FIJA VALOR ANUAL DE LAS INSTALACIONES DE TRANSMISIÓN NACIONAL, ZONAL Y DE LAS INSTALACIONES DE TRANSMISIÓN DEDICADA UTILIZADAS POR PARTE DE LOS USUARIOS SOMETIDOS A REGULACIÓN DE PRECIOS
Núm. 7 T.- Santiago, 25 de abril de 2022.
Vistos:
Lo dispuesto en el artículo 35 de la Constitución Política de la República; en el Decreto Ley N° 2.224, de 1978, del Ministerio de Minería, que crea el Ministerio de Energía y la Comisión Nacional de Energía; en el Decreto con Fuerza de Ley Nº 4/20.018, de 2006, del Ministerio de Economía, Fomento y Reconstrucción, que fija texto refundido, coordinado y sistematizado del Decreto con Fuerza de Ley Nº 1, de Minería, de 1982, Ley General de Servicios Eléctricos, en materia de energía eléctrica, y sus modificaciones posteriores, especialmente la efectuada por la Ley N° 20.936, que establece un nuevo sistema de transmisión eléctrica y crea un organismo coordinador independiente del sistema eléctrico nacional, en adelante la "Ley"; en el Decreto Supremo N° 10, de 2019, del Ministerio de Energía, que aprueba reglamento de calificación, valorización, tarificación y remuneración de las instalaciones de transmisión; en la Resolución Exenta N° 380, de 20 de julio de 2017, de la Comisión Nacional de Energía, en adelante la "Comisión", que establece plazos, requisitos y condiciones aplicables al proceso de valorización de las instalaciones de los sistemas de transmisión nacional, zonal, para polos de desarrollo, y de las instalaciones de sistemas de transmisión dedicada utilizadas por usuarios sometidos a regulación de precios, modificada, complementada y rectificada por la Resolución Exenta N° 743, de 22 de diciembre de 2017, por la Resolución Exenta N° 36, de 22 de enero de 2018, y por la Resolución Exenta N° 111, de 5 de febrero de 2018, todas de la Comisión, en adelante la "Resolución N° 380/2017"; en Resolución Exenta N° 244, de 9 de abril de 2019, de la Comisión, que aprueba Informe Técnico Definitivo de Calificación de Instalaciones de los Sistemas de Transmisión para el Periodo 2020-2023; en la Resolución Exenta N° 95, de 6 de abril de 2021, de la Comisión, que aprueba Informe Técnico Preliminar de Valorización de las Instalaciones de los Sistemas de Transmisión para el Cuadrienio 2020-2023; en la Resolución Exenta N° 251, de 2 de agosto de 2021, de la Comisión, que aprueba Informe Técnico Final de Valorización de las Instalaciones de los Sistemas de Transmisión para el Cuadrienio 2020-2023"; en el Dictamen N° 12-2021, de 12 de enero de 2022, del H. Panel de Expertos; en la Resolución Exenta N° 118, de 2 de marzo de 2022, de la Comisión, que aprueba Informe Técnico Definitivo de Valorización de las Instalaciones de los Sistemas de Transmisión para el Cuadrienio 2020-2023", remitida al Ministerio de Energía, en adelante el "Ministerio", mediante el Oficio CNE OF. ORD. N° 162/2022, de 2 de marzo de 2022; en la Resolución Exenta N° 199, de 25 de marzo de 2022, de la Comisión, que rectifica Informe Técnico Definitivo de Valorización de las Instalaciones de los Sistemas de Transmisión para el Cuadrienio 2020-2023 y aprueba texto refundido, remitida al Ministerio mediante Oficio CNE OF. ORD. N° 217/2022, de 25 de marzo de 2022; en la Resolución N° 7, de 2019, de la Contraloría General de la República; y en la Resolución Exenta N°18, de 19 de enero de 2023, de la Comisión, que rectifica Informe Técnico Definitivo de Valorización de las Instalaciones de los Sistemas de Transmisión para el Cuadrienio 2020-2023 y aprueba texto refundido, remitida al Ministerio mediante Oficio CNE OF. ORD. N°55/2023, de igual fecha.
Considerando:
1. Que, el valor anual de las instalaciones de transmisión nacional, zonal, de los sistemas de transmisión para polos de desarrollo y el pago por uso de las instalaciones de transmisión dedicadas utilizadas por parte de los usuarios sometidos a regulación de precios será determinado por la Comisión cada cuatro años en base a la valorización de las instalaciones, de acuerdo a lo dispuesto por los artículos 102° y siguientes de la Ley.
