MODIFICA, POR RAZONES DE INTERÉS PÚBLICO, LAS CARACTERÍSTICAS DE LAS OBRAS Y SERVICIOS QUE INDICA DEL CONTRATO DE CONCESIÓN DE LA OBRA PÚBLICA FISCAL DENOMINADA "RED LOS RÍOS - LOS LAGOS: HOSPITAL DE LOS LAGOS, HOSPITAL DE LA UNIÓN, HOSPITAL DE RÍO BUENO Y HOSPITAL DE PUERTO VARAS" Y APRUEBA CONVENIO AD - REFERÉNDUM Nº 1
Núm. 37.- Santiago, 5 de abril de 2024.
Vistos:
- El DFL MOP Nº 850 de 1997, que fijó el texto refundido, coordinado y sistematizado de la Ley Nº 15.840, de 1964, Orgánica del Ministerio de Obras Públicas y del DFL Nº 206, de 1960, Ley de Caminos, y sus modificaciones.
- El decreto supremo MOP Nº 900 de 1996, que fijó el texto refundido, coordinado y sistematizado del DFL MOP Nº 164, de 1991, Ley de Concesiones de Obras Públicas, y sus modificaciones, en especial su artículo 19º.
- El decreto supremo MOP Nº 956 de 1997, Reglamento de la Ley de Concesiones de Obras Públicas, y sus modificaciones, en especial el artículo 69º.
- El decreto supremo MOP Nº 9, de fecha 13 de enero de 2022, que adjudicó el contrato de concesión para la ejecución, reparación, conservación y explotación de la obra pública fiscal denominada "Red Los Ríos - Los Lagos: Hospital de Los Lagos, Hospital de La Unión, Hospital de Río Bueno y Hospital de Puerto Varas".
- La Ley Nº 21.044, de fecha 17 de noviembre de 2017, que crea la Dirección General de Concesiones de Obras Públicas.
- El DFL MOP Nº 7, de fecha 25 de enero de 2018, que fija la planta de personal y fecha de iniciación de actividades de la Dirección General de Concesiones de Obras Públicas.
- La Carta SCRS/GG/008/2022, de fecha 28 de noviembre de 2022, de la Sociedad Concesionaria.
- Los oficios Ord. IF Nº 119/2022 y Nº 118/2022, de fechas 24 y 25 de noviembre de 2022, respectivamente, del Inspector Fiscal.
- El oficio Ord. IF Nº 127/2022, de fecha 5 de diciembre de 2022, del Inspector Fiscal.
- Las Cartas SCRS/IF/165/2023, SCRS/IF/166/2023 y SCRS/IF/167/2023, todas de fecha 4 de enero de 2023, de la Sociedad Concesionaria.
- El oficio Ord. Nº 0777, de fecha 15 de febrero de 2023, del Consejo de Monumentos Nacionales.
- El oficio Ord. IF Nº 066/2023, de fecha 17 de febrero de 2023, del Inspector Fiscal.
- La Carta SCRS/IF/267/2023, de fecha 14 de abril de 2023, de la Sociedad Concesionaria.
- La resolución DGC (exenta) Nº 39, de fecha 28 de abril de 2023.
- El decreto supremo MOP Nº 102, de fecha 8 de junio de 2023.
- La carta SCRS/IF/310/2023, de fecha 22 de junio de 2023, de la Sociedad Concesionaria.
- El oficio Ord. Nº 2876, de fecha 10 de julio de 2023, del Consejo de Monumentos Nacionales.
- La Propuesta de Rescate Arqueológico del sitio HLU-1, Ingreso CMN Nº 5396, de fecha 22 de agosto de 2023.
- El oficio Ord. Nº 3797, de fecha 25 de agosto de 2023, del Consejo de Monumentos Nacionales.
- El oficio Ord. IF Nº 244/2023, de fecha 30 de agosto de 2023, del Inspector Fiscal.
- El oficio Ord. C4/Nº 3362, de fecha 15 de septiembre de 2023, del Subsecretario de Redes Asistenciales del Ministerio de Salud.
- El oficio Ord. Nº4691, de fecha 19 octubre de 2023, del Consejo de Monumentos Nacionales.
- El oficio Ord. C4/Nº 3761, de fecha 23 de octubre de 2023, del Subsecretario de Redes Asistenciales del Ministerio de Salud.
- El oficio Ord. IF Nº 292/2023, de fecha 24 de octubre de 2023, del Inspector Fiscal.
- La carta SCRS/IF/388/2023, de fecha 24 de octubre de 2023, de la Sociedad Concesionaria.
- El oficio Ord. IF Nº 293/2023, de fecha 25 de octubre de 2023, del Inspector Fiscal.
- El oficio Ord. Nº 00072, de fecha 25 de octubre de 2023, del Jefe de la División de Construcción de la Dirección General de Concesiones de Obras Públicas.
- La resolución DGC (exenta) Nº 106, de fecha 26 de octubre de 2023.
- El oficio Ord. C4/Nº 4399, de fecha 19 de diciembre de 2023, del Subsecretario de Redes Asistenciales del Ministerio de Salud.
- El oficio Ord. IF-SC Nº 054/2024, de fecha 31 de enero de 2024, del Inspector Fiscal.
- El oficio Ord. Nº 007, de fecha 31 de enero de 2024, del Director General de Concesiones de Obras Públicas.
- El oficio Ord. C47/Nº 488, de fecha 15 de febrero de 2024, del Subsecretario de Redes Asistenciales del Ministerio de Salud.
- La Ley Nº 21.640, ley de presupuestos del sector público correspondiente al año 2024, en particular su artículo 18.
- La resolución Nº 7, de 2019, de la Contraloría General de la República, que fijó normas sobre exención del trámite de toma de razón.
Considerando:
1º Que de conformidad al artículo 2 de la Ley Nº 21.044 de 2017, desde la fecha de inicio de las funciones de la Dirección General de Concesiones de Obras Públicas fijada en el DFL MOP Nº 7 de 2018, ésta asumió la totalidad de las competencias, funciones y atribuciones que desempeñaba la Dirección General de Obras Públicas, por sí y a través de la Coordinación de Concesiones de Obras Públicas, dispuestas en el DFL MOP Nº 850 de 1997, Ley Orgánica del Ministerio de Obras Públicas, relacionadas con la Ley de Concesiones de Obras Públicas, y por tanto, está encargada especialmente de continuar la gestión de los contratos de estudios, asesorías y concesión a través de sus etapas de proyecto, construcción y explotación, respecto de todos los contratos que, hasta la fecha de entrada en vigor de esa ley, la Dirección General de Obras Públicas tenía a su cargo.
2º Que el artículo 19º de la Ley de Concesiones de Obras Públicas establece que el Ministerio de Obras Públicas podrá modificar las características de las obras y servicios contratados, a objeto de incrementar los niveles de servicio y estándares técnicos establecidos en las Bases de Licitación, o por otras razones de interés público debidamente fundadas.
3º Que el artículo 69º del Reglamento de la Ley de Concesiones de Obras Públicas establece que el Ministerio de Obras Públicas, desde que se perfeccione el contrato, podrá modificar, por razones de interés público, las características de las obras y servicios contratados, agregando en su Nº 4 que el Director General de Concesiones de Obras Públicas, con el visto bueno del Ministro de Obras Públicas y del Ministro de Hacienda, por razones de urgencia, podrá exigir la modificación de las obras y servicios desde el momento que lo estime conveniente, aunque esté pendiente la determinación sobre la indemnización.
4º Que el inciso tercero del artículo 18 de la Ley Nº 21.640, ley de presupuestos del sector público correspondiente al año 2024, establece que las modificaciones que se incorporen a los contratos de concesión y los convenios en que se pacten las compensaciones derivadas de dichas modificaciones, se realizarán mediante decreto supremo fundado del Ministerio de Obras Públicas, dictado bajo la fórmula "por orden del Presidente de la República", debiendo llevar, además, la firma del Ministro de Hacienda.
5º Que el contrato de concesión de la obra pública fiscal denominada "Red Los Ríos - Los Lagos: Hospital de Los Lagos, Hospital de La Unión, Hospital de Río Bueno y Hospital de Puerto Varas", comprende el desarrollo integral de diseños, ejecución de obras civiles asociadas, implementación integral de equipamiento clínico, administrativo e industrial, además de la explotación de servicios básicos y especiales obligatorios según lo descrito en el artículo 2.6 letras a) y b) de las Bases de Licitación para cuatro recintos hospitalarios, ubicados en las ciudades de Los Lagos, La Unión y Río Bueno, todas de la Región de Los Ríos, y en la ciudad de Puerto Varas de la Región de Los Lagos.
6º Que de conformidad con lo establecido en el primer párrafo del numeral a.2.2 del Anexo Complementario A.2 referido al artículo 2.4.1 de las Bases de Licitación, la Sociedad Concesionaria está obligada a desarrollar el Proyecto Definitivo de Arquitectura de cada uno de los Establecimientos de Salud comprendidos en el Contrato de Concesión, a saber, Hospital de Los Lagos, Hospital de La Unión, Hospital de Río Bueno y Hospital de Puerto Varas, de acuerdo a lo señalado en los documentos "Criterios de Diseño de Arquitectura" y "Programa Médico Arquitectónico (PMA)", indicados en el artículo 1.3.4 de las Bases de Licitación, debiendo cumplir con todos los aspectos que tienen el carácter de obligatorios del respectivo Anteproyecto de Arquitectura Referencial.
7º Que, en el marco del contrato de concesión, actualmente la Sociedad Concesionaria se encuentra desarrollando el Proyecto Definitivo de los cuatro recintos hospitalarios. En dicho sentido, mediante los oficios Ord. IF Nº 118/2022, de fecha 25 de noviembre de 2022, Ord. IF Nº 119/2022, de fecha 24 de noviembre de 2022, Ord. IF Nº 127/2022, de fecha 5 de diciembre de 2022 y Ord. Nº 066/2023, de fecha 17 de febrero de 2023, el Inspector Fiscal aprobó las Segundas Entregas Parciales de los Proyectos Definitivos de los Hospitales de Río Bueno, La Unión, Los Lagos y Puerto Varas, respectivamente, todas las cuales consideraron una mayor superficie que la establecida en los respectivos PMA. Asimismo, a través de las cartas SCRS/IF/165/2023, SCRS/IF/166/2023 y SCRS/IF/167/2023 todas de fecha 4 de enero de 2023 y a través de la carta SCRS/IF/267/2023 de fecha 14 de abril de 2023, la Sociedad Concesionaria hizo entrega de las Terceras Entregas Parciales de los Proyectos Definitivos de los Hospitales de La Unión, Río Bueno, Los Lagos y Puerto Varas, respectivamente.
