ESTABLECE INSTRUCCIONES GENERALES PARA EL MONITOREO, REPORTE Y VERIFICACIÓN DE LAS EMISIONES AFECTAS AL IMPUESTO ESTABLECIDO EN EL ARTÍCULO 8° DE LA LEY N°20.780, MODIFICADO POR LA LEY N°21.210, Y DEROGA LA RESOLUCIÓN N°55 EXENTA, DE FECHA 12 DE ENERO DE 2018, DE LA SUPERINTENDENCIA DEL MEDIO AMBIENTE
Núm. 585 exenta.- Santiago, 31 de marzo de 2023.
Vistos:
Lo dispuesto en el artículo segundo de la ley N°20.417, que fija el texto de la ley Orgánica de la Superintendencia del Medio Ambiente; en la ley N°19.880, que establece las Bases de los Procedimientos Administrativos que rigen los Actos de los Órganos de la Administración del Estado; en la ley N°19.300, sobre Bases Generales del Medio Ambiente; lo dispuesto en el artículo octavo de la ley N°20.780 que modifica el Sistema de Tributación de la Renta e introduce diversos ajustes en el Sistema Tributario; lo dispuesto en el artículo octavo de la ley N°20.899 que simplifica el sistema de tributación a la renta y perfecciona otras disposiciones legales tributarias; lo dispuesto en la ley N°21.210, de 2020, del Ministerio de Hacienda, que moderniza la legislación tributaria; lo dispuesto en el decreto supremo N°63, de 2022, del Ministerio del Medio Ambiente aprueba reglamento que fija las obligaciones y procedimientos relativos a la identificación de los contribuyentes afectos y que establece de los procedimientos administrativos necesarios para la aplicación del impuesto que grava las emisiones al aire de material particulado, óxidos de nitrógeno, dióxido de azufre y dióxido de carbono conforme lo dispuesto en el artículo 8° de la ley N°20.780, modificado por la ley N°21.210; en el decreto supremo N°70, de 2022, del Ministerio del Medio Ambiente, que nombra Superintendenta; en la resolución exenta N°565, de 2017, de la Superintendencia del Medio Ambiente, que establece orden de subrogancia para el cargo de jefe de la División de Fiscalización y asigna funciones directivas; en la resolución exenta RA N°119123/104/2022, de 2022, de la Superintendencia del Medio Ambiente, que renueva el nombramiento del Fiscal de la Superintendencia del Medio Ambiente; en la resolución exenta RA N°119123/28/2022, de 2022, de la Superintendencia del Medio Ambiente, que establece el cargo de jefe/a del Departamento Jurídico de la Superintendencia del Medio Ambiente; y en la resolución N°7, de 2019, de la Contraloría General de la República, que fija norma sobre exención del trámite de toma de razón.
Considerando:
1. La Superintendencia del Medio Ambiente (en adelante e indistintamente, "Superintendencia" o "SMA") fue creada con el objeto de ejecutar, organizar y coordinar el seguimiento y fiscalización de las Resoluciones de Calificación Ambiental, de las medidas de los Planes de Prevención y, o de Descontaminación Ambiental, del contenido de las Normas de Calidad Ambiental y Normas de Emisión, y de los Planes de Manejo, cuando corresponda, y de todos aquellos otros instrumentos de carácter ambiental que establezca la ley; así como imponer sanciones en caso que se constaten infracciones de su competencia.
2. La letra e) del artículo 3° de la ley Orgánica de la Superintendencia del Medio Ambiente (en adelante "LOSMA"), faculta a este organismo para requerir, a los sujetos sometidos a su fiscalización, las informaciones y datos que sean necesarios para el cumplimiento de sus funciones, concediendo a los requeridos un plazo razonable, considerando las circunstancias que rodean la producción de dicha información, incluyendo su volumen, complejidad, la ubicación geográfica del proyecto, entre otros.
3. El literal j) del artículo 35 de la LOSMA dispone que corresponderá exclusivamente a esta Superintendencia el ejercicio de la potestad sancionadora respecto del incumplimiento de los requerimientos de información, que en el ejercicio de las atribuciones que le confiere la ley, dirija a los sujetos fiscalizados.
4. En el ejercicio de estas facultades, con fecha 12 de enero de 2018, la Superintendencia dictó la resolución exenta N°55, la cual aprobó el instructivo para el monitoreo, reporte y verificación de las emisiones de fuentes fijas afectas al impuesto del artículo 8° de la ley N°20.780.
5. Posteriormente, el artículo octavo de la ley N°20.780 fue modificado por la ley N°21.210, de 2020, del Ministerio de Hacienda, estableciendo un impuesto anual a beneficio fiscal que grava las emisiones al aire de material Particulado (MP), óxidos de nitrógeno (NOx), dióxido de azufre (SO 2) y dióxido de carbono (CO 2), producidas por establecimientos cuyas fuentes emisoras, individualmente o en su conjunto, emitan 100 o más toneladas anuales de material Particulado (MP), o 25.000 o más toneladas anuales de dióxido de carbono (CO 2).
6. Luego, el inciso 14° de la misma norma, prescribe que las características del sistema de monitoreo de las emisiones y los requisitos para su certificación serán aquellos determinados por la Superintendencia del Medio Ambiente para cada norma de emisión de fuentes fijas que sea aplicable, cuya determinación del sistema de monitoreo de emisiones será tramitada por la SMA, que la otorgará por resolución exenta. Para estos efectos, la Superintendencia fiscalizará el cumplimiento de las obligaciones de monitoreo, registro y reporte que se establecen a propósito del impuesto.
7. En este contexto, con fecha 31 de enero de 2023, se publicó en el Diario Oficial el decreto supremo N°63, de 2022, del Ministerio del Medio Ambiente, que "Aprueba reglamento que fija las obligaciones y procedimientos relativos a la identificación de los contribuyentes afectos, y que establece los procedimientos administrativos necesarios para la aplicación del impuesto que grava las emisiones al aire de material particulado, óxidos de nitrógeno, dióxido de azufre y dióxido de carbono, conforme a lo dispuesto en el artículo 8° de la ley N°20.780, modificado por la ley N°21.210".
8. Dicho cuerpo normativo introdujo nuevas obligaciones de registro y reporte para las fuentes emisoras, las cuales se relacionan con las modificaciones al impuesto. Así, el artículo 9 del reglamento dispone que el Ministerio del Medio Ambiente identificará anualmente las fuentes emisoras que forman parte de un mismo establecimiento, que cuenten con un identificador único dentro del Registro de Fuentes y Procesos, y las integrará con el Registro Único de Emisiones Atmosféricas del RETC. Luego, el artículo 10 indica que el Ministerio publicará en el Diario Oficial, en el mes de septiembre, un listado de establecimientos con la obligación de reportar las emisiones de cada fuente emisora según el registro indicado anteriormente.
9. Por otra parte, el artículo 11 de la misma norma, señala que estarán sujetos a la obligación de reportar sus emisiones únicamente los titulares de establecimientos con fuentes emisoras que, individualmente o en su conjunto, emitan 50 o más toneladas anuales de MP, o 12.500 o más toneladas anuales de CO2. Al efecto, el listado se conformará en base a la cuantificación de emisiones reportadas conforme al decreto supremo N°138, de 2005, del Ministerio de Salud, antecedentes de los que disponga el Ministerio del Medio Ambiente, incluyendo los reportes remitidos a la Superintendencia.
10. Pues bien, cabe tener presente que una de las modificaciones introducidas por la ley N°21.210 se relaciona con la calificación de fuente emisora, pues se entienden incluidas aquellas cuyas emisiones sean generadas en todo o en parte de la combustión. En otras palabras, a las calderas y turbinas gravadas por el impuesto, se deberán incorporar los procesos con combustión, entre los que se encuentran los motores de combustión interna para generación eléctrica, categoría que contempla a todo motor para generación eléctrica, además de hornos, secadores, incineradores, entre otros, que reúnan las características mencionadas en la ley.
11. En razón de los antecedentes señalados, la Superintendencia ha identificado la necesidad de actualizar el instructivo para el monitoreo, reporte y verificación de las emisiones gravadas por el impuesto, a fin de implementar las modificaciones legales introducidas al mismo. Con ello, se dispondrá de nuevas herramientas y plataformas necesarias para la aplicación del impuesto.
12. En consecuencia, se procede a resolver lo siguiente:
Resuelvo:
Primero. Aprobar las siguientes instrucciones generales para el monitoreo, reporte y verificación de las emisiones afectas al impuesto establecido en el artículo 8° de la ley N°20.780, modificado por la ley N°21.210.
1. DEFINICIONES
Se establecen a continuación las siguientes definiciones que aplican a este instructivo:
. ICA: Instrumento de carácter ambiental, tales como resoluciones de calificación ambiental, planes de prevención y, o de descontaminación ambiental, normas de calidad ambiental, normas de emisión, planes de manejo, y todos aquellos otros instrumentos de carácter ambiental que establezca la ley.
. D.S. N°63/2022 MMA: decreto supremo N°63, de fecha 2 de noviembre de 2022, del Ministerio del Medio Ambiente, que "Aprueba reglamento que fija las obligaciones y procedimientos relativos a la identificación de los contribuyentes afectos, y que establece los procedimientos administrativos necesarios para la aplicación del impuesto que grava las emisiones al aire de material particulado, óxidos de nitrógeno, dióxido de azufre y dióxido de carbono conforme lo dispuesto en el artículo 8° de la ley N°20.780, modificado por la ley N°21.210".
. Método de referencia: Corresponde al método oficializado como método de aplicación para el muestreo y/o medición de un contaminante en el aire, como se especifica en las normativas aplicables.
. Caldera: Unidad principalmente diseñada para generar agua caliente, calentar un fluido térmico y/o para generar vapor de agua, mediante la acción de calor.
. CEMS: Continuous Emissions Monitoring System, corresponde al equipamiento total requerido para determinar la concentración de un contaminante.
. Conexión en línea: Reporte en tiempo real de los valores de ciertos parámetros de interés a los sistemas de información de la SMA, medidos a través de un CEMS o variables operacionales medidas con instrumentación adecuada para ese fin.
. Datos crudos: Valores obtenidos directamente del instrumento de medición, expresados en sus dimensiones físicas y químicas correspondientes, con resolución de un minuto, sobre los cuales no se ha aplicado ningún tipo de intervención con posterioridad a la medición. El dato crudo será la base sobre la cual se deben construir los promedios horarios.
. Emisión: Es la descarga directa o indirecta a la atmósfera de gases o partículas.
. Calor útil: Calor proveniente de una combustión que es utilizado completa o parcialmente para el desarrollo de procesos de transformación de materia prima, para la producción de vapor o energía aprovechable.
. Combustión: Proceso de oxidación de sustancias o materias sólidas, líquidas o gaseosas que desprende calor y en el que se libera su energía interna para la producción de electricidad, vapor o calor útil, con la excepción de la materia prima que sea necesaria para el proceso productivo.
. Contribuyente afecto: Persona natural o jurídica, titular de establecimiento cuyas fuentes emisoras, individualmente o en su conjunto, emitan 100 o más toneladas anuales de MP, o 25.000 o más toneladas anuales de CO2.
. Emisiones gravadas: Todas las emisiones al aire de CO2, MP, NOx o SO 2 de las fuentes emisoras de los establecimientos afectos.
. Establecimiento: Recinto o local en el que se lleve a cabo una o varias actividades económicas que implique una transformación de la materia prima o de los materiales empleados, o se dé origen a nuevos productos, cuyas fuentes emisoras estén bajo un control operacional único o coordinado.
. Establecimiento afecto: Establecimiento cuyas fuentes emisoras, individualmente o en su conjunto, emitan 100 o más toneladas anuales de MP, o 25.000 o más toneladas anuales de CO2.
. Fuente emisora: Fuente fija cuyas emisiones sean generadas, en todo o parte, a partir de combustión, excluyendo calderas de agua caliente utilizadas en servicios vinculados exclusivamente al personal de un establecimiento y de grupos electrógenos de potencia menor a 500 KWt.
. Grupo electrógeno: Unidad generadora de energía eléctrica que consta de un alternador o generador accionado por un motor de combustión interna.
. Inicio de operación: Momento en el cual la fuente emisora esté instalada dentro del establecimiento y se encuentre en condiciones de generar emisiones. Esto es cuando, sin requerir ninguna conexión, instalación, insumo, repuesto adicional, entre otros, de carácter similar, esté materialmente apta para producir al aire las emisiones gravadas. No se consideran aptas para funcionar aquellas fuentes emisoras que se encuentren en condiciones de generar emisiones para el solo efecto de realizar pruebas técnicas del licenciante previas a su puesta en servicio.
. Materia prima: Materia, distinta de un combustible, usada en un proceso productivo para la fabricación y/o elaboración de un producto final.
. Registro de emisiones y transferencias de contaminantes (RETC): Registro establecido en el artículo 70 letra p) de la ley N°19.300 sobre Bases Generales del Medio Ambiente.
. Registro de fuentes y procesos (RFP): Registro integrante del RETC y administrado por el Ministerio del Medio Ambiente.
. Término de operación: Momento en el cual la fuente emisora es desinstalada o no se encuentra en condiciones de operar, ni de generar emisiones, esto es, cuando haya sido sometida a algún proceso de desconexión, desafectación, entre otros de carácter similar, que no sea reversible.
. Titular: Persona natural o jurídica que tiene a su nombre o título el uso o la operación de una fuente afecta por un hecho, acto o convención.
. Estimación de emisiones: Cuantificación indirecta de las emisiones a través de factores de emisión asociados al proceso productivo específico y el nivel de actividad registrado de la fuente emisora (horas de operación, consumo de combustible, etc.).
. Factor de emisión: Corresponde a la razón de masa de contaminantes emitidos por unidad de actividad que genera dichas emisiones (por ejemplo, masa de contaminante emitido por masa de combustible quemado).
. Instrumentación industrial: Cualquier instrumento, equipo o dispositivo que permita medir, controlar o registrar una o más variables de un proceso en particular.
. Nivel de actividad: Corresponde a la medición de variables operacionales que influyen en la cantidad de emisiones de un proceso determinado, como por ejemplo la cantidad de combustible quemado por una fuente por unidad de tiempo.
. Norma de emisión: Instrumento de carácter ambiental que establece la cantidad máxima permitida para un contaminante, medida en el efluente de la fuente emisora (art. 2 o) ley 19.300).
. Plan de descontaminación ambiental (PDA): Instrumento de carácter ambiental que tiene por finalidad recuperar los niveles señalados en las normas primarias y/o secundarias de calidad ambiental de una zona declarada saturada.
. Plan de prevención y descontaminación ambiental (PPDA): Instrumento de carácter ambiental que tiene por finalidad evitar la superación de una o más normas de calidad ambiental primaria o secundaria, de una zona declarada latente.
. Potencia térmica nominal: Corresponde a la potencia térmica calculada sobre la base de información del consumo nominal de combustible, determinado por las especificaciones técnicas del diseño o ingeniería desarrollada por el fabricante y/o constructor y el poder calorífico superior del combustible utilizado, determinado según los valores publicados en el Balance de Energía Anual elaborado por el Ministerio de Energía.
. Proceso: Aquellas fuentes estacionarias que no corresponden a calderas, turbinas, grupo electrógeno, ni hornos panificadores.
. Unidad fiscalizable: Unidad Física en la que se desarrollan obras, acciones o procesos, relacionados entre sí y que se encuentran regulados por uno o más instrumentos de carácter ambiental de competencia de la SMA (artículo segundo resolución exenta SMA 1184, de 2015).
. Variables operacionales: Son aquellos parámetros medibles que dan cuenta del nivel de actividad de la fuente, tales como consumo de combustible, horas de operación, potencia, producción de vapor, etc.
. CCF8: Código de clasificación de fuentes con sus ocho dígitos, siendo un nivel más detallado, por sus siglas en inglés "Source Clasification Code", provenientes de la terminología utilizada por la EPA.
. Entidad técnica de fiscalización ambiental (ETFA): Persona jurídica autorizada para realizar actividades de fiscalización ambiental, según el alcance de la autorización que le ha otorgado la Superintendencia del Medio Ambiente, según las normas del reglamento DS 38/2013 MMA, o la que la reemplace.
. Medición: Determinación in situ, en línea o de manera remota de uno o más parámetros de un objeto de evaluación, de acuerdo con un procedimiento establecido.
. Muestreo: Actividad que se realiza para la obtención de una muestra representativa del objeto de evaluación, según un procedimiento establecido.
. Análisis o ensayo: Determinación de una o más características físicas, químicas y/o biológicas de un objeto o elemento de evaluación, de acuerdo a un procedimiento establecido.
. Combustible principal: Combustible que proporciona el mayor porcentaje de entrada de calor en un año calendario a una fuente con combustión.
. Combustible secundario: Cualquier otro tipo de combustible utilizado, que no cumpla con la condición de combustible principal.
2. ALCANCES DE LA INSTRUCCIÓN
Son destinatarios de la presente instrucción todos aquellos establecimientos cuyas emisiones estén potencialmente afectas al impuesto establecido en el artículo 8° de la ley N°20.780, modificado por la ley N°21.210, de 2020, del Ministerio de Hacienda, según la publicación que anualmente efectúe el Ministerio del Medio Ambiente.
Cabe señalar que las directrices y procedimientos definidos en el presente instructivo no excluyen a los establecimientos sujetos a algún ICA, de dar cumplimiento a las metodologías y obligaciones específicas establecidas en ellos.
3. MODELO GENERAL DE MONITOREO, REPORTE Y VERIFICACIÓN (MRV)
El modelo general de monitoreo, reporte y verificación (MRV) de la Superintendencia, permitirá fiscalizar el cumplimiento de las obligaciones asociadas al impuesto y obtener las emisiones de los parámetros MP, NOx, SO 2 y CO 2.

