OTORGA A KUMLEUFÚ SpA CONCESIÓN PROVISIONAL PARA PROYECTO DE TRANSMISIÓN DE ENERGÍA ELÉCTRICA DENOMINADO "LÍNEA ELÉCTRICA 1X220 KV KUMLEUFÚ - NUEVA PICHIRROPULLI"
Núm. 28.- Santiago, 21 de febrero de 2023.
Vistos:
El DFL Nº 4/20.018, de 2006, del Ministerio de Economía, Fomento y Reconstrucción, que fija el texto refundido, coordinado y sistematizado del DFL Nº 1, de 1982, del Ministerio de Minería, en adelante, Ley General de Servicios Eléctricos (LGSE); el decreto Nº 327, de 1997, del Ministerio de Minería, que aprueba el Reglamento de la Ley General de Servicios Eléctricos; lo dispuesto en la Ley Nº 18.410, Orgánica de la Superintendencia de Electricidad y Combustibles; y la resolución Nº 7 de 2019, de la Contraloría General de la República, sobre exención del trámite de toma de razón.
Considerando:
1° Que, a través de ingreso SEC Nº 173608, de fecha 02.09.2022, Kumleufú SpA solicitó a esta Superintendencia concesión provisional para realizar los estudios técnicos relativos al proyecto de transmisión de energía eléctrica denominado "Línea Eléctrica 1x220 kV Kumleufú - Nueva Pichirropulli", ubicado en la comuna de La Unión, en la Provincia del Ranco, y en las comunas de Corral y Paillaco, en la Provincia de Valdivia, Región de Valdivia, que tiene por finalidad realizar el transporte de la energía eléctrica generada por el Parque Eólico Kumleufú hacia la Subestación Nueva Pichirropulli, para inyectar dicha energía en el Sistema Eléctrico Nacional (SEN). El proyecto por el que se solicita concesión eléctrica provisional es:

2° Que, mediante Oficio Ord. Electrónico Nº 138886 de fecha 22.09.2022, esta Superintendencia comunicó errores y omisiones de la solicitud de concesión, los cuales fueron subsanados mediante presentación ingreso SEC Nº 178869, de fecha 14.10.2022, complementada de oficio mediante carta ingreso SEC Nº 186183, de fecha 23.11.2022, cumpliendo en consecuencia, con los requisitos establecidos en el artículo 19º de la LGSE. De acuerdo con lo anterior, esta Superintendencia procedió a declarar la admisibilidad de la solicitud de concesión a través de la resolución exenta electrónica Nº 15.048, de fecha 29.11.2022.
3° Que, el objetivo de la concesión eléctrica provisional solicitada es ejecutar los estudios técnicos necesarios para establecer, en la comuna de La Unión, Provincia del Ranco, y en las comunas de Corral y Paillaco, Provincia de Valdivia, Región de Los Ríos, una línea de transporte de energía eléctrica denominada "Línea Eléctrica 1x220 kV Kumleufú - Nueva Pichirropulli".
La empresa Kumleufú SpA proyecta construir una línea eléctrica de circuito simple en 220 kV con una potencia de 318 MW entre la Subestación Elevadora Kumleufú, proyectada, y la Subestación Nueva Pichirropulli. El objetivo de la línea será realizar el transporte de la energía eléctrica generada por el Parque Eólico Kumleufú hacia la Subestación Nueva Pichirropulli, para inyectar dicha energía en el Sistema Eléctrico Nacional (SEN).
Preliminarmente, el trazado de la Línea presenta una longitud de 39.203,51 metros, comenzando en el deslinde de la Subestación Elevadora Kumleufú, proyectada, coordenadas UTM WGS84 Huso 18S Este [m] 644.126,71 y Norte [m] 5.559.747,79 y terminando en la Subestación Nueva Pichirropulli, coordenadas UTM WGS84 Huso 18S Este [m] 679.988,59 y Norte [m] 5.552.000,47.
Asimismo, se ha considerado un ancho de 100 metros a cada lado del eje de la Línea, alcanzando un área total del polígono de estudio de 7.838.093 metros cuadrados, donde se desarrollarán los estudios técnicos para los cuales se requiere la solicitud de concesión eléctrica provisional.
En relación con la solicitud de concesión eléctrica provisional, para la línea de transmisión en estudio se ha contemplado una franja de seguridad preliminar de 80 metros, que se encuentra contenida en su totalidad dentro del Polígono de Estudio.
