OTORGA CONCESIÓN DE SERVICIO PÚBLICO DE TELECOMUNICACIONES A LA EMPRESA ENTEL PCS TELECOMUNICACIONES S.A. PARA LA COMUNA DE ÑUÑOA EN LA BANDA DE FRECUENCIAS DE 27,1 - 27,5 GHZ
Santiago, 17 de mayo de 2022.- Con esta fecha se ha decretado lo que sigue:
Núm. 130.
Vistos:
a) El decreto ley Nº 1.762, que crea la Subsecretaría de Telecomunicaciones.
b) La Ley Nº 18.168, General de Telecomunicaciones, en adelante "la ley".
c) La ley N° 19.880, que establece bases de los procedimientos administrativos que rigen los actos de los órganos de la Administración del Estado.
d) El decreto supremo Nº 412, de 1995, del Ministerio de Transportes y Telecomunicaciones, que reglamenta el concurso público a que se refiere el artículo 13 C de la ley, para otorgar concesiones de servicios públicos de telecomunicaciones, en adelante "el Reglamento".
e) La resolución exenta N° 836, de 2020, de la Subsecretaría de Telecomunicaciones, que fija la norma técnica para el uso de la banda de frecuencias 25,9 – 27,5 GHz.
f) El aviso publicado en el Diario Oficial los días 1 y 17 de agosto de 2020, que llama a cuatro concursos públicos para el otorgamiento de concesiones de servicios de telecomunicaciones que operen redes inalámbricas de alta velocidad.
g) La resolución exenta Nº 1.368, del 14 de agosto de 2020, de la Subsecretaría de Telecomunicaciones, que aprueba bases del concurso público para otorgar concesiones de servicio de telecomunicaciones que operen una red inalámbrica de alta velocidad (5G o superior) en la banda de frecuencias de 25,90 – 27,50 GHz, así como también sus modificaciones posteriores, aprobadas mediante las resoluciones exentas Nº 1.885/2020 y Nº 1.959/2020, todas del mismo origen, en adelante "las Bases del Concurso".
h) La resolución exenta N° 1.999, de 27 de octubre de 2020, que establece requisitos básicos del plan de uso efectivo y eficiente del espectro radioeléctrico que debe acompañar cada asignatario de los "concursos públicos 5G".
i) La resolución exenta Nº 85, de 15 de enero de 2021, del Ministerio de Transportes y Telecomunicaciones, que adjudica el concurso público que tiene por objeto otorgar concesiones de servicio de telecomunicaciones que operen redes inalámbricas de alta velocidad (exclusivamente 5G o superior) en la banda de frecuencias de 25,90 – 27,50 GHz a las empresas Claro Chile S.A., Entel PCS Telecomunicaciones S.A. y Wom S.A.
j) La resolución exenta N° 182, de 25 de enero de 2021, del Ministerio de Transportes y Telecomunicaciones, que asigna una concesión de servicio público de telecomunicaciones a la empresa Entel PCS Telecomunicaciones S.A. para la comuna de Ñuñoa en la banda de frecuencias 27,1 - 27,5 GHz.
k) La resolución N° 7, de 2019, de la Contraloría General de la República, que fija normas sobre exención del trámite de toma de razón.
Considerando:
a) Que, mediante avisos publicados en el Diario Oficial los días 1 y 17 de agosto de 2020, el Ministerio de Transportes y Telecomunicaciones, en adelante "el Ministerio", efectuó el llamado a concurso público para otorgar concesiones de servicio de telecomunicaciones que operen redes inalámbricas de alta velocidad (exclusivamente 5G o superior) en la banda de frecuencias de 25,90 - 27,50 GHz, en adelante "el Concurso 26 GHz". Ello se hizo en conformidad con las disposiciones del artículo 13° C de la ley y del artículo 4º del Reglamento.
b) Que las Bases del Concurso fueron aprobadas mediante la resolución exenta Nº 1.368, de 14 de agosto de 2020, de la Subsecretaría de Telecomunicaciones, en adelante "la Subsecretaría" o "Subtel", y enmendadas en dos oportunidades: por medio de la resolución exenta Nº 1.885, de 13 de octubre de 2020, y por la resolución exenta Nº 1.959, de 20 de octubre de 2020, ambas de la Subsecretaría.
c) Que los ingresos Subtel N° 287.974, N° 287.997 y N° 288.008, todos de fecha 18 de noviembre de 2020, dan cuenta de la solicitud de concesión presentada al Ministerio por la empresa Entel PCS Telecomunicaciones S.A. respecto de la comuna de Ñuñoa en el marco del concurso público sobre la banda de frecuencias 26 GHz. La garantía de seriedad de la solicitud presentada por la empresa quedó registrada con el ingreso Subtel N° 287.207, de 2020.