Asimismo, cabe señalar que, para cuantificar las emisiones, no basta solo con la concentración, sino que también se requiere del flujo en caso de contar con un CEMS y del nivel de actividad si utiliza el método de referencia. Así, la cuantificación de emisiones se realiza de dos maneras:
1. Muestreo y/o medición de las emisiones: Cuantificación directa de las concentraciones y flujo de gases de salida emitidas, a través de un equipo instalado in situ, permanente o temporalmente.
a. Medición con métodos de referencia: Recolección de una muestra, a través de un equipo de muestreo (tren de muestreo), para un análisis posterior en laboratorio de la muestra (MP), o medición in situ (gases) por un periodo acotado. Este método entrega la concentración de salida y el flujo representativo del momento del muestreo y/o medición en la fuente emisora.
b. Continua: Medición en tiempo real de las concentraciones utilizando un Sistema de Monitoreo Continuo de Emisiones (CEMS).
2. Estimación: Cuantificación indirecta de las emisiones, a través de factores de emisión, asociados al proceso productivo específico y el nivel de actividad del año calendario de la fuente estacionaria, por ejemplo, horas de operación, consumo de combustible, producción, entre otras.
Para cuantificar las emisiones de cada fuente estacionaria, la Superintendencia estableció tres formas de monitoreo:
I) Monitoreo mediante Sistema de Monitoreo Continuo de Emisiones (CEMS).
II) Monitoreo mediante Método de referencia, muestreo y/o medición realizados por una ETFA, incluyendo nivel de actividad.
III) Monitoreo mediante Estimación de emisiones con nivel de actividad.
Las alternativas de monitoreo indicadas corresponden a las obligaciones de muestreo/medición/estimación de emisiones, establecidas en los siguientes ICA e instrucciones generales de reporte:
. Normas de emisión.
. Planes de descontaminación ambiental (PDA).
. Planes de prevención y descontaminación ambiental (PPDA).
. Resoluciones de calificación ambiental (RCA).
. Resolución exenta N°404, de 2017, de la Superintendencia del Medio Ambiente, que "Aprueba actualización de Guía sobre el Sistema de Información para Centrales Termoeléctricas".
. Resolución exenta N°929, de 2022, de la Superintendencia del Medio Ambiente, que aprueba "Protocolo de Reporte de Variables Operacionales para Fuentes Estacionarias Tipo Grupo Electrógenos".
. Resolución exenta N°2.452, de 2020, de la Superintendencia del Medio Ambiente, que aprueba "Protocolo de conexión y reporte de variables operacionales para la verificación de compromisos ambientales".
. Resolución exenta N°680, de 2021, de la Superintendencia del Medio Ambiente, que aprueba "Instrucción general que complementa obligación de conexión en línea de los sistemas de monitoreo continuo (CEMS)".
. Resolución exenta N°2.457, de 2021, de la Superintendencia del Medio Ambiente, que establece "Instrucciones generales sobre deberes de remisión de información para fuentes reguladas por normas de emisión de contaminantes a la atmósfera y planes de prevención y/o descontaminación atmosférica en sistema de seguimiento atmosférico (SISAT) de la SMA y revoca resolución exenta N°1.227/2015".
Según lo anterior, las obligaciones de monitoreo y reporte que se estipulan en las normas indicadas, corresponderán a la manera de cuantificar el impuesto, para cada una de las fuentes estacionarias, y para cada tipo de combustible utilizado.
Así, el método específico de cuantificación y reporte de cada ICA que regule al establecimiento será determinado por el SISAT, en base a la información que deberá presentar cada establecimiento en el "Módulo de Catastro" de dicho sistema.
Si algún titular tiene obligación de acuerdo con su RCA, de contar con un monitoreo con método de referencia o CEMS, deberá utilizar esta forma para la cuantificación del impuesto.
Todos los establecimientos afectos a los distintos instrumentos de carácter ambiental que contengan reglas para el componente aire, tendrán la obligación de realizar el catastro de todas sus fuentes estacionarias en el Sistema de Seguimiento Atmosférico (SISAT), siendo el punto de partida para poder reportar en los diferentes módulos.
Cuando,Resolución 2875 EXENTA,
M. Ambiente
Art. Segundo
D.O. 06.01.2026 en virtud de la presente resolución, corresponda reportar coordinadas de establecimientos o fuentes emisoras en los sistemas de información de la S;A, dichas coordenadas deberán informarse según el formato dispuesto en la plataforma respectiva y acorde a lo indicado en la "INSTRUCCIÓN GENERAL PARA EL REPORTE DE INFORMACIÓN GESOESPACIAL".
M. Ambiente
Art. Segundo
D.O. 06.01.2026 en virtud de la presente resolución, corresponda reportar coordinadas de establecimientos o fuentes emisoras en los sistemas de información de la S;A, dichas coordenadas deberán informarse según el formato dispuesto en la plataforma respectiva y acorde a lo indicado en la "INSTRUCCIÓN GENERAL PARA EL REPORTE DE INFORMACIÓN GESOESPACIAL".
SISAT permitirá que los sujetos fiscalizados realicen el catastro de los siguientes tipos de fuentes estacionarias:

Cabe señalar que todas las fuentes con procesos con combustión, calderas, turbinas y grupos electrógenos deberán completar el catastro. Esto, según lo dispuesto por el artículo decimosexto de la ley N°21.210 del Ministerio de Hacienda, cuya disposición legal incorpora la emisión de nuevas fuentes, como aquellas cuyas emisiones sean generadas en todo o en parte a partir de la combustión. De esta manera, se contemplan los motores de combustión interna para generación eléctrica, categoría que incluye todo motor para generación eléctrica, grupos electrógenos, fuentes tipo hornos, secadores, incineradores, entre otros.
Asimismo, se debe indicar que SISAT definirá las alternativas de cuantificación de emisiones y su forma de reporte, la que sólo incluye las emisiones generadas por la combustión y no por la materia prima. Sin embargo, para aquellas fuentes estacionarias tipo proceso con combustión, deberán proponer a la Superintendencia la forma en que cuantificarán las emisiones, cuando exista separación de emisiones por combustible y materia prima.
A continuación se presenta un esquema general del proceso de catastro en el Sistema de Seguimiento Atmosférico (SISAT).

El catastro podrá ser verificado durante las actividades de fiscalización que ejecute esta Superintendencia, por lo cual deberá estar siempre actualizado y en concordancia con las instalaciones físicas del establecimiento. Cualquier cambio en la información del catastro deberá realizarse a través de SISAT.
4. MONITOREO EN SISTEMA DE SEGUIMIENTO ATMOSFÉRICO (SISAT)
A continuación, se definen las alternativas de monitoreo establecidas por la Superintendencia para llevar al cabo el proceso de cuantificación de emisiones.
4.1 MONITOREO CONTINUO DE EMISIONES
El monitoreo continuo de emisiones puede ser utilizado, ya sea por un Sistema de Monitoreo Continuo de Emisiones (CEMS), o bien por una estimación de emisiones continua (Método Alternativo cuando el establecimiento cuente con la respectiva calificación de la Superintendencia, mediante resolución fundada).

