ORDENA EL DESARME Y EL DESALOJO ADMINISTRATIVO DE LOS INMUEBLES FISCALES UBICADOS EN AVDA. LA PAZ Y CALLE CHACABUCO, DE LA COMUNA DE COPIAPÓ, CORRESPONDIENTE A LOS LOTES Nº 1, 2, 3, 4, 5, 6A, 6B Y 7, DEL SECTOR ENTREPUENTES
Núm. 270 exenta.- Copiapó, 25 de marzo de 2024.
Vistos:
Los artículos 115 bis y 116, de la Constitución Política de la República; artículos 2º letra c) y 4º letra h), del decreto con fuerza de ley 1-19.175, que Fija el Texto Refundido, Coordinado, Sistematizado y Actualizado de la Ley Nº 19.175, Orgánica Constitucional sobre Gobierno y Administración Regional, del Ministerio del Interior; decreto con fuerza de ley Nº 22, de 1959, que Fija el Texto de la Ley Orgánica del Servicio de Gobierno Interior de la República, del Ministerio de Hacienda, artículos 32 a 34; Ordinario Nº 58 del 12 de enero 2024 del Director de Serviu Región de Atacama; Ord. Nº 2284 de fecha 22 de diciembre de 2023; copia autorizada de la inscripción de dominio del Lote Nº 7, de fecha 3 de enero de 2024, de fojas 9 número 10 correspondiente al Registro de Propiedad del año 2024; copia del plano de expropiaciones de Entre Puentes, agregado bajo el Nº 2763, del Reg. de documentos archivados del CBR de Copiapó, año 2022; "10 Plano Expropiación SRAUGS-CAT-001" y "11 Plano Expropiación SRAUGS-1935", inscrito a fojas Nº 2.763 y Nº 2.865 del Registro de Propiedad del año 2022 del CBR de Copiapó; correo electrónico de fecha 14.02.2024, del Encargado (S) del Departamento de Coordinación y Gestión Territorial; y el decreto supremo en trámite Nº 356, de fecha 1 de diciembre de 2023, del Ministerio del Interior y Seguridad Pública; y lo dispuesto en la resolución Nº 7, de 2019, de la Contraloría General de la República.
Considerando:
1. Que, conforme a lo dispuesto en el artículo 115 bis de la Constitución Política de la República, en cada región existirá una Delegación Presidencial Regional, a cargo de un Delegado Presidencial Regional, el que ejercerá las funciones y atribuciones del Presidente de la República en la región, en conformidad a la ley. El Delegado Presidencial Regional será el representante natural e inmediato, en el territorio de su jurisdicción del Presidente de la República y será nombrado y removido libremente por él. El Delegado Presidencial Regional ejercerá sus funciones con arreglo a las leyes y a las órdenes e instrucciones del Presidente de la República.
2. Que, conforme a lo anterior y en relación a lo dispuesto en el artículo 4º letra h) de la ley Nº 19.175, corresponde al Delegado Presidencial Regional vigilar y cuidar la conservación de los bienes del Estado, en particular del respeto al uso para los cuales fueron destinados, e impedir que se ocupen en todo o parte por personas ajenas a su beneficio o ámbito legal, y se restituyan en la medida que la entidad correspondiente lo solicite.
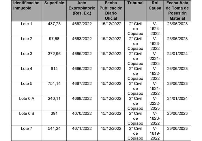
3. Que, en atención a lo solicitado en el Ord. Nº 58 de fecha 12 de enero de 2024 del Sr. Rodrigo Maturana Fuentes, Director Regional de Serviu, se requirió a esta repartición adoptar las medidas tendientes a desalojar a todo ocupante ilegal de los inmuebles, ubicados en Avda. La Paz y calle Chacabuco, de la comuna de Copiapó, correspondiente a los lotes Nº 01-02-04-05-6A, A7 -a inclusive, según consta plano de Expropiación- "10 Plano Expropiación SRAUGS-CAT-001" y "11 Plano Expropiación SRAUGS-1935", e inscrito a fojas Nº 2763 y Nº 2865 del Registro de Propiedad del año 2022 del CBR de Copiapó, según imagen adjunta, cuales fueron notificados, en primera instancia el 27 y 28 de diciembre de 2023, mediante Ord. Nº 2284 de fecha 22 de diciembre de 2023.
4. Que, el terreno previamente señalado se encuentra bajo ocupación ilegal, la que se encuentra acompañada de la intervención y alteración del lugar, lo que reviste un gran riesgo para la vida e integridad de las personas, tanto para los propios ocupantes como para la población toda.
5. Que, el inmueble en cuestión comprende, entre otros, 8 lotes correspondientes a la manzana 7 del sector Entrepuentes, individualizados en los planos como lotes 1 al 7, los cuales fueron expropiados conforme a las resoluciones (actos expropiatorios) que se tienen a la vista.
6. Que, por su parte, y tras la gestión judicial de rigor, el tribunal respectivo otorgó la toma de posesión material de todos los lotes expropiados, realizándose posteriormente dicha toma de posesión material ante receptor judicial. Conforme a lo señalado, en la siguiente tabla se indican los datos de las propiedades a desalojar:

7. En relación al Lote 7, este se encuentra actualmente inscrito a nombre del Serviu Región de Atacama a fojas 9, Nº 10, del año 2024, de acuerdo a la copia de inscripción que se señala en los vistos.