8º Que, respecto al Hospital de Los Lagos, mediante el oficio Ord. IF Nº 127/2022, de fecha 5 de diciembre de 2022, citado en el párrafo precedente, el Inspector Fiscal señaló que, en cuanto a la superficie asociada a los recintos obligatorios contenidos en el PMA contractual, ésta tiene un incremento respecto de la superficie prevista en el PMA contractual, lo cual excede con creces un ajuste propio del desarrollo del Proyecto Definitivo.
9º Que, mediante el oficio Ord. IF Nº 244/2023, de fecha 30 de agosto de 2023 el Inspector Fiscal remitió al Subsecretario de Redes Asistenciales, los resultados de análisis, con la revisión numérica de las diferencias de superficies declaradas por la Sociedad Concesionaria en las respectivas entregas parciales del desarrollo del Proyecto de Ingeniería Definitiva, respecto de aquellas correspondientes al PMA contractual, solicitando señalar los requerimientos del mandante en relación a variaciones de superficies de cada uno de los cuatro hospitales del Contrato de Concesión, individualizando la cantidad de metros cuadrados de aumento, junto con señalar los recintos involucrados.
10º Que mediante oficio Ord. C4/Nº 3362, de fecha 15 de septiembre de 2023, el Subsecretario de Redes Asistenciales del Ministerio de Salud informó al Inspector Fiscal que, en virtud de la revisión y aprobación de la segunda entrega parcial del proyecto definitivo y en atención a lo informado por el Inspector Fiscal en su oficio Ord. Nº IF 127/2022, esa Subsecretaría reconoce la necesidad de evaluar un aumento de superficie del PMA de licitación en el Hospital de Los Lagos, indicando que, luego de efectuar reuniones de trabajo entre los equipos técnicos del Servicio de Salud de Los Ríos, la Inspección Fiscal y la Subsecretaría de Redes Asistenciales, se concluyó que es posible validar un aumento máximo de 2.591 metros cuadrados adicionales, justificados principalmente por un error en el factor utilizado para la determinación de circulaciones y muros del PMA contractual, junto con un crecimiento menor de recintos clínicos, administrativos y técnicos, considerados necesarios para la función clínica y asistencial del proyecto. Adicionalmente, en el citado oficio, el Subsecretario de Redes Asistenciales del Ministerio de Salud informó que respecto de los otros hospitales incluidos en el Contrato Red Los Ríos-Los Lagos, a saber, los Hospitales de La Unión, Río Bueno y Puerto Varas, como Subsecretaría se encuentran en proceso de revisión de los antecedentes ante el eventual aumento de superficie del PMA, lo cual requiere un mayor plazo al supeditado en la suspensión para realizar el análisis que les permita emitir un pronunciamiento del respecto, sin perjuicio de que esta revisión es posible realizarla dentro del contexto del contrato de concesión.
11º Que, en virtud de lo señalado en el considerando precedente, el MOP ha estimado de interés público y urgencia modificar las características de las obras y servicios del contrato de concesión, en el sentido de aumentar la superficie definida en el "Programa Médico Arquitectónico (PMA)" del Hospital de Los Lagos, toda vez que ello es necesario para resolver lo señalado por el Subsecretario de Redes Asistenciales del Ministerio de Salud en su oficio Ord. C4/Nº 3362, en cuanto a que existe un error en el factor utilizado para la determinación de circulaciones y muros del PMA contractual, el cual utilizó una tasa del 49%, muy por debajo del 73% que fue el resultado del diseño del proyecto, el cual describe de mejor forma las necesidades de un hospital de tipo comunitario, junto con un crecimiento menor de recintos clínicos, administrativos y técnicos, considerados necesarios para la función clínica y asistencial del proyecto. Las razones de urgencia se fundaron en que las últimas entregas del Proyecto Definitivo de los recintos hospitalarios antes señalados, se encontraban en etapa de revisión y subsanación de observaciones, por lo que dicha situación debía resolverse a la brevedad de modo de no atrasar su revisión y eventual aprobación.
12º Que, posteriormente, mediante oficio Ord. C4/Nº 3761, de fecha 23 de octubre de 2023, el Subsecretario de Redes Asistenciales del Ministerio de Salud informó que, en complemento a lo informado en Ordinario C4/Nº 3362 de fecha 15 de septiembre de 2023, se reconoce la existencia de mayores superficies respecto del PMA de Licitación, en los hospitales de La Unión, Río Bueno y Puerto Varas. Lo anterior, fundamentado en la aprobación de las segundas entregas parciales de los proyectos definitivos de dichos hospitales a través de los oficios Ord. IF Nº 118/2022, de fecha 25 de noviembre de 2022, Ord. IF Nº 119/2022, de fecha 24 de noviembre de 2022 y Ord. Nº 066/2023, de fecha 17 de febrero de 2023 del Inspector Fiscal del Contrato de Concesión. En ese contexto, el Subsecretario de Redes Asistenciales señaló que, sin perjuicio del reconocimiento de la existencia de mayores superficies en los hospitales antes señalados y de la necesidad ante este incremento de aumentar los plazos de construcción de dichos hospitales, aún se encuentra en proceso de revisión la magnitud de las modificaciones asociadas a la definición del respectivo PMA definitivo. Por último, en el citado oficio, el Subsecretario de Redes Asistenciales señaló que posteriormente y bajo el marco de las obligaciones que dispone el contrato de concesión, se podrá establecer, en conjunto con la Dirección General de Concesiones, la pertinencia y valorización económica de la compensación que corresponda en caso que se verifique alguna de las razones señaladas.
13º Que, por otra parte, durante los trabajos preliminares de construcción del Hospital de La Unión, de conformidad a lo informado por la Sociedad Concesionaria en su carta SCRS/GG/008/2022, de fecha 28 de noviembre de 2022, se produjo un hallazgo arqueológico no previsto en obra, el cual a la fecha ha mantenido detenidos los trabajos en dicho hospital.
Al respecto, mediante oficio Ord. Nº 0777, de fecha 15 de febrero de 2023, el Consejo de Monumentos Nacionales autorizó la caracterización arqueológica en dicho hospital, en virtud de lo cual, con fecha 16 de junio de 2023, según consta en carta SCRS/IF/310/2023, de fecha 22 de junio de 2023, la Sociedad Concesionaria ingresó el informe Ejecutivo de Caracterización al Consejo de Monumentos Nacionales. Al respecto, mediante oficio Ord. Nº 2876, de fecha 10 de julio de 2023, el Consejo de Monumentos Nacionales se pronunció sobre dicho informe y solicitó conformar una mesa de trabajo con el MOP y la Sociedad Concesionaria para definir el rescate de los hallazgos arqueológicos adecuado.
En virtud de lo anterior, se envió al Consejo de Monumentos Nacionales para su pronunciamiento la Propuesta de Rescate Arqueológico del sitio HLU-1, Ingreso CMN Nº 5396, de fecha 22 de agosto de 2023, la cual fue aprobada por el Consejo de Monumentos Nacionales mediante oficio Ord. Nº 3797 de fecha 25 de agosto de 2023, quedando a la espera de la presentación del formulario de solicitud arqueológica (FSA) para otorgar el permiso correspondiente según lo propuesto.
14º Que, en virtud de lo señalado en los considerandos precedentes, el MOP ha estimado de interés público y urgencia modificar las características de las obras y servicios del contrato de concesión, en el sentido que la Sociedad Concesionaria deberá efectuar las labores de rescate del hallazgo arqueológico del Hospital de La Unión, conforme la Propuesta de Rescate Arqueológico del sitio HLU-1, Ingreso CMN Nº 5396, de fecha 22 de agosto de 2023, aprobada por el Consejo de Monumentos Nacionales en su oficio Ord. Nº 3797, de fecha 25 de agosto de 2023. Lo anterior, toda vez que ello resulta indispensable para poder retomar, a la brevedad, los trabajos preliminares de construcción de dicho hospital con la finalidad de evitar mayores atrasos en la ejecución de dichas obras. Las razones de urgencia se fundaron en que las últimas entregas del Proyecto Definitivo de los recintos hospitalarios antes señalados se encontraban en etapa de revisión y subsanación de observaciones, por lo que dicha situación debía resolverse a la brevedad de modo de no atrasar su construcción.
15º Que, en adición a lo anterior, durante los trabajos preliminares en el Hospital de Puerto Varas, de conformidad a lo informado por la Sociedad Concesionaria en su carta SCRS/IF/195/2023, de fecha 31 de enero de 2023, se produjo un hallazgo arqueológico no previsto en obra.
Al respecto, mediante oficio Ord. CMN Nº 960, de fecha 23 de febrero de 2023, el Consejo de Monumentos Nacionales autorizó la caracterización arqueológica en dicho hospital, en virtud de lo cual, con fecha 29 de mayo de 2023, según consta en carta SCRS/IF/300/2023, la Sociedad Concesionaria ingresó el informe Ejecutivo al Consejo de Monumentos Nacionales correspondiente a los trabajos de caracterización arqueológica en el Hospital de Puerto Varas. Posteriormente, mediante oficio Ord. CMN Nº 2766, de fecha 3 de julio de 2023, el Consejo de Monumentos Nacionales se pronunció sobre dicho informe y solicitó complementar los trabajos arqueológicos mediante la ejecución de nuevas unidades en los sectores no caracterizados del área del proyecto para que, una vez completada la caracterización solicitada, se presente una propuesta de rescate. Con fecha 15 de septiembre de 2023, mediante carta SCRS/IF/372/2023, se informó al Inspector Fiscal que con fecha 14 de septiembre de 2023, se formalizó la presentación del Informe Ejecutivo de caracterización arqueológica al Consejo de Monumentos Nacionales. Finalmente, mediante oficio Ord. Nº 4691, de fecha 19 octubre de 2023, el Consejo de Monumentos Nacionales se pronunció conforme con los resultados de la actividad realizada y el informe ejecutivo, los cuales subsanan las observaciones realizadas mediante el citado oficio Ord. CMN Nº 2766, dando conformidad al inicio de las obras de construcción con las medidas de resguardo correspondientes respecto del sitio arqueológico HPV-1.
