APRUEBA PLANES OPERACIONALES DE TRABAJO (POT), PRESENTADOS POR PRODUCTORES UBICADOS EN ÁREAS REGLAMENTADAS POR POLILLA DEL RACIMO DE LA VID (LOBESIA BOTRANA), EN LA REGIÓN DEL L.B. O'HIGGINS, TEMPORADA 2022-2023
Núm. 2.567 exenta.- Rancagua, 13 de diciembre de 2022.
Vistos:
Lo dispuesto en la Ley Nº 18.755, Orgánica del Servicio Agrícola y Ganadero (SAG); el decreto ley Nº 3.557, de 1980, que establece disposiciones sobre Protección Agrícola; resolución exenta Nº 3.080 de 2003, y sus modificaciones, que establece criterios de regionalización en relación a las plagas cuarentenarias para el territorio de Chile; resolución exenta Nº 5.916, del 21 de octubre de 2016, que declara el Control Obligatorio de la plaga Polilla del Racimo de la Vid (Lobesia botrana), modificada por las resoluciones 3.213, del 25 de mayo de 2017, y 6.810, del 29 de agosto de 2019; resolución Nº 3.822, del 5 de julio de 2022, que aprueba la Estrategia del Programa Nacional Lobesia botrana temporada 2022-2023; resolución regional 1.390, del 23 de diciembre de 2019, que establece el Control Obligatorio de la plaga Polilla del Racimo de la Vid (Lobesia botrana) en la Región del Libertador Bernardo O'Higgins; resolución exenta RA Nº 240/210/2021, de fecha 17 de febrero de 2021, de la Dirección Nacional del Servicio Agrícola y Ganadero.
Considerando:
1. Que, es de competencia del Servicio Agrícola y Ganadero formular los programas de acción frente a las plagas silvoagropecuarias existentes en el país, con el fin de resguardar el patrimonio fitosanitario nacional.
2. Que mediante resolución exenta Nº 5.916 de 2016, y sus modificaciones, se declara el control obligatorio de la Polilla del Racimo de la Vid, Lobesia botrana, el cual se aplicará a todas las variedades de la especie vid vitis vinifera u otras especies vegetales que sean afectadas por la plaga.
3. Que, el resuelvo Nº 1 de la resolución exenta Nº 3.213, que sustituye el resuelvo Nº 3 de la resolución Nº 5.916 de 2016, que declara el control obligatorio de la Polilla del Racimo de la Vid (Lobesia botrana), establece que: "Los productores afectados deberán presentar al SAG un Plan Operacional de Trabajo (POT), el cual contendrá el programa de control para Lobesia botrana, un catastro de las especies y variedades presentes en el huerto o predio, el destino de la producción de Vitis vinifera, o de alguna otra especie vegetal sobre la cual se haya establecido una resolución para el control de la plaga, y el manejo de los desechos, cuando corresponda. Este POT deberá ser revisado por esta autoridad para verificar si establece medidas fitosanitarias, plazo y condiciones de cumplimiento que garanticen la contención, erradicación y supresión, según corresponda, de la plaga, el cual deberá ser autorizado mediante resolución del Director Regional o Jefe de Oficina correspondiente que esté a cargo del control oficial de Lobesia botrana.
De igual modo, todos aquellos que utilicen frutos, plantas, partes de plantas o cualquier otro artículo reglamentado que sea susceptible de transportar o dispersar la plaga en sus procesos de producción, o comercialización o prestación de servicios, tales como Plantas Frigoríficas o Exportadoras; embaladoras de fruta fresca (packing); elaboradoras de vino; elaboradoras de pisco; elaboradoras de jugo; elaboradoras de fruta en conserva; deshidratadoras; secaderos de frutas; empresas de congelados; comercializadores o intermediarios; centros de acopio; viveros de vides o especies reglamentadas o que comercialicen vides o especies reglamentadas; empresas prestadoras de servicios o arriendo de maquinaria agrícola, que operen al interior de áreas reglamentadas o con plantas o productos regulados por esta resolución u otra generada al amparo de ésta y que sean provenientes de un área reglamentada, deberán presentar un POT para funcionar de un modo que asegure los objetivos del Control Obligatorio de Lobesia botrana.
El Plan Operacional de Trabajo aprobado por el Servicio tendrá carácter obligatorio y será fiscalizado y sancionado por esta autoridad conforme a lo establecido en el DL Nº 3.557, sobre Protección Agrícola."