4° Que, los estudios y trabajos que se realizarán con motivo de la solicitud de concesión provisional son los siguientes:
. Ruido y vibraciones
Tiene por objetivo identificar los actuales niveles de ruido y vibraciones en las principales zonas, identificadas como sensibles cercanas al emplazamiento preliminar del Proyecto; proyectar los futuros niveles de ruido y vibraciones producto de su futura construcción y operación y determinar los puntos más afectados dentro de la zona de influencia, con el fin de proponer adecuadas medidas de mitigación y dar cumplimiento a la normativa exigida.
. Flora y vegetación
Se verificará si en el área de estudio del Proyecto existen elementos que pudiesen poner en riesgo o dificultar la viabilidad ambiental de éste; establecer el grado de afectación de los componentes, identificando áreas de restricción o de sensibilidad ambiental, lo cual permitirá ajustar y definir la localización, con el objeto de minimizar los efectos ambientales del Proyecto.
. Fauna terrestre
El objetivo de esta prospección es identificar la presencia de especies o singularidades que representen variables críticas para la ejecución del Proyecto, debido a la incidencia que puedan tener en la factibilidad técnica y morfología del trazado.
. Tránsito aéreo
Tiene por objetivo la caracterización de los ensambles de aves existentes en los distintos ambientes identificados en el área de estudio del Proyecto, determinándose su distribución y áreas de concentración, considerando posibles sitios de reproducción, alimentación o refugio.
. Arqueología
Esta componente tiene por objetivo identificar, registrar y caracterizar, sobre la base de vestigios superficiales, sitios arqueológicos y/o históricos considerados como Monumentos Nacionales de acuerdo con la legislación vigente en nuestro país.
. Paleontología
Consiste en identificar y caracterizar las áreas y/o componentes de importancia paleontológica; identificar el material fósil reconocido en el área de estudio; y evaluar el potencial paleontológico de los sitios reconocidos, en atención a poder conocer las implicancias relacionadas.
. Medio físico
Tiene por objetivo caracterizar las potencialidades y limitantes del medio abiótico presentes en el área de estudio, como son las condiciones de agua, aire, suelo y clima.
. Clima y meteorología
Se realizará una caracterización climática del área de estudio del Proyecto a partir de la clasificación internacional de Köppen; y la caracterización meteorológica a nivel local, a partir de información de variables como temperatura, precipitación, velocidad y dirección del viento, humedad relativa y presión atmosférica.
. Calidad del aire
El objetivo consiste en determinar la existencia de zonas declaradas como saturadas y/o latentes; determinar si existen estaciones de monitoreo representativas del área; e identificar las principales fuentes de emisión existentes en el área de estudio.
. Suelos
Tiene por objetivo la caracterización fisicoquímica del suelo presente en el área preliminar de emplazamiento del Proyecto, definiendo para ello su valor ambiental y su capacidad silvoagropecuaria.
. Geología, Geomorfología y Riesgos Naturales
Su objetivo es caracterizar el área de estudio del Proyecto en términos del componente geología, las características del marco estructural regional, los tipos de rocas y/o depósitos existentes, sus edades geológicas y el marco tectónico general.
Respecto a la geomorfología, ésta tiene por objeto describir y caracterizar el dominio geomorfológico y morfoclimático dominante, las geoformas existentes y los procesos más significativos que dan cuenta del modelado actual del área.
Por otra parte, el objetivo del estudio de los riesgos naturales consiste en describir y caracterizar el área, incluyendo las amenazas sísmicas, por remoción en masa, hidrológicas y de tipo volcánicas en un contexto regional y local.
. Hidrología
Esta componente considera la identificación y caracterización de la cuenca en donde se emplaza el área de estudio del Proyecto; caracterización de las precipitaciones mensuales y máximas; y el análisis de la red hídrica existente, identificando tanto cauces naturales como artificiales, intermitentes y permanentes.
. Hidrogeología
El objetivo consiste en identificar y caracterizar las unidades hidrogeológicas junto con el nivel piezométrico en el área de estudio del Proyecto a partir de la información levantada de los pozos disponibles de la zona.