16º Que, por otra parte, mediante resolución DGC (exenta) Nº 39, de fecha 28 de abril de 2023, sancionada mediante el decreto supremo MOP Nº 102, de fecha 8 de junio de 2023, se modificaron las características de las obras y servicios del contrato de concesión en el sentido que se suspendieron transitoriamente, por un plazo máximo de 6 meses, todas y cada una de las actividades y obligaciones relacionadas con el desarrollo de los Proyectos Definitivos y la ejecución de las obras del contrato de concesión, con excepción de las obligaciones establecidas en los artículos 1.8.3.1; 1.8.5; 1.8.6; 1.8.8; 1.9.3; y 1.12.1 de las Bases de Licitación y en el artículo 2.4 del Anexo G de las mismas bases.
En virtud de lo dispuesto en el citado decreto supremo, las partes del contrato de concesión se encuentran trabajando en resolver las inconsistencias detectadas, por lo cual el MOP ha estimado de interés público y urgencia modificar las características de las obras y servicios del contrato de concesión, en el sentido de alzar la suspensión de plazos dispuesta en el decreto supremo MOP Nº 102 de 2023, con el objeto de permitir que la Sociedad Concesionaria avance a la brevedad en las labores que puedan ejecutarse mientras se resuelven las mencionadas inconsistencias y, de esa forma, evitar más dilaciones en la ejecución de las obras del contrato de concesión.
17º Que, en virtud de lo señalado en los considerandos precedentes, mediante resolución DGC (exenta) Nº 106, de fecha 26 de octubre de 2023, se modificaron las características de las obras y servicios del contrato de concesión, en el sentido que: i) se aumentó la superficie definida en el "Programa Médico Arquitectónico (PMA)" del Hospital de Los Lagos, de conformidad al cuadro Nº 1 de la citada resolución; ii) la Sociedad Concesionaria deberá efectuar las actividades y labores de rescate del hallazgo arqueológico del Hospital de La Unión, conforme la Propuesta de Rescate Arqueológico del sitio HLU-1, Ingreso CMN Nº 5396, de fecha 22 de agosto de 2023, aprobada por el Consejo de Monumentos Nacionales en su oficio Ord. Nº 3797; iii) se alzó la suspensión transitoria de todas y cada una de las actividades y obligaciones relacionadas con el desarrollo de los Proyectos Definitivos y la ejecución de las obras del contrato de concesión, dispuesta en el Nº 1 del decreto supremo MOP Nº 102 de 2023; y iv) se modificaron, en consecuencia con lo señalado en i), ii) y iii) anteriores, los plazos máximos que tendrá la Sociedad Concesionaria para entregar las declaraciones de avance y para obtener la autorización de las Puestas en Servicio Provisorias parciales y totales de los establecimientos hospitalarios que forman parte del contrato de concesión.
18º Que las modificaciones a las características de las obras y servicios del contrato de concesión dispuestas mediante resolución DGC (exenta) Nº 106, de fecha 26 de octubre de 2023, que se sanciona mediante el presente decreto supremo, involucran para la Sociedad Concesionaria nuevas inversiones y mayores gastos y costos, todo lo cual, de conformidad con lo prescrito en el artículo 19º de la Ley de Concesiones de Obras Públicas, obliga al MOP a compensarlas mediante la suscripción de un Convenio Ad - Referéndum.
19º Que mediante oficio Ord. Nº 007, de fecha 31 de enero de 2024, el Director General de Concesiones de Obras Públicas, atendido el trabajo de coordinación previo realizado por las partes, y en virtud de la conformidad dada por el Jefe del Departamento de Asociación Público - Privada de la División de Inversiones de la Subsecretaría de Redes Asistenciales del Ministerio de Salud, solicitó al Subsecretario de Redes Asistenciales ratificar formalmente su visto bueno al borrador de Convenio Ad - Referéndum Nº 1, que adjuntó.
20º Que el Subsecretario de Redes Asistenciales del Ministerio de Salud, mediante oficio Ord. C47/Nº 488, de fecha 15 de febrero de 2024, informó al Director General de Concesiones de Obras Públicas su pronunciamiento favorable al borrador de Convenio Ad - Referéndum Nº 1, en los términos y condiciones planteados.
21º Que a objeto de dar cumplimiento a lo establecido en los artículos 19º de la Ley de Concesiones de Obras Públicas y 69º de su Reglamento, se hace necesaria la dictación del presente decreto supremo fundado, que modifica, por razones de interés público, las características de las obras y servicios del contrato de concesión, en los términos señalados en la resolución DGC (exenta) Nº 106, de fecha 26 de octubre de 2023, y aprueba Convenio Ad - Referéndum Nº 1, de fecha 31 de enero de 2024.
Decreto:
1. Modifícanse, por razones de interés público, las características de las obras y servicios del contrato de concesión de la obra pública fiscal denominada "Red Los Ríos - Los Lagos: Hospital de Los Lagos, Hospital de La Unión, Hospital de Río Bueno y Hospital de Puerto Varas", en el sentido que se aumenta la superficie establecida en el "Programa Médico Arquitectónico (PMA)" del Hospital de Los Lagos, en un máximo de 2.591,17 metros cuadrados, el cual considera muros y circulaciones, recintos clínicos, administrativos y de apoyo y recintos técnicos, de conformidad a lo indicado en el Cuadro Nº 1 siguiente:

Se deja constancia que, de conformidad a lo informado por el Subsecretario de Redes Asistenciales del Ministerio de Salud, mediante el oficio Ord. C4/Nº 3362, de fecha 15 de septiembre de 2023, complementado mediante el oficio Ord. C4/Nº 3761, de fecha 23 de octubre de 2023, actualmente se encuentra en proceso de revisión la magnitud de las modificaciones asociadas a la definición del respectivo PMA del resto de los hospitales incluidos en el Contrato de Concesión, a saber, los Hospitales de La Unión, Río Bueno y Puerto Varas, luego de lo cual se podrá establecer, en el caso que corresponda y mediante la dictación de un acto administrativo distinto al presente, conforme a la Ley de Concesiones de Obras Públicas y su Reglamento, la magnitud del aumento de la superficie de dichos Hospitales en relación al respectivo PMA contractual y compensación en favor de la Sociedad Concesionaria por dicho aumento de superficies, en caso que corresponda si es que se verifica alguna de las siguientes razones: i) errores en la definición del respectivo PMA, ii) inconsistencias entre el respectivo PMA y los criterios de diseños establecidos en las Bases de Licitación, iii) inconsistencias entre el respectivo PMA y la normativa vigente, iv) requerimientos adicionales del Mandante, o bien, v) situaciones ajenas a responsabilidad de la Sociedad Concesionaria en el marco de las obligaciones que dispone el contrato de concesión.
Se establece que la revisión indicada en el párrafo precedente debía ser concluida en un plazo máximo de 30 días contados desde la fecha de la resolución DGC (exenta) Nº 106, de fecha 26 de octubre de 2023. Al respecto, se deja constancia que mediante oficio Ord. C4/Nº 4399, de fecha 19 de diciembre de 2023, el Subsecretario de Redes Asistenciales del Ministerio de Salud informó al Director General de Concesiones de Obras Públicas su validación a la necesidad de aumento de metros cuadrados del PMA del contrato en los hospitales de La Unión, Río Bueno y Puerto Varas, indicando la diferencia máxima adicional para cada uno de dichos hospitales.
2. Modifícanse, por razones de interés público, las características de las obras y servicios del contrato de concesión de la obra pública fiscal denominada "Red Los Ríos - Los Lagos: Hospital de Los Lagos, Hospital de La Unión, Hospital de Río Bueno y Hospital de Puerto Varas", en el sentido que "Sociedad Concesionaria Región Sur S.A." deberá efectuar las actividades y labores de rescate del hallazgo arqueológico del Hospital de La Unión, conforme con la Propuesta de Rescate Arqueológico del sitio HLU-1, Ingreso CMN Nº 5396, de fecha 22 de agosto de 2023, aprobada por el Consejo de Monumentos Nacionales en su oficio Ord. Nº 3797, de fecha 25 de agosto de 2023.
3. Modifícanse, por razones de interés público, las características de las obras y servicios del contrato de concesión de la obra pública fiscal denominada "Red Los Ríos - Los Lagos: Hospital de Los Lagos, Hospital de La Unión, Hospital de Río Bueno y Hospital de Puerto Varas", en particular lo dispuesto en el decreto supremo MOP Nº 102, de fecha 8 de junio de 2023, en el sentido que se alza la suspensión transitoria de todas y cada una de las actividades y obligaciones relacionadas con el desarrollo de los Proyectos Definitivos y la ejecución de las obras del contrato de concesión, dispuesta en el Nº 1 del citado decreto supremo.
Sin perjuicio de lo anterior, a más tardar en el plazo que vencía el 31 de enero de 2024, las partes debían resolver las inconsistencias existentes respecto de la codificación, relación y nombres de recintos entre el "Programa Médico Arquitectónico (PMA)" y el "Programa Médico Funcional (PMF)" contractual, así como también en cuanto a la asignación de equipamiento y mobiliario del Anexo I en los recintos correspondientes y evaluar las implicancias que estas modificaciones podrían introducir en el proyecto, dimensionando los costos y plazos que ello implicaría. Una vez resueltas tales inconsistencias, el Inspector Fiscal deberá dejar constancia de tal circunstancia mediante anotación en el Libro de Obras u oficio y, en el caso que se determine la necesidad de disponer modificaciones al Contrato de Concesión, el MOP deberá tramitar un nuevo acto administrativo, reconociendo, como es habitual, los eventuales perjuicios, debidamente acreditados, que dichas modificaciones pudieren generar a la Sociedad Concesionaria. Se deja constancia que la certificación señalada en el presente párrafo fue efectuada por el Inspector Fiscal mediante oficio Ord. IF-SC Nº 054/2024, de fecha 31 de enero de 2024.