Esta forma de monitoreo se encuentra regulada por las siguientes instrucciones generales:
. Resolución exenta N°955, de 2016, de la Superintendencia del Medio Ambiente, que "Dicta Instrucción de Carácter General sobre Corrección por Oxígeno en CEMS de Centrales Termoeléctricas y deja sin efecto la resolución exenta N°542 de 6 de julio de 2015".
. Resolución exenta N°1.209, de 2019, de la Superintendencia del Medio Ambiente, que "Aprueba procedimiento de sustitución y/o reemplazo de datos para sistemas de monitoreo continuo de emisiones (CEMS) y revoca resolución exenta N°33, de 19 de enero de 2015, de la Superintendencia del Medio Ambiente".
. Resolución exenta N°1.574, de 2019, de la Superintendencia del Medio Ambiente, que "Aprueba Instrucción General para la Conexión en Línea de Los Sistemas de Monitoreo Continuo de Emisiones - CEMS".
. Resolución exenta N°1.743, de 2019, de la Superintendencia del Medio Ambiente, que "Aprueba Protocolo Para Validación, Aseguramiento y Control de Calidad de Sistemas de Monitoreo Continuo de Emisiones CEMS".
. Resolución exenta N°1.909, de 2019, de la Superintendencia del Medio Ambiente que "Aprueba Protocolo para la Aplicación de Monitoreo de Emisiones con Métodos Alternativos en Unidades Generadoras Afectas al DS 13/2011 MMA y otros Instrumentos de Carácter Ambiental específicos para estas fuentes".
. Resolución exenta N°862, de 2020, de la Superintendencia del Medio Ambiente, que "Instruye forma de remitir las pruebas QA-QC, en el marco del cumplimiento del protocolo para validación, aseguramiento y control de calidad de sistemas de monitoreo continuo de emisiones".
. Resolución exenta N°680, de 2021, de la Superintendencia del Medio Ambiente, que "Aprueba Instrucción General que Complementa Obligación de Conexión en Línea de los Sistemas de Monitoreo Continuo de Emisiones (CEMS)".
Las fuentes estacionarias que se encuentran reguladas por un ICA que disponga el deber de instalar y validar un CEMS para uno o más contaminantes gravados, deberá utilizar obligatoriamente el sistema de monitoreo continuo para la cuantificación de sus emisiones. En este caso, el sistema de monitoreo será designado en forma automática por el SISAT, según la información obtenida de los reportes remitidos en virtud de la obligación dispuesta por el ICA de que se trate.
4.1.1 MONITOREO CONTINUO DE EMISIONES MEDIANTE CEMS
La utilización de un CEMS comprende el equipamiento total requerido para la determinación continua e ininterrumpida de la concentración de parámetros, tales como Material Particulado, Dióxido de Carbono, Dióxido de Azufre, Óxidos de Nitrógeno, y de otros parámetros de interés, tales como flujo, temperatura, humedad, etc., incluyendo el equipamiento para la adquisición y manejo de datos. Es por esto que, para mantener y garantizar la representatividad de los datos obtenidos, es necesario dar curso a un proceso de validación, que considera ensayos de validación y avisos a la autoridad. Estos ensayos tienen como finalidad comprobar que los resultados de las mediciones y análisis que realiza el CEMS se encuentre dentro de rangos aceptables de desviación respecto de los métodos referenciales oficiales.
Para esto, mediante las resoluciones exentas N°968, de 2019, y N°545, de 2020, respectivamente, la Superintendencia creó el Sistema de Validación de Equipos de Monitoreo (SIVEM), el cual corresponde a una plataforma electrónica desarrollada y administrada por la SMA, que permite lo siguiente:
. Reporte de los Avisos de Ejecución de Ensayos de Validación (AEEV).
. Reporte de los Informes de Resultados de Ensayos de Validación (IREV).
. Reporte de informes de fallas o periodos fuera de control y reporte de informes de fallas críticas del CEMS.
Una vez que se cuente con un CEMS, deberá dar cumplimiento a las reglas generales para su uso, las cuales incluyen:
(i) La instalación de un CEMS y validación para los parámetros que grava el impuesto.
(ii) La realización de mantenimientos y pruebas de aseguramiento de calidad (QA/QC) a los CEMS instalados y validados.
(iii) Contar con un CEMS de flujo instalado y validado.
Hay casos en que es posible eximir de realizar pruebas de validación a algunos CEMS que miden parámetros específicos, ya sea por tener un rango de medición menor o igual a 30 ppm, u operar con combustibles de muy bajo contenido de azufre. En estos casos, para la cuantificación de las emisiones se podrá utilizar el CEMS siempre que cumpla con las mantenciones y ensayos de QA/QC, que corresponda.
Además, podrían existir casos o situaciones en que la instalación, validación y mantención de un Sistema de Monitoreo Continuo de Emisiones "CEMS" en ciertas unidades para medir sus emisiones pueden resultar técnicamente difíciles de ejecutar, pudiendo llegar incluso a ser contraproducente desde un punto de vista ambiental y económico. Por lo cual la SMA podrá aprobar la estimación de emisiones en base a factores de emisión según los resultados de la ejecución de actividades de muestreo/medición, según las obligaciones establecidas en el ICA que aplique.
La cuantificación de la emisión anual será determinada por la suma de las emisiones horarias calculadas y registradas por el CEMS, en todas las horas de funcionamiento de la fuente, excluyendo los registros cuando la fuente se encuentre detenida (sin consumo de combustible y sin generación eléctrica u otro parámetro equivalente, para aquellas fuentes que no son generadoras).
En base a lo anterior, es necesario que junto con la concentración y flujo horario medidos, se registren parámetros operacionales en base horaria que permitan justificar los períodos en que la fuente emisora se encuentre detenida. Algunos parámetros operacionales que podrían ser representativos del funcionamiento de la fuente son: la potencia de funcionamiento, producción de vapor o producción de la fuente, consumo de combustible, temperatura, entre otros.
La emisión horaria para cada uno de los parámetros cuantificados mediante el uso de Sistemas de Monitoreo Continuo de Emisiones se obtendrá mediante el siguiente procedimiento:
a. Para el caso del CO2 se deberá transformar el valor medido como % a ppm antes de proceder con los cálculos. Para ello, se deberá dividir el % de CO 2 obtenido por el valor que corresponde a 1 ppm (1 ppm = 0.0001%), mediante la siguiente relación:

b. Para el caso de los CEMS de gases, el valor en "ppm" se deberá normalizar multiplicándolo por el factor de conversión respectivo de cada parámetro, mientras que para los CEMS de MP se podrán utilizar los valores brutos que entrega el equipo para luego normalizarlos en base a los valores de Presión y Temperatura de salida de los gases de chimenea.

Donde:
Ci,j: Concentración promedio del gas i en la hora j
FCi: factor de conversión parámetro i
Factores de conversión de ppm a mg/Nm3:
SO2: 2,614
NOx: 1,881
CO2:1,803
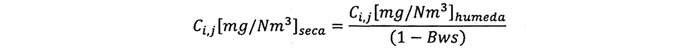
c. En caso de utilizar un CEMS que mida en base húmeda, se deberá corregir la concentración para obtener su equivalente en base seca:

Donde Bws corresponde al porcentaje de humedad.
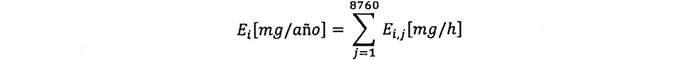
Una vez obtenida la concentración promedio horaria en base seca para cada parámetro en unidades normalizadas, la emisión horaria se determinará mediante la siguiente relación:

Donde:
. Ei,j: Emisión parámetro i en hora j
. Fj: Flujo de gases base seca en hora j
Cabe señalar que el flujo de gases utilizado en la relación anterior debe ser normalizado a unidades de "Nm3/h" (también a 25°C y 1 atm) y en base seca. El valor de flujo en "Nm 3/h", deberá ser obtenido a partir del valor promedio horario en unidades de "m 3/h".
Para obtener la emisión anual en mg/año, se deberán sumar todas los "mg/h" que fueron obtenidos durante las horas de operación de la fuente en el año a evaluar:

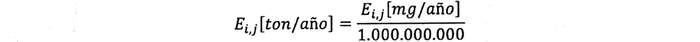
Finalmente, la emisión anual debe ser trasformada a unidades de toneladas/año, considerando todas las horas donde el consumo de combustible y la generación eléctrica (o un parámetro operacional equivalente), sean distintos de cero:

4.1.2 MONITOREO CONTINUO MEDIANTE METODOLOGÍA ALTERNATIVA DE ESTIMACIÓN DE EMISIONES
Dentro de esta categoría hay fuentes estacionarias en su mayoría afectas al decreto supremo N°13, de 2011, de Ministerio del Medio Ambiente, que Establece norma de emisión para centrales Termoeléctricas (DS N°13/2011 MMA), que tienen autorizados por la Superintendencia, métodos alternativos de cuantificación de emisiones, debido a la imposibilidad de instalar y mantener un CEMS. Estos métodos se basan en los combustibles utilizados, y las horas de funcionamiento principalmente.
Las metodologías de cuantificación con métodos alternativos son específicas para cada uno de los métodos incluidos en el protocolo para la aplicación de monitoreo con métodos alternativos en unidades generadoras, requiriendo la realización de mediciones mediante métodos de referencia, estimación con factores, determinación del consumo y de las características de los combustibles, entre otros.
La autorización del método alternativo a utilizar se deberá realizar según lo establecido en la resolución exenta N°1.909, de 2019, de la Superintendencia, que aprueba el "Protocolo para la Aplicación de Monitoreo de Emisiones con Métodos Alternativos en Unidades Generadoras Afectas al D.S. 13/2011 MMA y otros Instrumentos de Carácter Ambiental específicos para estas fuentes".
Algunas de las metodologías que en el protocolo se señalan, son las siguientes:
. Apéndice D - SO2.
. Apéndice E - NOx.
. LME - SO2, NO x, CO 2.
. Apéndice G - CO2.
. Apéndice F Ec. F-23 - SO2.
. AP 42 - MP.
La metodología específica para cuantificar la emisión horaria y el acumulado anual para cada parámetro regulado dependerá del método alternativo autorizado por resolución de la Superintendencia. A continuación, se listan algunos criterios comunes a tener en consideración para obtener la cuantificación de las emisiones:
. Los valores obtenidos de los métodos alternativos, una vez convertidos a unidades de mg/Nm3 (25°C y 1 Atm), deberán considerar valores en base seca y sin corrección por O 2.
. Los valores en unidades de mg/Nm3, se deberán llevar a unidades de emisión en ton/año.
. No se considerarán las horas en que el consumo de combustible y generación eléctrica (u otro parámetro operacional representativo, para fuentes no generadoras) sean cero.
4.2 MONITOREO MEDIANTE MUESTREO Y/O MEDICIÓN REALIZADOS POR ETFA INCLUYENDO NIVEL DE ACTIVIDAD
Los muestreos y mediciones consisten en la determinación puntual de uno, algunos o todos los parámetros a cuantificar, en un periodo limitado. La metodología se basa en la toma de una muestra representativa de la corriente emisora, mediante el uso de equipos o técnicas extractivas, las que permiten fijar el contaminante objeto de la medida para su posterior análisis y determinación de la concentración de este, en la corriente de gas.
De esta manera, se recolecta una muestra, a través de un equipo de muestreo (tren de muestreo), para análisis posterior en un laboratorio (MP), o medición in situ (gases) por un periodo acotado.
Este método entrega la concentración de salida y el flujo representativo del momento del muestreo y/o medición en la fuente emisora que, junto con el nivel de actividad (horas de funcionamiento) permiten obtener una cuantificación de las emisiones en toneladas año.

