FIJA VALOR DEL ARANCEL REGULADO EN EL MARCO DEL FINANCIAMIENTO INSTITUCIONAL PARA LA GRATUIDAD, PARA EL AÑO ACADÉMICO 2023
Núm. 32 exento.- Santiago, 11 de enero de 2023.
Considerando:
1º. Que, el Título V de la Ley Nº 21.091, sobre Educación Superior, en adelante e indistintamente, "Ley N° 21.091" o "Ley de Educación Superior", regula el Financiamiento Institucional para la Gratuidad, cuyas normas deben aplicarse considerando lo establecido en el párrafo 7º de las disposiciones transitorias de dicha ley y lo dispuesto en el Decreto N° 333, de 2019, del Ministerio de Educación que aprueba Reglamento del Financiamiento Institucional para la Gratuidad, en adelante e indistintamente, el "Reglamento de Gratuidad" o el "Decreto N° 333".
2º. Que, de acuerdo al artículo trigésimo octavo transitorio de la Ley N° 21.091 ya mencionada, mientras no se encuentren vigentes las resoluciones exentas que establezcan los valores regulados de arancel, derechos básicos de matrícula y cobros por concepto de titulación o graduación, dictadas en conformidad a lo establecido en el Título V, la fórmula de cálculo de arancel regulado de los grupos de carreras o programas de estudio se establecerá mediante Decreto del Ministerio de Educación, suscrito por el Ministro de Hacienda.
3º. Que, en tal sentido, mediante Decreto N° 75, de 2016, modificado por el Decreto N° 135, de 2018, ambos del Ministerio de Educación, se dispuso la fórmula de cálculo del arancel regulado, en el marco de la asignación presupuestaria financiamiento del acceso gratuito a las Instituciones de Educación Superior.
4º. Que, de acuerdo con lo establecido en los artículos 1 y 2 del Decreto N° 75 precitado, el cálculo del arancel regulado correspondiente a las Universidades, Institutos Profesionales, y Centros de Formación Técnica, considera una serie de procesos, que se ejecutarán en orden sucesivo, siendo el primero de ellos la determinación de grupos de programas de estudio y los aranceles de referencia promedio por grupo.
5º. Que, en consecuencia, los grupos de programas de estudio se elaborarán considerando únicamente aquellas carreras de pregrado de modalidad presencial, que tengan asignado un arancel de referencia 2017, fijado por parte del Ministerio de Educación, a través del Decreto Exento N° 204, modificado mediante el Decreto Exento N° 616, ambos de 2017, del Ministerio de Educación.
6º. Que, acto seguido, para conformar los grupos de programas de estudio antedichos, se considera como un elemento diferenciador las Sub Áreas del conocimiento establecidas por la Organización para la Cooperación y el Desarrollo Económicos (OCDE), considerando de forma independiente a ellas las carreras de Medicina, Odontología y Pedagogía. Esta clasificación se estableció mediante la Resolución Exenta N° 5, de 2019, del Ministerio de Educación, modificada por las Resoluciones Exentas N°s 227, 2.655, ambas de 2020; 1.279 y 5.187, ambas de 2021; 316 y 2.436, ambas de 2022, y la Resolución Exenta N° 28, de 2023, todas de la Subsecretaría de Educación Superior.
7º. Que, por su parte, en el caso de los aranceles regulados para las Universidades establecido en el artículo 1 del Decreto N° 75, de 2016, modificado por el Decreto N° 135, de 2018, ambos del Ministerio de Educación, estos se incrementarán en un 3% en el caso de las Universidades que cuenten con 3 o 4 años de acreditación institucional y además se encuentren acreditadas en el área de investigación; en un 6% en el caso de las Universidades que cuenten con 5 o 6 años de acreditación institucional y además se encuentren acreditadas en el área de investigación; y en un 12% para aquellas Universidades que cuenten con 7 años de acreditación institucional y además se encuentren acreditadas en el área de investigación. Para tales efectos, se consideraron las referidas acreditaciones al día 31 de diciembre de 2022 según lo informado por la Comisión Nacional de Acreditación.
8º. Que, por su parte, y de conformidad a lo establecido en el referido artículo trigésimo octavo transitorio de la Ley N° 21.091, el Ministerio de Educación publicó el arancel regulado para el año académico 2022, calculado según el procedimiento antes descrito y contenido en el Decreto Exento N° 33, modificado por el Decreto Exento N° 458, ambos de 2022, del Ministerio de Educación, que fija valor del arancel regulado en el marco del financiamiento institucional de la gratuidad.
9º. Que, acto seguido, la norma establece que dicho arancel deberá ser actualizado anualmente de acuerdo a la variación que experimente el Índice de Precios al Consumidor. Así, la ley establece que, para cada año, "el arancel regulado de cada carrera o programa de estudio en cada institución será asignado según el grupo que le corresponda de acuerdo al nivel, años y áreas o dimensiones en que esté acreditada al 31 de diciembre del año anterior".
