paisajismo. Lo anterior, en la idea de lograr espacios comunes que contribuyan a la real integración social de las familias.
5.8. Equipamiento básico de uso comercial o de servicios:
En caso de que el proyecto considere equipamiento comercial o de servicios, además de cumplir con los requisitos establecidos en la OGUC, deberá ubicarse estratégicamente en el proyecto, evitando zonas de inseguridad.
En proyectos tipo condominio, se debe acceder al local comercial y a sus estacionamientos desde un bien nacional de uso público y quedar separados del área de los residentes. Además, la entidad desarrolladora deberá colaborar con la gestión del arriendo de los locales comerciales que se entreguen en propiedad a la comunidad, lo que podrá ser realizado a través de la Administración. Dicho compromiso deberá quedar consignado en el convenio citado en el artículo 14º del DS Nº 19 (V. y U.), de 2016.
6. De los antecedentes a presentar:
Las entidades desarrolladoras que participen de este llamado deberán ingresar los datos del proyecto en los sistemas electrónicos dispuestos al efecto, para lo cual deberán contar con una clave de acceso proporcionada por el Serviu. Además, si las condiciones producto de la pandemia generada por el Covid19 se mantienen, los antecedentes de postulación de los proyectos detallados en el "Anexo 1: Lista de Antecedentes" que forma parte de esta resolución, podrán ser presentados en formato digital, debiendo cumplir con los requisitos y plazos establecidos en el presente llamado. Con todo, para proceder a la revisión del proyecto, el Serviu podrá solicitar la entrega en un solo acto de los antecedentes físicos, si es que la situación del país lo permite, con posterioridad a la fecha de cierre para la presentación de proyectos, según corresponda, y en forma previa a la sesión de la Comisión Evaluadora Nacional.
La información gráfica a ingresar tanto en el Serviu como en el sistema informático Rukan debe ser completa y permitir visualizar las características principales del proyecto, incorporando a lo menos un archivo en formato PDF con la imagen aérea del terreno inserto en el barrio, imágenes digitales del conjunto, casas y/o dptos. e imagen del plano de entremezcla de las viviendas, de acuerdo a formato proporcionado por el Minvu.
6.1 Informe gastos comunes para condominios:
Se deberá adjuntar un informe que incluya la estimación de costos operativos y mantención del condominio (por partidas como ascensores, espacios comunes, áreas verdes y equipamientos, portería, piscina u otros), considerando la cuota mensual estimada de pago por parte de los futuros copropietarios, estrategias utilizadas en el diseño del proyecto y su fase operativa para la disminución del valor de los gastos comunes.
6.2 Informe Mecanismo de Post Venta y Calidad de la Construcción:
Se deberá adjuntar un documento que incluya las estrategias y los medios directos de atención a las familias, en caso de fallas o deterioros constructivos que afecten al proyecto, desde la recepción municipal de éste.
El objetivo es informar a las familias de los plazos con que cuentan para hacer efectivas las responsabilidades, conforme a la ley Nº 20.016 que modificó a la Ley General de Urbanismo y Construcciones: 10 años (cuando afectan a la estructura), 5 años (a los elementos constructivos o de instalaciones) o 3 años (a las terminaciones o acabado), como también se debe generar por parte de la entidad desarrolladora, un mecanismo simple, directo y efectivo, que, entre otros temas, permita:
- A las familias denunciar con rapidez y transparencia los problemas que presenta el proyecto.
- A la entidad desarrolladora o empresa constructora, priorizar los casos y las fechas en que se presentará en terreno alguno de sus representantes técnicos, para evaluar los daños en compañía de los propios afectados, indicando por escrito los mecanismos y plazos que tomará reparar los deterioros.
Con esto se busca que las familias cuenten con certezas de una solución efectiva, luego de producido el o los eventos.
7. Revisión, Evaluación, Aprobación y Selección de los proyectos habitacionales:
Se efectuará de acuerdo a lo señalado en los artículos 12º y 13º del DS Nº 19 (V. y U.), de 2016. Todos los proyectos deberán cumplir con las condiciones, exigencias y requisitos establecidos en el referido DS Nº 19 y en esta resolución.