2. Que, la Comisión mediante Resolución Exenta N° 272, de 26 de abril de 2019, aprobó las Bases Técnicas y Administrativas Definitivas para la Realización de los Estudios de Valorización de los Sistemas de Transmisión.
3. Que concluida la realización de los estudios señalados en el considerando precedente y habiéndose realizado la audiencia pública mandatada en el artículo 111° de la Ley, la Comisión procedió a dictar Resolución Exenta N° 95, de 6 de abril de 2021, mediante la cual aprobó el Informe Técnico Preliminar de Valorización de las Instalaciones de los Sistemas de Transmisión para el Cuadrienio 2020-2023, el cual fue posteriormente objeto de observaciones de los participantes y usuarios e instituciones interesadas en el proceso.
4. Que, mediante Resolución Exenta N° 251, de 2 de agosto de 2021, de la Comisión, se aprobó el Informe Técnico Final de Valorización de las Instalaciones de los Sistemas de Transmisión para el Cuadrienio 2020-2023. El referido acto administrativo, además, dio respuesta fundada a las observaciones recibidas por los participantes y usuarios e instituciones interesadas en el proceso respecto del Informe Técnico Preliminar señalado en el considerando anterior.
5. Que, posteriormente, de acuerdo al procedimiento establecido en el inciso quinto del artículo 112° de la Ley, ciertas empresas participantes y usuarios e instituciones interesadas presentaron ante el H. Panel de Expertos sus discrepancias contra el Informe Técnico Final de Valorización de las Instalaciones de los Sistemas de Transmisión para el Cuadrienio 2020-2023.
6. Que, mediante el Dictamen N° 12-2021, de 12 de enero de 2022, el H. Panel de Expertos se pronunció respecto de las discrepancias señaladas en el considerando anterior.
7. Que, mediante el oficio CNE OF. ORD. N° 162/2022, la Comisión remitió al Ministerio la Resolución Exenta CNE N° 118, ambas de 2 de marzo de 2022, que aprueba el Informe Técnico Definitivo de Valorización de las Instalaciones de los Sistemas de Transmisión para el Cuadrienio 2020-2023. El antedicho informe incorporó lo dictaminado por el H. Panel.
8. Que, luego, mediante el oficio CNE OF. ORD. N° 217/2022, la Comisión remitió al Ministerio la Resolución Exenta N° 199, ambas de 25 de marzo de 2022, que rectifica Informe Técnico Definitivo de Valorización de las Instalaciones de los Sistemas de Transmisión para el Cuadrienio 2020-2023 y aprueba texto refundido.