. Paisaje y Turismo
Este consiste en la descripción general del valor paisajístico en base a atributos biofísicos, atributos estéticos y atributos estructurales; la valoración del paisaje utilizando indicadores tales como: incidencia visual, intervisibilidad y número de puntos de interés; desarrolla un análisis de visibilidad e intervisibilidad para el área preliminar de emplazamiento del Proyecto y describir su calidad visual según las pautas de valoración vigentes en el país.
Respecto al turismo, su objetivo considera la descripción general en base a valor paisajístico, valor cultural y valor patrimonial.
. Medio humano y comunidades indígenas
Considera una descripción general en base a fuentes secundarias con foco en los criterios contenidos en el art. 18 del DS 40 MMA, identificación de actores relevantes y análisis de potenciales conflictos socioambientales. Población y descripción detallada de las 5 dimensiones del medio humano (geográfica, demográfica, antropológica, socioeconómica y de bienestar social básico); y determinación de sitios de significación cultural.
. Estudio de Vialidad
Considera una caracterización de la oferta vial y modelación de saturación, además del cálculo de los tiempos de desplazamientos (no corresponde a un EISTU).
5° Que, el presupuesto total de los estudios que se desarrollarán a través de la concesión que se solicita, asciende a la suma de $48.800.000.- (cuarenta y ocho millones ochocientos mil pesos chilenos).
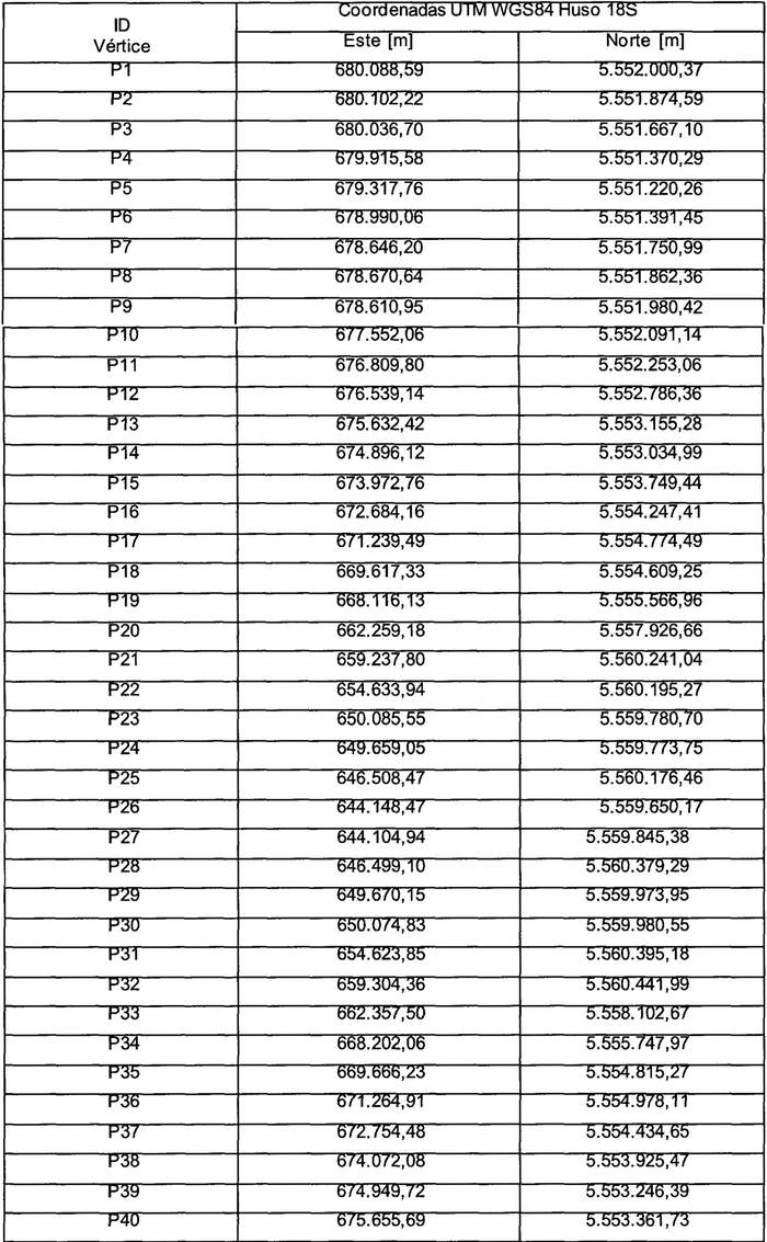
6° Que, los estudios técnicos para los cuales se solicita la concesión provisional se desarrollarán en la siguiente área, que se encuentra delimitada por los siguientes vértices descritos por las coordenadas UTM (Datum WGS 84, Huso 18 S), la cual tiene una superficie de 7.838.093 m2:


7° Que en conformidad a lo dispuesto en el artículo 20º de la LGSE, la solicitud de concesión fue publicada en el diario electrónico de circulación nacional, "El Mostrador.cl", por tres días consecutivos, los días 15.12.2022, 16.12.2022 y 17.12.2022; y en el diario de circulación regional de la Región de Los Ríos, "Diario Austral", por tres días consecutivos, los días 15.12.2022, 16.12.2022 y 17.12.2022. Asimismo, se comunicó un extracto de la solicitud de concesión por medio de tres mensajes radiales emitidos por "Radio 1 Latina", señal XQD-256, frecuencia 88.1 FM, para la ciudad de La Unión, capital de la provincia del Ranco, los días 15.12.2022, 16.12.2022 y 17.12.2022 y emitidos por "Radio Austral", señal CD-097, frecuencia 970,0 AM, para la ciudad de Valdivia, capital de la provincia de Valdivia, los días 15.12.2022, 16.12.2022 y 17.12.2022.