4. Que, el resuelvo Nº 2 de la resolución exenta Nº 3.213, que se agrega al principio del resuelvo Nº 12 de la resolución Nº 5.916 de 2016, que declara el control obligatorio de la Polilla del Racimo de la Vid (Lobesia botrana), establece que: "Todos los huertos de la especie vid, o de otras especies reglamentadas, ubicados dentro del área reglamentada, estarán sujetos a las medidas fitosanitarias antes señaladas, específicamente de acuerdo a lo establecido en el Plan Operacional de Trabajo aprobado por el SAG y deberán ser inscritos en la Oficina Sectorial SAG correspondiente, o a través de otro sistema que el Servicio determine, señalando una estimación de su producción por especie, variedad y uso a la que se destinará. Esta información será protegida conforme lo establecido en la normativa vigente".
5. Que, fueron presentados Planes Operacionales de Trabajo (POT) por los afectados, de acuerdo a la estrategia para la temporada 2022/2023 y, en consecuencia, procede que esta autoridad apruebe dichos planes por resolución exenta.
6. Las facultades que me otorga la resolución exenta RA Nº 240/210/2021, de fecha 17 de febrero de 2021, de la Dirección Nacional del Servicio Agrícola y Ganadero.
Resuelvo:
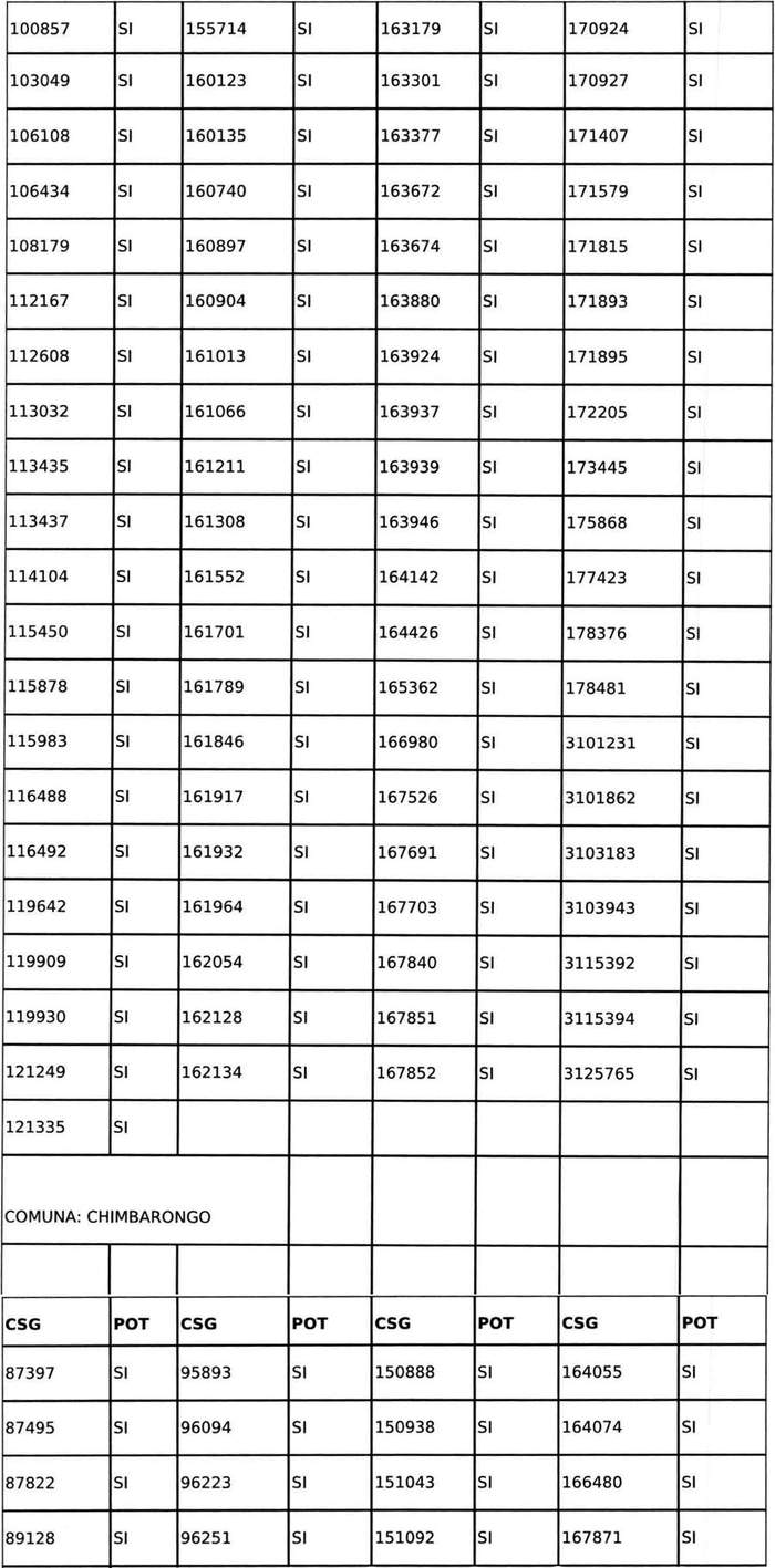
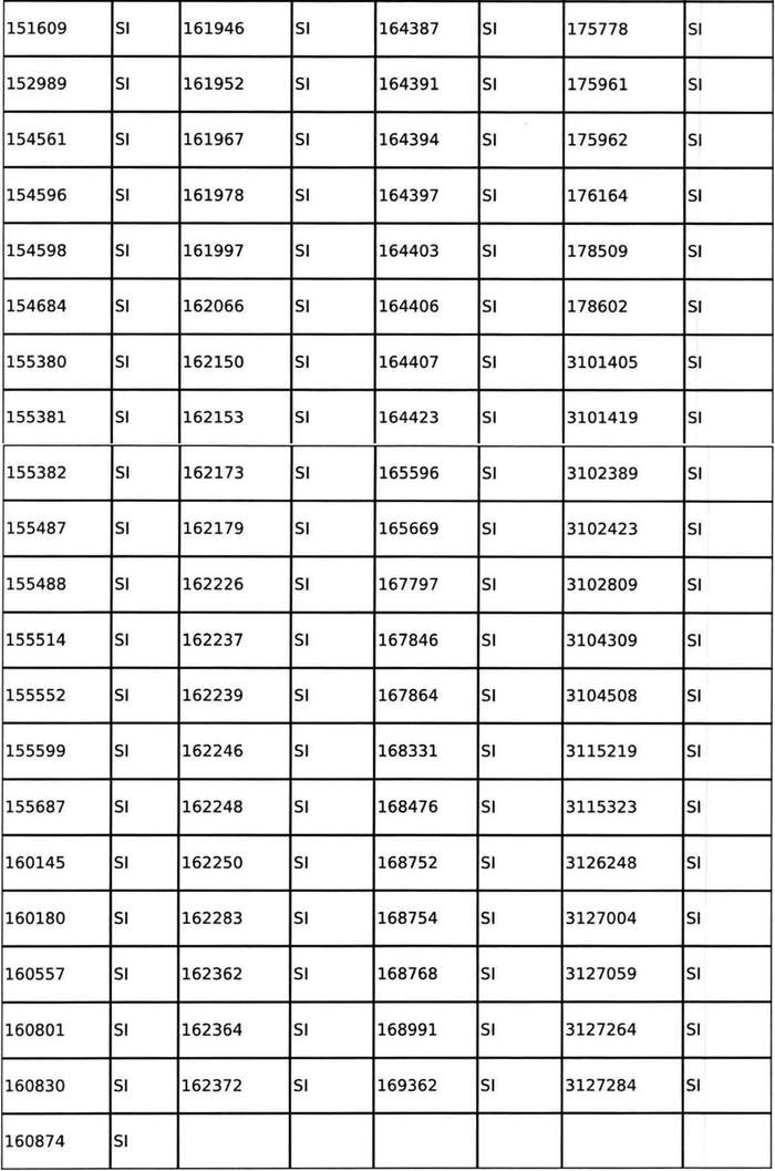
1. Apruébense los siguientes Planes Operacionales de Trabajo (POT) presentados por productores de áreas reglamentadas en la temporada 2022-2023 de acuerdo a las comunas y códigos CSG que se señalan a continuación:
























Anótese, comuníquese y publíquese.- Luis Claudio Marcelo Rodríguez Fuentes, Director Regional Región de O'Higgins, Servicio Agrícola y Ganadero.