De forma paralela a la revisión de los proyectos que realiza el Serviu y con anterioridad a la sesión de la Comisión Evaluadora, la Seremi deberá revisar el cumplimiento de los requisitos de localización, la normativa urbana aplicable a cada uno de los proyectos presentados y los informes de Revisores independientes que se adjunten a los antecedentes, en el caso de proyectos que se presenten sin permiso de edificación. Todo lo anterior se deberá certificar mediante un informe a ser presentado en la sesión de la Comisión Evaluadora.
8. Desempate de proyectos:
En caso que, habiéndose aplicado lo indicado en el inciso tercero del artículo 13º del DS Nº 19 (V. y U.), de 2016, persista el empate, el orden de prelación se definirá dando prioridad a aquel proyecto que proponga un mayor porcentaje de integración, que se calculará considerando el número de viviendas destinadas a familias vulnerables sobre el número total de viviendas del proyecto, cálculo que considerará 3 decimales; y luego a aquel proyecto que considere la mayor superficie promedio de viviendas, lo que se deberá calcular contabilizando la superficie de todas las tipologías de viviendas que conforman el proyecto.
9. Convenio Serviu - Entidad Desarrolladora:
Una vez sancionada la selección de los proyectos, la entidad desarrolladora deberá suscribir un convenio con el Serviu respectivo en las condiciones y plazos establecidos en el artículo 14º del DS Nº 19 (V. y U.), de 2016, pudiendo operar al efecto mediante los sistemas electrónicos que disponga el Minvu para la gestión, aprobación y tramitación del convenio precitado.
Las entidades desarrolladoras cuyos proyectos hayan resultado seleccionados no podrán ceder o transferir dicho proyecto a otra entidad. Excepcionalmente, en casos justificados, el Serviu podrá autorizar la cesión o transferencia del proyecto, con posterioridad al inicio de las obras y siempre que registre un avance de obras igual o superior al 30%, lo que será verificado por el Serviu.
10. Inicio de las Obras:
La entidad desarrolladora deberá comunicar el inicio de obras al Serviu, mediante una carta que señale la fecha del inicio y acompañe una programación general de la obra que indique el porcentaje mensual de avance esperado y el permiso de edificación, cuando corresponda.
Sin perjuicio de lo dispuesto en el inciso final del artículo 15º del DS Nº 19 (V. y U.), de 2016, el Serviu deberá verificar el inicio de las obras, en un plazo máximo de 15 días corridos a contar de la fecha del inicio de obras informada por la entidad desarrolladora.
Una vez tramitado el convenio respectivo y verificado el inicio de obras por parte del Serviu, la entidad desarrolladora deberá entregar a ese Servicio toda la información del proyecto para su correcta y oportuna difusión hacia la ciudadanía, a través de los medios masivos de comunicación que el Minvu disponga.
La entidad desarrolladora debe ejecutar al menos dos viviendas piloto, una correspondiente a la tipología destinada a familias vulnerables y otra destinada a familias de sectores medios, las que deberán estar completamente terminadas, recibidas por el Serviu respectivo y disponibles para ser visitadas por las familias, como máximo a la fecha establecida para la actividad de visita a la obra, señalada en el Plan de Integración Social, a que se refiere la letra c) del artículo 3º del DS Nº 19, (V. y U.), de 2016.
11. Incorporación de familias a los proyectos:
Conforme a lo dispuesto por el artículo 16º del DS Nº 19 (V. y U.), de 2016, una vez que las entidades desarrolladoras hayan suscrito el convenio con el Serviu a que se refiere el resuelvo 9º de esta resolución, comunicado el inicio de obras al Serviu y que éste haya verificado dicho inicio, la entidad desarrolladora podrá comenzar la incorporación de familias beneficiarias de un subsidio habitacional obtenido en alguno de los programas de vivienda del minvu, señalados en el artículo 2º del referido DS Nº 19, y/o reservar subsidios para su asignación a familias de sectores medios, las que deberán cumplir con lo señalado en el artículo 17º del DS Nº 19 ya citado, en los plazos establecidos en dicho decreto, pudiendo operar al efecto mediante los sistemas electrónicos que disponga el Minvu para tales fines.
Las familias beneficiadas con subsidios correspondientes al DS Nº 1 (V. y U.), de 2011, cuya vigencia haya expirado, podrán incorporarse al proyecto, siempre que no hubiesen transcurrido 60 meses desde la fecha de inicio del período de vigencia del respectivo subsidio.
La asignación de los subsidios que se hayan reservado será sancionada por resolución del Director Serviu respectivo.