Con posterioridad el solicitante, mediante ingreso SEC Nº 197890 de fecha 27.01.2023, complementó de oficio la presentación ingreso SEC Nº 194582, de fecha 06.01.2023, que acompaña las publicaciones previamente reseñadas, en el sentido de señalar que en las publicaciones realizadas en los diarios "El Mostrador.cl" y el "Diario Austral" de la Región de Los Ríos, los días 15, 16 y 17 de diciembre de 2022, se produjo un error involuntario de transcripción en el correo electrónico informado como casilla única, a la cual remitir todos los actos y resoluciones que deban comunicarse a Kumleufú SpA, toda vez que se indicó: pkrisam@apchaura.com, debiendo decir: pkrisam@apc-haura.com.
En este sentido, agregan que el error de tipeo involuntario no es de aquellos que afectan la validez del acto administrativo, toda vez que: a) la solicitud de concesión eléctrica provisional publicada en el sitio web de la Superintendencia de Electricidad y Combustibles, www.sec.cl, contiene toda la información necesaria y correcta conforme a lo establecido en el artículo 19 de la Ley General de Servicios Eléctricos, la cual es de acceso público; b) las publicaciones contienen toda la información que ordena la Ley General de Servicios Eléctricos, de forma correcta y consistente. Lo anterior, cumpliendo además con las menciones requeridas por la Superintendencia de Electricidad y Combustibles en su formato de publicaciones disponible en el portal web www.sec.cl; c) las publicaciones y radiodifusión de la solicitud de concesión provisional y de su extracto, fueron efectuadas dentro de plazo, en la cantidad, forma y medios requeridos por el artículo 20º de la Ley General de Servicios Eléctricos, dando total cumplimiento a lo requerido por este último; el error de tipeo involuntario incurrido en el correo electrónico que debe considerarse como casilla única a la cual remitir todos los actos y resoluciones que deban ser comunicadas a Kumleufú SpA, no altera el hecho de que se haya dado cumplimiento a lo solicitado en el Oficio Circular SEC Nº2607 y que conforme al artículo 19º de la LGSE, tanto la empresa solicitante Kumleufú SpA y sus representantes don Hans Peter Krisam Radefeldt y don Julio Enrique Naray de la Fuente, se encuentren debidamente identificados en la solicitud de concesión provisional, puesto que se indica su nombre completo o razón social, rol único tributario, y domicilio legal; información que forma parte de la solicitud de concesión que ha sido publicada en el tiempo y forma establecido en la LGSE; d) el error involuntario de transcripción, no se enmarca en ninguna de las causales por las cuales la Superintendencia de Electricidad y Combustibles podría desechar de plano aquellas solicitudes de concesión eléctrica provisionales, que ya hayan sido declaradas admisibles, y e) en conformidad con lo dispuesto en el inciso segundo del artículo 13º de la Ley de Bases de los Procedimientos Administrativos que rigen los actos de los Órganos de la Administración Pública, el error involuntario señalado en esta presentación no es de aquel que afecta la validez del acto administrativo, por cuanto no genera perjuicio alguno a los propietarios o interesados, ya que como se ha señalado, se ha dispuesto de todos los medios que establece la ley para dar a conocer los gravámenes cuya imposición se solicita a través del presente procedimiento administrativo.