Se establece que, como consecuencia de lo dispuesto en el presente Nº 3, los plazos para cumplir con todas y cada una de las obligaciones del contrato de concesión asociadas a los Hospitales de Los Lagos, Río Bueno y Puerto Varas, con excepción de las obligaciones establecidas en los artículos citados en el primer párrafo del Nº 1 del decreto supremo MOP Nº 102 de 2023 y aquellos establecidos en el Cuadro Nº 3 que se incluyen en el Nº 4 del presente decreto supremo, asociados a los citados hospitales, se entienden ampliados hasta 30 días posteriores a la fecha en que el Inspector Fiscal efectúe la certificación señalada en el párrafo precedente. Por su parte, se establece que, como consecuencia de lo dispuesto en el presente Nº 3, los plazos para cumplir con todas y cada una de las obligaciones del contrato de concesión asociadas al Hospital de La Unión, con excepción de las obligaciones asociadas al citado hospital, establecidas en los artículos citados en el primer párrafo del Nº 1 del decreto supremo MOP Nº 102 de 2023 y aquellos establecidos en el Cuadro Nº 3 que se incluyen en el Nº 4 del presente decreto supremo, se entienden ampliados hasta 30 días posteriores a la fecha en que el Consejo de Monumentos Nacionales libere completamente los terrenos asociados a dicho hospital.
Para efecto de lo dispuesto en el párrafo anterior, se modifica lo establecido en el artículo 1.6.3 del Anexo Complementario de las Bases Administrativas, en el sentido que el saldo del capital que deberá aportar la Sociedad Concesionaria conforme lo señalado en el citado artículo, se pagará según los montos y plazos máximos que se indican en el siguiente Cuadro Nº2:

4. Modifícanse, por razones de interés público, las características de las obras y servicios del contrato de concesión de la obra pública fiscal denominada "Red Los Ríos - Los Lagos: Hospital de Los Lagos, Hospital de La Unión, Hospital de Río Bueno y Hospital de Puerto Varas", en el sentido que, como consecuencia de lo señalado en el presente decreto supremo, los plazos máximos que tendrá la Sociedad Concesionaria para entregar las declaraciones de avance y para obtener la autorización de las Puestas en Servicio Provisorias parciales y totales de los establecimientos hospitalarios que forman parte del contrato de concesión, las cuales se señalan en los artículos 1.9.6 y 1.10.3 de las Bases de Licitación, respectivamente, y en su Anexo Complementario, serán los que se indican en el Cuadro Nº 3 siguiente:

Para el caso de los Hospitales de Los Lagos, Río Bueno y Puerto Varas, dichos plazos se contabilizarán desde los treinta días siguientes a la fecha en que el Inspector Fiscal efectúe la certificación señalada en el Nº 3 precedente. Para el caso del Hospital de La Unión, éstos se contabilizarán a partir de los treinta días siguientes a la fecha en que el Consejo de Monumentos Nacionales libere completamente los terrenos asociados a dicho hospital.
5. Déjase constancia que, producto de la existencia del hallazgo arqueológico en el Hospital de La Unión, los plazos de construcción de dicho hospital se verán fuertemente afectados, por lo que su construcción finalizará en un plazo muy superior al resto de los hospitales. Lo anterior podría afectar la aplicación del Mecanismo de Distribución de Riesgo Financiero (MDRF) establecido en el artículo 1.12.10 de las Bases de Licitación, por lo que las partes, en el convenio señalado en el Nº 11 del presente decreto supremo, modificarán dicho mecanismo para los efectos de que sea aplicable para cada hospital a partir de su respectiva autorización de pago de subsidios, y no desde la Puesta en Servicio Definitiva como está definido actualmente en el contrato de concesión, y valorizarán su efecto financiero, el cual será utilizado para compensar la modificación materia del Nº 2 del presente decreto supremo.
6. Establécese que los montos que reconocerá el MOP por las modificaciones a las características de las obras y servicios dispuestas en Nº 1 y Nº 2 del presente decreto supremo, serán los siguientes:
6.1 Por concepto de los costos de construcción adicionales en que deba incurrir la Sociedad Concesionaria producto del aumento de la superficie dispuesta en el Nº 1 del presente decreto supremo, se fija el monto máximo de UF 135.505,45 (ciento treinta y cinco mil quinientas cinco coma cuarenta y cinco Unidades de Fomento), neto de IVA, el cual considera los mayores costos de construcción correspondientes al Hospital de Los Lagos.
El valor definitivo que se reconocerá por este concepto se determinará multiplicando las superficies adicionales que resulten del proyecto definitivo del respectivo establecimiento hospitalario, que apruebe el Inspector Fiscal, respecto de las superficies establecidas en el respectivo PMA, por los precios unitarios, en Unidad de Fomento por m2, que adjuntó el Inspector Fiscal en su oficio Ord. IF Nº 292/2023, de fecha 24 de octubre de 2023.
6.2 Por concepto de los costos adicionales, asociados a la operación y mantenimiento del Hospital de Los Lagos, en que deba incurrir la Sociedad Concesionaria producto del aumento de la superficie de dicho recinto dispuesta en el Nº 1 del presente decreto supremo, los montos correspondientes serán materia del Convenio que se aprueba en el Nº 11 del presente decreto supremo. Las controversias que se susciten entre el Concesionario y el Ministerio de Obras Públicas acerca de las modalidades de dicha compensación se resolverán en conformidad a lo señalado en los artículos 36º y 36º bis de la Ley de Concesiones de Obras Públicas. Sin perjuicio de lo cual, dichas controversias no impedirán la suscripción del referido Convenio, pudiendo las partes acordar todos aquellos aspectos que no sean controvertidos.
6.3 El monto que reconocerá el MOP por concepto de los costos de las labores de rescate del hallazgo arqueológico del Hospital de La Unión, que deberá realizar la Sociedad Concesionaria de conformidad a lo dispuesto en el Nº 2 del presente decreto supremo, se fija el monto máximo de UF 4.860 (Cuatro mil ochocientas sesenta Unidades de Fomento), neto de IVA, el que se reconocerá según su valor proforma, es decir, según los desembolsos que efectivamente realice la Sociedad Concesionaria por este concepto, los que deberán ser acreditados por ésta ante el Inspector Fiscal mediante las boletas o facturas correspondientes y los respectivos comprobantes de pago.
En caso de que la sumatoria de los desembolsos en que deba incurrir la Sociedad Concesionaria por concepto de las actividades y labores de rescate del hallazgo arqueológico del Hospital de La Unión, a que se refiere el Nº2 del presente decreto supremo, exceda el monto máximo que se indica en el párrafo precedente, dicho exceso deberá ser acreditado por la Sociedad Concesionaria y aprobado por el Inspector Fiscal. El monto aprobado por el Inspector Fiscal de conformidad con lo antes señalado será igualmente de costo del Minsal, quien, previo acuerdo de la forma de pago, deberá reembolsar dicha diferencia a la Sociedad Concesionaria, determinada en Unidades de Fomento y debidamente actualizada desde transcurridos 30 días desde la fecha efectiva del desembolso hasta su pago efectivo, considerando para ello un interés real diario equivalente, en base a 365 días, a la tasa de interés que se establezca en el Convenio que se aprueba en el Nº 11 del presente decreto supremo. En caso de no lograr acuerdo, la forma de pago de los montos aprobados por el Inspector Fiscal será determinada según el procedimiento establecido en los artículos 36º y 36º bis de la Ley de Concesiones de Obras Públicas.
7. Déjase constancia que el Impuesto al Valor Agregado (IVA) que soportare la Sociedad Concesionaria en relación con las modificaciones a las características de las obras y servicios dispuestas en el presente decreto supremo, recibirá el tratamiento que se establezca en el Convenio que se aprueba en el Nº 11 del presente decreto supremo.
8. Déjase constancia que los plazos de días establecidos en el presente decreto supremo, que vencieren en día inhábil, se prorrogarán hasta el día hábil siguiente. Para estos efectos, se entiende que son días hábiles los días lunes a viernes, a excepción de los días festivos.
9. Déjase constancia que las modificaciones que trata el presente decreto supremo no modifican ninguno de los demás plazos ni obligaciones del Contrato de Concesión.
10. Déjase constancia que mediante Carta SCRS/IF/388/2023, de fecha 24 de octubre de 2023, la Sociedad Concesionaria ratificó expresamente su acuerdo con las modificaciones informadas por el Inspector Fiscal en su oficio Ord. IF Nº 292/2023, en los términos, plazos, condiciones y valorizaciones que allí se indican, lo cual se dispone en la resolución DGC (exenta) Nº 106, de fecha 26 de octubre de 2023. Asimismo, en la citada Carta, la Sociedad Concesionaria ratificó que no existen perjuicios adicionales, distintos de las valorizaciones que expresamente se indican en el "Modelo de resolución que se dictará al efecto" adjunto al citado oficio y que se disponen en la resolución DGC (exenta) Nº 106, de fecha 26 de octubre de 2023, que deban ser indemnizados por el MOP, y que, por tanto, en el convenio que al efecto suscribirán las partes, que establezca las modalidades de compensación por concepto de las valorizaciones indicadas, la Sociedad Concesionaria renunciará expresamente a cualquier derecho o acción que pudiera haberle correspondido en relación con las modificaciones informadas en el oficio Ord. IF Nº 292/2023 del Inspector Fiscal y que se disponen en la resolución DGC (exenta) Nº 106, de fecha 26 de octubre de 2023, con excepción de aquellas materias respecto de las cuales se consignó expresa reserva de acciones.
11. Apruébase el Convenio Ad - Referéndum Nº 1 del contrato de concesión de la obra pública fiscal denominada "Red Los Ríos - Los Lagos: Hospital de Los Lagos, Hospital de La Unión, Hospital de Río Bueno y Hospital de Puerto Varas", de fecha 31 de enero de 2024, celebrado entre la Dirección General de Concesiones de Obras Públicas, representada por su Director General, Sr. Juan Manuel Sánchez Medioli y "Sociedad Concesionaria Región Sur S.A.", debidamente representada por Darwin Cantillanes Véliz y por Felipe Olivares González, cuyo texto es el siguiente:
CONVENIO AD - REFERÉNDUM Nº 1
CONTRATO DE CONCESIÓN DE LA OBRA PÚBLICA FISCAL DENOMINADA "RED LOS RÍOS - LOS LAGOS: HOSPITAL DE LOS LAGOS, HOSPITAL DE LA UNIÓN, HOSPITAL DE RÍO BUENO Y HOSPITAL DE PUERTO VARAS"
En Santiago de Chile, a 31 días del mes de enero de 2024, entre la Dirección General de Concesiones de Obras Públicas, representada por su Director General, Sr. Juan Manuel Sánchez Medioli, ambos domiciliados para estos efectos en calle Merced Nº 753, piso 7, comuna de Santiago, en adelante el "MOP"; y "Sociedad Concesionaria Región Sur S.A.", sociedad concesionaria de la obra pública fiscal denominada "Red Los Ríos - Los Lagos: Hospital de Los Lagos, Hospital de La Unión, Hospital de Río Bueno y Hospital de Puerto Varas", RUT Nº 77.579.938-2, representada por don Darwin Cantillanes Véliz, cédula de identidad Nº 13.177.013-8, y por don Felipe Olivares González, cédula de identidad Nº 16.656.583-9, todos domiciliados para estos efectos en Cerro El Plomo Nº 5420, comuna de Las Condes, ciudad de Santiago, en adelante la "Sociedad Concesionaria", se ha pactado el siguiente Convenio Ad - Referéndum, que consta de las cláusulas que a continuación se expresan:
PRIMERO: ANTECEDENTES Y FUNDAMENTOS DEL PRESENTE CONVENIO AD - REFERÉNDUM.
