EXTRACTO RESOLUCIÓN N° 1.203 EXENTA, DEL 13 DE DICIEMBRE DE 2023
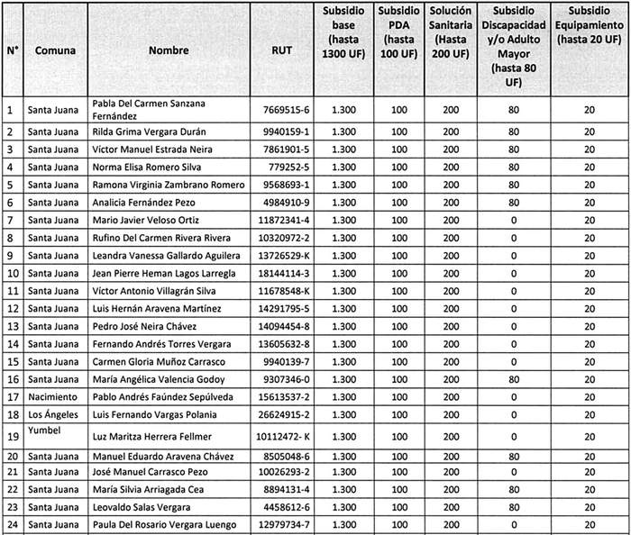
Mediante resolución exenta N° 1.203, de 13.12.2023, de esta Seremi, que se seleccionó a 44 personas, en el marco del Llamado a proceso de selección en Condiciones Especiales 2023 para el otorgamiento de subsidios habitacionales del Fondo Solidario de Elección de Vivienda, regulado por el DS N° 49 (V. y U.), de 2011, Alternativa de Postulación Individual y Colectiva para las Tipologías de Pequeño Condominio, Densificación Predial y Construcción en Sitio Propio, incluyendo el procedimiento de autoconstrucción asistida en los casos que procede, para familias cuyas viviendas se vieron afectadas por el incendio ocurrido en las regiones de Ñuble, Biobío y La Araucanía.
Nómina de Personas Seleccionadas:
La nómina de beneficiarios, incluidas en la presente resolución podrá difundirse en un periódico de circulación regional o nacional, o en el sitio web del Minvu o de Serviu Región del Biobío, durante los 15 días posteriores a la publicación de la presente resolución.


Claudia Toledo Alarcón, Secretaria Regional Ministerial de Vivienda y Urbanismo, Región del Biobío.