9. Que, habiéndose cumplido todas las etapas y actuaciones establecidas por la Ley y la normativa vigente, corresponde que este Ministerio dicte el decreto a que alude el inciso final del artículo 112° de la Ley.
Decreto:
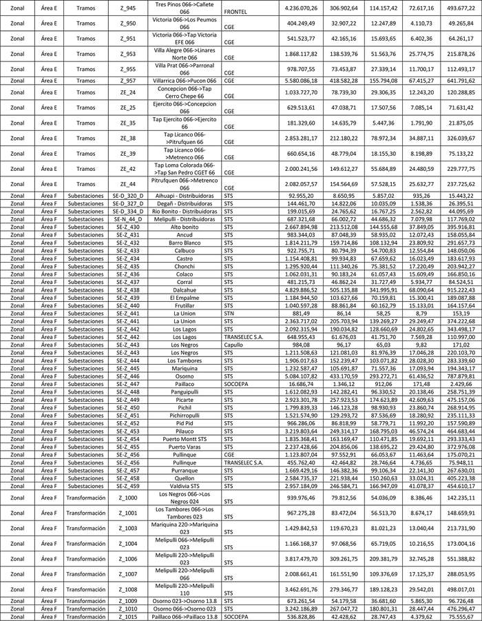
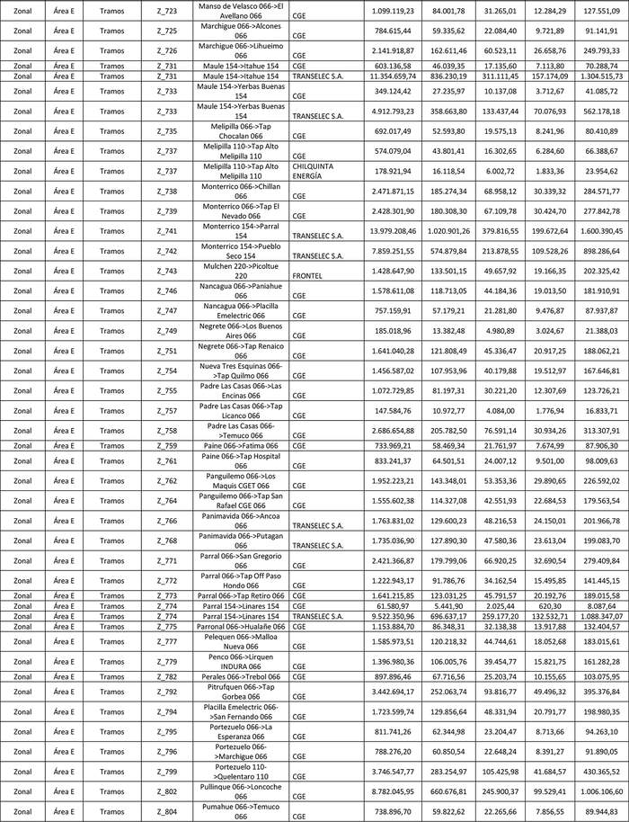
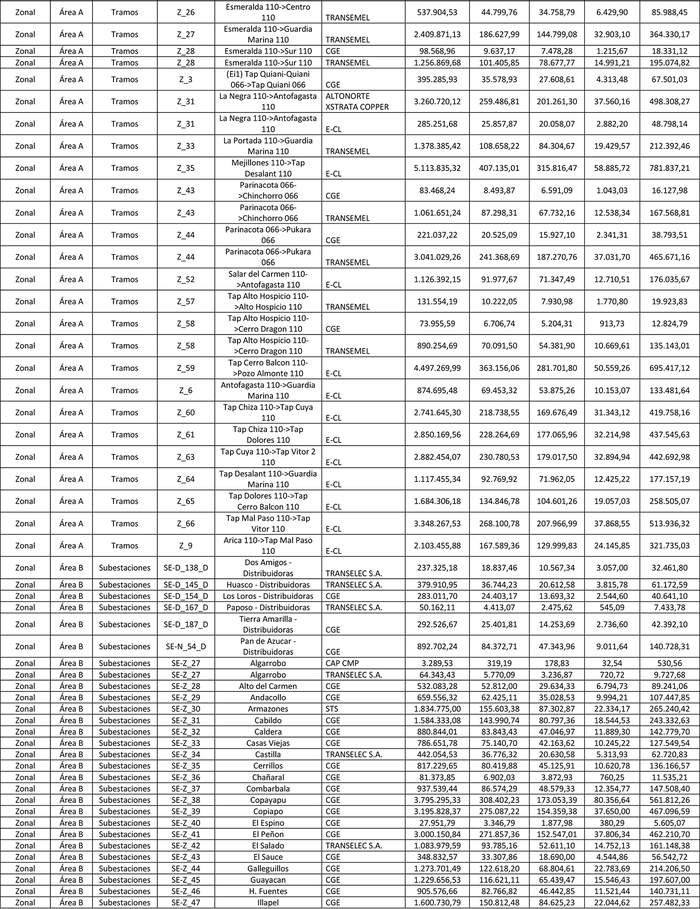
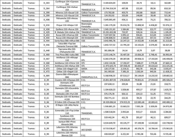
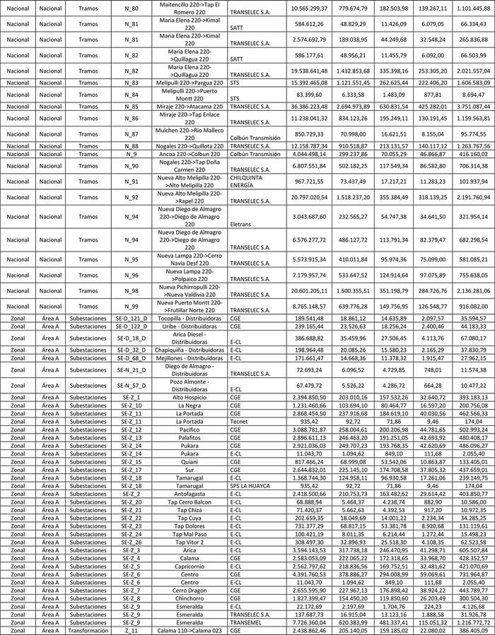
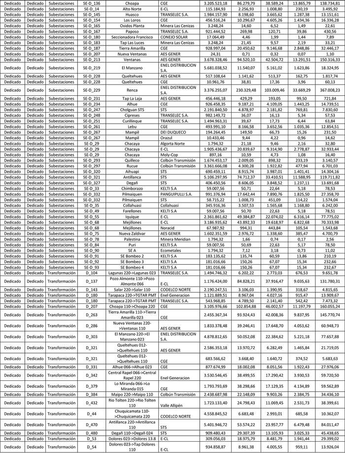
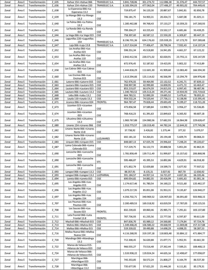
Artículo primero: Fíjanse el Valor de Inversión ("V.I."), la Anualidad del Valor de Inversión ("A.V.I."), Costos de Operación, Mantenimiento y Administración ("C.O.M.A."), Ajuste por Efecto de Impuesto a la Renta ("A.E.I.R.") y Valor Anual de la Transmisión por Tramo ("V.A.T.T."), de las instalaciones de transmisión nacional, zonal y de las instalaciones de transmisión dedicada utilizadas por parte de los usuarios sometidos a regulación de precios, de conformidad a lo establecido en el artículo 112° de la Ley, de acuerdo al siguiente detalle:
Tabla 1: VI, AVI, COMA, AEIR y VATT por tramo y propietario
Valores en US$ de diciembre de 2017
Bajo la columna "tipo tramo" las instalaciones categorizadas como "tramos" y "transformación" corresponden a tramos de transporte, según lo previsto en el artículo 4 de la Resolución 380/2017.
Los valores de A.V.I., C.O.M.A. y A.E.I.R. y V.A.T.T. de los sistemas de transmisión dedicados, presentados en la Tabla 1, tienen aplicados los porcentajes de uso de dichas instalaciones por parte de usuarios sometidos a regulación de precios, detallados en la Tabla 2 del presente artículo. El valor presentado de V.I., para los sistemas de transmisión dedicados, no considera la aplicación de dichos porcentajes.
Tabla 2: Porcentaje de uso de instalaciones dedicadas por parte de usuarios sometidos a regulación de precios
Nota: la calificación de los tramos se efectuó considerando la Resolución Exenta N° 244, de 9 de abril de 2019, de la Comisión Nacional de Energía, que Aprueba Informe Técnico Definitivo de Calificación de Instalaciones de los Sistemas de Transmisión para el Periodo 2020-2023.
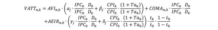