12. Postulaciones con el mismo Registro Social de Hogares (RSH):
Solo se permitirá la postulación de un integrante del grupo familiar que comparta el mismo instrumento de caracterización socioeconómica. Dicho instrumento no podrá ser invocado si ya ha sido utilizado para acreditar núcleo familiar en postulaciones a otros programas de subsidio habitacional de este Ministerio.
NOTA
El numeral 2º de la Resolución 1486 Exenta, Vivienda, publicada el 21.09.2021, modifica la presente norma en el sentido de sustituir en la tabla inserta en el resuelvo 2, las filas relativas a las regiones del Libertador General Bernardo O'Higgins, del Maule, de Ñuble, del Biobío, de la Araucanía, de Los Ríos y de Los Lagos, correspondientes al primer cierre, en la forma que la citada norma indica.
El numeral 2º de la Resolución 1486 Exenta, Vivienda, publicada el 21.09.2021, modifica la presente norma en el sentido de sustituir en la tabla inserta en el resuelvo 2, las filas relativas a las regiones del Libertador General Bernardo O'Higgins, del Maule, de Ñuble, del Biobío, de la Araucanía, de Los Ríos y de Los Lagos, correspondientes al primer cierre, en la forma que la citada norma indica.
NOTA 1
El numeral 2º de la Resolución 1792 Exenta, Vivienda, publicada el 22.11.2021, modifica la presente norma en el sentido de sustituir en la tabla inserta en el resuelvo 2, las filas relativas a las regiones de Arica y Parinacota, Tarapacá, Antofagasta, Atacama, Coquimbo, Valparaíso, Aysén, Magallanes, Antártica Chilena, y Metropolitana, correspondientes al segundo cierre en la forma que la citada norma indica.
El numeral 2º de la Resolución 1792 Exenta, Vivienda, publicada el 22.11.2021, modifica la presente norma en el sentido de sustituir en la tabla inserta en el resuelvo 2, las filas relativas a las regiones de Arica y Parinacota, Tarapacá, Antofagasta, Atacama, Coquimbo, Valparaíso, Aysén, Magallanes, Antártica Chilena, y Metropolitana, correspondientes al segundo cierre en la forma que la citada norma indica.
NOTA 2
El numeral 4º de la Resolución 1823 Exenta, Vivienda, publicada el 23.11.2021, modifica la tabla inserta en el resuelvo 2 de la presente norma, en el sentido de sustituir las filas relativas a las regiones por las que la citada norma indica.
El numeral 4º de la Resolución 1823 Exenta, Vivienda, publicada el 23.11.2021, modifica la tabla inserta en el resuelvo 2 de la presente norma, en el sentido de sustituir las filas relativas a las regiones por las que la citada norma indica.
NOTA 3
El número 3° de la Resolución 623 Exenta, Vivienda, publicada el 20.05.2022, modifica la presente norma, como consecuencia de las modificaciones establecidas en los resuelvos 1 y 2 de citada norma, en el sentido de sustituir en la tabla inserta del resuelvo 2, las filas relativas a las regiones que indica, por las que dispone en la precitada resolución, fijándose un nuevo número de cupos de subsidios por región para los proyectos seleccionados.
El número 3° de la Resolución 623 Exenta, Vivienda, publicada el 20.05.2022, modifica la presente norma, como consecuencia de las modificaciones establecidas en los resuelvos 1 y 2 de citada norma, en el sentido de sustituir en la tabla inserta del resuelvo 2, las filas relativas a las regiones que indica, por las que dispone en la precitada resolución, fijándose un nuevo número de cupos de subsidios por región para los proyectos seleccionados.
Anótese, publíquese en el Diario Oficial y archívese.- Guillermo Rolando Vicente, Ministro de Vivienda y Urbanismo (S).
Lo que transcribo para su conocimiento.- Gilda Espinoza Ahumada, Subsecretaria de Vivienda y Urbanismo (S).
ANEXO 1: LISTA DE ANTECEDENTES PARA PRESENTACIÓN DE PROYECTOS DE INTEGRACIÓN SOCIAL Y TERRITORIAL
D.S. N° 19, (V. y U.), de 2016
Llamado a Concurso Nacional año 2021
EXPEDIENTE DEL PROYECTO QUE DEBE SER PRESENTADO EN EL SERVIU RESPECTIVO