1.1 "Sociedad Concesionaria Región Sur S.A." es titular del contrato de concesión de la obra pública fiscal denominada "Red Los Ríos - Los Lagos: Hospital de Los Lagos, Hospital de La Unión, Hospital de Río Bueno y Hospital de Puerto Varas", adjudicado por decreto supremo MOP Nº 9, de fecha 13 de enero de 2022, en adelante el "contrato de concesión".
1.2 De acuerdo con lo establecido en el artículo 2 de la Ley Nº 21.044, de 2017, desde la fecha de inicio de las funciones de la Dirección General de Concesiones de Obras Públicas fijada en el DFL MOP Nº 7, de 2018, ésta asumió la totalidad de las competencias, funciones y atribuciones que desempeñaba la Dirección General de Obras Públicas, por sí y a través de la Coordinación de Concesiones de Obras Públicas, dispuestas en el DFL MOP Nº 850, de 1997, Ley Orgánica del Ministerio de Obras Públicas, relacionadas con la Ley de Concesiones de Obras Públicas, y por tanto, está encargada especialmente de continuar la gestión de los contratos de estudios, asesorías y concesión a través de sus etapas de proyecto, construcción y explotación, respecto de todos los contratos que, hasta la fecha de entrada en vigor de esa ley, la Dirección General de Obras Públicas tenía a su cargo.
1.3 El artículo 19º de la Ley de Concesiones de Obras Públicas establece que el Ministerio de Obras Públicas podrá modificar las características de las obras y servicios contratados, a objeto de incrementar los niveles de servicio y estándares técnicos establecidos en las Bases de Licitación, o por otras razones de interés público debidamente fundadas, debiendo, como consecuencia, compensar económicamente al concesionario, cuando corresponda, por los costos adicionales en que éste incurriere por tal concepto. Las compensaciones económicas referidas precedentemente, deberán expresarse en los siguientes factores: subsidios entregados por el Estado, pagos voluntarios efectuados directamente al concesionario por terceros a quienes les interese el desarrollo de la obra, modificación del valor presente de los ingresos totales de la concesión, alteración del plazo de la concesión, modificación de las tarifas u otro factor del régimen económico de la concesión pactado, pudiendo utilizar uno o varios factores a la vez.
1.4 El artículo 69º del Reglamento de la Ley de Concesiones de Obras Públicas establece que el Ministerio de Obras Públicas, desde que se perfeccione el contrato, podrá modificar, por razones de interés público, las características de las obras y servicios contratados, agregando en su Nº 4 que el Director General de Concesiones de Obras Públicas, con el visto bueno del Ministro de Obras Públicas y del Ministro de Hacienda, por razones de urgencia, podrá exigir la modificación de las obras y servicios desde el momento que lo estime conveniente, aunque esté pendiente la determinación sobre la indemnización.
1.5 Mediante resolución DGC (exenta) Nº 106, de fecha 26 de octubre de 2023, se modificaron las características de las obras y servicios del contrato de concesión, en el sentido que: i) se aumentó la superficie definida en el "Programa Médico Arquitectónico (PMA)" del Hospital de Los Lagos, de conformidad al cuadro Nº 1 de la citada resolución; ii) la Sociedad Concesionaria deberá efectuar las actividades y labores de rescate del hallazgo arqueológico del Hospital de La Unión, conforme a la Propuesta de Rescate Arqueológico del sitio HLU-1, Ingreso CMN Nº 5396, de fecha 22 de agosto de 2023, aprobada por el Consejo de Monumentos Nacionales en su oficio Ord. Nº 3797; iii) se alzó la suspensión transitoria de todas y cada una de las actividades y obligaciones relacionadas con el desarrollo de los Proyectos Definitivos y la ejecución de las obras del contrato de concesión, dispuesta en el Nº 1 del decreto supremo MOP Nº 102 de 2023; y iv) se modificaron, en consecuencia con lo señalado en la citada resolución, los plazos máximos que tendrá la Sociedad Concesionaria para entregar las declaraciones de avance y para obtener la autorización de las Puestas en Servicio Provisorias parciales y totales de los establecimientos hospitalarios que forman parte del contrato de concesión.
1.6 Las modificaciones a las características de las obras y servicios del contrato de concesión dispuestas mediante resolución DGC (exenta) Nº 106, de fecha 26 de octubre de 2023, las cuales serán sancionadas en el decreto supremo que apruebe el presente convenio, involucran para la Sociedad Concesionaria nuevas inversiones y mayores gastos y costos, todo lo cual, de conformidad con lo prescrito en el artículo 19º de la Ley de Concesiones de Obras Públicas, obliga al MOP a compensarla, debiendo acordar con la Sociedad Concesionaria las indemnizaciones correspondientes.
1.7 La Sociedad Concesionaria, en virtud de los antecedentes y fundamentos enunciados, y según prescribe el artículo 19º de la Ley de Concesiones de Obras Públicas, ha convenido con el Ministerio de Obras Públicas las cláusulas que en el presente Convenio se indican.
1.8 Forman parte integrante del presente Convenio Ad - Referéndum los siguientes anexos que se adjuntan a éste:
Anexo Nº 1: Ejemplos Numéricos.
- Ítem 1: Ejemplo numérico sobre la forma de contabilización de los montos en la "Cuenta de Costos de Construcción Adicionales Convenio Ad - Referéndum Nº 1" conforme a lo establecido en la cláusula tercera del presente Convenio.
- Ítem 2: Ejemplo numérico sobre la forma de cálculo de los montos indicados en las respectivas resoluciones de Valores Devengados señaladas en la cláusula cuarta del presente Convenio.
- Ítem 3: Ejemplo numérico sobre la forma de contabilización de los montos en la "Cuenta de Labores de Rescate de Hallazgo Arqueológico Convenio Ad - Referéndum Nº 1" conforme a lo establecido en la cláusula sexta del presente Convenio.
Anexo Nº 2: Modelo de Resoluciones de Valores Devengados señaladas en la cláusula cuarta del presente Convenio.
SEGUNDO: VALORIZACIÓN DE LAS NUEVAS INVERSIONES, COSTOS Y GASTOS ASOCIADOS A LAS MODIFICACIONES DISPUESTAS MEDIANTE RESOLUCIÓN DGC (EXENTA) Nº 106 DE 2023.
Para compensar a la Sociedad Concesionaria por las nuevas inversiones, costos y gastos asociados a las modificaciones a las características de las obras y servicios del contrato de concesión dispuestas mediante resolución DGC (exenta) Nº 106, de fecha 26 de octubre de 2023, las cuales serán sancionadas en el decreto supremo que apruebe el presente convenio, las partes acuerdan las valorizaciones y regulaciones que se detallan a continuación:
2.1 Por concepto de los costos de construcción adicionales en que deba incurrir la Sociedad Concesionaria producto del aumento de la superficie dispuesta en el Nº 1 de la resolución DGC (exenta) Nº 106 de 2023, se fijó el monto máximo de UF 135.505,45 (ciento treinta y cinco mil quinientas cinco coma cuarenta y cinco Unidades de Fomento), neto de IVA, el cual considera los mayores costos de construcción correspondientes al Hospital de Los Lagos.
El valor definitivo que se reconocerá por este concepto se determinará multiplicando las superficies adicionales que resulten del proyecto definitivo del respectivo establecimiento hospitalario, que apruebe el Inspector Fiscal, respecto de las superficies establecidas en el respectivo PMA, por los precios unitarios, en Unidad de Fomento por metro cuadrado, que adjuntó el Inspector Fiscal en su oficio Ord. IF Nº 292/2023, de fecha 24 de octubre de 2023.
Una vez aprobado el proyecto definitivo del Hospital de Los Lagos, en el plazo máximo de 15 días contados desde dicha aprobación, el Inspector Fiscal deberá dejar constancia, mediante anotación en el Libro de Obras u oficio, del monto total y definitivo por concepto de los costos de construcción adicionales en que deba incurrir la Sociedad Concesionaria, calculados según lo señalado en el párrafo precedente, el cual no podrá superar la cantidad máxima establecida en el primer párrafo del presente numeral 2.1.
2.2 Por concepto de los costos adicionales, asociados a la operación y mantenimiento del Hospital de Los Lagos, en que deba incurrir la Sociedad Concesionaria producto del aumento de la superficie de dicho recinto dispuesta en el Nº 1 de la resolución DGC (exenta) Nº 106 de 2023, se fija el monto máximo semestral de UF 1.354,97 (mil trescientas cincuenta y cuatro coma noventa y siete Unidades de Fomento), neto de IVA.
El valor semestral definitivo que se reconocerá por este concepto se determinará multiplicando las superficies adicionales que resulten del proyecto definitivo del Hospital de Los Lagos, que apruebe el Inspector Fiscal, respecto de las superficies establecidas en el respectivo PMA, por un costo unitario semestral de UF por metro cuadrado, conforme al siguiente cuadro:

Una vez aprobado el proyecto definitivo del Hospital de Los Lagos, en el plazo máximo de 5 días contados desde dicha aprobación, el Inspector Fiscal deberá dejar constancia, mediante anotación en el Libro de Obras u oficio, del monto semestral total y definitivo por concepto de los costos adicionales, asociados a la operación y mantenimiento del Hospital de Los Lagos, calculados según lo señalado en el párrafo precedente, el cual no podrá superar la cantidad máxima establecida en el primer párrafo del presente numeral 2.2.
