APRUEBA NORMA TÉCNICA Nº 220 DEL ALGORITMO DE CÁLCULO PARA DETERMINAR EL INDICADOR DE COSTOS DE LA SALUD (ICSA) DEL ARTÍCULO 198, DEL DECRETO CON FUERZA DE LEY Nº 1, DE 2005, DEL MINISTERIO DE SALUD
Núm. 20 exento.- Santiago, 8 de marzo de 2022.
Visto:
Lo dispuesto en el artículo 35 de la Constitución Política de la República; lo establecido en el artículo 198 del decreto con fuerza de ley Nº 1, de 2005, del Ministerio de Salud, que fija el texto refundido, coordinado y sistematizado del decreto ley Nº 2.763, de 1979, y las leyes Nº 18.933 y Nº 18.469; en la ley Nº 21.350, en el decreto supremo Nº 28 de 2009, del Ministerio de Salud, y lo indicado en la resolución Nº 7, de 2019, de la Contraloría General de la República, y
Considerando:
1. Que, al Ministerio de Salud le compete ejercer la función que corresponde al Estado de garantizar el libre e igualitario acceso a las acciones de promoción, protección y recuperación de la salud y de rehabilitación de la persona enferma, así como coordinar, controlar y, cuando corresponda, ejecutar tales acciones.
2. Que, el 14 de julio de 2021 fue publicada en el Diario Oficial la ley Nº 21.350, que sustituyó el mecanismo de adecuación de precios base de los planes de salud de las Instituciones de Salud Previsional, modificando los artículos 197 y 198 y agregando un nuevo artículo 198 bis, todos del decreto con fuerza de ley Nº 1, de 2005, del Ministerio de Salud.
3. Que, el artículo 198 del citado decreto con fuerza de ley Nº 1, dispone que el Superintendente de Salud debe fijar mediante resolución, anualmente, un indicador que será un máximo para las Instituciones de Salud Previsional que decidan aplicar al precio base de sus planes de salud, conforme al procedimiento que se establece en dicho precepto.
4. Que, para determinar el valor anual del indicador, la Superintendencia de Salud debe calcular los índices de variación de los costos de las prestaciones de salud, de variación de la frecuencia de uso experimentada por las mismas, y de variación del costo en subsidios por incapacidad laboral del sistema privado de salud. Asimismo, debe incorporar en el cálculo el costo de las nuevas prestaciones y la variación de frecuencia de uso de las prestaciones, que se realicen en la modalidad de libre elección de Fonasa y cualquier otro elemento que sirva para incentivar la contención de costos en salud.
5. Que, la ley exige que un decreto supremo dictado por el Ministerio de Salud y suscrito además por el Ministerio de Economía, Fomento y Turismo, debe aprobar la Norma Técnica que determine el algoritmo de cálculo del indicador propuesto, estableciendo, al menos, la ponderación de los factores que sirvan para el cálculo del indicador, en especial los señalados en el numeral precedente.
6. Que, por lo expuesto, vengo en dictar el siguiente:
Decreto:
Artículo 1. Apruébese la siguiente Norma Técnica Nº 220 para establecer el algoritmo de cálculo para determinar el indicador de variación de costos de la Salud (ICSA), del artículo 198 del decreto con fuerza de ley Nº 1, de 2005, del Ministerio de Salud.
TÍTULO I: DISPOSICIONES GENERALES
Artículo 2. Objeto. La presente Norma Técnica tiene por objeto establecer el algoritmo de cálculo que el Superintendente de Salud deberá observar, para determinar el indicador de variación porcentual que se aplicará como máximo a los precios base de los planes de salud de las Instituciones de Salud Previsional.
Artículo 3. Conceptos. Para los efectos de la presente Norma Técnica, las palabras que se indican tendrán el significado que se señala en cada caso:
1) DFL Nº 1: el decreto con fuerza de ley Nº 1, de 2005, del Ministerio de Salud, que fija el texto refundido, coordinado y sistematizado del decreto ley Nº 2.763, de 1979, y las leyes Nº 18.933 y Nº 18.469.
2) Superintendencia: la Superintendencia de Salud.
3) Isapres: las Instituciones de Salud Previsional.
4) Fonasa: el Fondo Nacional de Salud.
