SISTEMATIZA Y UNIFICA LOS PROCEDIMIENTOS E INSTRUMENTOS DEL SISTEMA DE ACCESO A LAS INSTITUCIONES DE EDUCACIÓN SUPERIOR, ESTABLECIDOS EN LAS RESOLUCIONES Nº 4.819 DE 2020, Nº 3.465 Y 4.633 DE 2021, Y Nº 201, 569, 1.748, 1.959, 2.445, 2.907, 3.351 Y 4.494 DE 2022, EXENTAS DE LA SUBSECRETARÍA DE EDUCACIÓN SUPERIOR
Núm. 5.250 exenta.- Santiago, 4 de noviembre de 2022.
Visto:
Lo dispuesto en la ley Nº 18.575, Orgánica Constitucional de Bases Generales de la Administración del Estado, cuyo texto refundido, coordinado y sistematizado fue fijado por el decreto con fuerza de ley Nº 1/19.653, de 2000, del Ministerio Secretaría General de la Presidencia; en la ley Nº 19.880, que establece Bases de los Procedimientos Administrativos que rigen los actos de los órganos de la administración del Estado; en la ley Nº 18.956 que reestructura el Ministerio de Educación Pública; en la Ley Nº 21.091, sobre Educación Superior; en el decreto supremo Nº 407, de 2018, del Ministerio de Educación, que reglamenta la constitución y funcionamiento de los comités técnicos de acceso para el subsistema universitario y para el subsistema técnico profesional; en la resolución exenta Nº 4.819, de 2020, que estableció procesos e instrumentos del Sistema de Acceso a las instituciones de educación superior, modificada por las resoluciones exentas Nº 3.465 y 4.633 de 2021, y Nº 201, 569, 1.748, 1.959, 2.445, 2.907, 3.351 y 4.494 de 2022, todas de la Subsecretaría de Educación Superior; en el Memorándum Interno Nº 06/1073, de fecha 7 de septiembre de 2022, del Secretario Técnico del Comité Técnico de Acceso del subsistema universitario; y, en la resolución Nº 7, de 2019, de la Contraloría General de la República; y,
Considerando:
1º. Que, la Subsecretaría de Educación Superior, creada mediante la Ley Nº 21.091, sobre Educación Superior, forma parte de la organización del Ministerio de Educación, en virtud de lo establecido en la letra d) del artículo 3º de la ley Nº 18.956.
2º. Que, la precitada Ley Nº 21.091, en el párrafo 3º de su Título I, regula la creación del Sistema de Acceso a las Instituciones de Educación Superior, en adelante el "Sistema de Acceso", el que establecerá procesos e instrumentos para la postulación y admisión de estudiantes a las instituciones de educación superior adscritas a éste, respecto de carreras o programas de estudios conducentes a títulos técnicos y profesionales o licenciaturas.
3º. Que, de acuerdo con lo dispuesto en el inciso cuarto del artículo 13 de la Ley Nº 21.091, corresponderá a la Subsecretaría de Educación Superior establecer mediante actos administrativos los procedimientos e instrumentos del Sistema de Acceso, aprobados previamente por el comité de acceso respectivo.
4º. Que, mediante resolución exenta Nº 4.819, de 2020, de esta Subsecretaría de Educación Superior, se establecieron procedimientos e instrumentos del Sistema de Acceso a las instituciones de educación superior, previamente aprobados por el comité técnico del subsistema universitario. En el referido acto administrativo, además, se sistematizó y unificó los procedimientos e instrumentos establecidos en actos anteriores. La mencionada resolución exenta Nº 4.819, de 2020, fue modificada por las resoluciones exentas Nº 3.465 y Nº 4.633, de 2021; Nº 201, Nº 569, Nº 1.748, Nº 1.959, Nº 2.445 y Nº 2.907, Nº 3.351 y Nº 4.494, de 2022, todas de esta Subsecretaría, en base a acuerdos adoptados por el mencionado comité técnico del subsistema universitario.
5º Que, mediante el artículo primero de la precitada resolución exenta Nº 4.819, de 2020, se establecieron instrumentos y procesos que con posterioridad fueron incorporados en el artículo segundo del mencionado acto administrativo. Por su parte, el artículo tercero de la misma resolución estableció instrumentos y procesos solo aplicables al proceso de admisión 2021, por lo que han dejado de tener efecto.
6º Que, en virtud de lo expuesto y de lo dispuesto en el inciso cuarto del artículo 13 de la ley Nº 21.091, y del deber de eficiencia impuesto a la administración del Estado en los términos del artículo 5º de la ley Nº 18.575, y sus modificaciones, resulta necesario dictar un acto administrativo que sistematice y unifique orgánicamente todos los procesos e instrumentos vigentes del Sistema de Acceso, anteriormente establecidos mediante resoluciones de esta repartición.
Resuelvo:
Artículo primero: Establécese el siguiente texto sistematizado y unificado de los procedimientos e instrumentos del Sistema de Acceso a las instituciones de educación superior del subsistema universitario, establecidos previamente en la resolución exenta Nº 4.819, de 2020, modificada por las resoluciones exentas Nº 3.465 y Nº 4.633, de 2021; Nº 201, Nº 569, Nº 1.748, Nº 1.959, Nº 2.445 y Nº 2.907, Nº 3.351 y Nº 4.494, de 2022, todas de esta Subsecretaría:
1.- Público Objetivo
El Sistema de Acceso (en delante e indistintamente, "el Sistema") establecerá la admisión a pregrado de alumnos de primer año de las universidades adscritas al mismo. Para estos efectos, los estudiantes que ingresen vía homologación o convalidación de estudios se considerarán de cursos superiores, por lo que los procedimientos e instrumentos utilizados para su postulación y admisión deben ser determinados por cada universidad.
2.- Tipos de Programas
Para efectos del acceso a las universidades, los programas de pregrado impartidos por las universidades que adscriban al Sistema de Acceso se clasificarán según las siguientes distinciones:
a) Distinción por nivel:
- Conducente a título Técnico de Nivel Superior
- Conducente a título Profesional
- Bachillerato, Ciclo Inicial o Plan Común
- Conducente a grado académico de Licenciado
- Conducente a título Profesional con grado académico de Licenciado
b) Distinción por modalidad:
- Presencial
- Semipresencial
- A distancia
c) Distinción por jornada, sólo aplicable a modalidad presencial:
- Diurno
- Vespertino
d) Distinción por tipo:
- Regular: Conjunto de actividades curriculares organizadas en un plan de estudios que conducen a la obtención de un título técnico de nivel superior, título profesional y/o grado académico.
- Regular de Continuidad: Conjunto de actividades curriculares organizadas en un plan de estudios que conducen a la obtención de un título profesional y/o grado académico, para cuyo ingreso se requiere haber cursado y aprobado un programa regular o 1600 horas pedagógicas en una institución de educación superior, o bien contar con un certificado de reconocimiento de aprendizajes previos equivalente. Ejemplos: programas de prosecución de estudios de Pedagogía en Educación Media para profesionales de otras áreas, programa de Licenciatura en Trabajo Social (para egresados de trabajo social que sólo tienen el título profesional).
- Especiales: Conjunto de actividades curriculares organizadas en un plan de estudios que conducen a la obtención de un título técnico de nivel superior, título profesional y/o grado académico, que se encuentran dirigidos a un grupo específico de estudiantes.
3.- Formas de Postulación
Para acceder a los distintos programas de pregrado que son parte de la oferta académica de Educación Superior, los estudiantes deben realizar un proceso de postulación a la institución a la que quieren pertenecer. El Sistema de Acceso distingue dos formas de postulación:
i. Postulación centralizada: es el proceso conducido por la Subsecretaría de Educación Superior para la selección de estudiantes a primer año respecto de un conjunto de carreras y programas de pregrado de universidades adscritas al Sistema de Acceso.
ii. Postulación directa: es el proceso conducido por las universidades, mediante el cual éstas seleccionan directamente a sus estudiantes de primer año.
4.- Procedimientos e Instrumentos
La admisión a primer año de las universidades deberá seguir los procedimientos establecidos para la matrícula de alumnos provenientes de la postulación centralizada o de la postulación directa, según se indicará a continuación.
4.1.- Admisión por Postulación Centralizada
La matrícula de primer año originada en la postulación centralizada se registra por vía de admisión regular, la que debe utilizar todos los instrumentos de acceso de aplicación general descritos en el numeral 4.1.1.1 y, según corresponda, también los instrumentos de acceso específicos del numeral 4.1.1.2. Asimismo, en la vía de admisión regular, se deben cumplir los requisitos que disponga cada universidad para el ingreso a sus programas.
La vía de admisión regular es aplicable a los siguientes programas regulares de pregrado de primer año, impartidos por universidades, en modalidad presencial y jornada diurna:
1) Bachillerato, ciclo inicial o plan común;
2) Conducente a título profesional;
3) Conducente a grado académico de licenciado;
4) Conducente a título profesional con grado académico de licenciado.
Los estudiantes que resulten seleccionados por la vía de admisión regular deben al menos cumplir con los criterios de habilitación determinados por el Sistema de Acceso, que se indican en el numeral 4.1.3.
4.1.1.- Instrumentos de Acceso
Distingue entre instrumentos de acceso de aplicación general e instrumentos de acceso específicos.
4.1.1.1.- Instrumentos de Acceso de aplicación general.
Los siguientes son los instrumentos de acceso de aplicación general, cuya ponderación será requerida para la admisión regular:
1. Puntaje de equivalencia a las Notas de Enseñanza Media:
El puntaje de equivalencia a las Notas de Enseñanza Media o NEM se obtiene promediando las notas finales de cada año escolar en que el postulante haya sido promovido al curso superior y aproximando este resultado al segundo decimal. Luego, este promedio se transforma a un puntaje estándar, en adelante Puntaje NEM, comparable con los de las pruebas de admisión, mediante tablas de conversión que son aprobadas por el Comité de Acceso.
Las Resolución 10886 EXENTA,
EDUCACIÓN
Art. primero N° 1 y 2
D.O. 24.10.2025tablas de conversión diferenciadas por cada modalidad educativa son las siguientes: Científica-Humanista-diurna, Científica-Humanista-vespertina nocturna y Técnico-Profesional. Estas tablas se encuentran disponibles en la Plataforma Electrónica Única del Sistema de Acceso.
EDUCACIÓN
Art. primero N° 1 y 2
D.O. 24.10.2025tablas de conversión diferenciadas por cada modalidad educativa son las siguientes: Científica-Humanista-diurna, Científica-Humanista-vespertina nocturna y Técnico-Profesional. Estas tablas se encuentran disponibles en la Plataforma Electrónica Única del Sistema de Acceso.
En el caso de postulantes que hayan cursado uno o más niveles de la enseñanza media en el extranjero y hayan convalidado estudios en Chile, el Puntaje NEM se calculará exclusivamente con las notas obtenidas en los niveles cursados en territorio nacional, según la información registrada oficialmente en el Ministerio de Educación.
Desde el proceso de admisión 2028 el puntaje NEM de cada postulante tendrá una vigencia de 5 años contados desde el egreso de la educación media. Luego de vencido ese plazo, el puntaje NEM en esos casos será reemplazo por el puntaje Ranking.
2. Puntaje equivalente al Ranking de Notas:
2.1 Resolución 10886 EXENTA,
EDUCACIÓN
Art. primero N° 3 y 4
D.O. 24.10.2025Puntaje Ranking hasta el proceso de admisión 2027:
EDUCACIÓN
Art. primero N° 3 y 4
D.O. 24.10.2025Puntaje Ranking hasta el proceso de admisión 2027:
Hasta el proceso de admisión 2027, el puntaje equivalente al Ranking de Notas, en adelante Puntaje Ranking, considera el rendimiento académico de un estudiante en relación con su contexto educativo. Es un instrumento que busca beneficiar a quienes tienen un comportamiento académico destacado en su contexto. El puntaje de este instrumento es a lo menos igual al Puntaje NEM y utiliza para la conversión de nota a puntaje la misma escala de equivalencia que se requiere para el NEM.
Se entiende como contexto educativo la institución en que está matriculado el estudiante durante cada año de la Enseñanza Media y se identifica mediante el RBD, que corresponde a la certificación que otorga el Estado mediante el cual reconoce a la institución oficialmente.
Para realizar el cálculo y obtener el Puntaje Ranking, en primera instancia se deberá considerar si: a. El postulante cursó toda la Enseñanza Media en el mismo establecimiento educacional; b. El postulante aprobó cursos en distintos establecimientos o; c. El postulante corresponde a un caso especial.
a. Postulantes que hayan cursado la Enseñanza Media en el mismo establecimiento educacional.
Para calcular el Puntaje Ranking es necesario considerar información académica sobre el estudiante y sobre su contexto educativo. La información del estudiante es el Promedio Acumulado de notas, y la información sobre su contexto es el Promedio Histórico y el Promedio Máximo Histórico. El Promedio Acumulado de notas corresponde al promedio de las notas con que un estudiante aprobó cada curso de la enseñanza media. Por su parte, el Promedio Histórico corresponde al promedio de los Promedios Acumulados de tres generaciones anteriores a la fecha de egreso del estudiante. Finalmente, el Promedio Máximo Histórico se obtiene del promedio de los Promedios Acumulados máximos en cada una de las tres generaciones anteriores a la fecha de egreso del estudiante. El Promedio Máximo Histórico se expresa en dos decimales sin aproximación.
De este modo, el cálculo del Puntaje Ranking para los postulantes que hayan cursado la Enseñanza Media en el mismo establecimiento educacional se efectúa considerando las siguientes alternativas:
i. Promedio Acumulado del estudiante ≤
ii. Promedio Histórico Promedio Acumulado ≤
Puntaje Ranking: b m x Promedio Acumulado
La pendiente m de una institución dada se calcula utilizando el Puntaje Ranking máximo (PRmax) que es 1.000 para todas las instituciones, el Puntaje NEM de un estudiante cuyo Promedio Acumulado es igual al Promedio Histórico (PN hist), el Promedio Máximo Histórico (Nhmax) y el Promedio Histórico (N hist). La ecuación 2 representa la fórmula de cálculo:
Por su parte, el intercepto b está determinado por la fórmula de cálculo representada en la ecuación 3:
iii. Promedio Máximo Histórico < Promedio Acumulado: Un estudiante con Promedio Acumulado mayor al Promedio Máximo Histórico de su institución obtendrá 1.000 en Puntaje Ranking. b. Postulantes que hayan aprobado cursos en distintos establecimientos educacionales.
En el caso de un postulante que cursó su Enseñanza Media en distintos establecimientos, la forma de calcular el Puntaje Ranking será distinta, pues se debe considerar la información académica de los distintos contextos educativos en que el estudiante estuvo. El contexto educativo en que cursó una mayor cantidad de cursos tendrá una mayor influencia en el Puntaje Ranking del estudiante. En términos generales, se calcula un Puntaje Ranking por institución y luego se calcula el promedio de estos puntajes considerando la cantidad de cursos que se aprobaron en cada institución. El Puntaje Ranking en cada institución educativa se calcula de la misma manera descrita en el punto anterior, aunque para esto es necesario adecuar el Promedio Acumulado, Promedio Histórico y Promedio Máximo Histórico al caso en que un estudiante curse y apruebe solo algunos cursos de la enseñanza media en un establecimiento educacional.