10º.Que, mediante Resolución Exenta N° 4.901, de 2022, de la Subsecretaría de Educación Superior, se fijó la nómina de Instituciones de Educación Superior adscritas al financiamiento institucional de la gratuidad para el año académico 2023.
11º.Que, en virtud de lo expuesto, corresponde dictar el acto administrativo que fija el arancel regulado para los programas impartidos por las Instituciones de Educación Superior adscritas a gratuidad para el año académico 2023.
Visto:
Lo dispuesto en la Ley Nº 18.575 Orgánica Constitucional de Bases Generales de la Administración del Estado, cuyo texto refundido, coordinado y sistematizado fue fijado por el Decreto con Fuerza de Ley N° 1/19.653, de 2000, del Ministerio Secretaría General de la Presidencia; en la Ley Nº 19.880, de 2003, que establece Bases de los Procedimientos Administrativos que rigen los actos de los Órganos de la Administración del Estado; en la Ley Nº 18.956, de 1990, que reestructura el Ministerio de Educación Pública; en la Ley N° 20.129, de 2006, que establece un Sistema Nacional de Aseguramiento de la Calidad de la Educación Superior; en la Ley N° 20.842, de 2015, que crea las Universidades Estatales de la Región de O'Higgins y de la Región de Aysén; en la Ley N° 20.910, de 2016, que crea quince Centros de Formación Técnica Estatales; en la Ley N° 21.091, de 2018, sobre Educación Superior; en la Ley N° 21.094, de 2018, sobre Universidades Estatales; en el Decreto con Fuerza de Ley N° 3, de 2019, del Ministerio de Educación; en el Decreto N° 19, de 2001, del Ministerio Secretaría General de la Presidencia; en el Decreto N° 75, de 2016, del Ministerio de Educación y sus modificaciones; en el Decreto N° 235, de 2019, del Ministerio de Educación; en los Decretos Exentos N°s 204 y 616, ambos de 2017, del Ministerio de Educación; en los Decretos Exentos N°s 33 y 458, ambos de 2022, del Ministerio de Educación; en la Resolución Exenta N° 1.672, de 2018, del Ministerio de