d) Que, con fecha 19 de noviembre de 2020, se procedió a la apertura de las postulaciones presentadas al Concurso por las empresas Claro Chile S.A., Entel PCS Telecomunicaciones S.A. y Wom S.A. Enseguida, la Comisión Evaluadora procedió a estudiar dichas solicitudes de concesión, concluyendo con un Informe Final de Evaluación remitido por la Subsecretaría a este Ministerio a través del memorando GAB Nº 168, de 15 de enero de 2021, de Subtel.
e) Que, mediante la resolución exenta N° 85, de 15 de enero de 2021, del Ministerio, se adjudicó el Concurso a las empresas postulantes Claro Chile S.A., Entel PCS Telecomunicaciones S.A. y Wom S.A. Asimismo, en esta resolución se requirió a los postulantes señalar la preferencia del bloque de espectro para ser atribuido a sus concesiones. Al efecto, teniendo en cuenta que el derecho para elegir el bloque de preferencia correspondió en primer lugar al postulante con más comunas adjudicadas en el Concurso 26 GHz, que en el caso de la especie resultó ser la empresa Claro Chile S.A., cabe puntualizar que esta compañía eligió el bloque 3 (26,7 - 27,1 GHz) mediante el ingreso Subtel N° 10.757/2021. Por su parte, Entel PCS Telecomunicaciones S.A. eligió el bloque 4 (27,1 – 27,5 GHz), a través del ingreso Subtel N° 10.824/2021, mientras que la empresa Wom S.A. quedó con el bloque 1 (25,9 - 26,3 GHz) en virtud del ingreso Subtel N° 10.898/2021.
f) Que la resolución exenta N° 182, de 25 de enero de 2021, del Ministerio, asignó una concesión de servicio público de telecomunicaciones a la empresa Entel PCS Telecomunicaciones S.A., sobre la comuna de Ñuñoa y en la banda de frecuencias 27,1 - 27,5 GHz. En esta resolución se fijó un plazo de 10 días hábiles, contados desde la publicación del extracto en el Diario Oficial, para que cualquier persona que tenga interés en ello pueda efectuar una reclamación en contra de esa decisión administrativa.
g) Que el extracto de la citada resolución N° 182 fue oportunamente publicado en el Diario Oficial con fecha 2 de febrero de 2021 y en el medio electrónico http://legales.cooperativa.cl, con fecha 29 de enero de 2021, de modo que, habiendo transcurrido el plazo de 10 días hábiles previsto para las reclamaciones, sin que éstas se hayan producido, corresponde a este Ministerio dictar el decreto que otorga la respectiva concesión en conformidad con lo dispuesto en la ley y en el Reglamento.
Decreto:
Otórgase una concesión de servicio público de telecomunicaciones a la empresa Entel PCS Telecomunicaciones S.A., RUT N° 96.806.980-2, con domicilio en Amunátegui 20, comuna de Santiago, Región Metropolitana, a los efectos de que ella sea instalada, operada y explotada en la banda de frecuencias de 27,1 - 27,5 GHz para la atención de la comuna de Ñuñoa.
1. La presente concesión de servicio público de telecomunicaciones se compone de los elementos y características indicadas a continuación:
- Titular : Entel PCS Telecomunicaciones S.A.
- Tipo de servicio : servicio público de
telecomunicaciones.
- Prestación específica : transmisión de datos.
- Período de la concesión : 30 años.
- Zona de servicio : área de cobertura georreferenciada
que ha sido comprometida para cada
una de las estaciones base incluidas
en el proyecto técnico presentado
respecto de la comuna de Ñuñoa.
- Banda de frecuencias : 27,1 - 27,5 GHz.
- Ancho de banda máximo : 400 MHz.
por portadora
- Potencia máxima de : 0,5 W.
salida del transmisor
(antes de la antena)
- Características : sistema de antenas activo
técnicas de los 5G Massive MIMO, de 28,5
sistemas radiantes dBi de ganancia máxima.
- Estándar tecnológico : al menos Release 15 - 3GPP
con interfaz de radio "NR"
(New Radio).
- Tasa de transferencia : 360 Mbps bajada (downlink)
de datos mínima y 30 Mbps subida (uplink).