Artículo segundo: Fíjanse las siguientes fórmulas de indexación para cada sistema de transmisión, es decir, para el Sistema de Transmisión Nacional, para cada Sistema de Transmisión Zonal y para el Sistema de Transmisión Dedicado, en este último caso, para efectos de la determinación del pago por uso de dichas instalaciones por parte de los usuarios sometidos a regulación de precios, aplicables a los A.V.I., C.O.M.A. y A.E.I.R. en dólares de los tramos correspondientes.
En la fórmula anterior, los subíndices "k" denotan el mes en el cual las tarifas de transmisión nacional, zonales y de los sistemas de transmisión dedicada utilizada por usuarios sometidos a regulación de precios resultantes serán aplicadas, mientras que los subíndices "0" corresponden a los valores base de los índices, referidos en la Tabla 4.
Donde:
VATTn,k :Valor del A.V.I. + C.O.M.A. + A.E.I.R. del tramo n en el mes k, en dólares.
AVIn,0 :Valor del A.V.I. del tramo n en la fecha base, en dólares.
COMAn,0 :Valor del C.O.M.A. del tramo n en la fecha base, en dólares.
AEIRn,0 :Valor del A.E.I.R. del tramo n en la fecha base, en dólares.
IPCk :Valor del Índice de Precios al Consumidor en el segundo mes anterior al mes k, publicado por el Instituto Nacional de Estadísticas (INE).
CPIk :Valor del índice Consumer Price Index (All Urban Consumers), en el segundo mes anterior al mes k, publicado por el Bureau of Labor Statistics (BLS) del Gobierno de los Estados Unidos de América (Código BLS: CUUR0000SA0).
Dk :Valor Promedio del dólar de los Estados Unidos de Norteamérica, publicado por el Banco Central de Chile del segundo mes anterior al mes k.
:Valor de tasa arancelaria vigente para la importación de equipo electromecánico vigente del último día hábil del segundo mes anterior al mes k. La tasa arancelaria está establecida en el Decreto Exento N° 514, de 1 de diciembre de 2016, del Ministerio de Hacienda, publicado en el Diario Oficial del 28 de diciembre de 2016, y sus modificaciones.tk :Tasa de impuestos a las utilidades de primera categoría aplicables a la empresa eficiente en el segundo mes anterior al mes k. La tasa de impuestos está establecida en la Decreto Ley N° 824 del Ministerio de Hacienda, que aprueba Ley sobre Impuesto a la Renta, y corresponde a la que se aplica a los contribuyentes sujetos al Régimen Tributario establecido en la letra B) del artículo 14.