2.3 Por concepto de los costos de las labores de rescate del hallazgo arqueológico del Hospital de La Unión, que deberá realizar la Sociedad Concesionaria de conformidad a lo dispuesto en el Nº 2 de la resolución DGC (exenta) Nº 106 de 2023, se fijó el monto máximo de UF 4.860 (cuatro mil ochocientas sesenta Unidades de Fomento), neto de IVA, el que se reconocerá según su valor proforma, es decir, según los desembolsos que efectivamente realice la Sociedad Concesionaria por este concepto, los que deberán ser acreditados por ésta ante el Inspector Fiscal mediante las boletas o facturas correspondientes y los respectivos comprobantes de pago.
En caso de que la sumatoria de los desembolsos en que deba incurrir la Sociedad Concesionaria por concepto de las actividades y labores de rescate del hallazgo arqueológico del Hospital de La Unión, a que se refiere el Nº 2 de la resolución DGC (exenta) Nº 106 de 2023, exceda el monto máximo que se indica en el párrafo precedente, dicho exceso deberá ser acreditado por la Sociedad Concesionaria y aprobado por el Inspector Fiscal.
El monto aprobado por el Inspector Fiscal en virtud de lo señalado en el párrafo precedente, será igualmente de costo del Minsal, quien deberá reembolsar dicha diferencia a la Sociedad Concesionaria de conformidad a lo establecido en el numeral 6.3.3 del presente convenio.
2.4 El Impuesto al Valor Agregado (IVA) asociado a las inversiones adicionales señaladas en el numeral 2.1 del presente Convenio, no recibirá el mismo tratamiento contemplado en las Bases de Licitación para dicho impuesto, sino que se regulará de conformidad con lo señalado en los párrafos siguientes.
El IVA asociado al concepto señalado en el numeral 2.1 del presente Convenio deberá ser facturado por la Sociedad Concesionaria al Minsal cada cuatro meses, y de acuerdo a las inversiones asociadas al estado de avance de las obras que hubiere aprobado el Inspector Fiscal. Para ello la Sociedad Concesionaria deberá presentar al Inspector Fiscal una relación escrita de los documentos que respaldarán la emisión de la factura, con indicación del IVA correspondiente.
Dichos documentos deberán ser revisados por el Inspector Fiscal o por los profesionales que él designe en su representación. El Inspector Fiscal tendrá un plazo de 30 días contados desde la presentación de los documentos para manifestar su conformidad o rechazo con el IVA presentado por la Sociedad Concesionaria.
En caso que el Inspector Fiscal manifieste su disconformidad con los antecedentes presentados, comunicará por escrito el rechazo de éstos y su justificación, debiendo la Sociedad Concesionaria volver a presentar los antecedentes debidamente corregidos subsanando las observaciones efectuadas por el Inspector Fiscal, en cuyo caso el procedimiento de revisión por parte del Inspector Fiscal será como se señala en el párrafo precedente.
Una vez que el Inspector Fiscal haya aprobado los documentos referidos en los párrafos precedentes, la Sociedad Concesionaria emitirá la correspondiente factura para efectos del pago del Impuesto al Valor Agregado correspondiente. La aceptación de dicha factura no implicará aprobación de las obras ni del avance de éstas por parte del Inspector Fiscal. Asimismo, el monto total facturado aceptado no implicará reconocimiento de responsabilidad alguna de parte del MOP en sobrecostos por la ejecución de las obras o de obras adicionales.
El pago del IVA por parte de Minsal se realizará dentro de los 30 días siguientes a la fecha de la presentación de la respectiva factura al Ministerio de Salud.
Todo lo anterior es sin perjuicio de las facultades del Servicio de Impuestos Internos.
2.5 El Impuesto al Valor Agregado (IVA) asociado a los costos adicionales señalados en el numeral 2.2 del presente Convenio, asociados a la operación y mantenimiento del Hospital de Los Lagos, recibirá el mismo tratamiento contemplado en el artículo 1.12.4 de las Bases de Licitación para dicho impuesto.
2.6 El Impuesto al Valor Agregado (IVA) asociado a los gastos señalados en el numeral 2.3 del presente Convenio, no recibirá el mismo tratamiento contemplado en las Bases de Licitación para dicho impuesto, sino que se regulará de conformidad con lo señalado en los párrafos siguientes.
El IVA asociado al concepto señalado en el numeral 2.3 del presente Convenio, deberá ser facturado por la Sociedad Concesionaria al Minsal cada cuatro meses, y de acuerdo a los gastos que hubiere aprobado el Inspector Fiscal. Para ello la Sociedad Concesionaria deberá presentar al Inspector Fiscal una relación escrita de los documentos que respaldarán la emisión de la factura, con indicación del IVA correspondiente.
Dichos documentos deberán ser revisados por el Inspector Fiscal o por los profesionales que él designe en su representación. El Inspector Fiscal tendrá un plazo de 30 días contados desde la presentación de los documentos para manifestar su conformidad o rechazo con el IVA presentado por la Sociedad Concesionaria.
En caso que el Inspector Fiscal manifieste su disconformidad con los antecedentes presentados, comunicará por escrito el rechazo de éstos y su justificación, debiendo la Sociedad Concesionaria volver a presentar los antecedentes debidamente corregidos subsanando las observaciones efectuadas por el Inspector Fiscal, en cuyo caso el procedimiento de revisión por parte del Inspector Fiscal será como se señala en el párrafo precedente.
Una vez que el Inspector Fiscal haya aprobado los documentos referidos en los párrafos precedentes, la Sociedad Concesionaria emitirá la correspondiente factura para efectos del pago del Impuesto al Valor Agregado correspondiente. La aceptación de dicha factura no implicará aprobación de las obras ni del avance de éstas por parte del Inspector Fiscal. Asimismo, el monto total facturado aceptado no implicará reconocimiento de responsabilidad alguna de parte del MOP en sobrecostos por la ejecución de las obras o de obras adicionales.
El pago del IVA por parte de Minsal se realizará dentro de los 30 días siguientes a la fecha de la presentación de la respectiva factura al Ministerio de Salud.
Todo lo anterior es sin perjuicio de las facultades del Servicio de Impuestos Internos.
TERCERO: CONTABILIZACIÓN DE LOS COSTOS DE CONSTRUCCIÓN ADICIONALES DEL HOSPITAL DE LOS LAGOS QUE TRATA EL NUMERAL 2.1 DEL PRESENTE CONVENIO.
Para contabilizar los costos de construcción adicionales del Hospital de Los Lagos señalados en el numeral 2.1 de la cláusula segunda del presente convenio, el MOP y la Sociedad Concesionaria acuerdan que se procederá de la siguiente manera:
3.1 CUENTA DE COSTOS DE CONSTRUCCIÓN ADICIONALES CONVENIO AD - REFERÉNDUM Nº 1.
Los montos asociados a los costos de construcción adicionales del Hospital de Los Lagos, señalados en el numeral 2.1 de la cláusula segunda del presente Convenio, serán contabilizados en una cuenta denominada "Cuenta de Costos de Construcción Adicionales Convenio Ad - Referéndum Nº 1". Las cantidades acreditadas se contabilizarán en la referida Cuenta con signo negativo, en Unidades de Fomento, con dos decimales redondeados al segundo decimal, usando para su conversión el valor de dicha unidad fijado para la fecha de reconocimiento de cada monto señalada en el numeral 3.3.3 del presente Convenio.
El saldo negativo acumulado en la "Cuenta de Costos de Construcción Adicionales Convenio Ad - Referéndum Nº 1" se actualizará mensualmente a una tasa de interés real mensual compuesta equivalente a una tasa real anual que se determinará de conformidad con el procedimiento que se fija en el numeral 3.2 siguiente.
Se deja constancia que los montos a que se hace referencia en los numerales 2.2 y 2.3 de la cláusula segunda del presente Convenio no serán contabilizados en la "Cuenta de Costos de Construcción Adicionales Convenio Ad - Referéndum Nº 1", toda vez que éstos recibirán el tratamiento establecido en las cláusulas quinta y sexta del presente Convenio, respectivamente.
3.2 TASA DE ACTUALIZACIÓN.
Las partes acuerdan que la tasa mensual de actualización de la "Cuenta de Costos de Construcción Adicionales Convenio Ad - Referéndum Nº 1" y de la totalidad de las Resoluciones por Valores Devengados que se emitan de conformidad con lo establecido en la cláusula cuarta del presente Convenio, corresponderá a la tasa real mensual compuesta equivalente a la menor tasa fija que resulte del proceso de licitación privada que deberá efectuar la Sociedad Concesionaria, conforme a lo señalado en los numerales 3.2.1 a 3.2.8 siguientes o, en su caso, a la tasa referida en el numeral 3.2.9 del presente Convenio:
3.2.1 El objeto de la licitación privada que deberá efectuar la Sociedad Concesionaria consiste en obtener propuestas para la adjudicación de un contrato de financiamiento, mediante la cesión de las Resoluciones por Valores Devengados que emitirá el Ministerio de Salud (Minsal), a través de la Subsecretaría de Redes Asistenciales, para compensar los costos de construcción adicionales del Hospital de Los Lagos que serán contabilizados en la "Cuenta de Costos de Construcción Adicionales Convenio Ad - Referéndum Nº 1". El proceso consiste en obtener propuestas que permitan establecer la Tasa Fija Real Anual de emisión de la totalidad de las Resoluciones por Valores Devengados que se emitirán de conformidad con lo establecido en la cláusula cuarta del presente convenio.
3.2.2 La Sociedad Concesionaria deberá presentar al Inspector Fiscal las Bases de Licitación Privada del proceso de licitación, dentro del plazo máximo de 5 días hábiles contados desde la fecha de publicación en el Diario Oficial del decreto supremo que apruebe el presente Convenio. El Inspector Fiscal tendrá un plazo de 5 días hábiles para revisar y aprobar u observar dichas Bases, plazo después del cual, si no hubiere observaciones, se entenderán aprobadas. En caso que las Bases de Licitación Privada sean observadas por el Inspector Fiscal, la Sociedad Concesionaria tendrá un plazo de 5 días hábiles para entregar las Bases de Licitación Privada corregidas. El Inspector Fiscal tendrá 5 días hábiles para revisar y aprobar o rechazar las Bases de Licitación Privada corregidas. En caso que las Bases de Licitación Privada sean nuevamente rechazadas por el Inspector Fiscal, el procedimiento antes señalado será iterativo hasta que el Inspector Fiscal apruebe las referidas Bases, sin perjuicio de la multa señalada en el párrafo siguiente. En caso que el Inspector Fiscal no se pronuncie en el plazo estipulado, se entenderá que aprueba las referidas Bases en todas sus partes.