El Promedio Acumulado es el promedio de las notas con que un estudiante aprobó cursos consecutivos en una institución. Por ejemplo, un estudiante que realizó primero medio en una institución "X1" y segundo, tercero y cuarto medio en otra institución "X 2" tendrá dos Promedios Acumulados. Por otro lado, el Promedio Histórico es el promedio de los Promedios Acumulados de las tres generaciones anteriores al año en que el estudiante aprobó cursos consecutivos. Asimismo, el Promedio Máximo Histórico es el promedio entre los máximos Promedios Acumulados de cada una de las tres generaciones anteriores. Finalmente, la Longitud de Contexto Educativo es la cantidad de cursos consecutivos aprobados por un estudiante en cada contexto educativo.
El Puntaje Ranking de un estudiante, en cada establecimiento que estuvo, se calcula de la misma manera descrita en el caso anterior. Es decir, en cada establecimiento, se compara el Promedio Acumulado del estudiante con el Promedio Histórico y el Promedio Máximo Histórico para determinar la forma de asignar el Puntaje Ranking. Una vez calculados los puntajes ranking de un estudiante en cada uno de los establecimientos en que estuvo, se calcula su Puntaje Ranking. De esta manera, el Puntaje Ranking quedará determinado por la ecuación 3:
c. Postulantes con
casos especiales
casos especiales Existen casos especiales en que los procedimientos descritos en las letras b) y c) precedentes para asignar Puntaje Ranking son modificados en virtud de las situaciones especiales que a continuación se señalan:
i. Si un establecimiento educacional tiene menos de 30 egresados en las últimas tres generaciones, se agrupará con establecimientos similares. Luego de ser agrupados, este conjunto de establecimientos se trata como uno y se aplica el procedimiento descrito en la letra a) precedente de asignación de puntaje. Los criterios utilizados para determinar que dos o más establecimientos son similares, son: región, modalidad educativa y dependencia del establecimiento.
ii. Si algún establecimiento no tiene egresados en una o dos de las tres generaciones anteriores, pero hay más de 30 egresados entre la o las generaciones que sí tuvieron egresados, entonces se aplica el procedimiento descrito en el literal a) de asignación de Puntaje Ranking, considerando únicamente la o las generaciones con egresados.
iii. Si un postulante rindió exámenes libres, su Puntaje Ranking se asignará comparando su desempeño académico con un establecimiento Científico-Humanista vespertino.
iv. Si un postulante cursó parte de la enseñanza media en el extranjero y cuenta con Puntaje NEM, se le asignará su Puntaje NEM como Puntaje Ranking en aquellos cursos aprobados en el extranjero. Este puntaje será asociado a un contexto educativo. Luego su Puntaje Ranking será el promedio ponderado por la cantidad de cursos aprobados en los distintos contextos educativos, como fue descrito anteriormente.
2.Resolución 10886 EXENTA,
EDUCACIÓN
Art. primero N° 5
D.O. 24.10.20252 Puntaje Ranking desde el proceso de admisión 2028:
EDUCACIÓN
Art. primero N° 5
D.O. 24.10.20252 Puntaje Ranking desde el proceso de admisión 2028:
Desde el proceso de admisión 2028, el Puntaje Ranking se calculará a partir del desempeño académico del o la postulante en cada nivel de la enseñanza media, en relación con el contexto educativo específico para dicho nivel. Este contexto educativo se define por el establecimiento y la modalidad de enseñanza en que el o la estudiante cursó el respectivo curso, y se identifica mediante el Rol Base de Datos (RBD) del establecimiento y el código de enseñanza, conforme al reconocimiento oficial del Ministerio de Educación.
El Puntaje Ranking es un instrumento que busca beneficiar a quienes tienen un comportamiento académico destacado en su contexto. Este indicador otorga un puntaje a cada estudiante a partir de su posición relativa, en función de sus notas de enseñanza media, dentro de su contexto educativo, prescindiendo del valor nominal de dichas calificaciones.
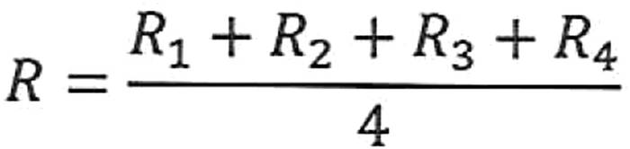
El Puntaje Ranking tendrá la siguiente fórmula de cálculo:
El Puntaje Ranking de una persona se calculará como el promedio simple de los cuatro puntajes obtenidos, uno por cada nivel de enseñanza media: R (Puntaje Ranking de primero medio), 1 R (Puntaje Ranking de segundo medio), 2 R (Puntaje Ranking de tercero medio) y 3 R (Puntaje Ranking de cuarto medio). Es decir, el puntaje Ranking, 4 R, corresponderá a:
Para calcular cada uno de estos cuatro puntajes R y 1, R 2, R 3 R, se determinará la población de referencia para cada persona, a fin de calcular su Puntaje Base, el cual posteriormente será transformado a la escala PAES, según se indica a continuación:4
1) Población de referencia: Se considerará como población de referencia a todos los y las estudiantes que, en el mismo nivel, tipo de enseñanza y establecimiento del estudiante en cuestión, hayan sido promovidos/as durante los tres años anteriores al año en que dicho/a estudiante es promovido/a, excluyendo a su propia generación.
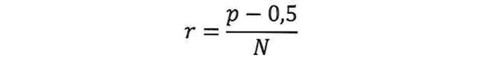
2) Cálculo de Puntaje Base. Para el cálculo del Puntaje Base, r, primero se ordenarán de menor a mayor las notas de promoción de todas las personas de la población de referencia. Luego, se ubicará el lugar correspondiente a la nota de promoción de la persona, en esa lista ordenada. El número correspondiente a ese lugar en la lista se denotará por p. Si esa nota coincidiera con una o más de las notas de la lista, es decir, un empate, el número p corresponderá a la mejor de estas posiciones.
El Puntaje Base, r, es un número entre 0 y 1, que se calcula de acuerdo a la siguiente fórmula
Donde p es la posición que ocupa la persona dentro de su población de referencia de acuerdo a su nota de promoción en ese nivel y N es el número de personas en esta población.
Por ejemplo, si hay 100 personas en esa población, es decir N=100, y la persona a quien se le calcula su puntaje base tiene la mejor nota de promoción dentro de su población de referencia, entonces p=100 y:
Si por el contrario, la persona tiene la peor nota de promoción de su población, entonces p=1 y
De este modo, la persona tendrá un Puntaje Base por cada nivel educativo de enseñanza media: r (Puntaje Base de primero medio), 1 r (Puntaje Base de segundo medio), 2 r (Puntaje Base de tercero medio) y 3 r (Puntaje Base de cuarto medio).4
3) Transformación a puntaje Ranking. Los Puntajes Base r y 1, r 2, r 3 r, deberán ser transformados a la escala de puntajes PAES mediante una función creciente 4 T que corresponde a la función inversa de una distribución normal asimétrica con parámetro de localizació
n = 500, de escala
, = 180, de asimetría
, = 5. El resultado de esta transformación se trunca inferiormente en 458 puntos y superiormente en 1000 puntos. Es decir,
n = 500, de escala
, = 180, de asimetría
, = 5. El resultado de esta transformación se trunca inferiormente en 458 puntos y superiormente en 1000 puntos. Es decir,
No obstante todo lo anterior, existen casos especiales en los que aplican los siguientes procedimientos:
i. En el caso de establecimientos educacionales con baja matrícula:
Cuando un establecimiento educacional cuente con menos de 93 egresados/as en las últimas tres generaciones para un determinado nivel de Enseñanza Media, se procederá a agruparlo con otras unidades educativas similares, a fin de constituir una población de referencia válida para el cálculo del Puntaje Ranking de ese nivel.
Se entenderá por unidades educativas similares aquellas que compartan, al menos, las siguientes características: dependencia administrativa, código de enseñanza y ubicación territorial. Para la definición del ámbito territorial, se aplicará progresivamente el siguiente orden de agrupación: comuna, provincia y región, hasta alcanzar el mínimo requerido de egresados.
La unidad mínima de agrupación corresponderá a establecimientos con igual dependencia, código de enseñanza y comuna.
Una vez conformado el grupo de unidades educativas, este se tratará como una unidad única para efectos del cálculo, y se aplicará íntegramente el procedimiento descrito en el numeral 2) precedente relativo a la asignación de Puntaje Ranking.
ii. En el caso de establecimientos nuevos o cerrados:
Se considerarán todos los establecimientos nuevos sin generaciones anteriores y los establecimientos que se cerraron hace más de tres años. Para cada colegio nuevo o cerrado se obtendrá la información de la población de referencia, agrupando las unidades educativas similares.
Se entenderá por unidades educativas similares aquellas que compartan, al menos, las siguientes características: dependencia administrativa, código de enseñanza y ubicación territorial. Para la definición del ámbito territorial, se aplicará progresivamente el siguiente orden de agrupación: comuna, provincia y región, hasta alcanzar el mínimo requerido de egresados/as.
La unidad mínima de agrupación corresponderá a establecimientos con igual dependencia, código de enseñanza y comuna.
Una vez conformado el grupo de unidades educativas, este se tratará como una unidad única para efectos del cálculo, y se aplicará íntegramente el procedimiento descrito en el numeral 2) precedente relativo a la asignación de Puntaje Ranking.
iii. En el caso de establecimientos con egresos parciales en las tres generaciones anteriores:
Si un establecimiento educacional no registra egresados/as en una o dos de las tres generaciones anteriores, pero acumula un total igual o superior a 93 egresados/as entre las generaciones que sí presentan antecedentes, se aplicará el procedimiento de asignación de Puntaje Ranking señalado en el numeral 2) precedente, considerando únicamente las generaciones disponibles con egresados.
iv. En el caso de postulantes que hayan rendido exámenes libres:
A los y las postulantes que hayan obtenido su Licencia de Enseñanza Media mediante exámenes libres, se les asignará el Puntaje Ranking comparando su desempeño académico con la población de referencia correspondiente a establecimientos de modalidad Científico-Humanista vespertina, aplicando los mismos criterios de agrupación territorial progresiva definidos en el literal i), esto es: comuna, provincia y región, hasta alcanzar el mínimo requerido para conformar la población de referencia.
v. En el caso de postulantes que hayan cursado parte de la Enseñanza Media en el extranjero:
Cuando un/a postulante haya cursado uno o más niveles de Enseñanza Media en el extranjero y cuente con Puntaje NEM validado en Chile, su Puntaje Ranking se calculará únicamente a partir de los niveles cursados y validados en establecimientos nacionales. El Puntaje Ranking final corresponderá al promedio simple de los puntajes obtenidos en los niveles cursados en Chile.
vi. En el caso de postulantes promovidos por decreto 71, artículo 11:
Cuando un/a postulante haya sido aprobado en uno o más niveles de Enseñanza Media mediante el decreto 71, artículo 11, se le asignará en esos niveles un Puntaje Ranking de 458 puntos.
vii. En el caso de postulantes que hayan cursado toda la Enseñanza Media en el extranjero:
Cuando un/a postulante realizó íntegramente sus estudios de Enseñanza Media en el extranjero, no se le calculará Puntaje Ranking. En este caso, la ponderación correspondiente se redistribuirá entre los demás factores de selección.
viii. En el caso de postulantes que hayan egresado antes del año 2008:
Cuando un/a postulante haya egresado de Enseñanza Media antes del año 2008 no se les calculará Puntaje Ranking. En consecuencia, la ponderación asignada a este factor se redistribuirá en las pruebas de acceso a la educación superior.
3. Pruebas de admisión universitaria de Matemáticas:
Destinada a medir los coResolución 2217 EXENTA,
EDUCACIÓN
Art. primero 1)
D.O. 19.04.2023nocimientos y competencias necesarias para un adecuado desempeño académico, se compone por las pruebas de Competencia Matemática 1 y de Competencia Matemática 2:
EDUCACIÓN
Art. primero 1)
D.O. 19.04.2023nocimientos y competencias necesarias para un adecuado desempeño académico, se compone por las pruebas de Competencia Matemática 1 y de Competencia Matemática 2:
3.1) Prueba de Competencia Matemática 1:
Es de carácter obligatorio para la postulación establecida en este capítulo.
3.2) Prueba de Competencia Matemática 2:
Es utilizada comoResolución 2217 EXENTA,
EDUCACIÓN
Art. primero 2)
D.O. 19.04.2023 un requisito obligatorio para la postulación centralizada de los programas de estudios correspondientes a las carreras genéricas determinadas por el Comité Técnico de Acceso del Subsistema Universitario y además de otras carreras según lo determine cada universidad adscrita al Sistema de Acceso e informe a la Subsecretaría de Educación Superior dentro de los plazos establecidos por ésta última.
EDUCACIÓN
Art. primero 2)
D.O. 19.04.2023 un requisito obligatorio para la postulación centralizada de los programas de estudios correspondientes a las carreras genéricas determinadas por el Comité Técnico de Acceso del Subsistema Universitario y además de otras carreras según lo determine cada universidad adscrita al Sistema de Acceso e informe a la Subsecretaría de Educación Superior dentro de los plazos establecidos por ésta última.
4. Prueba de admisión universitaria de Competencia Lectora:
Destinada a medir los conocimientos y competencias necesarias para un adecuado desempeño académico, es también una prueba de carácter obligatorio.
5. Pruebas de admisión universitaria electivas:
Existen las siguientes pruebas de admisión universitaria electivas: Prueba de Historia y Ciencias Sociales y la Prueba de Ciencias. Para efectos de la postulación y admisión establecidas en este ítem, sólo se utilizará el puntaje de una de estas dos pruebas. La Prueba electiva de Ciencias tendrá las siguientes versiones:
i. Prueba Electiva de Ciencias módulo Biología, Física o Química, para los postulantes provenientes de establecimientos educacionales Científico-Humanista; y,
ii. Prueba ElectivResolución 2217 EXENTA,
EDUCACIÓN
Art. primero 3)
D.O. 19.04.2023a de Ciencias módulo Técnico Profesional, con preguntas de las tres asignaturas del área científica (Biología, Física y Química) del currículo de Formación General de séptimo básico a segundo medio, para los postulantes provenientes de establecimientos educacionales de la rama Técnico-Profesional.
EDUCACIÓN
Art. primero 3)
D.O. 19.04.2023a de Ciencias módulo Técnico Profesional, con preguntas de las tres asignaturas del área científica (Biología, Física y Química) del currículo de Formación General de séptimo básico a segundo medio, para los postulantes provenientes de establecimientos educacionales de la rama Técnico-Profesional.
Ambas pruebas están compuestas por preguntas de los tres ejes de Ciencias (Biología, Física y Química), las cuales se distribuyen en un módulo común, el que contiene preguntas de cada uno de los ejes señalados, y un módulo electivo con preguntas específicas del módulo seleccionado por el postulante al momento de la inscripción.
Los postulantes que hayan egresado de la rama Técnico Profesional podrán elegir entre la Prueba de Ciencias módulo Técnico Profesional, o la prueba de Ciencias módulo Biología, Física o Química, mientras que los postulantes que hayan egresado de la modalidad Científico-Humanista solo podrán rendir la prueba de Ciencias módulo Biología, Física o Química.