Educación; en la Resolución Exenta N° 5, de 2019, del Ministerio de Educación; en las Resoluciones Exentas N°s 227 y 2.655, ambas de 2020, de la Subsecretaría de Educación Superior; en las Resoluciones Exentas N°s 1.279, N° 5.187, ambas de 2021, de la Subsecretaría de Educación Superior; en las Resoluciones Exentas N°s 316, 2.436 y 4.901, todas de 2022, de la Subsecretaría de Educación Superior; en la Resolución Exenta N° 28, de 2023, de la Subsecretaría de Educación Superior; en el Memorándum N° 06/21, de 2023 del Jefe del Departamento de Financiamiento Estudiantil de la Subsecretaría de Educación Superior y en las Resoluciones N°s 7 y 14, de 2019 y 2022, respectivamente, de la Contraloría General de la República.
Decreto:
Artículo único: Fíjase Decreto 1022 EXENTO,
EDUCACIÓN
Art. primero
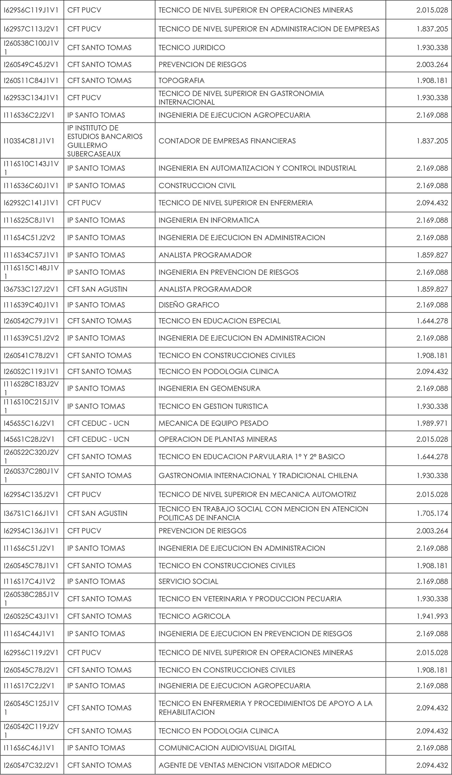
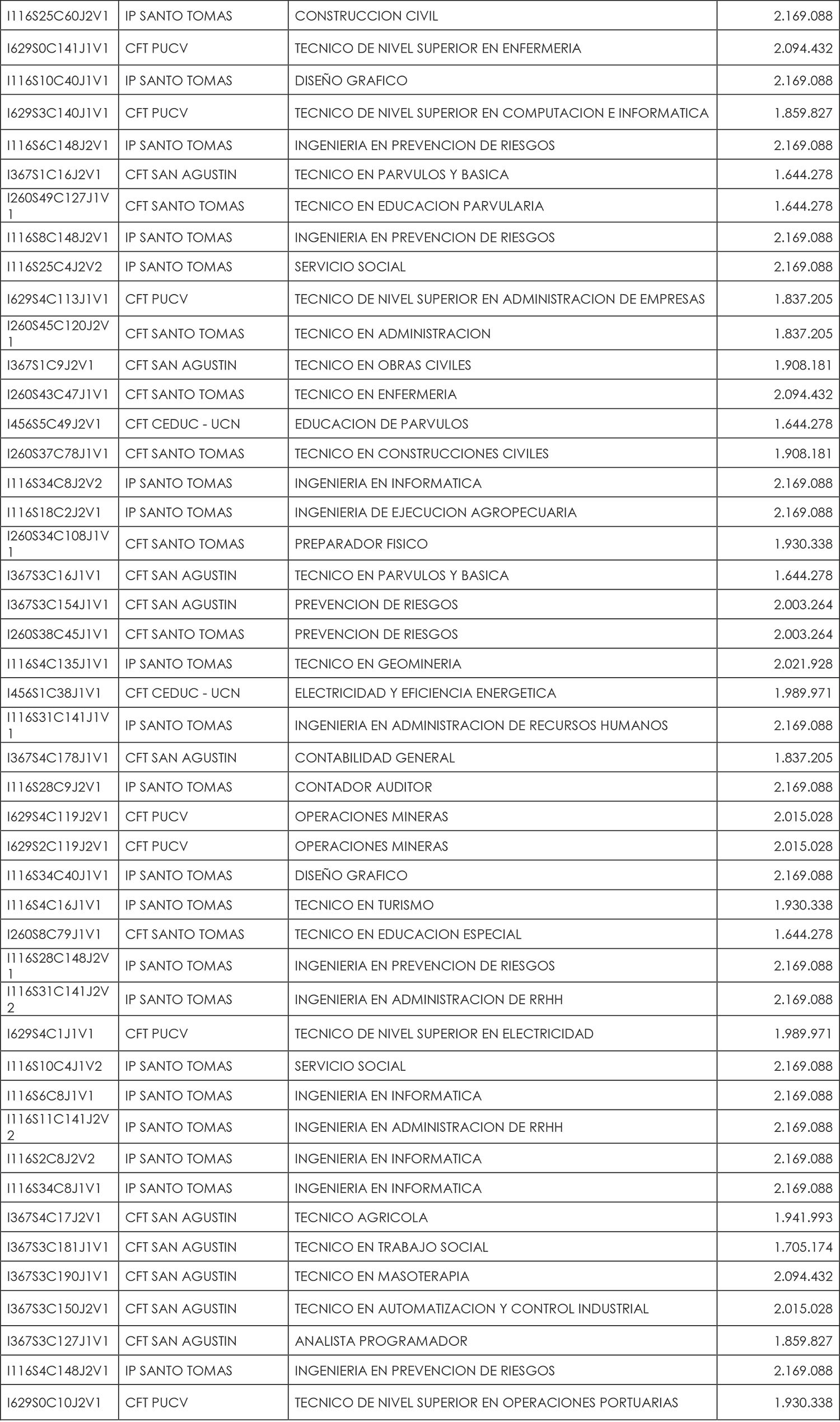
D.O. 31.10.2023el arancel regulado para los programas impartidos por las Instituciones de Educación Superior adscritas a gratuidad, de conformidad al contenido de la siguiente tabla:
EDUCACIÓN
Art. primero
D.O. 31.10.2023el arancel regulado para los programas impartidos por las Instituciones de Educación Superior adscritas a gratuidad, de conformidad al contenido de la siguiente tabla:



















































































































































































































































Anótese y publíquese en el Diario Oficial y en la página web www.mineduc.cl.- Por orden del Presidente de la República, Marco Antonio Ávila Lavanal, Ministro de Educación.
Lo que transcribo para su conocimiento, decreto exento que fija valor del arancel regulado en el marco del Financiamiento Institucional para la Gratuidad, para el año académico 2023.- Saluda atentamente a Ud., Verónica Figueroa Huencho, Subsecretaria de Educación Superior.