:Coeficientes de indexación para el tipo de tramo j del Sistema de Transmisión y tipo de tramo que corresponda. Los coeficientes de indexación 

Tabla 3: Coeficientes fórmula de indexación V.A.T.T.


Bajo la columna "tipo tramo" las instalaciones categorizadas como "tramos" y "transformación" corresponden a tramos de transporte, según lo previsto en el artículo 4 de la Resolución 380/2017.
Los valores base de los índices definidos previamente son los que a continuación se indican:
Tabla 4: Valor índices base indexación V.A.T.T.

Artículo tercero: Para las obras de ampliación que entraron en operación entre el 1 de enero de 2015 y el 31 de diciembre de 2017, de acuerdo a lo establecido en el Informe Técnico Definitivo de Valorización de las Instalaciones de los Sistemas de Transmisión para el Cuadrienio 2020-2023, aprobado mediante Resolución Exenta N° 118, de 2 de marzo de 2022 y rectificado por la Resolución Exenta N° 199, de 25 de marzo de 2022, ambas de la Comisión, se presenta en la Tabla 5 el V.I. y el A.V.I. de las labores de ampliación de cada obra de ampliación, a ser recuperado en el cuadrienio 2020-2023. El valor de inversión a recuperar se anualizó en cuatro cuotas, utilizando la tasa de descuento, según corresponda, de acuerdo a las disposiciones y lineamientos señalados en el referido Informe Tecnico Definitivo. El A.V.I. a recuperar en el cuadrienio corresponde a la suma del A.V.I. antes mencionado más el A.E.I.R., dando lugar así al A.V.I. ajustado a recuperar en el siguiente cuadrienio.
Tabla 5: V.I. y A.V.I. de las Labores de Ampliación


Valores en US$ de diciembre de 2017
La fórmula de indexación del A.V.I. a recuperar de las labores de ampliación, es la que a continuación se indica:

Donde:
. LabAmpn,k: Valor de A.V.I. de la Labor de Ampliación n para el mes k.
. LabAmpn,0: Valor de A.V.I. de la Labor de Ampliación n, establecido en la tabla 5.
. IPCk : Valor del Índice de Precios al Consumidor del segundo mes anterior al mes k, publicado por el Instituto Nacional de Estadísticas (INE).
. DOLk : Promedio del Precio Dólar Observado del segundo mes anterior al mes k, publicado por el Banco Central de Chile.
Los valores base para los índices antes definidos, corresponden a los que a continuación se indican:
Tabla 6: Valor índices base indexación labores de ampliación

Artículo cuarto: El presente decreto entrará en vigencia a contar de la fecha de su publicación en el Diario Oficial, sin perjuicio de que, conforme a lo dispuesto en el inciso final del artículo 113° de la Ley, los valores establecidos en él se entenderán vigentes a contar del 1° de enero de 2020.
Anótese, tómese razón y publíquese.- Por orden del Presidente de la República, Claudio Huepe Minoletti, Ministro de Energía.
Lo que transcribo a Ud., para su conocimiento.- Saluda Atte. a Ud., María Fernanda Riveros Inostroza, Jefa División Jurídica, Subsecretaría de Energía.
CONTRALORÍA GENERAL DE LA REPÚBLICA
División de Infraestructura y Regulación
Cursa con alcance el decreto N° 7T, de 2022, del Ministerio de Energía
N° E309984/2023.- Santiago, 9 de febrero de 2023.
La Contraloría General ha dado curso al decreto del epígrafe, que fija valor anual de las instalaciones de transmisión nacional, zonal y de las instalaciones de transmisión dedicada utilizadas por parte de los usuarios sometidos a regulación de precios, por encontrarse ajustado a derecho.
Sin embargo, cumple con hacer presente que la resolución exenta N° 18, de 2023, de la Comisión Nacional de Energía, rectifica el informe técnico definitivo de valorización de las instalaciones de los sistemas de transmisión para el cuadrienio 2020-2023, y aprueba su texto refundido, lo que se ha omitido consignar en el considerando 8 y en el artículo tercero del documento en examen.
Saluda atentamente a Ud., Jorge Andrés Bermúdez Soto, Contralor General de la República.
Al señor
Ministro de Energía
Presente.