5) Prestaciones: comprende las acciones de salud, tecnología sanitaria o dispositivos médicos, tales como consultas médicas, exámenes y procedimientos; medicamentos; artículos farmacéuticos y de laboratorio; material quirúrgico, instrumental y demás elementos o insumos que se requieran para el diagnóstico de un problema de salud y su tratamiento o seguimiento.
6) Prestaciones con cobertura hospitalaria: son aquellas realizadas a un beneficiario y que requieren o requirieron que se haya efectuado con el paciente hospitalizado. La hospitalización no necesariamente requiere que el paciente pernocte en el establecimiento, por lo tanto, el alcance de la atención hospitalaria deberá definirse de acuerdo a la jurisprudencia establecida por la Superintendencia conforme a la normativa que regula la materia.
7) Prestaciones con cobertura ambulatoria: son aquellas prestaciones realizadas a un beneficiario por un prestador, sin que requiera, complementariamente, de prestaciones de días cama.
8) Prestador o prestadores de salud: las personas naturales o jurídicas que ejecutan acciones de salud, tales como consultorios, consultas, centros médicos, hospitales o clínicas.
9) SIL: los Subsidios por Incapacidad Laboral.
10) IPC: el índice de Precios al Consumidor determinado por el Instituto Nacional de Estadísticas.
11) Algoritmo: conjunto ordenado y finito de operaciones, establecido en esta Norma Técnica, que permite determinar el indicador de variación porcentual máximo que las Isapres podrán aplicar al precio base de sus planes de salud.
12) MLE: son aquellas prestaciones que Fonasa bonifica de acuerdo al artículo 143 del DFL Nº 1 y que las Isapres bonifican a sus afiliados con el mismo código y que se incorporan en el cálculo del indicador de costos.
13) ICSA: es el Indicador de Costos de la Salud, que comprende los índices de variación de los costos de las prestaciones de salud, de variación de la frecuencia de uso experimentada por las mismas y de variación del costo en subsidios por incapacidad laboral del sistema privado de salud. El indicador también incorpora el cálculo el costo de las nuevas prestaciones y la variación de frecuencia de uso y de los valores unitarios bonificados de las prestaciones, que se realicen en la modalidad de libre elección de Fonasa.
14) Registros: se refiere a los archivos maestros enviados por las Isapres cumpliendo las instrucciones de la Superintendencia.
15) Cartera de personas beneficiarias: designa a la población de personas afiliadas a un seguro de salud (Isapres o Fonasa).
16) Persona beneficiaria: designa a una persona afiliada a un seguro de salud, independientemente que sea la persona que contrata el seguro (cotizante), o bien sea dependiente de la persona cotizante (carga).
17) Canasta de prestaciones: conjunto de prestaciones a los cuales se les quiere medir el precio para calcular su variación en el tiempo.
18) Índice elemental: se refiere a la variación de precios o de cantidad para una prestación MLE de la canasta, o bien a la variación del gasto por Subsidios de Incapacidad Laboral, entre el mes del año base y el mismo mes del año de análisis. Es la unidad básica, la más desagregada del índice.
19) Micro índice: se refiere a un índice de nivel intermedio, que se construye a nivel de prestación para dar cuenta de la evolución precios (MIP), o de frecuencia de uso (MIF), para el mes t en base al valor del mes anterior (t-1) y el índice elemental a nivel de prestación. En el caso de prestaciones se calculan también micro índices por tipo de prestaciones, ambulatorias u hospitalarias, a nivel más agregado. Cabe señalar que, en el caso de los Subsidios por Incapacidad Laboral, no se calculan micro índices.
20) Índice de Valor Unitario Bonificado por Isapres: da cuenta de la evolución del valor bonificado unitario (efecto precio de las prestaciones) de las prestaciones de salud contenidas en el Arancel Fonasa MLE.
21) Índice de Cantidad Bonificada Isapre: da cuenta de la evolución de la frecuencia de uso de las prestaciones de salud (efecto cantidad del uso de las prestaciones) contenidas en el Arancel Fonasa MLE que fueron bonificadas.
22) Índice de Gasto en Subsidios por Incapacidad Laboral: da cuenta de la evolución del costo per cápita en Subsidios por Incapacidad Laboral (SIL) por licencias médicas curativas de carga de las Isapres.
23) Índice de costo en prestaciones de salud MLE del Fonasa: da cuenta de la variación de la frecuencia de uso experimentada por las prestaciones MLE de personas beneficiarias del Fonasa, de tramos B, C y D, en prestadores privados en convenio y de la variación del valor unitario de estas prestaciones.