Las instResolución 2217 EXENTA,
EDUCACIÓN
Art. primero 4)
D.O. 19.04.2023ituciones podrán desarrollar instrumentos de acceso específicos para complementar los anteriores, según se indica en el numeral 4.1.1.2, debiendo presentarlos al Comité para su autorización.
EDUCACIÓN
Art. primero 4)
D.O. 19.04.2023ituciones podrán desarrollar instrumentos de acceso específicos para complementar los anteriores, según se indica en el numeral 4.1.1.2, debiendo presentarlos al Comité para su autorización.
Los instrumentos dResolución 2217 EXENTA,
EDUCACIÓN
Art. primero 5)
D.O. 19.04.2023e acceso de aplicación general, así como los instrumentos de acceso específicos, tienen puntales que van, aproximadamente, desde los 100 a 1.000 puntos.
EDUCACIÓN
Art. primero 5)
D.O. 19.04.2023e acceso de aplicación general, así como los instrumentos de acceso específicos, tienen puntales que van, aproximadamente, desde los 100 a 1.000 puntos.
Etapa de inscripción a la prueba de admisión
La etapa de inscripción consiste en la declaración voluntaria, individual e intransferible de las personas interesadas en rendir las pruebas de admisión universitaria, efectuada en la Plataforma Electrónica Única del Sistema de Acceso, dentro de los plazos establecidos en el calendario oficial, indicando la o las pruebas de admisión universitaria que desee rendir y la sede de rendición que considere más apropiada. No se admitirán inscripciResolución 1394 EXENTA,
EDUCACIÓN
Art. primero N° 1)
D.O. 09.02.2024ones fuera de los plazos informados en la Plataforma Electrónica única por el Ministerio de Educación.
EDUCACIÓN
Art. primero N° 1)
D.O. 09.02.2024ones fuera de los plazos informados en la Plataforma Electrónica única por el Ministerio de Educación.
Sin perjuicio de lo anterior, al término del plazo de inscripción ordinaria, o extraordinaria si lo hubiera, y ante la imposibilidad de concretar la inscripción dentro de los plazos establecidos, los postulantes podrán presentar una apelación de inscripción, en los plazos y forma que la/s entidad/es responsable/s de la ejecución del proceso de selección determine/n, toda vez que se verifique el intento de gestión de esta y siempre que se refiera a circunstancias no imputables al postulante.
Pueden inscribirse quienes hayan egresado de la Enseñanza Media o se encuentren cursando actualmente el último año de ésta, incluidos los extranjeros que para dicho efecto hayan reconocido dicha calidad en nuestro país. Sin perjuicio de lo anterior, para la aplicación de invierno, podrán inscribirse solo quienes, a la fecha de inscripción, hayan egresado de la Enseñanza Media.
La Subsecretaría de Educación Superior podrá permitir la inscripción de personas con antecedentes académicos incompletos, para lo cual la Subsecretaría establecerá un plazo para que el solicitante regularice los antecedentes faltantes. Dicho plazo deberá ser comunicado con anticipación a la institución encargada de la ejecución de las acciones del Sistema de Acceso.
Será responsabilidad del postulante regularizar dichos antecedentes académicos dentro de los plazos establecidos, en tanto la ausencia de estos impedirá a la institución encargada de la ejecución de las acciones del Sistema de Acceso realizar el cálculo de puntaje NEM y Ranking, así como también, el Ministerio de Educación no podrá calcular la ubicación de egreso del postulante, factores de selección necesarios para efectos del cálculo del puntaje ponderado de cada postulante para las carreras de su preferencia, según lo establecido en el numeral 4.1.6.
Aquellos postulantes que hayanResolución 598 EXENTA,
EDUCACIÓN
Art. tercero
D.O. 18.02.2025 experimentado un cambio de nombres, apellidos, RUN, sexo en virtud de una sentencia judicial o rectificación de partida de nacimiento en el Registro Civil, y que, en el sistema de la institución encargada de la ejecución de las acciones del Sistema de Acceso, aparezcan con sus antiguos nombres, apellidos, RUN o sexo, deberán solicitar al Ministerio de Educación la rectificación de dichos antecedentes personales en sus certificados oficiales. Considerando lo anterior, la Subsecretaría de Educación Superior establecerá un calendario dentro del cual se determinen los plazos para que la institución encargada de la ejecución de las acciones del Sistema de Acceso gestione las modificaciones informadas de datos personales de los postulantes, con el objeto que se vean reflejadas en las distintas etapas del proceso. Dicho calendario y procedimiento será informado en la Plataforma Electrónica Única.
EDUCACIÓN
Art. tercero
D.O. 18.02.2025 experimentado un cambio de nombres, apellidos, RUN, sexo en virtud de una sentencia judicial o rectificación de partida de nacimiento en el Registro Civil, y que, en el sistema de la institución encargada de la ejecución de las acciones del Sistema de Acceso, aparezcan con sus antiguos nombres, apellidos, RUN o sexo, deberán solicitar al Ministerio de Educación la rectificación de dichos antecedentes personales en sus certificados oficiales. Considerando lo anterior, la Subsecretaría de Educación Superior establecerá un calendario dentro del cual se determinen los plazos para que la institución encargada de la ejecución de las acciones del Sistema de Acceso gestione las modificaciones informadas de datos personales de los postulantes, con el objeto que se vean reflejadas en las distintas etapas del proceso. Dicho calendario y procedimiento será informado en la Plataforma Electrónica Única.
Documentos válidos para realizar la inscripción: Los documentos de identificación válidos para realizar la inscripción son la cédula nacional chilena de identidad, el pasaporte y el Identificador Provisional Escolar (IPE). Sin perjuicio de lo anterior, previa evaluación de la situación, la Subsecretaría de Educación Superior y la institución encargada de la ejecución de las acciones del Sistema de Acceso podrán definir documentos y/o procedimientos de identificación alternativos, los cuales deberán ser informados en la o las plataformas digitales correspondientes. En caso de haberse inscrito con IPE, los postulantes deberán regularizar su situación, a fin de contar para la rendición de la o las pruebas, con cédula nacional de idResolución 1394 EXENTA,
EDUCACIÓN
Art. primero N° 2)
D.O. 09.02.2024entidad chilena, pasaporte o Documento Nacional de Identidad (DNI), según las fechas establecidas en el calendario oficial del proceso. Para el caso de los postulantes que informen al Ministerio de Educación la obtención de cédula nacional de identidad chilena, la Subsecretaría de Educación Superior establecerá un calendario para determinar los plazos en los cuales la institución encargada de la ejecución de las acciones del Sistema de Acceso deberá gestionar dichas modificaciones para que se vean reflejadas en las distintas etapas del proceso. Dicho calendario y procedimiento será informado en la Plataforma Electrónica Única.
EDUCACIÓN
Art. primero N° 2)
D.O. 09.02.2024entidad chilena, pasaporte o Documento Nacional de Identidad (DNI), según las fechas establecidas en el calendario oficial del proceso. Para el caso de los postulantes que informen al Ministerio de Educación la obtención de cédula nacional de identidad chilena, la Subsecretaría de Educación Superior establecerá un calendario para determinar los plazos en los cuales la institución encargada de la ejecución de las acciones del Sistema de Acceso deberá gestionar dichas modificaciones para que se vean reflejadas en las distintas etapas del proceso. Dicho calendario y procedimiento será informado en la Plataforma Electrónica Única.
Los postulantes que requiResolución 1394 EXENTA,
EDUCACIÓN
Art. primero N° 3)
D.O. 09.02.2024eran inscribirse con IPE, deberán adjuntar su pasaporte o DNI escaneado al momento de la inscripción en la plataforma web, según los plazos establecidos en el calendario oficial del proceso. El DNI válido para rendir será el correspondiente a los países que no requieren pasaporte para ingresar al territorio chileno.
EDUCACIÓN
Art. primero N° 3)
D.O. 09.02.2024eran inscribirse con IPE, deberán adjuntar su pasaporte o DNI escaneado al momento de la inscripción en la plataforma web, según los plazos establecidos en el calendario oficial del proceso. El DNI válido para rendir será el correspondiente a los países que no requieren pasaporte para ingresar al territorio chileno.
Tarjeta de identificación: Todo postulante debe constatar que la información ingresada en el sistema de inscripción por internet corresponda con sus datos efectivos y, después de pagar el arancel de rendición e imprimir el comprobante de pago a través de alguna de las formas autorizadas, deberá imprimir su tarjeta de identificación, siguiendo los pasos indicados. La tarjeta será exigida junto con el documento de identificación (Cédula Nacional de IdentResolución 1394 EXENTA,
EDUCACIÓN
Art. primero N° 4)
D.O. 09.02.2024idad chilena, Pasaporte o DNI) al momento de rendir la prueba de admisión universitaria.
EDUCACIÓN
Art. primero N° 4)
D.O. 09.02.2024idad chilena, Pasaporte o DNI) al momento de rendir la prueba de admisión universitaria.
En el evento que el postulResolución 1394 EXENTA,
EDUCACIÓN
Art. primero N° 5)
D.O. 09.02.2024ante necesite realizar un cambio de la sede de rendición, incluso después de la impresión de la tarjeta de identificación, podrá ingresar al sistema y realizar la modificación correspondiente, mientras el proceso de inscripción se encuentre abierto. En aquellos casos en que la aplicación de la o las pruebas no pudiera llevarse a cabo total o parcialmente en la sede seleccionada y/o no fuera posible su asignación en esta, se le designará un local en una sede cercana que cuente con los estándares necesarios para la rendición de las pruebas.
EDUCACIÓN
Art. primero N° 5)
D.O. 09.02.2024ante necesite realizar un cambio de la sede de rendición, incluso después de la impresión de la tarjeta de identificación, podrá ingresar al sistema y realizar la modificación correspondiente, mientras el proceso de inscripción se encuentre abierto. En aquellos casos en que la aplicación de la o las pruebas no pudiera llevarse a cabo total o parcialmente en la sede seleccionada y/o no fuera posible su asignación en esta, se le designará un local en una sede cercana que cuente con los estándares necesarios para la rendición de las pruebas.
Respecto a modificaciones relacionadas a las pruebas obligatorias, electivas y/o módulos, el postulante podrá agregar pruebas adicionales a las previamente seleccionadas hasta el cierre del respectivo proceso de inscripción y pagando el arancel correspondiente. Asimismo, podráResolución 2217 EXENTA,
EDUCACIÓN
Art. primero 6)
D.O. 19.04.2023 cambiar las pruebas y/o módulos seleccionados hasta el cierre del respectivo proceso de inscripción.
EDUCACIÓN
Art. primero 6)
D.O. 19.04.2023 cambiar las pruebas y/o módulos seleccionados hasta el cierre del respectivo proceso de inscripción.
Realizadas las modificaciones correspondientes, el postulante deberá imprimir una nueva tarjeta de identificación, considerando que el sistema registra todas las modificaciones ingresadas por los postulantes, razón por la cual, una vez efectuado un cambio, la tarjeta de identificación anterior pierde toda validez.
En caso de presentarse cualquier discrepancia el día de rendición de las pruebas entre la tarjeta de identificación exhibida por el postulante y las nóminas oficiales, se calificará como válida la información consignada en las nóminas oficiales, toda vez que éstas son una copia fiel de la información registrada en el sistema al momento del cierre de archivos.
Es deber de cada postulantResolución 1394 EXENTA,
EDUCACIÓN
Art. primero N° 6)
D.O. 09.02.2024e revisar antes de la fecha de cierre de la etapa de inscripción, informada en el calendario oficial del proceso de admisión, su conformidad con la información que ingresó al sistema.
EDUCACIÓN
Art. primero N° 6)
D.O. 09.02.2024e revisar antes de la fecha de cierre de la etapa de inscripción, informada en el calendario oficial del proceso de admisión, su conformidad con la información que ingresó al sistema.
El cierre de la etapa de iResolución 1394 EXENTA,
EDUCACIÓN
Art. primero N° 7)
D.O. 09.02.2024nscripción se efectuará en la fecha establecida en el calendario oficial. Esto significa que no será posible realizar cambios a la inscripción, ni a la información declarada en su proceso, de sedes de rendición, de datos socioeconómicos, de uso de nombre social o declarar una situación de discapacidad con posterioridad a la fecha indicada anteriormente.
EDUCACIÓN
Art. primero N° 7)
D.O. 09.02.2024nscripción se efectuará en la fecha establecida en el calendario oficial. Esto significa que no será posible realizar cambios a la inscripción, ni a la información declarada en su proceso, de sedes de rendición, de datos socioeconómicos, de uso de nombre social o declarar una situación de discapacidad con posterioridad a la fecha indicada anteriormente.
Aceptación de las condiciones generales del proceso de admisión universitaria, en la etapa de inscripción: La inscripción se inicia con la aceptación, por parte de los postulantes, de las condiciones generales, de los derechos y deberes del postulante y de las condiciones de participación, todos del proceso de admisión, los que se entienden conocidos y aceptados al momento de cursar su inscripción, sin perjuicio de los demás deberes y derechos, instrumentos, procesos y requisitos establecidos en el presente documento y sus modificaciones. En ese contexto, la participación del postulante en cada una de las etapas del proceso de admisión es de su exclusiva responsabilidad y no de terceros.
Las condiciones geResolución 2217 EXENTA,
EDUCACIÓN
Art. primero 7)
D.O. 19.04.2023nerales contemplan la declaración de conocimiento y aceptación de:
EDUCACIÓN
Art. primero 7)
D.O. 19.04.2023nerales contemplan la declaración de conocimiento y aceptación de:
a. Las normas y plazos que rigen el proceso de admisión, incluyendo lo dispuesto en las leyes, acuerdos del Comité Técnico de Acceso para el subsistema universitario y actos administrativos en los que se establezcan los procedimientos e instrumentos del subsistema universitario.
b. Derechos y deberes del postulante, señalados en la presente resolución.
c. Las únicas fuentes válidas de información respecto de las diferentes etapas del proceso y sus requisitos, las constituyen la Subsecretaría de Educación Superior del Ministerio de Educación y la o las instituciones encomendadas para la ejecución de las acciones del Sistema de Acceso, en virtud de lo dispuesto en el inciso final del artículo 13 de la ley 21.091, por medio de sus respectivas páginas web, siendo responsabilidad del postulante informarse a través de ellas.
d. Para la aplicación regular, podrán inscribirse tanto los estudiantes de la promoción del año como aquellos de promociones anteriores, incluidas personas extranjeras que para dicho efecto hayan reconocido estudios de enseñanza media en Chile y que cuenten con un Identificador Provisorio Escolar (IPE). En caso de haberse inscrito con IPE, los postulantes deberán regularizar su situación, a fin de contar, al momento de la rendición de la o las pruebas, con cédula nacional de identidad o pasaporte, según las fechas establecidas en el calendario oficial del proceso.
e. Para la aplicación de invierno, podrán inscribirse aquellas personas que tengan Licencia de Enseñanza Media y/o Certificado Anual de Estudios del curso de egreso (cuarto año medio, segundo nivel medio adultos, tercer nivel medio adultos enseñanza técnico profesional) o Reconocimiento y Convalidación de Estudios realizados en el extranjero disponibles en línea en la plataforma de Ayuda Mineduc. En caso de no cumplir con esta condición, deberán seguir los procedimientos informados por la Subsecretaría de Educación Superior y/o la o las instituciones encomendadas para la ejecución de las acciones del Sistema de Acceso oportunamente por medio de sus respectivas páginas web, siendo responsabilidad del postulante informarse a través de ellas. En relación a esto, aplica lo establecido en la letra d) respecto a personas extranjeras que se inscriban con IPE.
f. Una vez pagado el arancel de rendición de la o las pruebas de admisión universitaria inscritas, no procede devolución alguna del mismo. Sin perjuicio de lo anterior, se realizará, en los casos que corresponda, las devoluciones de arancel cuyo motivo se vincule a la asignación del beneficio de eximición del pago de la inscripción.
g. Mediante el acto de inscripción, eResolución 598 EXENTA,
EDUCACIÓN
Art. primero
D.O. 18.02.2025l postulante declara conocimiento y aceptación que, conforme a lo previsto en el artículo 20 de la ley Nº 19.628, sobre Protección de la Vida Privada, o la norma que la reemplace:
EDUCACIÓN
Art. primero
D.O. 18.02.2025l postulante declara conocimiento y aceptación que, conforme a lo previsto en el artículo 20 de la ley Nº 19.628, sobre Protección de la Vida Privada, o la norma que la reemplace:
1) Respecto a los datos personales de los postulantes, datos socioeconómicos, direcciones, datos de contacto, antecedentes educacionales, los puntajes que obtengan al rendir la prueba de admisión universitaria, puntaje NEM, puntaje ranking, puntajes máximos vigentes que se utilizan para postular a las universidades, los estados de selección de sus postulaciones y matrícula, entre otros, la Subsecretaría de Educación Superior hará uso de ellos para aquellas materias que sean objeto de su competencia.