8. Que, respecto del resto de los lotes expropiados, estos se encuentran en proceso de inscripción a nombre del Serviu (salvo Lote 7), por lo que resulta necesario señalar que en estos casos (expropiación), conforme se indica en el artículo 20 del DL 2186/1978, el dominio de los lotes expropiados "quedará radicado, de pleno derecho, a título originario en el patrimonio del expropiante..." y que la inscripción ante el Conservador de Bienes Raíces del Lote expropiado solo tiene por finalidad conservar la historia fidedigna de la propiedad.
9. Que, el inmueble previamente señalado se encuentra ubicado en las siguientes coordenadas:

10. Que, con fecha 06.03.2024, se realiza una intervención en el presente inmueble fiscal levantándose un catastro por parte de la DPR Atacama, Serviu, Seremi de Desarrollo Social y Familia y la I. Municipalidad de Copiapó, donde se constató la presencia de 4 grupos familiares, de los cuales 2 de ellos, de acuerdo a los antecedentes recabados, se priorizaron y se evaluarán beneficios o subsidios habitacionales, según corresponda.
11. Que, la ocupación ilegal contraviene abiertamente la legislación vigente, causando graves perjuicios a los intereses fiscales al no poder disponer el Fisco de sus propios bienes inmuebles; siendo de imperiosa necesidad que esta autoridad adopte las medidas administrativas pertinentes, dentro del marco de sus atribuciones, teniendo presente, además, el riesgo inminente que esta ocupación reviste para la vida e integridad de la población.
Resuelvo:
1. Ordénese el desarme de todo cerco, mejora y/o construcción, y el desalojo en su caso, obteniendo así la restitución inmediata del terreno o inmueble fiscal precedentemente señalado en la parte considerativa.
2. Requiérase administrativamente a todo ocupante ilegal del inmueble fiscal en comento, a través de la publicación del presente acto administrativo en el Diario Oficial, conforme al artículo 48 letra b) de la ley número 19.880, considerando que se ignora el número de personas a quienes afectará esta disposición.
3. Dispóngase que todos quienes se encuentren en calidad de ocupantes ilegales en el referido inmueble fiscal deberán hacer abandono del mismo en un plazo no superior a 5 días hábiles de efectuada la publicación de la presente resolución exenta, por carecer de derecho alguno para ocupar el inmueble.
4. Déjese establecido que en caso de no cumplir con lo ordenado en el resuelvo anterior, se actuará debida y seguidamente al vencimiento del plazo otorgado, con el auxilio de la fuerza pública si fuere necesario y/o hubiere oposición de los actuales ocupantes, a fin de obtener la entrega del inmueble, conforme las atribuciones contempladas en el artículo 2º letra c) de la ley Nº 19.175.
5. Téngase presente que actuará como Ministro de Fe por parte de Serviu Región de Atacama, el funcionario pública de dicha repartición don Jorge Flores Morales, cédula nacional de identidad número 5.034.551-3, contrata, profesional grado 5º, Analista Depto. Operaciones Habitacionales - Serviu Atacama, y por la Delegación Presidencial Regional de Atacama, actuará como tal el funcionario público don Francisco Galleguillos Severino, cédula nacional de identidad Nº 18.844.991-3, contrata, profesional, grado 12º, profesional del Depto. de Coordinación y Gestión Territorial, quienes procederán a levantar acta de lo actuado. Para el debido cumplimiento de lo resuelto y para la recepción de los terrenos antes singularizados, los ministros de fe contarán con amplias facultades, pudiendo ser auxiliados de ser necesario por Carabineros de Chile en caso de oposición o resistencia al desalojo, con facultades de allanamiento y descerrajamiento.
6. Téngase presente que en virtud del principio de coordinación, la ejecución de lo ordenado por este acto administrativo se llevará en conjunto entre esta repartición y el requirente, siendo de cargo de este último, la adquisición de la logística técnica y material para el operativo de desalojo de rigor, así como su calendarización, debiendo informar con antelación a esta repartición la fecha en la que se procederá con la restitución administrativa; estando a cargo esta Delegación Presidencial Regional, a través del Departamento de Coordinación y Gestión Territorial, de la coordinación necesaria con Carabineros de Chile para llevar a cabo la diligencia.
7. Téngase presente que quien ha solicitado la restitución administrativa en comento, deberá adoptar todas las medidas tendientes a evitar una nueva ocupación del bien inmueble individualizado en el presente documento.
8. Déjese establecido que contra la presente resolución exenta proceden los recursos establecidos en la ley.
9. Publíquese el presente acto administrativo en el Diario Oficial, conforme a lo resuelto precedentemente.
10. Impútese el gasto que implique la publicación en el Diario Oficial de la presente resolución exenta, a la cuenta contable presupuestaria subtítulo 22, ítem 07.001 "Publicidad", de esta Delegación Presidencial Regional de Atacama.
Anótese, comuníquese, publíquese y archívese.- Luis Boris Pino Palacios, Delegado Presidencial Regional de Atacama.