Artículo 4. Obligación de proporcionar información. Las Instituciones de Salud Previsional, deberán confeccionar los Archivos Maestros de Prestaciones de Salud Bonificadas (AMPB) y los Archivos Maestros de Licencias Médicas (AMLM) con la finalidad de proporcionar información detallada mensualmente respecto de aquellas prestaciones que hayan sido bonificadas y otorgadas a los beneficiarios, así como también la información de las licencias médicas y el gasto en subsidios por incapacidad laboral asociado a ellas.
La Superintendencia podrá requerir de Fonasa del Ministerio de Salud y de los demás organismos públicos, instituciones privadas de salud y prestadores de salud, toda información agregada o desagregada, registro o dato que sea necesario para el correcto cálculo del indicador.
En el proceso de validación de los registros, la Superintendencia tendrá amplias facultades para requerir de las Isapres, Fonasa y de los prestadores de salud toda la información financiera, contable y operativa que se precise para la correcta construcción del indicador y cualquier otra información que requiera para dichos efectos.
Los datos personales que sean obtenidos en estos procesos estarán bajo la protección que establece la ley Nº 19.628, sobre protección de la vida privada.
TÍTULO II: DE LA DETERMINACIÓN DEL ALGORITMO
Artículo 5. Etapas. La determinación del algoritmo consta de las siguientes etapas:
1.- Etapa de cálculo de variación de costos de prestaciones MLE de las Isapres.
2.- Etapa de cálculo de variación de costos de prestaciones MLE del Fonasa.
3.- Etapa de corrección y definición de la variación de costo de prestaciones de salud MLE de las Isapres.
4.- Etapa de cálculo de variación de costo del SIL de las Isapres.
5.- Etapa de definición del ICSA.
Párrafo 1º
Etapa de cálculo de la variación de costos de prestaciones MLE de las Isapres
Artículo 6. Objetivo. El objetivo de esta etapa es calcular un índice que dé cuenta de la variación de costos en prestaciones MLE del sistema de Isapres. Para ello, se calcula el producto de un índice de valor unitario bonificado por las Isapres (efecto precio de prestaciones) y un índice de frecuencia de uso de prestaciones (cantidad de prestaciones), para luego poder cuantificar el efecto de la variación de los precios o de las cantidades bonificadas en la variación del costo de prestaciones MLE de las Isapres.
Artículo 7. Metodología. La metodología empleada en la presente Norma Técnica para la construcción del ICSA sigue las recomendaciones de la OIT (1), vigentes internacionalmente para la producción de estadísticas oficiales en materia de índices de precios.
______________
(1) OIT, FMI, OCDE, Oficina Estadística de las Comunidades Europeas, ONU, Banco Mundial. 2006. Manual del índice de precios al consumidor: Teoría y práctica. FMI ed. Washington DC, 659. Capítulos 1 y 15.
Artículo 8. Índice de Valor Unitario Bonificado de las Isapres. Este índice es una aproximación para medir la evolución del precio de las prestaciones de salud (efecto precio) contenidas en el Arancel Fonasa MLE en el año calendario t (período de análisis) y en el año calendario t-1 (período base).
a) Selección de canasta de prestaciones de salud MLE.
Dado que las categorías del registro "tipo de atención" (Ambulatoria - Hospitalaria) no presentan una clasificación exhaustiva y excluyente por códigos de prestaciones específicas, es decir, que algunas prestaciones se otorgan en ambos tipos de atención, para el cálculo del índice, se las debe considerar como prestaciones distintas para efectos de cálculo y análisis.
Se calculan los índices elementales para aquellas prestaciones que, conjuntamente, durante el período base de cálculo (el año calendario t-1) acumulan el 90% superior del gasto bonificado en atención ambulatoria, por una parte, y aquellas que acumulan el 90% superior del gasto bonificado en atención hospitalaria, por otro.
b) Ponderación
En el índice de Valor Unitario Bonificado por las Isapres, las ponderaciones se calculan respecto al período base de cálculo (año calendario t-1). Es decir, el peso de cada monto bonificado sobre el total bonificado en el año calendario t-1.
c) Procedimiento de cálculo
Para calcular el índice de Valor Unitario Bonificado de las Isapres por tipo de atención, ambulatoria u hospitalaria, y a nivel general, se parte por calcular índices elementales a nivel de prestación.