2) Tanto la Subsecretaría como la institución encomendada para ejecutar las acciones del Sistema de Acceso, utilizarán los datos referidos en el número anterior para las acciones del proceso de admisión, el beneficio de eximición a la inscripción de la prueba de admisión universitaria, estudios estadísticos y otros análisis. Asimismo, la institución encomendada para ejecutar las acciones del Sistema de Acceso transferirá dichos datos a las universidades que los estudiantes postulan, para efectos de la gestión de matrícula y corrimiento de listas de espera.
3) Los postulantes, al momento de la inscripción, podrán autorizar voluntariamente, a través de un consentimiento informado, que algunos de los mencionados datos, según las finalidades descritas en dichos consentimientos, sean transferidos a las universidades adscritas al Sistema de Acceso o aquellos que hayan suscrito convenios con la Subsecretaría de Educación Superior, en el marco de la mencionada ley Nº 19.628.
h. Las pruebas de admisión universitaria se encuentran protegidas por derechos de propiedad intelectual, estando expresamente prohibida su reproducción total o parcial, a través de cualquier medio, por el postulante o por terceros.
i. Tanto el folleto como la hoja de respuestas deben devolverse íntegramente al momento de concluir la rendición de cada prueba.
j. Para la rendición de las pruebas, cada postulante inscrito debe concurrir, en el día y lugar designado por la/s institución/es encomendada/s a la ejecución de las acciones del Sistema de Acceso, y rendirlas de forma individual y personal, sin dar, pedir o recibir ayuda durante el desarrollo de las pruebas. Sin perjuicio de lo anterResolución 1394 EXENTA,
EDUCACIÓN
Art. primero N° 8)
D.O. 09.02.2024ior, las personas en situación de discapacidad o que presenten alguna necesidad educativa especial podrán recibir los ajustes adecuados y apoyos necesarios que se requieran para resguardar la igualdad de oportunidades en la rendición de las pruebas, de acuerdo con el procedimiento establecido por la institución encomendada para la ejecución de las acciones del Sistema de Acceso.
EDUCACIÓN
Art. primero N° 8)
D.O. 09.02.2024ior, las personas en situación de discapacidad o que presenten alguna necesidad educativa especial podrán recibir los ajustes adecuados y apoyos necesarios que se requieran para resguardar la igualdad de oportunidades en la rendición de las pruebas, de acuerdo con el procedimiento establecido por la institución encomendada para la ejecución de las acciones del Sistema de Acceso.
k. En caso de existir cualquier discrepancia entre la información contenida en la tarjeta de identificación y los listados oficiales de aplicación informados por la institución encargada de la ejecución de las acciones del Sistema de Acceso, priman estos últimos, toda vez que reflejan conResolución 1394 EXENTA,
EDUCACIÓN
Art. primero N° 9)
D.O. 09.02.2024 fidelidad la información contenida en el sistema al momento del cierre de la etapa de inscripción. Es responsabilidad exclusiva de cada postulante revisar, antes de la fecha de cierre de la etapa de inscripción, que no exista ningún error u omisión en los datos y preferencias que ingresó al sistema.
EDUCACIÓN
Art. primero N° 9)
D.O. 09.02.2024 fidelidad la información contenida en el sistema al momento del cierre de la etapa de inscripción. Es responsabilidad exclusiva de cada postulante revisar, antes de la fecha de cierre de la etapa de inscripción, que no exista ningún error u omisión en los datos y preferencias que ingresó al sistema.
l. Las únicas respuestas válidas para los efectos del cálculo de puntajes son las consignadas en la hoja de respuestas correspondiente.
m. La única información válida para eResolución 598 EXENTA,
EDUCACIÓN
Art. primero
D.O. 18.02.2025fectos del puntaje obtenido en las pruebas de admisión universitaria, es la contenida en la base de datos de la institución encargada de la ejecución de las acciones del Sistema de Acceso, entregada a cada una de las universidades adscritas al Sistema de Acceso de acuerdo a los resultados de selección o según la autorización expresa entregada por los postulantes, además de la información contenida en los portales de resultados, según los procesos de validación y verificación de dicha información establecidos por la institución encargada de la ejecución de las acciones del Sistema de Acceso, careciendo de toda validez legal las impresiones o capturas de pantalla que los postulantes puedan realizar de sus puntajes que no pueda ser validada de acuerdo a lo señalado.
EDUCACIÓN
Art. primero
D.O. 18.02.2025fectos del puntaje obtenido en las pruebas de admisión universitaria, es la contenida en la base de datos de la institución encargada de la ejecución de las acciones del Sistema de Acceso, entregada a cada una de las universidades adscritas al Sistema de Acceso de acuerdo a los resultados de selección o según la autorización expresa entregada por los postulantes, además de la información contenida en los portales de resultados, según los procesos de validación y verificación de dicha información establecidos por la institución encargada de la ejecución de las acciones del Sistema de Acceso, careciendo de toda validez legal las impresiones o capturas de pantalla que los postulantes puedan realizar de sus puntajes que no pueda ser validada de acuerdo a lo señalado.
n. Para los requerimientos, inquietudes y dudas respecto de los antecedentes académicos de enseñanza media, el órgano oficial que entrega información académica, para los postulantes de la promoción del año, promociones anteriores, alumnos con exámenes libres y extranjeros, será el Ministerio de Educación, siguiendo los procedimientos que se establezcan para estos efectos. Por otro lado, los requerimientos con relación a aspectos generales del proceso de admisión tales como el proceso de inscripción a las pruebas, su aplicación y resultados, la postulación y selección, deberán ser resueltos por la institución/es encomendada/s para ejecutar las acciones del Sistema de Acceso. No corresponderá a la institución/es encomendada/s resolver temas relacionados con datos académicos del postulante, como tampoco los relacionados a beneficios estudiantiles estatales tales como gratuidad, becas y créditos que deberán ser consultados directamente al Ministerio de Educación.
Los Derechos y Deberes de los postulantes son los siguientes:
Derechos:
Resolución 2217 EXENTA,
EDUCACIÓN
Art. primero 8)
D.O. 19.04.2023 a. Inscribirse dentro de los plazos establecidos para cada proceso de aplicación, siempre que cumplan con los requisitos definidos para dichos procesos, y tener acceso a toda la información y documentación oficial que facilite su participación en el proceso de admisión.
EDUCACIÓN
Art. primero 8)
D.O. 19.04.2023 a. Inscribirse dentro de los plazos establecidos para cada proceso de aplicación, siempre que cumplan con los requisitos definidos para dichos procesos, y tener acceso a toda la información y documentación oficial que facilite su participación en el proceso de admisión.
b. Elegir, al momento de la inscripción, la sede de rendición que se considere más apropiada para rendir la o las pruebas, la que se considerará como referencia para la asignación de un local de aplicación.
c. Modificar la sede de rendición hasta el cierre del respectivo proceso de inscripción, según lo informado en el calendario oficial.
d. Elegir, al momento de la inscripción, la o las pruebas electivas que desee rendir. Se podrán inscribir dos pruebas electivas si así lo estima conveniente.
e. Agregar pruebas adicionales a las inscritas previamente, realizando el pago del arancel correspondiente, o bien, cambiar las pruebas y/o módulos seleccionados hasta el cierre del respectivo proceso de inscripción. No podrán agregarse pruebas que no se hayan inscrito y pagado en las fechas correspondientes, de acuerdo a lo anteriormente señalado.
f. Las personas en situacióResolución 1394 EXENTA,
EDUCACIÓN
Art. primero N° 11)
D.O. 09.02.2024n de discapacidad o que presenten necesidades educativas especiales tendrán derecho a solicitar, dentro de los plazos definidos para ello, que se les proporcionen los ajustes adecuados y apoyos necesarios que se requieran para resguardar la igualdad de oportunidades en la rendición de las pruebas, de acuerdo con el procedimiento establecido por la institución encomendada para la ejecución de las acciones del Sistema de Acceso.
EDUCACIÓN
Art. primero N° 11)
D.O. 09.02.2024n de discapacidad o que presenten necesidades educativas especiales tendrán derecho a solicitar, dentro de los plazos definidos para ello, que se les proporcionen los ajustes adecuados y apoyos necesarios que se requieran para resguardar la igualdad de oportunidades en la rendición de las pruebas, de acuerdo con el procedimiento establecido por la institución encomendada para la ejecución de las acciones del Sistema de Acceso.
g. Las personas que utilizan, en razón de su identidad de género, un nombre social distinto al nombre legal o registral, tendrán derecho a solicitar el uso de dicho nombre social para la rendición de las pruebas, de acuerdo con el procedimiento establecido por la institución encomendada para la ejecución de las acciones del Sistema de Acceso.
h. Plantear, durante o al término de cada prueba, al examinador jefe de la sala, cualquier duda u objeción con respecto a las preguntas contenidas en estas. La objeción se formulará con plena identificación de la persona, local, sala, prueba y pregunta, y deberá quedar registrada en el acta y/o formulario correspondiente.
i. Pedir al examinador jefe de sala, cambio de folleto por otro oficial de la misma forma, en caso de que éste presente fallas evidentes en su impresión, diagramación o edición.
j. Señalar en el formulario correspondiente, al término de cada prueba, ante el jefe de local, toda queja acerca de la administración del sistema, en especial en la etapa de aplicación de pruebas, siempre que ella le perjudique personalmente. La queja se presentará por escrito con plena identificación del reclamante y con la explicación y fundamentación de los hechos que la motivan.
k. Solicitar, en caso de que corresponda, dentro del plazo establecido en el Calendario Oficial y a través de los medios correspondientes, la verificación de los resultados obtenidos en las pruebas y/o en la selección, si alguno de ellos le merece alguna duda razonable, siguiendo los procedimientos que la institución encomendada para la ejecución de las acciones del Sistema de Acceso defina para estos efectos.
l. Postular, dentro de los plazos establecidos, a las carreras de las universidades adscritas al Sistema de Acceso, con la mejor combinación de puntajes obtenidos en cada una de las pruebas de admisión vigentes que hayan rendido.
m. Formar parte de las "Listas de Convocados" o "Listas de Espera" de las carreras postuladas, de acuerdo con el puntaje ponderado debidamente calculado y siempre que se haya cumplido con todas las exigencias de estas.
n. Matricularse dentro de los plazos públicamente establecidos. La ausencia del postulante seleccionado significa, para todos los efectos legales, que éste renuncia a la vacante obtenida, sin derecho a reclamo posterior.
o. Solicitar la información adicional que necesite, a nivel de Ayuda Mineduc u organismos similares de la institución encomendada para la ejecución de las acciones del Sistema de Acceso.
p. Los demás derechos que les confieren a los postulantes la ley o reglamentos vigentes y el presente documento.
Deberes:
Resolución 2217 EXENTA,
EDUCACIÓN
Art. primero 9)
D.O. 19.04.2023 a. Acatar las normas e instrucciones generales que regulan el proceso de admisión y las disposiciones específicas de cada universidad, todo lo cual se informa oportunamente mediante los documentos oficiales públicos y a través de las instrucciones que se den a conocer al momento de rendir las pruebas.
EDUCACIÓN
Art. primero 9)
D.O. 19.04.2023 a. Acatar las normas e instrucciones generales que regulan el proceso de admisión y las disposiciones específicas de cada universidad, todo lo cual se informa oportunamente mediante los documentos oficiales públicos y a través de las instrucciones que se den a conocer al momento de rendir las pruebas.
b. Entregar, dentro de los plazos establecidos, los datos o documentos fidedignos que respaldan la información requerida para el normal desarrollo del proceso de admisión.
c. Verificar que los antecedentes académicos disponibles en el portal estén correctos al momento de realizar la inscripción. Será responsabilidad del postulante solicitar al Ministerio de Educación, a través de Ayuda Mineduc, en los plazos establecidos y publicados en la Plataforma Electrónica Única del Sistema de Acceso, la regularización de dichos antecedentes, en caso de ser necesario.
d. Informarse de las comunicaciones oficiales enviadas por parte de la Subsecretaría de Educación Superior y/o por la/s institución/es encomendada/s para ejecutar las acciones del Sistema de Acceso al correo electrónico informado por los postulantes al momento de la inscripción de la rendición correspondiente.
e. Deberes de inscripción:
e.1. Informarse sobre los lineamientos a seguir definidos para los procesos de inscripción de la aplicación de invierno y regular, los que serán oportunamente informados a través de la Plataforma Electrónica Única del Sistema de Acceso.
e.2. Informarse sobre los requisitos definidos por las instituciones adscritas al Sistema de Acceso, para el proceso de selección de sus programas en el marco del proceso de admisión correspondiente.
e.3. Inscribir todas las pruebas de admisión universitaria obligatorias y al menos una prueba electiva cuando el postulante pertenezca a la promoción del año. Sin perjuicio de lo anterResolución 1394 EXENTA,
EDUCACIÓN
Art. primero N° 12)
D.O. 09.02.2024ior, quienes sean egresados de educación media de años anteriores, podrán inscribir una o más pruebas, según estimen conveniente.