El muestreo/medición se encuentra regulado en la resolución exenta N°2.051, de 2021, de la Superintendencia del Medio Ambiente, que "Dicta instrucciones de carácter general para la operatividad específica de las Entidades Técnicas de Fiscalización Ambiental en el componente aire y revoca resolución que indica".
Los establecimientos que deban utilizar este método de cuantificación deberán ejecutarlo con una ETFA autorizada por la Superintendencia, en los alcances específicos.
Las fuentes estacionarias que se encuentren reguladas por un ICA que disponga el deber de realizar muestreos y/o mediciones, deberán utilizar obligatoriamente este método y los resultados obtenidos, a fin de cuantificar sus emisiones.
Adicionalmente, todas las fuentes que deban utilizar este tipo de cuantificación deberán reportar trimestralmente su nivel de actividad (horas de funcionamiento), como se señala en el título 5.3.
Para aquellas fuentes que utilicen dos combustibles (principal y secundario), deberán realizar los muestreos y mediciones utilizando el combustible principal de acuerdo a la frecuencia del ICA aplicable. No obstante, se deberá realizar al menos un muestreo y/o una medición al año, con el combustible secundario.
En caso de existir algún impedimento técnico para la realización de los muestreos y/o mediciones para el combustible secundario, deberá ser informado y justificado técnicamente a esta Superintendencia.
La frecuencia requerida para los muestreos y/o mediciones dependerá del ICA que disponga la obligación. De acuerdo con lo anterior, podrían ocurrir las siguientes situaciones:
a) El ICA define una frecuencia anual de muestreo y/o medición: se utilizarán los resultados para la cuantificación de emisiones para el impuesto. Siempre considerando que la actividad de muestreo de material particulado o medición de gases continuos debe ser ejecutado dentro del año calendario del respectivo reporte a la SMA.
b) El ICA define una frecuencia superior a la anual de muestreo y/o medición: se utilizarán los resultados para la cuantificación de emisiones para el impuesto. Siempre considerando que la actividad de muestreo de material particulado o medición de gases continuos debe ser ejecutado dentro del año calendario del respectivo año de reporte a la SMA. En este caso, la SMA utilizará el promedio de los informes de resultados para obtener la emisión de la fuente estacionaría.
c) El ICA define una frecuencia menor a la anual, por ejemplo, cada 24, 36, 48, etc., meses de muestreo y/o medición: solo se podrá utilizar el informe de resultado si la actividad se ejecutó dentro del año calendario del respectivo año de reporte a la SMA. Si no se da el caso, el titular del establecimiento deberá ejecutar una actividad de muestreo y/o medición extra, para la cuantificación de las emisiones para el impuesto. Como mínimo se debe tener un muestreo/medición por año calendario de evaluación.
Por su parte, los métodos de referencia oficiales considerados válidos para realizar los muestreos (MP) y mediciones de gases continuos (SO2, NO x y CO 2), son los siguientes:
. Parámetro Material Particulado: Método CH-5 o EPA 5, "Determinación de las emisiones de partículas desde fuentes estacionarias".
. Parámetro Dióxido de Azufre (SO2): Método CH-6C o EPA 6C, "Determinación de las emisiones de dióxido de azufre desde fuentes fijas (Procedimiento con analizador instrumental)".
. Parámetro Dióxido de Azufre (NOx): Método CH-7E o EPA 7E, "Determinación de las emisiones de nitrógeno desde fuentes estacionarias (Procedimiento con analizador instrumental)".
. Parámetro Dióxido de Azufre (CO2): Método CH-3A o EPA 3A, "Determinación de las concentraciones de oxígeno, anhídrido carbónico y monóxido de carbono en las emisiones de fuentes estacionarias (Procedimiento con analizador instrumental)".
Se podrá utilizar en casos debidamente justificados, la metodología US-EPA-17 "Determinación de emisiones de material particulado desde fuentes estacionarias" o el Método CH-5B o EPA 5B "Determinación de emisiones de MP sin ácido sulfúrico provenientes de fuentes estacionarias" para la cuantificación del parámetro Material Particulado.
La cuantificación de las emisiones se realizará a partir de la concentración obtenida para cada parámetro (mg/m3N) que será multiplicada por el caudal de gases medido (m 3N/h), para luego ser multiplicada por el número total de las horas de funcionamiento (nivel de actividad), que acredite el regulado para cada fuente estacionaria, obteniendo así la emisión anual. Las horas de funcionamiento deberán ser identificadas por cada tipo de combustible utilizado.
Para la cuantificación de los parámetros Material Particulado (MP), Dióxido de Azufre (SO2), Óxidos de Nitrógeno (NO x) y Dióxido de Carbono (CO 2), por cada tipo de combustible, el titular deberá reportar los resultados considerando lo siguiente:
El valor de la concentración de parámetro Material Particulado en (mg/m3N) del muestreo ejecutado se debe multiplicar por el valor del caudal de gases en (m 3N/h), para obtener una emisión de MP en (mg/h):

Donde:
Emisión de MP EN (mg/h).Ehora:
Concentración de MP medida (mg/mCS medida: 3N).
Caudal de gases medido (mQmedido: 3N/h).
Una vez obtenido este valor de material particulado (mg/h), se debe multiplicar por el total de las horas de funcionamiento anuales de la fuente para obtener un valor en unidades de (mg/año).

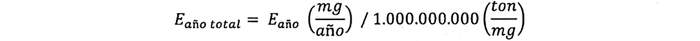
Luego el valor en (mg/año) deberá ser dividido por los mg contenidos en 1 tonelada (1 tonelada = 1.000.000.000 mg), obteniendo finalmente el valor de emisión en unidades de (Ton/año).

Donde:

La determinación de la emisión anual para los parámetros Dióxido de Azufre (SO2), Óxidos de Nitrógeno (NO x) y Dióxido de Carbono (CO 2) deberá seguir la misma ruta de cálculo de las letras a), b), c) anteriormente expuestas.
Para el caso del CO2, se deberá transformar el valor de % a ppm antes de proceder con los cálculos indicados anteriormente. Para ello, se deberá dividir el % de CO 2 obtenido de los métodos de referencia, por el valor que corresponde a 1 ppm (1 ppm = 0,0001%).
Cabe destacar que para aquellas fuentes que presenten una frecuencia de muestreo o medición superior a la anual, los cálculos indicados en la letra a) se deberán realizar con el promedio de las concentraciones y caudal de gases.
4.3 MONITOREO MEDIANTE ESTIMACIÓN DE EMISIONES CON NIVEL DE ACTIVIDAD
Los establecimientos que no tengan la obligación de instalar y validar CEMS, ni la exigencia de realizar muestreo/medición a sus fuentes estacionarias, obligatoriamente deberán realizar estimación de sus emisiones para uno, algunos o todos los parámetros regulados, utilizando nivel de actividad y un factor de emisión.
Esta alternativa se asignará por defecto para aquellas fuentes estacionarias que no tengan Sistemas de Monitoreo Continuo de Emisiones (CEMS), ni obligaciones por algún instrumento de carácter ambiental, de realizar muestreos o mediciones o exentas de cumplimiento de límite de emisión. Sin embargo, el establecimiento podrá optar voluntariamente a realizar muestreo/medición si lo estima conveniente.
Estos factores se expresan normalmente como la relación entre el peso del contaminante emitido, versus el peso, volumen, y/o energía de combustible consumido o producto procesado y sus características.