En el evento de atrasos en la entrega de las respectivas Bases de Licitación Privada o de sus correcciones por parte de la Sociedad Concesionaria, se aplicará a ésta una multa de 5 UTM por cada día o fracción de día de atraso, cuya aplicación y pago se regularán según lo establecido en las Bases de Licitación del contrato de concesión.
3.2.3 Para efectos de la licitación privada, la Sociedad Concesionaria deberá invitar a un mínimo de 5 bancos chilenos o instituciones financieras locales.
3.2.4 El nombre del Banco o Institución Financiera que haya presentado la menor tasa fija de mercado, así como el valor de la misma, en adelante denominada "Tasa de Licitación", deberán ser comunicados por la Sociedad Concesionaria al Inspector Fiscal dentro del plazo máximo de 60 días, contados desde la fecha de aprobación de las Bases de Licitación Privada por parte del Inspector Fiscal, adjuntando todos los antecedentes tenidos a la vista.
En caso de adjudicarse la licitación, la tasa mensual de actualización de la "Cuenta de Costos de Construcción Adicionales Convenio Ad - Referéndum Nº 1" y de la totalidad de las Resoluciones por Valores Devengados correspondientes, corresponderá a la tasa real mensual compuesta equivalente a la "Tasa de Licitación" referida precedentemente.
3.2.5 Como condición de validez de la licitación privada que llevará a cabo la Sociedad Concesionaria, ésta deberá dejar establecido que en caso de adjudicarse la licitación, el adjudicatario quedará obligado de forma irrevocable e incondicional, a adquirir la totalidad de las Resoluciones por Valores Devengados que se emitan con motivo del presente convenio. Sin perjuicio de lo anterior, el adjudicatario que adquirirá la totalidad de las Resoluciones por Valores Devengados que se emitan con motivo del presente convenio, podrá, hasta 30 días antes de la fecha de pago consignada en cada una de las citadas resoluciones, transferirlas o cederlas a otro tercero, el que deberá cumplir con las condiciones señaladas en el numeral 4.9 del presente convenio.
Por su parte, la Sociedad Concesionaria deberá asegurar y garantizar al adjudicatario lo siguiente:
a. Que las Resoluciones por Valores Devengados que den cuenta de los créditos objeto de las cesiones respectivas serán extendidas en conformidad a la ley y a las disposiciones del presente Convenio, y que el monto de las obligaciones de pago y fechas de pago en ellas indicadas, se ajustarán estrictamente a los términos y condiciones establecidas en el presente convenio.
b. Que la Sociedad Concesionaria es la propietaria de los derechos que nacen de las Resoluciones por Valores Devengados objeto de las respectivas cesiones, y que los créditos que se consignen en ellas: i) se encuentran pendientes de pago; ii) son exigibles en su integridad, en los términos del presente convenio; y iii) se cederán libres de gravámenes, prohibiciones o embargos, habiéndose suscrito por la Sociedad Concesionaria sólo un ejemplar de cada una de las mismas ante Notario Público junto con el Inspector Fiscal.
c. Con todo, respecto de las respectivas cesiones, la Sociedad Concesionaria será responsable de la existencia de los créditos cedidos en los términos que se contemplan en el Artículo 1907 del Código Civil. En ese sentido, la Sociedad Concesionaria no podrá limitar dicha responsabilidad, ni ninguna otra que expresamente se contemple en el presente Convenio.
d. Que la Sociedad Concesionaria se obliga a entregar al adjudicatario, la factura correspondiente a más tardar 21 días antes de cada fecha de pago consignada en la resolución correspondiente.
3.2.6 Las partes acuerdan que sin perjuicio de la obligación de la Sociedad Concesionaria de realizar la licitación privada materia del presente numeral 3.2 con el objeto de determinar la "Tasa de Licitación", ésta no estará obligada a adjudicar la licitación ni a suscribir el respectivo contrato de financiamiento, es decir, la propia Sociedad Concesionaria podrá ser el legítimo tenedor de las Resoluciones por Valores Devengados. Para ello, en la misma comunicación con el resultado del proceso de licitación, a que se refiere el numeral 3.2.4 del presente Convenio, la Sociedad Concesionaria deberá comunicarle al Inspector Fiscal si adjudicará la licitación a la menor oferta recibida, o bien, será la propia Sociedad Concesionaria el legítimo tenedor de las Resoluciones por Valores Devengados. En caso de optar la Sociedad Concesionaria por no adjudicar la respectiva licitación, la Sociedad Concesionaria no podrá ceder o transferir, en ningún momento, las respectivas Resoluciones por Valores Devengados, convirtiéndose en el único tenedor de cada una de las Resoluciones por Valores Devengados que se emitan en virtud del presente Convenio hasta su respectiva fecha de pago.
En este caso, la tasa mensual de actualización de la "Cuenta de Costos de Construcción Adicionales Convenio Ad - Referéndum Nº 1" y de la totalidad de las Resoluciones por Valores Devengados correspondientes, corresponderá a la tasa real mensual compuesta equivalente a la menor tasa ofertada conforme al procedimiento descrito en el presente numeral 3.2.
3.2.7 En caso que no se presenten ofertas para el proceso de licitación privada, la Sociedad Concesionaria deberá declarar desierta la licitación, lo que deberá ser informado al Inspector Fiscal en la misma comunicación señalada en el numeral 3.2.4 del presente Convenio, adjuntando copia de las invitaciones realizadas de conformidad con lo establecido en el numeral 3.2.3 del mismo. En tal caso, la Sociedad Concesionaria deberá iniciar un segundo proceso de licitación privada, en los mismos términos y condiciones establecidos en el presente numeral 3.2, salvo que el plazo que tendrá la Sociedad Concesionaria para comunicar al Inspector Fiscal el resultado de este nuevo proceso de licitación será de 45 días, contados desde la fecha en que la Sociedad Concesionaria hubiere comunicado al Inspector Fiscal que el primer proceso de licitación se declaró desierto.
3.2.8 En caso que no se presenten ofertas para el segundo proceso de licitación referido en el numeral 3.2.7 anterior, la Sociedad Concesionaria deberá declarar desierta la licitación, lo que deberá ser informado al Inspector Fiscal en el mismo plazo de 45 días señalado en el numeral 3.2.7 precedente, adjuntando copia de las invitaciones realizadas de conformidad con lo establecido en el numeral 3.2.3 del presente Convenio. En tal caso, se procederá de acuerdo con lo señalado en el numeral 3.2.9 siguiente.
3.2.9 En caso que el segundo proceso de licitación privada se declare desierto en virtud de lo señalado en el numeral 3.2.8 anterior, la tasa mensual de actualización de la "Cuenta de Costos de Construcción Adicionales Convenio Ad - Referéndum Nº 1" y de las respectivas Resoluciones por Valores Devengados que se emitan de conformidad con lo establecido en el presente Convenio, corresponderá a la tasa real mensual compuesta, equivalente al promedio de la tasa de interés anual del mercado secundario de los Bonos en UF (BCU, BTU) a 10 años, que publique el Banco Central de Chile o el organismo que lo reemplace, para los 90 días anteriores a la fecha en que se cumpla el plazo de 45 días señalado en el numeral 3.2.8 anterior, más un spread de 1,5% anual.
3.2.10 Para efectos de buen orden administrativo, una vez determinada la tasa de actualización de conformidad con lo establecido en los numerales 3.2.4, 3.2.6 o 3.2.9 precedentes, según sea el caso, el Inspector Fiscal deberá dejar constancia, mediante anotación en el Libro de Obras, del valor definitivo de la tasa de actualización de la "Cuenta de Costos de Construcción Adicionales Convenio Ad - Referéndum Nº 1".
Dicha anotación en el Libro de Obras deberá ser realizada dentro del plazo máximo de 3 días hábiles, contado desde la fecha en que la Sociedad Concesionaria comunique al Inspector Fiscal la tasa de actualización de conformidad con lo establecido en los numerales 3.2.4 o 3.2.6 precedentes, según corresponda, o desde la fecha en que la Sociedad Concesionaria hubiere comunicado al Inspector Fiscal que el segundo proceso de licitación privada se declaró desierto de conformidad con lo establecido en el numeral 3.2.8 del presente Convenio, según sea el caso.
3.3 CONTABILIZACIÓN EN LA CUENTA DE COSTOS DE CONSTRUCCIÓN ADICIONALES CONVENIO AD - REFERÉNDUM Nº 1
Para la contabilización de los costos de construcción adicionales del Hospital de Los Lagos, señalados en el numeral 2.1 de la cláusula segunda del presente Convenio, se procederá de la siguiente manera:
3.3.1 Dentro de los primeros 10 días del mes siguiente a aquél en que: i) el Inspector Fiscal hubiere dejado constancia de la tasa de actualización según se indica en el numeral 3.2.10 del presente convenio, o ii) el Inspector Fiscal haya efectuado la constancia, mediante anotación en el Libro de Obras u oficio, del monto total y definitivo por concepto de los costos de construcción adicionales conforme a lo señalado en el tercer párrafo del numeral 2.1 del presente convenio, lo que ocurra último; la Sociedad Concesionaria presentará al Inspector Fiscal un informe que contenga un detalle de los costos de construcción adicionales del Hospital de Los Lagos, señalados en el numeral 2.1 de la cláusula segunda del presente convenio, que se reconozcan hasta el último día del mes anterior a la presentación de dicho informe, en virtud de lo dispuesto en el numeral 3.3.3 de la presente cláusula.
Estos montos se expresarán en Unidades de Fomento con dos decimales, netos de IVA y redondeados al segundo decimal, usando para efectos de su conversión el valor de dicha unidad fijado para la fecha de reconocimiento de cada monto señalado en el numeral 3.3.3 del presente Convenio.