EDUCACIÓN
Art. primero N° 12)
D.O. 09.02.2024ior, quienes sean egresados de educación media de años anteriores, podrán inscribir una o más pruebas, según estimen conveniente.
e.4. Pagar el arancel para la rendición de la o las pruebas, en caso de que corresponda. Aquellos postulantes que para alguna de las aplicaciones de la prueba de admisión hayan pagado el arancel o se encuentren eximidos de este, y que no puedan rendir la o las pruebas por alguno de los motivos que se indicarán, podrán rendir la o las mismas pruebas inscritas y no rendidas, en la instancia de aplicación inmediatamente siguiente. El postulante que se encuentre en la situación descrita, deberá informar a la institución encargada de la ejecución de las acciones del Sistema de Acceso, dentro del plazo establecido, justificando y acreditando alguna de las siguientes causales para no rendir la prueba: Causales médicas o sanitarias, muerte de familiar directo (cónyuge, conviviente, hijos, padre o madre o abuelos), accidentes y hechos delictuales o nacimiento de hijo/a. Dichos plazos y lineamientos serán informados por la Subsecretaría de Educación Superior a través de la Plataforma Electrónica Única, dentro de los plazos que esta estime conveniente.
f. Presentarse a rendir la o las pruebas inscritas portando sólo su documento de identificación, su tarjeta de identificación, un lápiz grafito Nº 2 o portaminas HB y goma de borrar. Opcionalmente podrá ingresar además con un destacador. Está estrictamente prohibido el ingreso y uso de calculadoras, celulares, máquinas fotográficas, tabletas u otros dispositivos electrónicos, así como el ingreso a los locales de aplicación con bolsos, mochilas, carteras, relojes digitales y cualquier otro elemento durante la rendición de las pruebas. Cabe señalar que, ni el Ministerio de Educación, ni la institución/es encomendada/s para la ejecución de las acciones del Sistema de Acceso serán responsables por la eventual pérdida y/o daños de estos objetos una vez que los postulantes hayan ingresado al local de aplicación. Asimismo, el Ministerio de Educación podrá solicitar otros insumos necesarios, de acuerdo con lo que establezca la autoridad sanitaria al momento de la rendición.
g. Respetar las fechas, lugar y horario de presentación y rendición de cada una de las pruebas, designadas por la institución encomendada para la ejecución de las acciones del Sistema de Acceso.
h. No salir del lugar establecido para la rendición de la prueba sin autorización y previamente al tiempo determinado por la institución encomendada para la ejecución de las acciones del Sistema de Acceso.
i. Anotar cuidadosamente todos los datos requeridos en la "Hoja de Respuestas" de cada prueba y colocar en ella las respuestas a las preguntas planteadas. Solo se considerarán las respuestas marcadas que aparezcan en dicha hoja. No se debe contestar en el folleto de prueba.
j. No copiar, ni reproducir total o parcialmente, por ningún medio, las preguntas de las pruebas, ya que estas tienen propiedad intelectual y marca registrada legalmente.
k. Devolver íntegramente los folletos de prueba y las hojas de respuestas al término de la rendición de cada prueba.
l. Resolver las preguntas de la prueba individualmente, sin dar, pedir, o recibir ayuda durante el desarrollo de las pruebas. Está estrictamente prohibido hacer trampa u obtener una ventaja durante el proceso.
m. No comunicarse con otro/s postulante/s durante la aplicación de cada prueba.
n. No promover, participar, ejecutar o encubrir acto alguno que entorpezca o impida el desarrollo del proceso de admisión en cualquiera de sus etapas, ni acto doloso alguno que afecte o altere los resultados del proceso de admisión.
o. Realizar las postulaciones respetando todas las disposiciones generales y específicas de cada universidad. Todo acto contrario anula las postulaciones afectadas, sin derecho a reclamo posterior.
p. Informarse directamente a través de la Subsecretaría de Educación Superior del Ministerio de Educación sobre los beneficios estudiantiles que otorga este organismo, asociados a los puntajes de las Pruebas de admisión universitaria.
q. Los demás deberes que les asignan la ley o reglamentos vigentes y el presente documento.
Las condiciones de participación en el proceso de admisión a la educación universitaria son las siguientes:
El postulante, al participar en el proceso, acepta que infringir sus normas genera las siguientes consecuencias:
El incumplimiento de alguno de los deberes antes señalados, así como toda acción que altere o impida el normal desarrollo de las distintas etapas del proceso de admisión, perjudique o pueda perjudicar a los participantes, infrinja la obligación de rendir las pruebas en forma personal y sin ayudas o cualquier sustracción o difusión no autorizada de todo o parte del contenido de las pruebas de admisión universitaria, significará la exclusión inmediata del proceso en curso de admisión a las universidades adscritas al Sistema de Acceso.
Asimismo, siResolución 3744 EXENTA,
EDUCACIÓN
Art. primero N° 1
D.O. 18.07.2023 en la rendición los documentos de identificación y/o la tarjeta de identificación no coinciden con el postulante, al igual que en los casos anteriores, significará exclusión inmediata del proceso en curso.
EDUCACIÓN
Art. primero N° 1
D.O. 18.07.2023 en la rendición los documentos de identificación y/o la tarjeta de identificación no coinciden con el postulante, al igual que en los casos anteriores, significará exclusión inmediata del proceso en curso.
La institución encomendadaResolución 1394 EXENTA,
EDUCACIÓN
Art. primero N° 13)
D.O. 09.02.2024 para la ejecución de las acciones del Sistema de Acceso, en adelante "la institución", notificará a los infractores las consecuencias antes descritas, junto con los hechos que las originen, al correo electrónico indicado por el postulante infractor en la etapa de inscripción, pudiendo reclamar de su aplicación dentro de los tres días hábiles siguientes. De acuerdo con el mérito de lo expuesto, la consecuencia a la infracción del proceso podrá mantenerse o dejarse sin efecto.
EDUCACIÓN
Art. primero N° 13)
D.O. 09.02.2024 para la ejecución de las acciones del Sistema de Acceso, en adelante "la institución", notificará a los infractores las consecuencias antes descritas, junto con los hechos que las originen, al correo electrónico indicado por el postulante infractor en la etapa de inscripción, pudiendo reclamar de su aplicación dentro de los tres días hábiles siguientes. De acuerdo con el mérito de lo expuesto, la consecuencia a la infracción del proceso podrá mantenerse o dejarse sin efecto.
Sin perjuicio de lo anterior, se realizarán las denuncias y/o se ejercerán las acciones que legalmente correspondan para hacer efectiva la responsabilidad civil o penal en cualquiera de los casos anteriormente señalados.
Luego de la determinación definitiva de la infracción, la institución remitirá a la Subsecretaría de Educación Superior la nómina que individualice a los postulantes infractores, con todos los antecedentes que sirvieron de base para dicha determinación.
La Subsecretaría de Educación Superior, mediante resolución constatará dicha nómina y las consecuencias de la infracción. La o el postulante en Resolución 3744 EXENTA,
EDUCACIÓN
Art. primero N° 2
D.O. 18.07.2023cuestión dispondrá de cinco (5) días hábiles contados desde la notificación del referido acto administrativo de la Subsecretaría, para presentar ante esta una reposición, en los términos establecidos en la ley Nº 19.880, sin perjuicio de otros medios que disponga esa u otras normas.
EDUCACIÓN
Art. primero N° 2
D.O. 18.07.2023cuestión dispondrá de cinco (5) días hábiles contados desde la notificación del referido acto administrativo de la Subsecretaría, para presentar ante esta una reposición, en los términos establecidos en la ley Nº 19.880, sin perjuicio de otros medios que disponga esa u otras normas.
Postulantes en situaciónResolución 761 EXENTA,
EDUCACIÓN
Art. primero
D.O. 21.02.2025 de discapacidad: Para la inscripción se entenderá por persona con discapacidad o con necesidades educativas especiales, lo establecido en la ley 20.422 y el decreto supremo Nº 170, de 2009, del Ministerio de Educación, o la norma que la modifique o reemplace.
EDUCACIÓN
Art. primero
D.O. 21.02.2025 de discapacidad: Para la inscripción se entenderá por persona con discapacidad o con necesidades educativas especiales, lo establecido en la ley 20.422 y el decreto supremo Nº 170, de 2009, del Ministerio de Educación, o la norma que la modifique o reemplace.
En ese contexto, los postulantes en situación de discapacidad o con necesidades educativas especiales tendrán derecho a solicitar que se les proporcionen los ajustes adecuados y apoyos necesarios que se requieran para resguardar la igualdad de oportunidades en la rendición de las pruebas, en los términos establecidos en el acápite "condiciones generales" y "derechos" del presente acto administrativo, sin que dichos ajustes puedan significar ventajas indebidas en la rendición.
Lo anterior, quedará sujeto a la disponibilidad de los recursos económicos, humanos y técnicos de la institución encargada de aplicar la prueba de admisión universitaria. Es condición necesaria para ejercer el derecho a requerir ajustes, adecuaciones o apoyos que los postulantes se hayan inscrito en los plazos regulares del proceso de admisión.
Los ajustes serán determinados por la institución encargada de aplicar la prueba de admisión universitaria de acuerdo con el mérito de la solicitud y de los antecedentes que variarán según la condición declarada por el postulante, avalada por los documentos que lo acrediten, según se indica en el párrafo siguiente. En caso que sea pertinente, los referidos ajustes deberán considerar la trayectoria educativa de los postulantes, la que se evaluará con base a información que proporcione el respectivo establecimiento educacional.
En el momento de la inscripción, la persona con discapacidad o con necesidades educativas especiales deberá realizar la solicitud de ajustes, adecuaciones o apoyos acompañada de los siguientes antecedentes:
a) Exposición clara de su solicitud.
b) Presentar alguno de los siguientes documentos alternativos:
b.1) Fotocopia del certificado emitido por la respectiva Comisión de Medicina Preventiva e Invalidez (Compin) vigente; o,
b.2) Fotocopia del carné o certificado emitido por el Registro Nacional de Discapacidad vigente; o,
b.3) Informe de Evaluación y Síntesis del Programa de Integración Escolar (actual FUDEI), que no deberá tener una antigüedad mayor a tres años desde su emisión (Evaluación Integral de Necesidades Educativas Especiales Ley 20.201-decreto supremo 170/2009, vigente, emanado de los Programas de Integración Escolar PIE).
c) Si el postulante no cuenta con alguno de los documentos señalados en la letra b), deberá presentar los siguientes documentos copulativos:
c1) Una certificación médica del especialista pertinente, según el protocolo de ajustes establecido por la institución encargada. Esta certificación no deberá tener una antigüedad mayor a 3 años, excepto en los casos de condiciones de salud mental, en cuyo caso la antigüedad no debe ser mayor a 6 meses; y
c2) Un informe del establecimiento educativo de acuerdo con el formato establecido para estos efectos u otros documentos pertinentes a la condición acreditada, según lo determinado previamente por la institución encargada a través de un protocolo de ajustes que deberá ser publicado en las correspondientes páginas web. Estos informes podrán ser emitidos por especialistas no médicos, u otros, que se determinen, en relación con el tipo de discapacidad. Todos los documentos deberán cumplir con los requisitos establecidos en el protocolo de ajustes establecido por la institución encargada de aplicar la prueba de admisión universitaria.
Si la solicitud no cumple con los requisitos exigidos será rechazada y, para todos los efectos, se tendrá por no presentada.
La definición de los ajustes, adecuaciones o apoyos será resuelta por la institución encargada de la aplicación de la prueba, en atención a la evaluación efectuada por un Equipo Técnico Interdisciplinario que asesora este proceso y que está conformado por al menos 12 académicos y profesionales especializados en el apoyo a estudiantes en situación de discapacidad de instituciones de educación superior, invitados en atención a su currículo y área de especialidad, del Servicio Nacional de la Discapacidad y de la Unidad de Educación Especial del Ministerio de Educación.
La presentación de antecedentes falsos o la obtención de ajustes de forma fraudulenta constituirá una infracción a la normativa que rige el Sistema de Acceso, cuya consecuencia será la exclusión inmediata del proceso en curso de admisión a las universidades adscritas al Sistema de Acceso, en los términos establecidos en el acápite de "condiciones de participación" del presente acto administrativo.
Postulantes que rinden la prueba con nombre social: En atención a los principios orientadores del reconocimiento y protección de la identidad de género, desde el año 2018 las personas que utilizan, en razón de su identidad de género, un nombre social distinto al nombre legal o registral, pueden solicitar utilizar dicho nombre social para la rendición de las pruebas. Para ello, en la ficha de inscripción a la prueba de admisión universitaria, debe solicitar utilizar su nombre social y, posteriormente, deberá enviar a la institución encargada de la aplicación de la prueba, sus antecedentes y documentación correspondiente. Dicho nombre social será con el que se le identificará en la lista de llamado de la sala en que le corresponda rendir la prueba. El nombre legal seguirá figurando en los documentos oficiales y en todos los sistemas para efectos de inscripción, entrega de puntajes, selección y matrícula.
Etapa de rendición de la prueba de admisión
La etapa de rendición de las pruebas se realizará a nivel nacional los días establecidos en el calendario oficial que se determine.
Podrán implementarse instancias de rendición denominadas "aplicación regular" y "aplicación de invierno". El periodo de aplicación regular es aquel en el cual la prueba de admisión se rinde dentro del último trimestre o del primer trimestre de cada año. En tanto, el periodo de aplicación de invierno es aquel que se rinde dentro del segundo trimestre o tercer trimestre de cada año.
Los locales de rendición designados para cada uno de los postulantes inscritos serán informados al postulante a través de la Plataforma Electrónica Única del Sistema de Acceso u otro mecanismo que determine la Subsecretaría de Educación Superior. Será responsabilidad de la institución/es encomendada/s de ejecutar las acciones del Sistema de Acceso, establecer los procedimientos para resolver problemas vinculados a la entrega de la información de la designación de los locales de rendición, así como también, de otros relacionados con las acciones que le han sido encomendadas. Los locales de rendición se asocian a Regiones y Comunas de Rendición y, dentro de ellas, se indican los espacios habilitados para la aplicación de las pruebas. En cada uno de ellos se señalan los números de identificación de los inscritos asignados a ese local, con cédula nacional chilena de identidad o pasaporte, según corresponda.
La sede registrada en la tarjeta de identificación, bajo el rótulo "Comuna en que rendirá pruebas" y el número del documento de identificación, determinan el local de rendición en el cual le corresponderá al postulante rendir las pruebas.
Durante el reconocimiento de salas, actividad previa a la etapa de rendición de las pruebas, todas las personas inscritas podrán concurrir a los respectivos locales de rendición asignados, en el día y hora establecido por la Subsecretaría de Educación Superior, con el objetivo de reconocer dichas salas y verificar que los datos personales estén correctos. Sin perjuicio de lo anterior, la Subsecretaría de Educación Superior se reserva el derecho de suspender esta actividad, si por razones externas a su responsabilidad no se dan las condiciones necesarias para el correcto desarrollo de la instancia.
Es requisito obligatorio para rendir la prResolución 598 EXENTA,
EDUCACIÓN
Art. cuarto
D.O. 18.02.2025ueba de admisión a las universidades contar con un documento de identificación válido, según corresponda:
EDUCACIÓN
Art. cuarto
D.O. 18.02.2025ueba de admisión a las universidades contar con un documento de identificación válido, según corresponda:
- Personas chilenas o extranjeras con Cédula de Identidad chilena: Deberán presentar este documento para identificarse durante la rendición.
- Personas extranjeras sin Cédula de Identidad chilena: Aquellos postulantes que hayan cargado su pasaporte en la plataforma de inscripción dispuesta por la institución encomendada al momento de inscribirse para rendir las pruebas deberán identificarse para ingresar a la sala asignada presentando el pasaporte de su país de origen. Si el país de origen de un postulante se encuentra en convenio con Chile para el libre tránsito de personas y, por lo tanto, no requiere pasaporte para ingresar a territorio chileno, el DNI de su país de origen podrá ser utilizado para identificarse e ingresar a la sala asignada durante los días de la rendición, siempre y cuando haya sido cargado en la plataforma de inscripción dispuesta por la institución encomendada y aprobado por ésta como un documento de identificación válido.