Una vez se registren las fuentes estacionarias en el Registro de Fuentes y Procesos (RFP) del MMA, la plataforma asignará automáticamente valores por defecto, de acuerdo a la clasificación CCF (Código de Clasificación de Fuentes) en base a tipo de combustible y parámetro. Este código corresponde a una homologación de los códigos usados por la Agencia de Protección Ambiental de los Estados Unidos (US-EPA) para asociar las fuentes emisoras con sus respectivos factores de emisión y se denominan CCF por su equivalente en inglés (SCC, Source Clasification Code). La EPA tiene un sistema de clasificación de fuentes emisoras mediante códigos únicos de 8 dígitos, denominado SCC4. Los códigos son un sistema jerárquico para clasificar las fuentes emisoras. Se basa en 4 niveles de códigos unidos, con el formato X-XX-XXX-XX (8 dígitos):
. Nivel 1: Información de la fuente más general
. Nivel 2: Información de la fuente más específica,
. Nivel 3: Información del combustible o nivel de actividad,
. Nivel 4: Información más detallada del proceso o tecnología de combustión.
La información obtenida del código de clasificación de fuentes será utilizada de base por el SISAT.
Este tipo de monitoreo consta de dos alternativas de acuerdo al tipo de fuente estacionaria del establecimiento:
I. Monitoreo mediante estimación de emisiones para los parámetros (MP, NOx, SO 2 y/ CO 2) a través de factores de emisión, incluidos en la "Guía metodológica para la estimación de emisiones provenientes de fuentes puntuales" o la que la reemplace, incorporadas por defecto en Registro de Fuentes y Procesos (RFP) del Ministerio del Medio Ambiente, para fuentes tipo Calderas, Turbinas y Grupos Electrógenos (Como viene por defecto desde RFP, el encargado de establecimiento podrá solicitar a la SMA su revisión y proponer la modificación del factor a utilizar).
II. Monitoreo mediante estimación de emisiones para los parámetros (MP, NOx, SO 2 y/ CO 2) a través de factores de emisión, directamente de la Agencia de Protección Ambiental de EE.UU. (US-EPA), AP-42 Compilación de Factores de Emisión de Contaminantes Atmosféricos, para MP, NO x y/o SO 2 y para el caso del parámetro CO 2, factores dados por las Directrices del Panel Intergubernamental sobre Cambio Climático (IPCC) de 2006 ajustados el 2019 para los inventarios nacionales de gases de efecto invernadero; ó podrá presentar a esta Superintendencia un factor de emisión propio para cada tipo de fuente estacionaria junto con un nivel de actividad que permita obtener la cuantificación de las emisiones, para fuentes estacionarias tipo Procesos con Combustión (Podrá utilizar el factor que viene por defecto del RFP). Esta alternativa, deberá ser propuesta, como se señala en el capítulo 4.3.2.
El nivel de actividad corresponderá a consumo de combustible y horas de funcionamiento. Para las fuentes estacionarias de tipo proceso con combustión, además del consumo de combustible y horas de operación, se deberá reportar una variable operacional que permita, junto con el factor de emisión, cuantificar las emisiones correspondientes a la materia prima del proceso, como las provenientes de la combustión.
Trimestralmente el titular deberá reportar el nivel de actividad de sus fuentes, mediante una planilla de reporte disponible para tales fines, a través de la cual el sistema cuantificará las emisiones.
4.3.1 MONITOREO MEDIANTE ESTIMACIÓN DE EMISIONES CON NIVEL DE ACTIVIDAD UTILIZANDO FACTORES DE EMISIÓN DE GUÍA METODOLÓGICA
Para esta forma de monitoreo se utilizará, respecto de los parámetros MP, NOx, SO 2 y/CO 2, factores de emisión, incluidos en la "guía metodológica para la estimación de emisiones provenientes de fuentes puntuales" o la que la reemplace, incorporadas por defecto en Registro de Fuentes y Procesos (RFP) del Ministerio del Medio Ambiente, para fuentes tipo Calderas, Turbinas y Grupos Electrógenos.
Al completar la información en Registro de Fuentes y Procesos (RFP) el sistema asignará automáticamente un Código de Clasificación de Fuentes (CCF), el cual ya incorpora los valores por defecto de los factores de emisión que se entregan en la guía anteriormente indicada. Al tratarse de un valor automático que asigna el RFP, el encargado de establecimiento podrá solicitar a la SMA su revisión y proponer la modificación del factor a utilizar, mediante argumentos técnicos.
Dicha información es extraída por el Sistema de Seguimiento Atmosférico (SISAT), la cual será utilizada junto con el nivel de actividad que sea reportado, para obtener los valores de emisión para cada parámetro regulado.
Para las fuentes estacionarias tipo calderas y turbinas, la superintendencia utilizará la base de datos de los factores que se ocupó para la cuantificación del impuesto hasta el año 2022. Dicha información, puede ser revisada y actualizada, si el encargado del establecimiento lo solicita.
A modo de ejemplo, se presentan valores de factores de emisión, por tipo de combustible y parámetro, para las fuentes estacionarias tipo Grupo Electrógeno:
Tabla 1: Factores de G.E.

En general, para el cálculo de emisión de los factores de emisión considerados en la "Guía metodológica para la estimación de emisiones provenientes de fuentes puntuales", RETC 2019 Ministerio del Medio Ambiente, sólo se requiere la cantidad de combustible consumido. Lo anterior debe considerar la identificación y finalmente la cuantificación del combustible empleado durante la operación. Como se señaló, en caso de operar con un combustible principal y secundario se debe utilizar los factores de emisión correspondientes a cada uno de los combustibles utilizados y cuantificar el consumo de cada uno de ellos.
La unidad del consumo de combustible a informar deberá ser en la unidad que permita realizar el cálculo automático para llegar a la emisión del parámetro, sin pasar por un proceso de conversión.
La ecuación general para la cuantificación de la emisión está dada por la ecuación que se indica a continuación:

Donde:
Ei,j,tiempo: Emisión en el tiempo para el parámetro i, combustible j (kg parámetro/tiempo)
Fei,j : Factor de emisión para el parámetro i, combustible j (kg parámetro / kg combustible)
Naj,tiempo: Nivel de actividad en el tiempo de la fuente para el combustible j, depende de la unidad de medida que tenga el factor de emisión. Para efectos de reporte (en un combustible sólido, por ejemplo) está dada por el consumo de combustible utilizado (ton combustible/tiempo)
ER : Eficiencia total de reducción de emisiones (%).
Se debe contar con la emisión en toneladas en el tiempo y luego calcular la emisión anual para cada parámetro, como la sumatoria de las emisiones en el tiempo de los parámetros MP, NOx, SO 2 o CO 2 independientemente.