En razón de lo expuesto la solicitante, pide tener por aclarado el error de tipeo involuntario de transcripción incurrido en las publicaciones ya mencionadas.
Pronunciamiento SEC respecto de la aclaración de las publicaciones acompañadas.
En virtud de lo expuesto y a juicio de esta Superintendencia, las publicaciones realizadas por la empresa peticionaria cumplen a cabalidad con el deber de publicidad establecido en el artículo 20º de la LGSE, resguardando el derecho de los dueños de las propiedades afectadas o de los interesados a oponerse o presentar observaciones, toda vez que cumplió con la obligación de publicar la solicitud de concesión provisional dentro de los 15 días siguientes a la declaración de admisibilidad, por tres días consecutivos en un diario de circulación nacional y por tres días consecutivos en un diario de circulación regional, como así también comunicar un extracto de la solicitud de concesión por medio de tres mensajes radiales que deberán emitirse dentro del plazo de quince días, en diferentes días, por una o más radioemisoras que transmitan o cubran en la capital de la o las provincias señaladas en la respectiva solicitud, cumpliendo, asimismo, el extracto con las menciones requeridas.
En este orden de cosas, este Organismo Fiscalizador comparte el criterio expresado por la empresa solicitante, en el sentido de que las publicaciones de la solicitud fueron practicadas conforme a la legislación vigente y que el vicio que presenta no resulta ser esencial, y que, de conformidad con lo preceptuado en el artículo 8º de la Ley Nº 18.575, Orgánica Constitucional de Bases Generales de la Administración del Estado y, tal como lo ha señalado el Órgano de Control a través de dictamen Nº 28.351, de 2008, "los órganos de la Administración del Estado actuarán por propia iniciativa en el cumplimiento de sus funciones procurando la simplificación y rapidez de los trámites y que los procedimientos administrativos deberán ser ágiles y expeditos, sin más formalidades que las que establezcan las leyes y reglamentos". Ello, en concordancia con lo dispuesto en el artículo 8º de la Ley Nº 19.880, esto es, el principio conclusivo que debe respetar todo Órgano de la Administración, conforme al cual: "Todo el procedimiento administrativo está destinado a que la Administración dicte un acto decisorio que se pronuncie sobre la cuestión de fondo y en el cual exprese su voluntad" (aplica dictamen Nº 52.349, de 2015, del Ente Contralor).
En definitiva, la Administración del Estado, siempre y cuando no exista vicio de procedimiento o forma en los términos establecidos en el inciso 2º del artículo 13 de la Ley Nº 19.880 ya indicado, debe procurar que sus actuaciones sean rápidas, sin dilaciones innecesarias y deben tender a la dictación del acto terminal en el cual se contenga la decisión sobre el fondo del asunto, como sería en la especie la dictación del correspondiente decreto supremo que concede la concesión eléctrica definitiva.
De esta forma tanto las publicaciones ya mencionadas, contienen toda la información que ordena la LGSE, de forma correcta y consistente. Asimismo, estos fueron efectuados dentro del plazo legal, en la cantidad, forma y medios requeridos por el artículo 20º de la LGSE.
8° En virtud de lo expuesto y, a juicio de esta Superintendencia, las publicaciones realizadas por la empresa peticionaria cumplen el deber de publicidad establecido en el artículo 20º de la LGSE, resguardando el derecho de los propietarios de los predios afectados o de los interesados a oponerse o presentar observaciones, toda vez que cumplió con la obligación de publicar la solicitud de concesión provisional dentro de los 15 días siguientes a la declaración de admisibilidad, en la forma prescrita por la normativa eléctrica.
9° Que de acuerdo con lo dispuesto en el artículo 20º inciso segundo de la LGSE, tanto la solicitud como el mapa del área solicitada incluido en ésta, fueron publicados en la página web de esta Superintendencia, www.sec.cl, con fecha 06.12.2022 y enviados a la Ilustre Municipalidad de Paillaco mediante Oficio Ord. Nº 149539, de fecha 01.12.2022, a la Ilustre Municipalidad de Corral mediante Oficio Ord. Nº 149542, de fecha 01.12.2022, y a la Ilustre Municipalidad de La Unión mediante Oficio Ord. Nº 149544, de fecha 01.12.2022, para ser publicados según lo establece dicho artículo.