Si el postulante no estuviera en posesión de su Documento de Identificación durante la etapa de rendición de las pruebas, ya sea por hurto, robo o pérdida, deberá:
. Presentarse ante la persona responsable del local de rendición donde fue asignado.
. Entregar la información para completar el formulario establecido para casos excepcionales relativos a documentos de identificación.
. Estampar su huella digital en el formulario.
. Entregar una fotografía reciente, tamaño carné o pasaporte, donde figure su nombre y, en lo posible, el número de su documento de identificación.
. El postulante dispone de los días que dura la etapa de rendición de pruebas para presentar la fotografía requerida. Así, podrá rendir sus pruebas oportunamente en forma condicional, hasta que la institución a cargo de la ejecución de la etapa de rendición ratifique la veracidad de la información entregada.
Si el postulante extravía su Tarjeta de Identificación antes de la etapa de rendición de las pruebas, podrá volver a obtenerla en la Plataforma Electrónica Única del Sistema de Acceso, a través del portal de inscripción.
Si el postulante, por cualquier circunstancia, no se presenta a rendir alguna de las pruebas que inscribió, no tendrá otra instancia para hacerlo dentro del mismo Proceso de Admisión.
Por otro lado y en forma adicional, el Ministerio de Educación podrá solicitar a los postulantes el uso de otros insumos necesarios para la rendición de las pruebas de admisión, de acuerdo a lo que establezca la autoridad sanitaria al momento de la ejecución de esta etapa.
Al momento de rendir una prueba, cada postulante recibirá un folleto sellado, en cuyo interior se encontrará una hoja de respuestas. En el folleto, cada postulante debe firmar una declaración, la que consiste en lo siguiente:
. Declarar que está en conocimiento de que es obligatorio devolver el folleto de prueba antes de abandonar la sala.
. Declarar que está en conocimiento de la normativa que rige el proceso, así como que se expone a sanciones y/o acciones legales señaladas precedentemente en caso de colaborar, de algún modo, con la reproducción, almacenamiento o transmisión, por cualquier medio, del folleto de prueba o alguna de sus partes.
. Declarar que está en conocimiento de que las únicas respuestas válidas para efectos del cálculo del puntaje de las pruebas rendidas son las consignadas en la respectiva hoja de respuestas. No serán consideradas las respuestas marcadas en el folleto.
. Declarar que está en conocimiento de que cualquier irregularidad que se detecte durante la rendición de las pruebas podrá dar lugar a consecuencias por incumplimiento señaladas en el presente instrumento.
En la eventualidad de que el folleto presente fallas evidentes en su impresión, compaginación o edición, el postulante deberá exigir su cambio al examinador, quien procederá a realizar el cambio, consignándolo en el acta de rendición respectiva. El tiempo que demore esta operación será compensado en relación con el tiempo de rendición de la prueba, otorgándole igual cantidad de tiempo al postulante afectado.
Por otra parte, cada postulante deberá completar su hoja de respuestas, para lo cual procederá a:
. Escribir sus apellidos y nombres.
. Anotar su número de identificación marcando las celdillas correspondientes.
. Firmar la declaración de responsabilidad que allí aparece, escribiendo el número de folio del folleto que ha recibido y los códigos correspondientes a la sede, local y sala.
. Consignar sus respuestas en las filas de celdas que tienen la misma numeración de las preguntas de la prueba.
El postulante que se presenta a rendir alguna de las pruebas, pero no conteste alguna de ellas, dejando en blanco el sector de la hoja destinado para consignar las respuestas, obtendrá el puntaje mínimo asignado en la prueba correspondiente.
Durante el desarrollo de cada prueba, los postulantes podrán formular, ante el examinador, las observaciones u objeciones que les merezca cualquier pregunta, sin perturbar el normal desarrollo de la prueba. El examinador deberá dejar consignada dicha observación en el acta de rendición.
Asimismo, los postulantes podrán hacer llegar a la institución a cargo de la elaboración de las pruebas de admisión, sus observaciones a preguntas. Para hacerlo, deberán seguir los procedimientos que se informen al momento de cursar su inscripción.
Las observaciones u objeciones que se formulen serán revisadas por una comisión de expertos conformada por la institución encargada de la elaboración de las pruebas, quienes certificarán la pertinencia o no de las mismas. De acogerse la observación u objeción, la pregunta en cuestión será anulada para todos los efectos de la corrección y posterior cálculo de puntaje, situación que se informará oportunamente a través de la Plataforma Electrónica Única del Sistema de Acceso.
Los resultados obtenidos por los postulantes en cada una de las pruebas que hayan rendido estarán disponibles en la fecha y hora establecida en el calendario oficial. Su publicación se efectuará en la Plataforma Electrónica Única del Sistema de Acceso. Las impresiones o capturas de pantalla que los postulantes puedan realizar de sus puntajes no tendrán validez alguna.
En la eventualidad de presentarse alguna duda con respecto a los resultados obtenidos en las pruebas, los postulantes pueden solicitar personalmente una verificación de su puntaje dentro de los días establecidos en el calendario, no existiendo posibilidad alguna de verificación posterior.
Al finalizar la rendición de cada una de las pruebas, será responsabilidad del postulante solicitar al examinador presente en la sala de aplicación, timbrar la Tarjeta de Identificación. Dicho documento timbrado, será el único medio verificador que tendrá el postulante para comprobar la efectiva rendición de la prueba.
Análisis y cálculo de resultados de las Pruebas de Admisión
Con posterioridad a la rendición de las pruebas de admisión universitaria, la institución encargada de la ejecución de las acciones del Sistema de Acceso (en adelante, "la institución encargada"), procederá a desarrollar las etapas que se describen a continuación, con el propósito de obtener los resultados de dichas pruebas y la generación de bases de datos correspondientes:
Luego de la lectura, revisión y control de calidad de las pruebas rendidas, se realiza la consolidación de las bases de datos y el cálculo de los puntajes obtenidos por los postulantes. Los análisis que se realizan en ese contexto son los siguientes y consideran metodología de dobles ciegos internos:
1. En conjunto con los equipos constructores de las pruebas, se realiza una verificación estadística de las claves de las preguntas, para controlar que no existan diferencias entre los resultados y la información que se tiene en el Banco de Ítems.
2. A través de un estudio psicométrico se revisan todos los ítems que bajo criterios estadísticos tuvieron un comportamiento no esperado. En tal revisión se evalúa la permanencia o eliminación de cada uno de los ítems detectados. En paralelo, un equipo externo de expertos, que deberá ser previamente acordado entre la Subsecretaría de Educación Superior y la institución encargada de las acciones del Sistema de Acceso, deberá realizar los análisis psicométricos para la detección de ítems con características no esperadas, para recomendar la permanencia o eliminación del ítem correspondiente. La decisión final, respecto de la permanencia o eliminación de un ítem, deberá ser resuelta por el equipo que deberá considerar profesionales con diferente experticia, incorporando a expertos disciplinares, en evaluación y en psicometría.
3. Deberá estimarse la dificultad de los ítems empíricamente con la información de la prueba rendida, comparándola con la dificultad del Banco de Ítems, el cual está calibrado. Se deberá realizar una regresión para asociar estas dos estimaciones de dificultad y decidir si se podrán "desanclar" ítems, con el fin de dar estabilidad a los parámetros estimados. Este método debe realizarse con un doble ciego externo previamente acordado entre la Subsecretaría de Educación Superior y la institución encargada.
4. Una vez obtenida la estimación de la dificultad de cada uno de los ítems de las formas de las pruebas, se procede a estimar la habilidad de los postulantes en cada prueba, para luego llevarla a una escala que va desde 100 a 1000 puntos aproximadamente. Esta transformación lineal deberá ser realizada con un doble ciego externo, previamente acordado entre la Subsecretaría de Educación Superior y la institución encargada de la ejecución de las acciones del Sistema de Acceso.
5. Una vez realizados los controles de calidad internos, que deberán arrojar una coincidencia del 100% de los resultados de las dificultades de los ítems, de las habilidades estimadas para cada postulante al séptimo decimal y del puntaje estándar, se realizan las transformaciones que corresponda para calcular el puntaje de cada postulante en las pruebas rendidas, el que será posteriormente publicado.
6. Antes de la publicación de puntajes, se realizan nuevos controles, lo que implica que al menos dos unidades de la institución encargada calculen separadamente las transformaciones que llevan al cálculo final de puntajes, las que luego se compararán para corroborar que en el 100% de los postulantes las transformaciones que realizó cada una entregan el mismo puntaje estándar a cada postulante.
Distinciones que se confieren en el proceso de admisión a la educación universitaria a postulantes de diversos contextos y trayectorias:
Las distinciones serán oResolución 4247 EXENTA,
EDUCACIÓN
Art. primero, Nos. 1) y 2)
D.O. 19.08.2023torgadas a los postulantes que, en el año de rendición de la prueba de admisión, egresan de la educación media, obtienen un puntaje promedio entre pruebas obligatorias vigentes de 485 puntos y se encuentran habilitados para postular centralizadamente, excluyendo a alumnos de exámenes libres y reconocimiento de estudios. Las referidas distinciones se otorgarán considerando los siguientes contextos y trayectorias, validados según los procedimientos que establezca la Subsecretaría de Educación Superior publicados a través de la Plataforma Electrónica Única:
EDUCACIÓN
Art. primero, Nos. 1) y 2)
D.O. 19.08.2023torgadas a los postulantes que, en el año de rendición de la prueba de admisión, egresan de la educación media, obtienen un puntaje promedio entre pruebas obligatorias vigentes de 485 puntos y se encuentran habilitados para postular centralizadamente, excluyendo a alumnos de exámenes libres y reconocimiento de estudios. Las referidas distinciones se otorgarán considerando los siguientes contextos y trayectorias, validados según los procedimientos que establezca la Subsecretaría de Educación Superior publicados a través de la Plataforma Electrónica Única:
i. Pueblos Originarios.
Se distinguirá a mujeres y hombres provenientes de algún pueblo originario, que obtengan el puntaje más alto en cada prueba de admisión universitaria obligatoria.
ii. Situación de Discapacidad.
Se distinguirá a mujeres y hombres en situación de discapacidad, que obtengan el puntaje más alto en cada prueba de admisión universitaria obligatoria.
iii. Modalidades de Enseñanza.
Se distinguirá a mujeres y hombres de establecimientos Municipales, Servicios Locales de Educación, Administración Delegada, Particulares Subvencionados, de modalidades técnico profesional y científico humanista, además de Particulares Pagados, que obtengan el más alto puntaje promedio entre las pruebas obligatorias, y que además hayan obtenido el Puntaje Ranking máximo.
iv. Territorios.
Se distinguirá a mujeres y hombres de cada región del país, además del territorio insular, que obtengan el más alto puntaje promedio entre las pruebas obligatorias; el puntaje más alto en la prueba de Competencia Matemática 2; en la prueba de Ciencias; y, en la prueba de Historia y Ciencias Sociales.
Los nombres de los postulantes que obtengan alguna de estas distinciones serán informados a la opinión pública, siempre y cuando el postulante haya aceptado expresamente al momento de la inscripción que esta información sea publicada, conforme a la ley Nº 19.628.
4.1.1.2.- Instrumentos de Acceso Específicos
Las universidades podrán desarrollar instrumentos de acceso específicos, complementarios a los descritos en el punto 4.1.1.1, los cuales deberán ser, en todo caso, autorizados por el Comité.
Estos instrumentos deberán aplicarse antes del inicio del período de postulación centralizada, siendo responsabilidad de cada universidad su aplicación y administración.
Las universidades entregarán a la entidad responsable de la ejecución del proceso de selección los resultados obtenidos por los candidatos luego de la aplicación de los instrumentos de acceso específicos. Lo anterior deberá ocurrir dentro del plazo estipulado para ello y de acuerdo con las especificaciones técnicas requeridas por dicho organismo, a efecto de que procese estas postulaciones junto con las correspondientes a las carreras que no exigen instrumentos de acceso específicos.
Para cada carrera, los resultados obtenidos en el instrumento de acceso específico podrán utilizarse en una de las dos siguientes modalidades:
1. Modalidad Aprueba/Reprueba: El resultado del instrumento de acceso específico sólo indica si el candidato continúa postulando para obtener una vacante en la carrera o si, por el contrario, es inhibido de continuar. En la primera situación, el resultado lo habilita para postular al programa en cuestión. En caso de reprobación, el postulante no podrá alcanzar la calidad de postulante efectivo a la carrera.
2. Modalidad con puntaje específico: El resultado del instrumento aplicado se expresa en un puntaje -en una escala estándar similar a la usada para el resto de los instrumentos de selección- que será ponderado junto con los otros factores de selección, lo que arrojará el puntaje ponderado definitivo.
La universidad que utilice instrumentos de acceso específicos para la postulación y admisión de un determinado programa pondrá a disposición del postulante, antes de la fecha de postulación, los resultados obtenidos en la aplicación del instrumento.
4.1.2.- Programas especiales Resolución 4247 EXENTA,
EDUCACIÓN
Art. segundo N° 7)
D.O. 19.08.2023de acceso
EDUCACIÓN
Art. segundo N° 7)
D.O. 19.08.2023de acceso
El Subsistema Universitario considera como programa especial de acceso al conjunto de acciones y/o procedimientos desarrollados por una institución de educación superior, que tienen como objetivo preparar académicamente a estudiantes secundarios para facilitar su ingreso a la educación superior. De este modo, se incentiva el acceso, entre otros, de estudiantes destacados de contextos socioeconómicamente vulnerables, en concordancia con el principio de inclusión consagrado en la ley 21.091.
Los programas especiales dResolución 4247 EXENTA,
EDUCACIÓN
Art. segundo N° 1)
D.O. 19.08.2023e acceso deben respetar los principios que rigen al Sistema de Acceso, es decir, la objetividad, transparencia, accesibilidad universal y la no discriminación arbitraria.
EDUCACIÓN
Art. segundo N° 1)
D.O. 19.08.2023e acceso deben respetar los principios que rigen al Sistema de Acceso, es decir, la objetividad, transparencia, accesibilidad universal y la no discriminación arbitraria.
Los programas especiales de acceso pueden ser de carácter general, como es el caso del programa PACE, que se establece como una política pública ministerial, o pueden ser específicos de una determinada institución. En este último caso, deben ser aprobados por el Comité Técnico de Acceso.
Resolución 4247 EXENTA,
EDUCACIÓN
Art. segundo Nos. 2) y 3)
D.O. 19.08.2023 Un programa especial de acceso de carácter específico corresponde al conjunto de acciones y/o procedimientos que desarrolla una determinada Institución de Educación Superior, con el propósito de preparar socioeducativamente a estudiantes de enseñanza media para facilitar su ingreso a la educación superior.
EDUCACIÓN
Art. segundo Nos. 2) y 3)
D.O. 19.08.2023 Un programa especial de acceso de carácter específico corresponde al conjunto de acciones y/o procedimientos que desarrolla una determinada Institución de Educación Superior, con el propósito de preparar socioeducativamente a estudiantes de enseñanza media para facilitar su ingreso a la educación superior.