Esto debe ser calculado para cada combustible j utilizado. Si la fuente además de usar un combustible principal utiliza un combustible secundario, la emisión total anual estará dada por la suma de las emisiones determinadas con el combustible principal y el combustible secundario (para un parámetro determinado) durante el año calendario.
4.3.2 MONITOREO MEDIANTE ESTIMACIÓN DE EMISIONES CON NIVEL DE ACTIVIDAD UTILIZANDO FACTORES DE EMISIÓN PROPUESTOS POR RUBRO PARA PROCESOS CON COMBUSTIÓN
Esta forma de cuantificación utilizará la estimación de emisiones para los parámetros MP, NOx, SO 2, a través de factores de emisión, directamente de aquellos propuestos por cada rubro fundamentado histórica o bibliográficamente. Para el parámetro CO 2, se deberán utilizar factores dados por las Directrices del Panel Intergubernamental sobre Cambio Climático (IPCC) de 2006 ajustados el 2019 para los inventarios nacionales de gases de efecto invernadero junto con un nivel de actividad que permita obtener la cuantificación de las emisiones.
Si los factores que genera el Registro de Fuentes y procesos no representan adecuadamente el funcionamiento de este tipo de fuentes, se podrán proponer otros a esta Superintendencia, justificados técnicamente. Esta alternativa solo la podrán utilizar los establecimientos que posean fuentes estacionarias de tipo proceso con combustión.
El nivel de actividad para este tipo de fuente estacionaria corresponderá al consumo de combustible y horas de funcionamiento, Sin perjuicio de ello, deberá reportar una variable operacional que permita junto con el factor de emisión, cuantificar las emisiones correspondientes a la materia prima.
Los factores de emisión que presente el encargado del establecimiento serán incorporados en el Sistema de Seguimiento Atmosférico (SISAT) donde se utilizará, por ejemplo, kg de contaminante emitido/kg de combustible (o en su defecto en kg de contaminante emitido / m3 de combustible, etc.). Lo anterior debe considerar la identificación y finalmente la cuantificación del combustible empleado durante la operación de la fuente emisora afecta al impuesto. Como se señaló, en caso de operar con un combustible principal y secundario se deben utilizar los factores de emisión correspondientes para cada uno de los combustibles utilizados y así cuantificar el consumo de cada uno de ellos.
La unidad del consumo de combustible a informar u otra variable operacional, deberá ser en la medida que permita realizar el cálculo automático para llegar a la emisión del parámetro, sin pasar por un proceso de conversión.
Los factores de emisión se deberán presentar parametrizados, con el mayor grado de ajuste de la operación real de la fuente estacionaria.
El encargado del establecimiento deberá entregar todos los antecedentes necesarios para verificar la correcta definición de los factores seleccionados para cada uno de los combustibles o procesos, según corresponda de cada uno de los parámetros cuantificados.
Adicionalmente, puede existir más de un factor de emisión para ciertos parámetros, ya que difieren por el tipo de actividad, tipo de quemadores o por los diferentes dispositivos de control que pueden ser utilizados. De esta forma, para la determinación del factor de emisión se deben considerar todos los detalles expuestos en el texto. Para el parámetro CO2, los factores de emisión deben ser adoptados directamente de las Directrices del IPCC de 2006, ajustados el 2019.
En dichas directrices del IPCC, se presentan tres niveles para estimar las emisiones de acuerdo con la información disponible. El método de Nivel 1 (o Tier 1) se basa en el tipo de combustible, puesto que las emisiones de todas las fuentes de combustión pueden estimarse sobre la base de las cantidades de combustible quemado y los factores de emisión promedio. Por su parte, el Nivel 2 (o Tier 2) utiliza el mismo procedimiento metodológico del Nivel 1, pero con factores de emisión y/o datos de actividad propios del país o de una región de éste. Finalmente, el Nivel 3 (o Tier 3) corresponde a métodos específicos de un país (modelos detallados de emisión o mediciones y datos del nivel de la planta individual, censos y otros), cuya aplicación es recomendada siempre que hayan sido debidamente validados y, en el caso de los modelos, se encuentren publicados en revistas científicas con comité editorial.
En comparación con el AP-42, las Directrices del IPCC de 2006, ajustados el 2019, proporcionan metodologías destinadas a estimar los inventarios nacionales de emisiones de gases de efecto invernadero. Las Directrices del IPCC de 2006 comprenden cinco volúmenes. El volumen 1 describe los pasos básicos para el desarrollo del inventario y ofrece la orientación general respecto de las estimaciones de emisiones. Por su parte, los volúmenes 2 a 5 ofrecen la orientación para las estimaciones en diferentes sectores de la economía (Energía, Procesos industriales y uso de productos (IPPU), Agricultura, silvicultura y otros usos de la tierra -AFOLU- y Desechos).
Para mayor detalle (Véase el Cuadro 2.1 en Directrices del IPCC de 2006, ajustado el 2019) se nombran a continuación las subcategorías presentes en el sector Energía asociados a Actividades de quema del combustible (1A), las que cubren las características de las distintas fuentes afectas al impuesto verde que tengan combustión, y desde donde se deben obtener los factores de emisión aplicables:
. 1A1 Industrias de la energía (Producción de electricidad y calor como actividad principal, Refinación del petróleo, Fabricación de combustibles sólidos y otras industrias energéticas).
. 1A2 Industrias manufactureras y de la construcción (Hierro y acero, Metales no ferrosos, Productos químicos, Pulpa, papel e imprenta, Procesamiento de alimentos, bebidas y tabaco, Minerales no metálicos, Equipos de transporte, Maquinaria, Minería (con excepción de combustibles) y cantería, Madera y productos de madera, Construcción, Textiles y cuero, Industria no especificada).
. 1A3 Transporte.
. 1A4 Otros sectores (Comercial /Institucional, Residencial, Agricultura /Silvicultura /Pesca /Piscifactorías).
. 1A5 No especificado (Estacionarias, Móviles).
Respecto al sector de Procesos Industriales y Uso de Productos corresponden al volumen 3.
4.3.3 PRUEBA ANUAL DE EFICIENCIA EN SISTEMAS DE ABATIMIENTO
Las fuentes estacionarias que posean sistemas de abatimiento deberán ejecutar cada año calendario una prueba de eficiencia que permitan tener un valor real del porcentaje de abatimiento (Aplica para aquellas fuentes que estiman sus emisiones).
La ejecución de dichas pruebas deberá ser informada a la Superintendencia con 6 días de anticipación (informando metodología a utilizar y entidad a cargo de su ejecución), ya que podrán ser objeto de fiscalización. El respectivo informe de resultados y el aviso a la autoridad deberán ser informados por oficina de partes o por el medio electrónico que se ponga a disposición y se informe a los regulados. El porcentaje de abatimiento será cargado en SISAT para ser utilizado en el algoritmo de cuantificación de emisiones anualmente.
Para cuando no sea posible realizar pruebas de eficiencia dentro del año calendario, se podrá utilizar el valor de eficiencia total de reducción de emisiones (%) de la guía metodológica para la estimación de emisiones provenientes de fuentes puntuales, RETC 2019 Ministerio del Medio Ambiente, incorporados en el módulo Registro de Fuentes y Procesos o el Reporte Único de Emisiones Atmosféricas - F138, siempre y cuando se presenten antecedentes que justifiquen técnicamente la imposibilidad de realizar dicha prueba.
5. REPORTE EN SISTEMA DE SEGUIMIENTO ATMOSFÉRICO (SISAT)
El Sistema de Seguimiento Atmosférico (SISAT) será el sistema informático que recibirá la información de los reportes que permitirán dar cumplimiento a esta instrucción. En esta plataforma se han desarrollado los módulos según el tipo de monitoreo que estableció esta Superintendencia, a efectos de cuantificar las emisiones de las fuentes afectas al impuesto.
Cabe señalar que, de acuerdo a la modificación introducida al hecho gravado del impuesto a través de la ley N°21.210, la superación de cualquiera de los umbrales establecidos en la ley, esto es 100 o más toneladas anuales de Material Particulado (MP), o 25.000 o más toneladas anuales de Dióxido de Carbono (CO2) gatillará el gravamen y pago del impuesto para todos los contaminantes, con independencia del umbral que se supere.
Luego, todos los establecimientos con obligación de reporte deberán completar el registro en la ventanilla única del RETC (Registro de Emisiones y Transferencia de Contaminantes), administrado por el Ministerio del Medio Ambiente (MMA), para luego finalizar el catastro en el Sistema de Seguimiento Atmosférico (SISAT) de la Superintendencia.
Cabe destacar que las emisiones de dióxido de carbono de fuentes fijas que operen en base a medios de generación renovable no convencional, cuya fuente de energía primaria sea la energía biomasa, contemplada en el numeral 1), de la letra a) del artículo 225 del DFL N°4, de 2006, del Ministerio de Economía, igualmente deberán remitir los reportes trimestrales.
Cabe señalar que los respectivos módulos de reportes en el Sistema de Seguimiento Atmosférico (SISAT), se presentarán en guías de usuarios disponibles dentro del mismo sistema.
5.1 REPORTE MEDIANTE SISTEMA DE MONITOREO CONTINUO DE EMISIONES (CEMS)
Las fuentes estacionarias que cuentan con un Sistemas de Monitoreo Continuo de Emisiones (CEMS) y/o en base a estimación de emisiones (Método Alternativo), deberán reportar trimestralmente de acuerdo con lo siguiente:
. Fuentes estacionarias que cuenten con CEMS validados para uno o todos los parámetros regulados por exigencias de normas de emisión, PDA, PPDA y/o resoluciones de calificación ambiental, deberán reportar trimestralmente, en el Módulo de Reporte Continuo del Sistema de Seguimiento Atmosférico (SISAT) en formato horario y minutal, de acuerdo con las instrucciones específicas que se dictarán para ese fin.
. Fuentes estacionarias que cuenten con Metodología Alternativa autorizada para uno o todos los parámetros regulados por exigencias de normas de emisión, PDA, PPDA y/o resoluciones de calificación ambiental, deberán reportar con la frecuencia establecida en dichos instrumentos de carácter ambiental, en el Módulo de Reporte Continuo del Sistema de Seguimiento Atmosférico (SISAT) en formato horario, de acuerdo con las instrucciones específicas dictadas para ese fin.
El reporte para el impuesto se realizará mediante planillas específicas definidas para cada instrumento de carácter ambiental (ICA).
Cabe señalar, que las fuentes estacionarias que cuentan con CEMS y/o con Métodos Alternativos y que actualmente reportan en el Sistema de Centrales Termoeléctricas (SICTER), deberán seguir reportando trimestralmente en SICTER, de donde SISAT obtendrá la información y procederá a la cuantificación de las emisiones cada año.

Luego se deberá reportar trimestralmente a esta Superintendencia en el respectivo módulo de reporte, de acuerdo con los siguientes plazos:
Tabla 2: Plazos para envío de reportes

De manera excepcional, el primer reporte del año 2023 se realizará durante el mes de mayo, para luego mantener las fechas indicadas en la Tabla 2, respecto de los siguientes reportes.
5.2 REPORTE MEDIANTE MUESTREO Y/O MEDICIÓN REALIZADOS POR ETFA
Las fuentes estacionarias que tengan la obligación de realizar muestreos y/o medición de parámetros regulados, deberán reportar de acuerdo con la frecuencia establecida en el instrumento de carácter ambiental:
. Fuentes estacionarias que cuenten con muestreos y/o mediciones para uno o todos los parámetros regulados por exigencias de normas de emisión, PDA, PPDA y/o resoluciones de calificación ambiental, deberán reportar en el Módulo de Muestreo y Medición del Sistema de Seguimiento Atmosférico (SISAT).
. El nivel de actividad deberá ser reportado en el Módulo de Nivel de Actividad.
Cabe señalar que, el ingreso de los informes de resultados en el módulo de muestreo y/o medición permitirá también dar cumplimiento a las obligaciones de reporte dispuestas por el instrumento de carácter ambiental que regula al establecimiento, evitando así el doble reporte.
Es importante destacar que la Entidad Técnica de Fiscalización Ambiental (ETFA) debe dar cumplimiento a la resolución exenta N°2.051, de 2021, de la Superintendencia, que "Dicta instrucciones de carácter general para la operatividad específica de las Entidades Técnicas de Fiscalización Ambiental en el componente aire y revoca resolución que indica".