Los índices elementales a nivel de prestación luego se promedian, como Medias aritméticas ponderadas, para estimar el gasto bonificado por prestación y tipo de atención (ambulatoria u hospitalaria) en el gasto total bonificado del período base (año t-1).
d) Índice elemental de Valor Unitario Bonificado de las Isapres
Los índices elementales de Valor Unitario Bonificado de las Isapres dan cuenta de la variación de precio bonificado por las Isapres para una prestación MLE de la canasta, entre el mes del año base (t-1) y el mismo mes del año de análisis (t).
Para calcular los Índices Elementales de Valor Unitario Bonificado de las Isapres se consideran los valores unitarios de precios mensuales de las prestaciones seleccionadas en la canasta, y que cuentan con registro de frecuencia mayor a cero en todos los meses del periodo de estudio (24 meses, de enero del año t-1 a diciembre del año t).
Las prestaciones que no satisfacen esas condiciones, y para las cuales no se calculan índices elementales, quedan representadas por el ponderador del nivel siguiente, a pesar de que queden fuera de seguimiento por su escasa frecuencia y/o baja participación en el gasto total.
Los valores unitarios o precios (P i/t), se calculan como la ratio entre el monto total bonificado de la prestación i en el mes t, sobre la frecuencia de prestaciones bonificadas de la prestación t en el mes t.
.

Los índices elementales de valor unitario bonificado por Isapres a nivel de prestación para IE i/t, se construyen como ratios entre el valor unitario de la prestación i en el mes t (proxy del precio; P i/t) y el de la prestación en el mes anterior.
. Posteriormente, se construyen los micro índices de precios (MIP) a nivel de prestación para el mes t (MIP i/t) en base al valor del mes anterior y el índice elemental a nivel de prestación IE i/t:
. Para ello se asume que el primer MIP, es igual a 100.
e) Corrección por IPC
Todos los micro índices de precios (MIP) son deflactados (se corrige por IPC), donde se divide por un índice de precios con base igual a 100 en mismo periodo que el primer MIP y se multiplica por 100.
El índice de precios con base igual a 100, se construye a partir de información oficial publicada por el Instituto Nacional de Estadísticas (INE).
f) Micro índice por tipo de atención
A partir de los micro índices de precios (MIP) se construyen los micro índices de precios de prestaciones bonificadas a nivel de tipo de atención (MIT), como la suma ponderada de los micro índices de precio a nivel de prestación MIP i/t.
Las prestaciones tendrán distinta ponderación (w i/a) según el tipo de atención "a", donde "a" puede ser atención ambulatoria o atención hospitalaria:
. El ponderador (w i/a) representa la proporción del gasto efectuado en la prestación i, respecto del gasto total efectuado en las prestaciones del tipo de atención a, durante el periodo base, es decir;
. El índice de precios de prestaciones bonificadas de las Isapres se obtiene de la suma ponderada de los micro índices por tipo de atención:
. Donde la ponderación de cada tipo de atención en el valor total bonificado se calcula con referencia en el periodo base del índice:
. Luego, se obtiene el índice de Valor Unitario Bonificado de las Isapres, que es un índice mensual, con 24 valores, 12 para el año base y 12 para el año de análisis.
g) Cálculo año base (procedimiento aplicado en todos los niveles de agregación)
Se calcula el promedio aritmético de los 12 primeros MIP:
. Con esto se recalculan todos los MIP, ajustados por el promedio de los MIP para los meses considerados dentro del periodo base (XMIP i/base), de modo que el promedio de los doce meses de base sea igual a 100, es decir:
. Artículo 9. Índice de Cantidad (o de frecuencia de uso) de prestaciones Bonificadas por las Isapres. El índice de Cantidad de Prestaciones Bonificadas por las Isapres se calcula para medir la evolución de la frecuencia de uso de las prestaciones de salud contenidas en el Arancel Fonasa MLE en el año calendario t (período de análisis) y en el año calendario t-1 (período base).
a) Selección de canasta de prestaciones de salud MLE
Se utiliza la misma canasta de prestaciones que fue seleccionada en índice de valor unitario de prestaciones bonificadas. Es decir, los índices elementales de cantidad se calculan para las mismas prestaciones que acumularon conjuntamente el 90% superior del gasto bonificado en cada tipo de atención (ambulatoria y hospitalaria) durante el período base.
b) Ponderación
En el caso del Índice de Cantidad de Prestaciones Bonificadas, se calculan ponderaciones respecto al período de análisis (año calendario t). Es decir, el peso de cada monto bonificado sobre el total bonificado del año de análisis t.
c) Procedimiento de cálculo
Para calcular el índice de Cantidad de Prestaciones Bonificadas por las Isapres por tipo de atención, ambulatoria u hospitalaria, y a nivel general, se parte por calcular índices elementales de frecuencia de uso a nivel de prestación.