Para que los programas espeResolución 4247 EXENTA,
EDUCACIÓN
Art. segundo N° 4)
D.O. 19.08.2023ciales de carácter específico sean aprobados por el Comité Técnico de Acceso del subsistema universitario, además de respetar el procedimiento establecido para este efecto y los principios que rigen al Sistema de Acceso, deben contemplar, al menos, los criterios que se exponen a continuación:
EDUCACIÓN
Art. segundo N° 4)
D.O. 19.08.2023ciales de carácter específico sean aprobados por el Comité Técnico de Acceso del subsistema universitario, además de respetar el procedimiento establecido para este efecto y los principios que rigen al Sistema de Acceso, deben contemplar, al menos, los criterios que se exponen a continuación:
1. Definición del objetivo del Programa, el que deberá considerar, al menos, promover el acceso de su público objetivo a la universidad.
2. Universo/Segmento al cual se enfocarán los esfuerzos, indicando el (los) curso(s) o niveles de enseñanza media en el (los) que se trabajará y/o grupos en los que se enfocará. El Programa deberá considerar dentro de su público objetivo a postulantes de enseñanza media provenientes de contextos desventajados y/o grupos subrepresentados en la educación superior (establecimientos con alto índice de vulnerabilidad escolar, personas en situación de discapacidad, pueblos originarios, enseñanza media técnico profesional, mujeres en carreras masculinizadas y hombres en carreras feminizadas, entre otros).
3. Conjunto de actividades que tengan como propósito preparar académicamente, o bien, desarrollar las habilidades para el siglo XXI estipuladas en las bases curriculares para tercero y cuarto medio, dirigidas a estudiantes de enseñanza media. Estas actividades deberán ser implementadas de manera periódica y gratuita.
Para que los programas especiales de carácter específico sean aprobados por el Comité Técnico de Acceso del subsistema universitario, además de respetar el procedimiento establecido para este efecto y los principios que rigen al Sistema de Acceso, deben contemplar, al menos, los criterios que se exponen a continuación:
1. Definición del objetivo del Programa, el que deberá considerar, al menos, promover el acceso de su público objetivo a la universidad.
2. Universo/Segmento al cual se enfocarán los esfuerzos, indicando el (los) curso(s) o niveles de enseñanza media en el (los) que se trabajará y/o grupos en los que se enfocará. El Programa deberá considerar dentro de su público objetivo a postulantes de enseñanza media provenientes de contextos desventajados y/o grupos subrepresentados en la educación superior (establecimientos con alto índice de vulnerabilidad escolar, personas en situación de discapacidad, pueblos originarios, enseñanza media técnico profesional, mujeres en carreras masculinizadas y hombres en carreras feminizadas, entre otros).
3. Conjunto de actividades que tengan como propósito preparar académicamente, o bien, desarrollar las habilidades para el siglo XXI estipuladas en las bases curriculares para tercero y cuarto medio, dirigidas a estudiantes de enseñanza media. Estas actividades deberán ser implementadas de manera periódica y gratuita.
Dentro de la categoría de programas especiales de acceso de carácter específico, se encuentran los Programas de Preparación y Acceso a Pedagogía, los que son únicamente validados por el Ministerio de Educación, en los términos dispuestos en las leyes Nº 20.129 y Nº 20.903, o la normativa que las modifique o reemplace, Resolución 4247 EXENTA,
EDUCACIÓN
Art. segundo Nos. 5) y 6)
D.O. 19.08.2023y en el reglamento aprobado en el decreto N° 239, de 2016, y sus modificaciones, del Ministerio de Educación.
EDUCACIÓN
Art. segundo Nos. 5) y 6)
D.O. 19.08.2023y en el reglamento aprobado en el decreto N° 239, de 2016, y sus modificaciones, del Ministerio de Educación.
4.1.3.- Criterios de habilitación
Tendrán derecho a postular centralizadamente aquellas personas que cuenten con pruebas de admisión universitarias vigentes, esto es, que hayan rendido las pruebas obligatorias y al menos una electiva del proceso en curso, o del proceso de admisión inmediatamente anterior, considerando el cumplimiento de lo dispuesto en el numeral 4.1.1.1, además de cumplir con alguno de los siguientes criterios de habilitación:
1. Los postulantes deben contar con un puntaje promedio entre la mejor combinaciónResolución 8951 EXENTA,
EDUCACIÓN
Art. primero
D.O. 18.12.2024 de resultados obtenidos en las pruebas obligatorias vigentes, igual o superior a 458 puntos.
EDUCACIÓN
Art. primero
D.O. 18.12.2024 de resultados obtenidos en las pruebas obligatorias vigentes, igual o superior a 458 puntos.
2. Quienes tengan un promedio de notas de la educación media que los ubique dentro del 10% superior de su promoción en su establecimiento educacional, sin considerar su año de egreso. Las universidades no podrán modificar ni hacer más estricto este último criterio.
Lo anterior es sin perjuicio de los requisitos para la admisión universitaria y matrícula de postulantes a carreras y programas de pedagogía, establecidos en el literal b) del artículo 27 bis de la Ley Nº 20.129 y en el artículo trigésimo sexto transitorio de la Ley Nº 20.903.
4.1.4.- Vacantes, sobrecupos y cupos supernumerarios
La oferta académica de caResolución 5341 EXENTA,
EDUCACIÓN
Art. primero
D.O. 25.10.2023da institución se expresa en programas impartidos en sedes o campus determinados, con sus respectivas vacantes.
EDUCACIÓN
Art. primero
D.O. 25.10.2023da institución se expresa en programas impartidos en sedes o campus determinados, con sus respectivas vacantes.
Las vacantes representan la capacidad total para recibir alumnos nuevos en cada programa y se componen de cupos regulares, sobrecupos y cupos supernumerarios. Los cupos regulares corresponden a las vacantes regulares ofrecidas por las universidades para un determinado programa de estudios.
Los sobrecupos representan una cantidad adicional de vacantes, que institucionalmente no puede ser superior al 33% de los cupos regulares y que, para efectos del proceso de selección, son llenadas por postulantes una vez que han sido completados los cupos regulares.
Los cupos supernumerarios son vacantes que pueden ser utilizadas de manera exclusiva por postulantes provenientes de grupos para los cuales se busca promover el acceso a la educación superior, esto es, aquellos postulantes elegibles para obtener la Beca de Excelencia Académica (BEA), aquellos pertenecientes al Programa de Acceso a la Educación Superior (PACE), y aquellos que puedan acceder a cuotas de equidad de género en carreras que determine el Comité Técnico de Acceso. Las referidas cuotas de equidad de género no pueden ser mayores al número equivalente al 20% de cupos regulares para cada carrera.
Cada universidad deberá informar a la Subsecretaría de Educación Superior las vacantes, sobrecupos y cupos supernumerarios de cada uno de los programas que conforman su oferta académica de pregrado.
4.1.5.- Proceso de Postulación Centralizada
La postulación centralizada consiste en la declaración que realiza el postulante acerca de sus preferencias respecto de las carreras y universidades que participan en el Sistema de Acceso, con posterioridad a la entrega de resultados de las pruebas de admisión universitaria, con miras a un proceso de postulación y selección unificado.
Los interesados en postular a primer año de alguno de los programas de pregrado en los términos descritos, deberán:
1. Inscribirse dentro de los plazos establecidos para la rendición de la prueba de admisión universitaria, cumpliendo con los requisitos que al efecto se soliciten, completando los formularios y etapas que para este fin se dispongan. Las particularidades de la etapa de inscripción se encuentran en el numeral 4.1.1.1 del presente instrumento. Quienes cuenten con liResolución 2217 EXENTA,
EDUCACIÓN
Art. primero 10)
D.O. 19.04.2023cencia de enseñanza media, podrán inscribir, para la aplicación regular o de invierno, cualquiera de las pruebas, ya sea obligatorias, electivas o utilizadas como requisito obligatorio para algunos programas de estudio, según lo mencionado en el apartado 4.1.1.1.
EDUCACIÓN
Art. primero 10)
D.O. 19.04.2023cencia de enseñanza media, podrán inscribir, para la aplicación regular o de invierno, cualquiera de las pruebas, ya sea obligatorias, electivas o utilizadas como requisito obligatorio para algunos programas de estudio, según lo mencionado en el apartado 4.1.1.1.
2. Haber rendido las pruebas, según la información declarada por el postulante en el o los procesos de inscripción correspondientes.
3. Cumplir con los requisitos de postulación de los programas de su interés. Cabe señalar que las universidades estarán facultadas para fijar requisitos de postulación más exigentes que los establecidos en los criterios de habilitación, como, por ejemplo, puntajes mínimos de postulación superiores al establecido en los criterios de habilitación. Asimismo, las universidades podrán exigir puntajes ponderados mínimos, ya sea por carreras en particular o para toda la institución en general. Si el postulante obtiene un puntaje ponderado inferior al mínimo exigido por una carrera o universidad en particular, su postulación a esta quedará eliminada. Si el postulante obtiene un puntaje ponderado igual o superior al mínimo exigido para dicha carrera, esto no le garantiza la obtención de un cupo en ella, ya que debe someterse al proceso de selección de acuerdo con la ordenación de postulantes por carrera. Sin perjuicio de lo anterior y según se indica en el Nº 2 del numeral 4.1.3, las universidades no podrán hacer más estricto el criterio de habilitación de ubicación del postulante dentro del 10% superior de la promoción, debido al factor de equidad en la admisión a educación superior que ha justificado la inclusión de ese criterio.
4. Postular, dentro de los plazos públicamente establecidos, a las carreras y universidades adscritas al sistema de acceso, a través de la Plataforma Electrónica Única del Sistema de Acceso, en las fechas establecidas según el calendario oficial del proceso.
Para efectos de lResolución 2217 EXENTA,
EDUCACIÓN
Art. primero 10)
D.O. 19.04.2023a ponderación, la postulación se realizará considerando automáticamente el mayor puntaje obtenido en cada una de sus pruebas vigentes, es decir, puntajes obtenidos en las pruebas rendidas en el proceso de admisión en curso y el inmediatamente anterior, individualmente consideradas.
EDUCACIÓN
Art. primero 10)
D.O. 19.04.2023a ponderación, la postulación se realizará considerando automáticamente el mayor puntaje obtenido en cada una de sus pruebas vigentes, es decir, puntajes obtenidos en las pruebas rendidas en el proceso de admisión en curso y el inmediatamente anterior, individualmente consideradas.
Previo y/o durante a la etapResolución 598 EXENTA,
EDUCACIÓN
Art. segundo
D.O. 18.02.2025a de postulación y contando con el consentimiento expreso de los postulantes, las universidades adscritas al Sistema recibirán el puntaje obtenido por los inscritos en cada uno de los instrumentos generales de acceso (puntaje NEM, puntaje Ranking, pruebas de admisión universitaria obligatorias, requeridas y electivas).
EDUCACIÓN
Art. segundo
D.O. 18.02.2025a de postulación y contando con el consentimiento expreso de los postulantes, las universidades adscritas al Sistema recibirán el puntaje obtenido por los inscritos en cada uno de los instrumentos generales de acceso (puntaje NEM, puntaje Ranking, pruebas de admisión universitaria obligatorias, requeridas y electivas).
Cada postulante deberá seleccionar, en estricto orden de preferencia, hasta 20 combinaciones de carrera, sede (o campus) y universidad. Durante el proceso de postulación, el postulante podrá modificar sus preferencias, considerándose como válida para efectos del proceso de selección la última modificación realizada. La postulación a las carreras es de exclusiva responsabilidad del postulante. Sin perjuicio de lo anterior, no será posible modificar las preferencias una vez finalizada la etapa de postulación, por lo que, al ser seleccionado un postulante en una carrera, quedarán automáticamente eliminadas sus postulaciones a las carreras que siguen en la lista de sus preferencias.
Si con posterioridad al período de postulación y antes del primer período de matrícula, un estudiante se ve afectado por situaciones de fuerza mayor, este podrá presentar una solicitud de Matrícula por Excepción, mediante la cual podrá modificar su postulación.
4.1.6.- Proceso de Selección
Por factores de selección se entiende el conjunto de instrumentos de acceso que se consideran para efectos del cálculo del puntaje ponderado de cada postulante para las carreras de su preferencia.
La selección de postulantes se efectúa entre quienes obtienen los mejores desempeños en las pruebas de admisión universitaria, y en el resto de los instrumentos de acceso, dentro de los cResolución 2217 EXENTA,
EDUCACIÓN
Art. primero 11)
D.O. 19.04.2023uales se encuentran el Puntaje de las Notas de Enseñanza Media, el puntaje Ranking y otros, siempre que sean aprobados por el Comité de Acceso al Subsistema Universitario, ordenando a los candidatos por estricto orden decreciente de puntaje, según su preferencia, en algunas de las carreras ofrecidas por las universidades adscritas.
EDUCACIÓN
Art. primero 11)
D.O. 19.04.2023uales se encuentran el Puntaje de las Notas de Enseñanza Media, el puntaje Ranking y otros, siempre que sean aprobados por el Comité de Acceso al Subsistema Universitario, ordenando a los candidatos por estricto orden decreciente de puntaje, según su preferencia, en algunas de las carreras ofrecidas por las universidades adscritas.
Cada universidad será responsable de asignar a los puntajes de cada instrumento de acceso las ponderaciones que estime convenientes para sus carreras, respetando los siguientes mínimos:
1. Puntaje de la Resolución 2217 EXENTA,
EDUCACIÓN
Art. primero 11)
D.O. 19.04.2023prueba de Competencia Matemática 1: ponderación mínima de 10%.
EDUCACIÓN
Art. primero 11)
D.O. 19.04.2023prueba de Competencia Matemática 1: ponderación mínima de 10%.
2. Puntaje de la prueba de Competencia Matemática 2: ponderación mínima de 5%.
3. Puntaje de la prueba de Competencia Lectora: ponderación mínima de 10%.
4. Puntaje de alguna de las pruebas de Ciencias o Historia y Ciencias Sociales: ponderación mínima de 10%.
5. Puntaje NEM: ponderación mínima de 10%.
6. Puntaje Ranking: ponderación mínima de 10%.
Para el caso de la prueba de Competencia Matemática 2, la ponderación mínima será aplicada únicamente para las carreras que utilicen esta prueba como un requisito obligatorio para la postulación centralizada, según lo señalado en la numeral 4.1.1.1.
Luego del proceso de postulación descrito en el numeral 4.1.5, la selección de estudiantes a las universidades adscritas al Sistema de Acceso se realizará previa ordenación decreciente de los postulantes a cada carrera de acuerdo con su puntaje ponderado. El puntaje ponderado es el puntaje con que se postula a las carreras de interés. Para calcularlo se necesitan los puntajes obtenidos por los postulantes en los instrumentos de acceso requeridos, junto con las ponderaciones de la carrera de interés.
A fin de calcular las ponderaciones de los postulantes chilenos o extranjeros que realizaron en forma íntegra sus estudios de Enseñanza Media en el extranjero para las distintas carreras de su preferencia, no se consideran los instrumentos de acceso de aplicación general: Puntaje de NotaResolución 2217 EXENTA,
EDUCACIÓN
Art. primero 11)
D.O. 19.04.2023s de Enseñanza Media y Puntaje Ranking de Notas. Dejando en claro lo anterior, este grupo de postulantes tiene un cálculo de puntaje ponderado considerando solo los factores de selección de las pruebas de admisión universitarias. Para esto los factores de selección no considerados, son distribuidos proporcionalmente entre los restantes factores.