Cabe señalar que las fuentes estacionarias que tengan la obligación de realizar muestreos y/o medición de parámetros regulados, deberán reportar además en el reporte trimestral el nivel de actividad, de horas de funcionamiento, consumo de combustible, u otra variable operacional, como se señala en el título siguiente 5.3.
5.3 REPORTE MEDIANTE ESTIMACIÓN DE EMISIONES CON NIVEL DE ACTIVIDAD
Las fuentes estacionarias que le aplique esta opción (Aquellas fuentes que cuantifican emisiones a través de métodos de referencia y/o factores de emisión) deberán reportar trimestralmente para uno, algunos o todos los parámetros regulados, el nivel de actividad correspondiente, en el Módulo de Nivel de Actividad del Sistema de Seguimiento Atmosférico (SISAT).
Cabe señalar que esta alternativa quedará por defecto para aquellas fuentes estacionarias que no tengan Sistemas de Monitoreo Continuo de Emisiones (CEMS).
El nivel de actividad que deberá reportarse de manera obligatoria para todas las fuentes afectas que estén dentro de este método de cuantificación, será:
. Consumo de Combustible: Se deberá medir el flujo de combustible por fuente, a lo menos trimestralmente, a través de un flujómetro o usando cubicaciones, balances y/o registros de compra (facturas), entre otros. Esto, para cada combustible utilizado por las fuentes estacionarias. Se aceptarán estimaciones de consumo de combustible en base a las variables operacionales como producción de vapor u otros, por ejemplo. Siempre se deberá contar con registros que permitan trazar el cálculo de consumo de combustible informado.
. Horas de Operación: El establecimiento deberá cuantificar las horas de funcionamiento a través de un horómetro digital, sellado e inviolable, sin vuelta a cero, para cada fuente, pudiendo presentar sistemas equivalentes de cuantificación como, por ejemplo, DAHS u estimaciones indirectas a través de variables operacionales trazables. Al efecto, se mencionan algunos ejemplos de cuantificación por horas:
. Para calderas de vapor:
El establecimiento podrá presentar el registro de la producción de vapor horaria, de la caldera, medido por flujómetros de agua o vapor de agua u otro sistema.
. Para turbinas:
El establecimiento podrá presentar el registro horario de potencia de generación, medido por el sistema instrumental (operación de la turbina).
. Para grupos electrógenos:
El establecimiento podrá presentar el registro del horómetro del grupo electrógeno, potencia de la fuente, medido por el sistema instrumental (operación del grupo electrógeno).
. Para procesos con combustión:
El establecimiento podrá presentar el registro horario de producción medido por el sistema instrumental (operación de la fuente).
Las fuentes estacionarias tipo procesos con combustión, deberán reportar consumo de combustible y horas de funcionamiento y, además, deberán reportar una variable operacional que permita junto con el factor de emisión, cuantificar las emisiones correspondientes a la materia prima, si corresponde.

6. VERIFICACIÓN EN SISTEMA DE SEGUIMIENTO ATMOSFÉRICO (SISAT)
El proceso de verificación corresponde al conjunto de actividades y procedimientos llevados a cabo para corroborar la validez de la información monitoreada y reportada por los regulados afectos, para asegurar que los sistemas y procedimientos de monitoreo y reporte cumplan con los controles de calidad que permitan obtener un dato de calidad asegurada de emisión anual por esta Superintendencia.
Este proceso comenzará desde que el establecimiento realiza el catastro en el Sistema de Seguimiento Atmosférico hasta la cuantificación de las emisiones, por fuente emisora, para cada parámetro regulado y tipo de combustible, incluyendo la remisión de los reportes.
Este conjunto de acciones tiene como objetivo principal, corroborar la validez de la información reportada, pero también busca generar en los establecimientos afectos, sistemas de documentación, gestión y control de calidad.
Cabe destacar que las medidas, que se presentan no limitan el accionar de esta Superintendencia, pudiendo ampliarlas o acotarlas según las necesidades de verificación que pudiesen surgir. Asimismo, puede ejercer las facultades de fiscalización que le asistan en orden a complementar y/o exigir correcciones a la misma, o la adopción de toda medida que proceda en virtud de las facultades que le asisten.
6.1 VERIFICACIÓN SISTEMA DE MONITOREO CONTINUO DE EMISIONES
A continuación, se presentan las actividades mínimas de verificación que realizará la Superintendencia para las fuentes estacionarias que cuentan con Sistemas de Monitoreo Continuo de Emisiones (CEMS) y/o en base a estimación de emisiones (Método Alternativo).

6.1.1 VERIFICACIÓN MEDIANTE SISTEMAS DE MONITOREO CONTINUO DE EMISIONES (CEMS)
Algunas de las actividades de verificación que podrá llevar a cabo la Superintendencia, para las fuentes estacionarias que cuentan con Sistemas de Monitoreo Continuo de Emisiones (CEMS) serán aquellas relacionadas con el cumplimiento de las exigencias para instalación y validación de CEMS, así como reporte, conforme a las instrucciones que la Superintendencia ha dictado al efecto.
Cabe señalar que la mayor parte de las verificaciones son realizadas de manera automática por el Sistema de Validación de Equipos de Monitoreo (SIVEM), por el Sistema de Seguimiento Atmosférico (SISAT), y por el Sistema de Centrales Termoeléctricas (SICTER).
6.1.2 VERIFICACIÓN MEDIANTE METODOLOGÍA ALTERNATIVA DE ESTIMACIÓN DE EMISIONES
La SMA verificará el cumplimiento del instructivo para métodos alternativos, según la Res. Ex. N°1.909, de 2019, de esta Superintendencia, para aquellas fuentes estacionarias que cuentan con Método Alternativo de estimación de emisiones autorizado mediante resolución exenta de este servicio.
Cabe señalar que las verificaciones son realizadas de manera automática por el Sistema de Centrales Termoeléctricas (SICTER), hasta que SISAT se encuentre habilitado para realizar el correspondiente reporte.
6.2 VERIFICACIÓN MUESTREO Y/O MEDICIÓN REALIZADOS POR ETFA
La verificación del uso de muestreo y/o medición incluirá el cumplimiento de las instrucciones de la Superintendencia dictadas al efecto, así como la remisión de los reportes en el módulo de nivel de actividad, de acuerdo a lo que se indica en el punto 6.3 de esta instrucción.
Para aquellas actividades de muestreo y/o medición que no cumplan con el aseguramiento y control de calidad (QA/QC) de los respectivos métodos de referencia (por ejemplo, Isocinetismo, desviación estándar, calibraciones, entre otros), así como las condiciones de carga de la fuente requeridos durante la actividad de muestreo y/o medición, o el uso de instrumentos, materiales o gases patrones que se encuentren vencidos al momento de su uso, los resultados no serán considerados válidos por esta Superintendencia. Por esto, el muestreo isocinético y/o medición deberá ser ejecutado nuevamente a la brevedad para efectos de dar cumplimiento a la frecuencia establecida en el instrumento de carácter ambiental, por el cual realiza la actividad y que impacta en las exigencias de esta instrucción.
Cabe señalar que esta revisión QA/QC, es realizada de manera automática por el Sistema de Seguimiento Atmosférico en el respectivo módulo y es informado mediante correo electrónico al encargado del establecimiento, de acuerdo a la información que es presentada en el informe de resultados de la actividad ejecutado por la Entidad Técnica de Fiscalización Ambiental (ETFA).

6.3 VERIFICACIÓN ESTIMACIÓN DE EMISIONES CON NIVEL DE ACTIVIDAD
Las actividades mínimas de verificación por parte de la Superintendencia para las fuentes estacionarias que cuentan con estimación de emisiones con nivel de actividad, serán las siguientes:
. Verificación del valor de eficiencia de abatimiento informado por el encargado del establecimiento.
. Verificación del funcionamiento en el año calendario de los sistemas de abatimiento.
. Verificación de ruta de cálculos de los niveles de actividad informados en SISAT.
. Verificación del factor de emisión para procesos con combustión.

Segundo. Derógase a contar de la entrada en vigencia de esta instrucción, la resolución exenta N°55, de fecha 12 de enero de 2018, de la Superintendencia del Medio Ambiente.
Tercero. Publíquese la presente resolución en el Diario Oficial, quedando disponible el documento que aprueba la presente instrucción, en la página web del Sistema Nacional de Información de Fiscalización Ambiental: http://snifa.sma.gob.cl.
Cuarto. Vigencia. El presente Protocolo entrará en vigencia a contar de la fecha de publicación en el Diario Oficial.
Anótese, publíquese en el Diario Oficial, dese cumplimiento y archívese.- Marie Claude Plumer Bodin, Superintendenta del Medio Ambiente.