Los índices elementales de cantidad (frecuencia de uso) a nivel de prestación luego se promedian, como medias aritméticas ponderadas, para estimar la cantidad bonificada por prestación y tipo de atención (ambulatoria u hospitalaria) en el gasto total bonificado del período de análisis (año t).
d) Índice elemental de frecuencia de uso por prestación.
El primer nivel del índice está definido por las variaciones de cantidad bonificada o frecuencia de uso para cada una de las prestaciones de salud específicas contenidas en el arancel de la MLE del Fonasa.
Se consideran las cantidades mensuales y se hace seguimiento sólo a aquellas prestaciones con registro de frecuencia mayor a cero todos los meses del periodo de estudio (24 meses, de enero del año t-1 a diciembre del año t).
Las prestaciones que no satisfacen esas condiciones, y para las cuales no se calculan índices elementales, quedan representadas por el ponderador del nivel siguiente, a pesar de que queden fuera de seguimiento por su escasa frecuencia y/o baja participación en el gasto total.
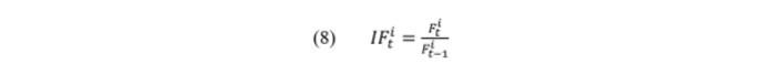
Entonces, se calcula el índice elemental de frecuencia de uso de la prestación i para el mes t (IF i/t), se calcula como la ratio entre la frecuencia de la misma prestación en el mes t (F i/t) y su frecuencia en el mes anterior (F i/t_1).
. Luego, el micro-índice de frecuencia de uso a nivel de prestación se calcula de la siguiente forma:
. Donde, se asume que el primer MIF es igual a 100.
Es decir:
. e) Corrección por crecimiento de la cartera de personas beneficiarías
Todos los micro índices de frecuencia de uso (MIF) son deflactados, donde se divide por un índice de cartera de personas beneficiarias con base igual a 100 en mismo periodo que el primer MIF y se multiplica por 100.
Este índice de cartera de personas beneficiarías con base igual a 100, se construye a partir de información oficial publicada por la Superintendencia de Salud.
f) Micro índice por tipo de atención
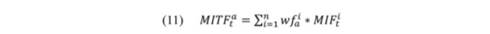
A partir de los micro índices de frecuencia de uso (MIF) se construyen los micro índices de frecuencia de uso de prestaciones a nivel de tipo de atención (MITF a/t), como la suma ponderada de los índices elementales de frecuencia a nivel de prestación, que son distintos por tipos de atención (a).

A diferencia del índice de precio unitario, los de frecuencia de uso utilizan un ponderador wf i/a, que representa la proporción del gasto bonificado en la prestación i, respecto del gasto total en las prestaciones del tipo de atención a (ambulatoria u hospitalaria), en el periodo de análisis:
. Finalmente, el índice de Cantidad de Prestaciones Bonificadas por las Isapres se obtiene de la suma ponderada de los índices por tipo de atención:
. Donde la ponderación de cada tipo de atención, ambulatoria u hospitalaria, en el gasto total, se calcula sobre el periodo de análisis:
. El índice de frecuencia de uso de prestaciones bonificadas por las Isapres es un índice mensual, con 24 valores, 12 del año base y 12 del año de análisis.
g) Cálculo año base (procedimiento aplicado en todos los niveles de agregación)
Se calcula el promedio aritmético de los 12 primeros micro-índice de frecuencia de uso MIFi de la prestación i según corresponda:
. Luego se recalculan todos los micro índices de frecuencia de uso (MIF), ajustados por el promedio de los MIF para los meses del periodo base (XMIF i/base) de modo que el promedio de los doce meses de base sea igual a 100:
. Artículo 10. Índice de Costo en Prestaciones de Salud MLE de las Isapres. El índice de Costos en Prestaciones de salud MLE de las Isapres, ICPRE(Isapres), se calcula como el producto de los índices de valor unitario de prestaciones bonificadas por las Isapres y del índice cantidad (o de frecuencia de uso) de prestaciones bonificadas de las Isapres, divido por cien.