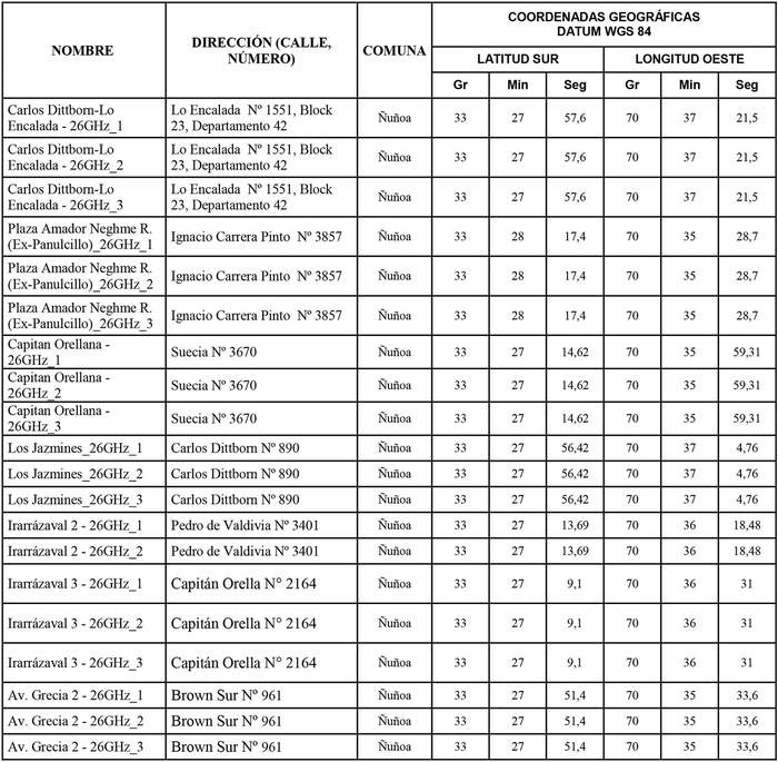
- Ubicación de las radioestaciones:

- Propiedad de los medios de transmisión (fibra óptica, enlace microondas o enlace satelital): propios y de terceros debidamente autorizados.
- Plazo para el inicio de : 1 mes, contado desde la
las obras fecha de publicación en
el Diario Oficial del
presente decreto.
- Plazo para el término : 22 meses, contados desde la
de las obras fecha de publicación en el
Diario Oficial del
presente decreto.
- Plazo para el inicio : 24 meses, contados a partir
del servicio de la fecha de publicación
en el Diario Oficial
del presente decreto.
- Tipo de cobertura : outdoor, sin perjuicio de
que se pueda desplegar también
cobertura del tipo indoor.
2. Apruébase el proyecto técnico presentado por el concesionario, que se adjudicó el concurso público, en lo relacionado con los sistemas y equipos de telecomunicaciones autorizados en el presente decreto, conforme a las disposiciones técnico-legales que rigen el servicio de telecomunicaciones concedido. La documentación respectiva quedará archivada en la Subsecretaría de Telecomunicaciones.
3. La presente concesión se otorga en conformidad a lo dispuesto en la Ley N° 18.168, General de Telecomunicaciones, y queda sometida a todas las disposiciones de esta ley así como a sus reglamentos, planes técnicos fundamentales y normas técnicas que se encuentren vigentes o que se dicten en el futuro. Asimismo, la concesión que se otorga por este acto no exime del cumplimiento de las demás obligaciones legales, tales como el acatamiento de la legislación urbanística, ambiental u otra que resulte particularmente aplicable.
De igual modo, se deja expresamente establecido, conforme previene el artículo 3° del decreto supremo N° 412, de 1995, del Ministerio de Transportes y Telecomunicaciones, que la concesión no podrá ser modificada en el sentido de alterar las exigencias contempladas en las Bases del Concurso que lo presidió. Asimismo, el incumplimiento de la obligación de explotar el servicio concedido de acuerdo a los plazos o etapas comprometidos en el proyecto técnico que se tuvo presente para asignar la concesión, faculta a la Subsecretaría de Telecomunicaciones para hacer efectiva la garantía que cautela el fiel, íntegro y oportuno cumplimiento de la ejecución del proyecto técnico comprometido.
4. El concesionario deberá publicar el presente decreto en el Diario Oficial dentro de los 10 días hábiles siguientes a la notificación del mismo por la Subsecretaría, conforme a lo establecido en el inciso cuarto del artículo 13 C de la ley.
Anótese, tómese razón, comuníquese, notifíquese al interesado y publíquese en el Diario Oficial.- Por orden del Presidente de la República, Claudio Araya San Martín, Ministro de Transportes y Telecomunicaciones (S).