EDUCACIÓN
Art. primero 11)
D.O. 19.04.2023s de Enseñanza Media y Puntaje Ranking de Notas. Dejando en claro lo anterior, este grupo de postulantes tiene un cálculo de puntaje ponderado considerando solo los factores de selección de las pruebas de admisión universitarias. Para esto los factores de selección no considerados, son distribuidos proporcionalmente entre los restantes factores.
Las carreras completarán, entonces, sus vacantes, a partir del postulante que ocupa el primer lugar en sus listas de candidatos, en riguroso orden decreciente, hasta llenar los cupos establecidos, incluyendo también los sobrecupos. Los candidatos anteriores conformarán la lista de seleccionados o convocados de una determinada carrera. Los candidatos que, habiendo postulado a una carrera, no queden seleccionados y cumplan con los requisitos establecidos, pasarán a conformar la lista de espera de esa carrera, ordenándose en ella en forma decreciente de acuerdo con su puntaje.
Una vez que un postulante resulte seleccionado en una de sus opciones, el resto de sus postulaciones de menor preferencia serán eliminadas automáticamente. De este modo, ningún postulante podrá figurar en más de una lista de seleccionados. Lo anterior es sin perjuicio de que el postulante pueda figurar en una o más listas de espera.
En relación con lo anterior, la lista de convocados es la nómina que agrupa a los postulantes que, por su puntaje ponderado, se encuentran dentro de:
. las vacantes oficiales ofrecidas por la respectiva carrera: o,
. los sobrecupos que las universidades determinen para la respectiva carrera, de conformidad con la normativa vigente de cada institución.
De este modo, la referida lista de convocados para cada carrera está conformada tanto por postulantes como por vacantes ofrecidas, más los sobrecupos. Sin embargo, si hay igualdad de puntajes en el último lugar de estos cupos establecidos, esta lista puede ser más larga que el número de vacantes y sobrecupos ofrecidos.
Por su parte, la lista de espera contiene a todos los candidatos que no alcanzaron a quedar incluidos en la lista de convocados, ordenados por puntajes decrecientes, hasta el último que cumplió con los requisitos exigidos.
Las universidades deberán desplazar la lista de espera en caso de que la cantidad de matriculados, del total de convocados, sea inferior al número de vacantes oficiales ofrecidas y publicadas por la carrera, sin considerar los sobrecupos.
Las universidades deben informar, al menos a través de su sitio web institucional, el eventual desplazamiento de sus listas de espera, siendo deber del postulante estar atento a esta información.
Los postulantes seleccionados en la lista de convocados tienen derecho inmediato a matrícula en la institución de educación superior y programa que fue seleccionado.
Los postulantes podrán presentar una solicitud de verificación de resultados toda vez que sea necesario corregir algún error atribuible al procesamiento de información, modificación en las Notas de Enseñanza Media u otra situación que los afecte y que no sea de su responsabilidad. La respuesta a estos casos se dará a las partes interesadas a través de un Oficio de Verificación.
Las universidades adscritas al Sistema de Acceso deberán respetar las modificaciones que los Oficios de Verificación impliquen en los resultados de sus nóminas de convocados.
4.1.7.- Proceso de Matrícula
La matrícula consiste en la formalización de la admisión a la universidad, mediante un procedimiento administrativo de inscripción en la carrera en la que el postulante haya quedado seleccionado.
Se distinguen tres períodos de matrícula:
1) Primer período de matrícula: Este período se realizará durante los tres días siguientes a la publicación de los resultados del proceso de postulación centralizada. De esta forma, el estudiante podrá matricularse en la opción en la que figure como seleccionado o convocado, teniendo derecho a confirmar su matrícula dentro del plazo establecido. La universidad, por su parte, no podrá negarle dicho derecho. En caso de no concretar la matrícula en el período establecido, la vacante será liberada por la institución irrevocablemente.
2) Segundo período de matrícula: Consta de dos etapas y se inicia una vez terminado el período anterior, en caso de que la cantidad de alumnos matriculados sea inferior al número de vacantes regulares ofrecidas y publicadas por una carrera determinada.
En la primera etapa, las universidades podrán abrir un nuevo período de matrícula, dirigido a aquellos postulantes que se encuentren en las listas de espera de las carreras que aun cuenten con vacantes. Lo anterior permitirá matricular postulantes hasta completar el número de vacantes regulares informadas para cada carrera. Las universidades deberán informar, al menos a través de su sitio web institucional, la eventual apertura de vacantes dirigida a los postulantes que se encuentren en listas de espera, siendo deber de los mismos informarse de aquello.
La segunda etapa se activa en caso de que la universidad no hubiese podido completar sus vacantes regulares con el llamado de sus listas de espera. Esta podrá organizar autónomamente un proceso de repostulación en aquellas carreras en que ya haya agotado la convocatoria pública de la totalidad de la lista de espera, a través del cual se ofrecerán las vacantes disponibles en la carrera en cuestión. En caso de que las listas de espera sean insuficientes (esto es, por ejemplo, si luego del primer período de matrícula una carrera cuenta con más vacantes regulares disponibles que el largo de su lista de espera), la universidad podrá comenzar con sus procesos de repostulación de forma paralela al corrimiento de las listas de espera. La universidad deberá realizar la publicación de las carreras en sus portales web institucionales, pudiendo hacerlo a partir de las 18:00 horas del tercer día de matrícula. Asimismo, es responsabilidad de la universidad verificar que los candidatos cumplen con los requisitos mínimos de postulación exigidos para la carrera correspondiente. Las universidades podrán entregar información e iniciar inscripciones previas sobre sus procesos de repostulación a partir de las 18:00 horas del tercer día de matrícula, sin que estas acciones aseguren cupos a los postulantes.
Sin perjuicio de lo anterior, durante los diez días siguientes a la publicación de los resultados del proceso de postulación a las universidades adscritas al Sistema de Acceso, los estudiantes estarán habilitados a ejercer su derecho a retracto según lo indica el artículo 3º ter de la Ley Nº 19.496, en la medida que cumplan con los siguientes requisitos:
- Encontrarse matriculado como estudiante de primer año de una carrera o programa de pregrado del cual se quiere retractar.
- Acreditar ante la institución respecto de la cual se ejerce esta facultad, la matrícula vigente en otra institución de Educación Superior.
En el caso de que un estudiante se encuentre concretando una segunda matrícula en una universidad adscrita al Sistema de Acceso que implique un posterior retracto en otra de las universidades adscritas, la primera deberá informar respecto de la liberación de vacante a la institución en que el estudiante se encontraba matriculado originalmente.
Este segundo período se extenderá entre el cuarto y el décimo día siguientes al de la publicación de los resultados del proceso de postulación.
Durante el proceso de matrícula, las universidades se comprometen a entregar a la Subsecretaría de Educación Superior y/o al organismo técnico que ella designe, la nómina de sus matriculados en las carreras con postulación centralizada, siguiendo las especificaciones y calendario elaborados para estos efectos. La información capturada se utilizará para conformar el Archivo Centralizado, la gestión del proceso de matrícula, la validación de las vías de admisión y la generación de reportes del proceso de admisión.
3) Tercer período de matrícula: Concluido el segundo período de matrícula, cada universidad podrá establecer un nuevo periodo cuya finalidad será completar las vacantes regulares disponibles tras el término del período de retracto. Como principio general, se establece que en este periodo las universidades podrán matricular a todos aquellos postulantes que a la fecha no se encuentren matriculados en otra universidad adscrita al Sistema. En el caso de que al momento de la matrícula el postulante tenga vigente otra matrícula en alguna universidad adscrita al Sistema, la segunda universidad deberá seguir los procedimientos que determine la Subsecretaría de Educación Superior para la notificación y gestión de la matrícula en la primera. Las universidades que participen del tercer periodo de matrícula deberán informar al Sistema de Acceso las fechas y la contraparte establecida para el contacto entre instituciones. Dicha información será compartida a todas las universidades adscritas.
Durante el período de matrícula y según lo determine el Comité de Acceso, las universidades adscritas al Sistema recibirán información relativa a sus postulantes y seleccionados tendientes al desarrollo de un adecuado proceso de admisión.
4.2.- Admisión por Postulación Directa
La postulación directa registra la admisión a los programas mencionados en el numeral 4.1 a través de las siguientes vías:
a) Vía de admisión especial: orientada a la matrícula de estudiantes con trayectorias y cualidades diferentes. La selección de los postulantes se realiza utilizando los instrumentos generales de acceso y/o cumpliendo requisitos distintos a los definidos para la admisión regular de un determinado programa. De esta forma, para la selección de estudiantes por esta vía, podrán utilizarse alguna (s) de las siguientes opciones:
i. Los instrumentos de acceso establecidos en el numeral 4.1.1, con ponderaciones distintas a las establecidas en la vía de admisión regular.
ii. Los instrumentos de acceso establecidos en el numeral 4.1.1, con requisitos adicionales a los establecidos en dicha vía.
iii. Otros instrumentos de acceso.
iv. Una mezcla de las alternativas anteriores.
b) Vía de admisión habilitación pedagogías: es aquella admisión relacionada con estudiantes que cumplen los requisitos establecidos por el artículo trigésimo sexto transitorio de la ley 20.903 para cursar carreras de pedagogía, pero que no cumplen necesariamente con los requisitos adicionales dispuestos por la universidad para su matrícula en esas carreras.
Se hace expresa mención de que los estudiantes así admitidos a las correspondientes universidades no serán considerados como parte de la admisión especiai.
En el caso de las carreras de pedagogía, la admisión especial estará reservada para aquellos estudiantes en situación de discapacidad que cumplan con los requisitos consignados en el Dictamen Nº 20.264 de 10 de agosto de 2018 de la Contraloría General de la República.
Las universidades podrán matricular hasta un 20% de su admisión a primer año por la vía de admisión especial. En zonas extremas(¹), esto es, en las regiones de Arica y Parinacota, Tarapacá, Aysén del General Carlos Ibáñez del Campo, y Magallanes y Antártica Chilena, y en las provincias de Chiloé y Palena, este porcentaje alcanzará el 25%.
Por otra parte, la admisión por postulación directa a programas no descritos en el numeral 4.1 se regirá por los procesos e instrumentos de acceso que defina cada universidad, cumpliendo con los principios generales que establece la normativa del Sistema de Acceso. Sin perjuicio de lo anterior, cada universidad deberá presentar para la aprobación del Comité los instrumentos específicos de acceso, si los tuviere.
Si una universidad decide incorporar carreras distintas de las consignadas en el numeral 4.1 al proceso de postulación centralizada, deberá aplicar los instrumentos y procesos indicados en dicho numeral, considerándose la admisión especial que realice a estas carreras, dentro del 20% o 25% total permitido para la institución, según corresponda.
5.- Adscripción al Sistema de Acceso
Las universidades que deseen adscribir al Sistema de Acceso deberán informar de tal decisión a la Subsecretaría de Educación Superior dentro de los plazos que estipule el Comité.
Las universidades que adscriban al Sistema deberán:
1. Cumplir las normas del Sistema de Acceso, las que se encuentran establecidas, entre otros, en los siguientes documentos:
a. Acuerdos del Comité y actos administrativos en los que se establezcan los procedimientos e instrumentos del Subsistema Universitario.
b. Los documentos oficiales que cada año guíen las etapas del respectivo proceso de admisión.
2. Entregar en los plazos establecidos e informados por la Subsecretaría de Educación Superior y/o la institución encomendada para ejecutar las acciones del Sistema de Acceso, la información relativa a vacantes, requisitos, procesos de admisión y otros solicitada por la Subsecretaría de Educación Superior, para efectos de su incorporación en la plataforma electrónica única, del desarrollo adecuado de los procesos de selección y matrícula, y de la elaboración de estudios y evaluaciones dirigidas al mejoramiento del sistema.
3. Utilizar la información que obtengan como consecuencia de su participación en el Sistema solo para los procesos directamente relacionados con la admisión universitaria.
4. Evitar la publicidad y las prácticas de difusión que sean inconsistentes con lo expuesto en el presente documento, como asimismo en los acuerdos del Comité y en los actos administrativos de la Subsecretaría de Educación Superior que establezcan los procedimientos e instrumentos del Sistema de Acceso.
5. Determinar los requisitos y criterios de admisión que exigirán para ingresar a las carreras y programas de estudio, en el marco general establecido en el presente documento.
6. Respetar la calendarización, criterios y procedimientos establecidos para las etapas del proceso de matrícula.
7. Cancelar el arancel anual que le corresponda a la institución según los criterios definidos por el Ministerio de Educación.
8. Ofrecer, en caResolución 2217 EXENTA,
EDUCACIÓN
Art. primero 12)
D.O. 19.04.2023so de ser determinado por cada universidad, beneficios estudiantiles económicos a los postulantes. Estos beneficios no podrán ser entregados según criterios que consideren el orden de preferencias señalado durante el proceso de postulación centralizada.
EDUCACIÓN
Art. primero 12)
D.O. 19.04.2023so de ser determinado por cada universidad, beneficios estudiantiles económicos a los postulantes. Estos beneficios no podrán ser entregados según criterios que consideren el orden de preferencias señalado durante el proceso de postulación centralizada.
6.- Publicación y actualización de oferta académica
La Subsecretaría de Educación Superior publicará anualmente un calendario de actualización de información relativa a la oferta académica.
Sólo deberán reflejarse en la página web de la universidad las modificaciones a la oferta centralizada que se realicen en los períodos intermedios que no modifiquen los datos requeridos para la ejecución del proceso de postulación centralizada (código carrera, vacantes, cupos y sobrecupos, ponderaciones, prueba electiva, prueba específica si fuese el caso).
Las modificaciones a la oferta directa que se realicen en los períodos intermedios deberán reflejarse en la página web de la Universidad.
______________
(1) Los lugares que constituyen las zonas extremas de Chile están establecidos en la Ley Nº 20.655 de Zonas Extremas.
Cualquier situación irregular que se detecte durante el desarrollo de los procesos del Sistema de Acceso y que afecte o involucre a alguna de las instituciones adscritas al Sistema, podrá ser puesta a disposición de la Superintendencia de Educación Superior, la que evaluará y definirá las alternativas a seguir.
Artículo segundo: En virtud de lo dispuesto en el artículo primero, numeral 4.1.5., párrafo tercero, para los procesos de admisión 2023 y 2024, se considerará para la postulación con la prueba de Competencia Matemática 1 el puntaje más alto obtenido entre la prueba de admisión universitaria de Matemáticas vigente o el puntaje obtenido en la prueba de Competencia Matemática 1. Por su parte, se considerará para la postulación a carreras que requieran la prueba de Competencia Matemática 2, el puntaje más alto obtenido entre la prueba de admisión universitaria de Matemáticas vigente o el puntaje obtenido en la prueba de Competencia Matemática 2.
Artículo cuarto: Archívese copia del presente acto administrativo conjuntamente con la resolución exenta Nº 4.819, de 2020, y con las resoluciones exentas Nº 3.465 y Nº 4.633, de 2021; Nº 201, Nº 569, Nº 1.748, Nº 1.959, Nº 2.445 y Nº 2.907, Nº 3.351 y Nº 4.494, de 2022, todas de la Subsecretaría de Educación Superior.
Anótese, notifíquese y publíquese en la página web del Ministerio de Educación y en el Diario Oficial.- Verónica Figueroa Huencho, Subsecretaria de Educación Superior.