. Al calcularlo como producto de dos índices de precios y cantidad es posible cuantificar los efectos aislados de la variación de los precios, por un lado, y de las cantidades por otro, en la variación del costo en prestaciones.
Artículo 11. Variación del Índice de Costo en Prestaciones de salud MLE de las Isapres. Se calcula la variación porcentual a doce meses (variación de un mes t con respecto al mismo mes del año anterior (t - 12).
. Donde:
ICPRE(Isapres)= Índice de Costos en Prestaciones de salud MLE de las Isapres Δ%12m: Variación porcentual en 12 meses.
Luego, se calcula la variación promedio anual (de doce meses).
La variación promedio anual del índice de costo en prestaciones de salud MLE de las Isapres (promedio de las Δ%12mICPRE (Isapres)) se corrige luego por la variación promedio anual del índice de costo en prestaciones de salud MLE del Fonasa(promedio de las Δ%12mICPRE (Fonasa)), para calcular la componente del costo en prestaciones del ICSA (Δ%ICPRE).
Parrafo 2°
Etapa de cálculo de variación de costos de prestaciones MLE del Fonasa
Artículo 12. Definición del Universo de prestaciones del Fonasa para el cálculo del indicador. Para este cálculo se deben considerar aquellas prestaciones de salud bonificadas ambulatorias y hospitalarias por Fonasa.
De las prestaciones de salud bonificadas, ambulatorias y hospitalarias, se deben considerar todas aquellas que, conjuntamente, acumulen un 90% del gasto bonificado de las prestaciones MLE del Fonasa, del mismo modo que lo que se considera para el sistema Isapre.
Luego, se seleccionan todas aquellas prestaciones de salud que son comunes entre Sistema Isapre y Fonasa. Esto es, la intersección entre la canasta de prestaciones de salud seleccionada para Isapres (que acumulan 90% del gasto) y la seleccionada para el Fonasa (que también acumula 90% del gasto).
Artículo 13. Metodología de Cálculo. Para calcular la variación de costos de prestaciones MLE del Fonasa, el procedimiento de cálculo debe ser el mismo que se aquel que se utiliza para las Isapres, y que se encuentra descrito en el Párrafo 1° de este Título.
Parrafo 3°
Etapa de corrección y definición de la variación de costo de prestaciones de salud MLE de las Isapres
Artículo 14. Promedio ponderado de las variaciones del gasto del Fonasa y de las Isapres en prestaciones MLE. Para los efectos de contener la variación de costo en prestaciones en MLE de las Isapres, se deberá promediar la variación promedio anual del índice de costo en prestaciones de salud MLE de las Isapres (Δ%ICPRE (Isapres)) con la variación del costo en prestaciones en MLE del Fonasa (Δ%ICPRE (Fonasa)) para ser incorporado en el ICSA.
Las ponderaciones, para las variaciones de las Isapres y del Fonasa, se calculan como las frecuencias de uso de prestaciones en MLE (demanda) relativas de cada seguro.
La frecuencia de uso de prestaciones MLE relativa se estima con base a la demanda potencial, es decir, la cartera de personas beneficiarias que puede acceder a prestaciones MLE en cada seguro.
Luego se obtiene la variación del índice de costo en prestaciones de salud MLE de las (Isapres Δ%ICPRE (Isapres)), ajustada según la variación del costo en prestaciones de salud MLE del Fonasa(Δ%ICPRE (Fonasa)), la cual será el insumo final para la construcción de la componente del costo en prestaciones del ICSA(Δ%ICPRE).
Parrafo 4°
Etapa de cálculo del Indice de gasto en Subsidios por Incapacidad Laboral (SIL) de cargo de las Isapres
Artículo 15. Definición. El índice de Gasto en Subsidios por Incapacidad Laboral (SIL) de cargo de las Isapres medirá la variación del gasto correspondiente a las licencias médicas por enfermedad o accidente que no entran en la categoría de accidentes del trabajo (cuyo financiamiento no es de cargo de las Isapres) y las licencias médicas por patologías del embarazo, que son licencias pagadas por las Isapres a los cotizantes.