10° Que, con motivo de las publicaciones antes señaladas, no se formularon observaciones ante esta Superintendencia, de conformidad con lo dispuesto en el inciso tercero del artículo 20º de la LGSE.
11° Que, atendido que las comunas de La Unión, Corral y Paillaco no están declaradas como zona fronteriza, no se solicitó a la Dirección Nacional de Fronteras y Límites del Estado la autorización a que se refiere el artículo 20º, inciso cuarto, de la Ley General de Servicios Eléctricos.
12° Que, de acuerdo a lo establecido en el artículo 20º inciso segundo de la LGSE, se envió al Ministerio de Bienes Nacionales una copia de la solicitud de concesión y del mapa del área solicitada, mediante Oficio Ord. Electrónico Nº 149538, de fecha 01.12.2022.
Dicho Ministerio se pronunció a través de Ord. Gabm. Nº 36, de fecha 16.01.2023, ingreso SEC Nº 195784, de fecha 16.01.2023, de la misma fecha antes señalada, indicando que se ha determinado que las áreas solicitadas no afectan propiedad fiscal inscrita a favor del Fisco de Chile.
En relación con lo señalado por el Ministerio de Bienes Nacionales, esta Superintendencia considera que la información aportada no constituye causal que impida otorgar la presente solicitud de concesión provisional.
13° Que, Kumleufú SpA, en su solicitud de concesión provisional señaló que los estudios se llevarán a cabo en el plazo de 2 años, considerando el inicio de estos, el de la publicación en el Diario Oficial de la resolución que otorgue la concesión eléctrica provisional.
14° Que, el artículo 11º de la LGSE establece que las concesiones provisionales serán otorgadas mediante resolución de la Superintendencia
15° Que, del análisis de los antecedentes presentados, se estima que se ha dado cumplimiento a la normativa sobre tramitación de solicitudes y otorgamiento de concesiones provisionales en materia de electricidad, contenida en la Ley General de Servicios Eléctricos y su Reglamento.
Resuelvo:
1° Otórgase a Kumleufú SpA, concesión eléctrica provisional para efectuar los estudios correspondientes al proyecto de transmisión de energía eléctrica denominado "Línea Eléctrica 1x220 kV Kumleufú - Nueva Pichirropulli".
2° La presente concesión provisional se otorga en conformidad con la Ley General de Servicios Eléctricos, y queda sometida a todas las disposiciones legales y reglamentarias vigentes o que se dicten en el futuro sobre la materia.
3° El plazo de la concesión provisional será de dos años, contados desde la publicación en el Diario Oficial de la resolución que otorga la concesión eléctrica provisional, iniciándose en dicho momento los estudios que se autorizan, los que se realizarán de manera conjunta y/o simultánea, de acuerdo con el siguiente cronograma:

4° La concesión provisional que por este acto se otorga no exime el cumplimiento de las demás obligaciones legales, como lo es el acatamiento de la legislación ambiental.
5° La presente resolución deberá ser reducida a escritura pública por el interesado, antes de treinta días contados desde su publicación en el Diario Oficial.
Tómese razón, notifíquese y publíquese.- Mariano Corral González, Superintendente de Electricidad y Combustibles (S).
CONTRALORÍA GENERAL DE LA REPÚBLICA
I CONTRALORÍA REGIONAL METROPOLITANA DE SANTIAGO
Unidad Jurídica de Infraestructura y Regulación
Cursa con alcance la resolución Nº 28, de 2023, de la Superintendencia de Electricidad y Combustibles
N° E 318486/2023.- Santiago, 6 de marzo de 2023.
Esta Entidad de Control ha dado curso al instrumento del rubro, que otorga a Kumleufú SpA la concesión provisional para el proyecto de transmisión de energía eléctrica denominado "Línea Eléctrica 1x220 kV Kumleufú - Nueva Pichirropulli", pero cumple con hacer presente que, en el penúltimo párrafo del considerando 7º de la resolución en estudio, se advierte un error en el tipo de concesión eléctrica, toda vez que se trata de una concesión provisional, y no de una definitiva como allí se indica.
Por orden del Contralor General de la República.- Saluda atentamente a Ud., René Andrés Morales Rojas, Contralor Regional.
A la señora
Superintendenta de Electricidad y Combustibles
Presente.