La evolución de este gasto será medida para el conjunto de las Isapres y se presentará deflactado por el IPC.
Artículo 16. Metodología. Para este índice, se calcula el nivel elemental, y luego se agrega a nivel general en el índice de Gasto en SIL de cargo de las Isapres. De esta manera, primero se calcula el gasto per cápita en licencias médicas de cargo de las Isapres (mt). Es decir,
. Donde, Mt es el monto total de gasto en licencias médicas tramitadas o reclamadas durante el mes t, mientras Cot t es el número de cotizantes que tienen derecho a licencias médicas.
Con lo anterior, se construye el índice elemental en el mes t del Subsidio de Incapacidad Laboral IE_SILt:
. El índice general de SIL para el mes t (I_SIL t), corresponde al producto entre el índice elemental en el mes t (IE_SIL t) y el índice general de SIL en el mes anterior (I_SILt_1):
. Donde, se asume que el primer valor mensual para el índice general:
. a) Corrección por IPC
Todos los índices generales mensuales de SIL (I_SIL) son deflactados (se corrige por IPC), donde se divide por con un índice de precios con base igual a 100 en mismo periodo que el primer mes I_SIL y luego se multiplica por 100.
El índice de precios con base igual a 100, se construye a partir de información oficial publicada por el Instituto Nacional de Estadísticas (INE).
b) Cálculo año base (procedimiento aplicado en todos los niveles de agregación)
Se calcula el promedio aritmético de los 12 primeros índices mensuales I_SIL t:
. Con esto se recalculan todos los índices mensuales I_SIL, ajustados por el promedio de los I_SIL para los meses del periodo base del año t-1 (enero a diciembre t-1) (XI_SIL base), de modo tal que el promedio de los doce meses de base sea igual a 100:
. Artículo 17. Variación del Índice de Gasto en SIL de cargo de las Isapres, Se calcula la variación porcentual a doce meses (variación de un mes t con respecto al mismo mes del año anterior (t - 12).
. Donde:
IGSI= índice de Gasto en Subsidios por Incapacidad Laboral
Δ%12m: Variación porcentual en doce meses.
Luego se calcula la variación promedio anual (de doce meses).
Este es insumo final para la construcción de la componente de gasto en licencias médicas (SIL) del ICSA.
Párrafo 5º
Etapa de definición del ICSA
Artículo 18. Como resultado de las etapas previas, elDecreto 10 EXENTO,
SALUD
Art. 1
D.O. 03.02.2024 Indicador de la variación del Costo de la Salud (ICSA) se obtendrá del promedio ponderado de la variación porcentual del costo en prestaciones de salud MLE de las Isapres y la variación porcentual promedio del gasto en SIL en Isapres.
SALUD
Art. 1
D.O. 03.02.2024 Indicador de la variación del Costo de la Salud (ICSA) se obtendrá del promedio ponderado de la variación porcentual del costo en prestaciones de salud MLE de las Isapres y la variación porcentual promedio del gasto en SIL en Isapres.
Los ponderadores se estimarán con base en la representación que tengan el costo en prestaciones y el gasto en SIL sobre el total del costo operacional de las Isapres. Es decir:
. En donde:
. TÍTULO III: DE LAS REVISIONES Y AJUSTES
Artículo 19. Revisiones y ajustes. La presente norma técnica se revisará, al menos, cada tres años.
En la revisión que se efectúe, se podrán incorporar nuevos elementos que sirvan para incentivar la contención de costos del gasto en salud.
Asimismo, se podrán revisar las ponderaciones del ICSA.
Corresponderá a la Superintendencia proponer las revisiones y ajustes que se hagan al ICSA, así como analizar las propuestas que terceros formulen.
Artículo 20. Vigencia. La presente norma técnica comenzará a regir a contar de su publicación en el Diario Oficial.
Anótese y publíquese.- Por orden del Presidente de la República, Enrique Paris Mancilla, Ministro de Salud.- Lucas Palacios Covarrubias, Ministro de Economía, Fomento y Turismo.
Transcribo para su conocimiento decreto exento Nº 20 - 8 de marzo 2021.- Por orden de la Subsecretaria de Salud Pública.- Saluda atentamente a Ud., Jorge Hübner Garretón, Jefe de la División Jurídica, Ministerio de Salud.