El informe antes señalado deberá incluir, para cada monto, el cálculo de los intereses devengados mensualmente desde la fecha de reconocimiento de cada monto, hasta el último día del mes anterior a la presentación de dicho informe, y del avance acumulado y actualizado hasta esa fecha, considerando para ello la tasa de interés real mensual compuesta que resulte de lo señalado en el numeral 3.2 del presente convenio.
El Inspector Fiscal tendrá un plazo de 10 días para revisar, aprobar u observar el informe presentado. En caso que el informe sea observado por el Inspector Fiscal, la Sociedad Concesionaria tendrá un plazo de 5 días para entregar el informe corregido y el Inspector Fiscal tendrá 5 días para aprobar o rechazar el informe corregido. En caso que la Sociedad Concesionaria no corrija satisfactoriamente el informe en el plazo indicado, el Inspector Fiscal aprobará y contabilizará la parte del informe sobre la que no haya una disconformidad; y hará lo propio de la parte discutida, una vez resuelta ella, contabilizándola con la fecha que hubiere correspondido de no haberse presentado la disconformidad.
En caso que el Inspector Fiscal no se pronunciare dentro de los respectivos plazos máximos de revisión del informe y/o de sus correcciones, esto es, no lo observare o no lo rechazare dentro de los plazos máximos señalados en el párrafo precedente, el informe se entenderá aprobado.
En caso que la Sociedad Concesionaria no presentare el informe singularizado en el presente numeral y/o sus correcciones dentro de los plazos establecidos, se le aplicará una multa de 5 UTM, por cada día o fracción de día de atraso, cuya aplicación y pago se regularán según lo establecido en las Bases de Licitación.
El monto informado por la Sociedad Concesionaria y aprobado por el Inspector Fiscal según el procedimiento descrito en el presente numeral 3.3.1, correspondiente al avance acumulado y actualizado hasta el último día del mes anterior a la presentación del informe materia del presente numeral, se contabilizará, por única vez, con signo negativo, en la "Cuenta de Costos de Construcción Adicionales Convenio Ad - Referéndum Nº 1", con fecha del último día del mes anterior a la entrega del informe que trata el presente numeral 3.3.1.
Se deja constancia que en caso que la Sociedad Concesionaria no incluya en el informe que trata el presente numeral 3.3.1 algún monto que deba ser reconocido hasta el último día del mes anterior a la entrega del citado informe, de acuerdo a los términos señalados en el numeral 3.3.3 subsiguiente, dicho monto deberá ser incorporado en alguno de los informes a que hace referencia el numeral 3.3.2 siguiente y, en consecuencia, se contabilizará en la "Cuenta de Costos de Construcción Adicionales Convenio Ad - Referéndum Nº 1", por única vez, con signo negativo, con fecha del último día del mes anterior a la entrega del informe que trata el numeral 3.3.2 siguiente en el cual se incorpore dicho monto de inversión.
3.3.2 A partir del mes subsiguiente a aquél en que: i) el Inspector Fiscal hubiere dejado constancia de la tasa de actualización según se indica en el numeral 3.2.10 del presente convenio, o ii) el Inspector Fiscal haya efectuado la constancia, mediante anotación en el Libro de Obras u oficio, del monto total y definitivo por concepto de los costos de construcción adicionales conforme lo señalado en el tercer párrafo del numeral 2.1 del presente convenio, lo que ocurra último; la Sociedad Concesionaria deberá presentar al Inspector Fiscal el informe de avance correspondiente, para efectos de la contabilización de los montos a que hace referencia el numeral 3.3.3 siguiente. Para ello, dentro de los primeros 10 días del mes siguiente a: i) la fecha de aprobación por parte del Inspector Fiscal de cada una de las 5 declaraciones de avance referidas en el numeral 1.9.6 de las Bases de Licitación, y ii) la fecha de autorización de la Puesta en Servicio Provisoria del Hospital de Los Lagos conforme al numeral 1.10.3 de las Bases de Licitación, según corresponda; la Sociedad Concesionaria entregará al Inspector Fiscal un informe que contenga un detalle de los costos de construcción adicionales del Hospital de Los Lagos, señalados en el numeral 2.1 de la cláusula segunda del presente Convenio, correspondientes al avance de dichas obras entre el mes siguiente al del último reconocimiento contabilizado en la "Cuenta de Costos de Construcción Adicionales Convenio Ad - Referéndum Nº 1" y el último día del mes anterior a la entrega del informe respectivo, los que serán reconocidos en dicha cuenta conforme a la regla establecida en el numeral 3.3.3 siguiente.
El Inspector Fiscal tendrá un plazo de 10 días para revisar, aprobar u observar el informe presentado, plazo después del cual, si no hubiere observaciones, se entenderá aprobado. En caso que el informe sea observado por el Inspector Fiscal, la Sociedad Concesionaria tendrá un plazo de 5 días para entregar el informe corregido y el Inspector Fiscal tendrá 10 días para aprobar o rechazar el informe corregido. En caso que el Inspector Fiscal no se pronuncie en el plazo antes señalado, se entenderá que aprueba el referido informe en todas sus partes. En el evento de atrasos en las correcciones por parte de la Sociedad Concesionaria, se aplicará a ésta una multa de 5 UTM, por día o fracción de día de atraso, cuya aplicación y pago se regularán según lo establecido en las Bases de Licitación.
Los costos de construcción adicionales del Hospital de Los Lagos debidamente aprobados o que se entiendan aprobados por el Inspector Fiscal, de acuerdo con lo señalado en los párrafos anteriores del presente numeral 3.3.2, se contabilizarán en la "Cuenta de Costos de Construcción Adicionales Convenio Ad - Referéndum Nº 1" en las fechas indicadas en que se reconozca cada monto, conforme a los términos señalados en el numeral 3.3.3 siguiente.
Se deja constancia de que en caso que la Sociedad Concesionaria no incluya en el informe que trata el presente numeral 3.3.2 algún monto que deba ser reconocido hasta el último día del mes anterior a la entrega del citado informe, de acuerdo a los términos señalados en el numeral 3.3.3 siguiente, dicho monto deberá ser incorporado en alguno de los informes siguientes y, en consecuencia, se contabilizará en la "Cuenta de Costos de Construcción Adicionales Convenio Ad - Referéndum Nº 1", por única vez, con signo negativo, con fecha del último día del mes anterior a la entrega del informe en el cual se incorpore dicho monto de inversión.
3.3.3 Las partes acuerdan que los costos de construcción adicionales del Hospital de Los Lagos, señalados en el numeral 2.1 de la cláusula segunda del presente Convenio, que sean informados por la Sociedad Concesionaria y debidamente aprobados por el Inspector Fiscal en virtud de lo señalado en los numerales 3.3.1 y 3.3.2 precedentes, serán reconocidos en la "Cuenta de Costos de Construcción Adicionales Convenio Ad - Referéndum Nº 1" con fecha del último día del mes de aprobación de cada una de las cinco declaraciones de avance de dicho Hospital, establecidas en la resolución DGC (exenta) Nº106, del 26 de octubre de 2023, y con fecha del último día del mes en que se otorgue la Puesta en Servicio Provisoria del Hospital de Los Lagos, según corresponda, considerando para esos efectos el porcentaje efectivo de avance que apruebe el Inspector Fiscal al tiempo de cada declaración de avance y de la referida Puesta en Servicio Provisoria.
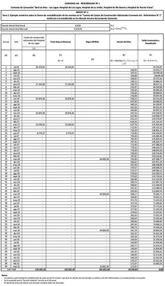
3.4 Para una mejor comprensión respecto de la forma de contabilización de los montos señalados en la presente cláusula tercera, se incluye un ejemplo numérico como Anexo Nº 1, Ítem 1.
3.5 Corresponderá a la Sociedad Concesionaria informar al Inspector Fiscal los montos a contabilizar en la "Cuenta de Costos de Construcción Adicionales Convenio Ad - Referéndum Nº 1" en la oportunidad que corresponda, de acuerdo a los resultados de los procedimientos descritos en los numerales anteriores de la presente cláusula, sin perjuicio de las auditorías que pueda disponer el Inspector Fiscal en relación con las informaciones entregadas por la Sociedad Concesionaria y de la facultad de aquél para inspeccionar y verificar en terreno las obras efectivamente ejecutadas.
CUARTO: ACUERDO DE INDEMNIZACIONES PARA COMPENSAR A LA SOCIEDAD CONCESIONARIA POR LOS COSTOS DE CONSTRUCCIÓN ADICIONALES DEL HOSPITAL DE LOS LAGOS QUE TRATA EL NUMERAL 2.1 DEL PRESENTE CONVENIO.
De conformidad con lo prescrito en el artículo 19º de la Ley de Concesiones de Obras Públicas, para compensar los costos de construcción adicionales del Hospital de Los Lagos que trata el numeral 2.1 de la cláusula segunda del presente convenio, que serán contabilizados en la "Cuenta de Costos de Construcción Adicionales Convenio Ad - Referéndum Nº 1" en los términos señalados en la cláusula tercera precedente, el MOP y la Sociedad Concesionaria acuerdan lo siguiente:
4.1 El Ministerio de Salud (Minsal), a través de la Subsecretaría de Redes Asistenciales, realizará los siguientes pagos según los montos comprometidos en las Resoluciones por Valores Devengados:
a) El último día hábil del mes en que se efectúe el pago del primer Subsidio Fijo a la Construcción del Hospital de Los Lagos, o bien, el último día hábil del mes de marzo de 2028, lo que ocurra último, el Minsal pagará a la Sociedad Concesionaria un máximo de UF 44.000 (cuarenta y cuatro mil Unidades de Fomento).
b) El último día hábil del duodécimo mes siguiente a la fecha de pago que resulte de lo señalado en la letra a) precedente, el Minsal pagará a la Sociedad Concesionaria un máximo de UF 44.000 (cuarenta y cuatro mil Unidades de Fomento).
c) El último día hábil del duodécimo mes siguiente a la fecha de pago que resulte de lo señalado en la letra b) precedente, el Minsal pagará a la Sociedad Concesionaria un máximo de UF 44.000 (cuarenta y cuatro mil Unidades de Fomento).
d) El último día hábil del duodécimo mes siguiente a la fecha de pago que resulte de lo señalado en la letra c) precedente, el Minsal pagará a la Sociedad Concesionaria el saldo de la "Cuenta de Costos de Construcción Adicionales Convenio Ad - Referéndum Nº 1".
Cada uno de los pagos antes señalados serán contabilizados con signo positivo en la "Cuenta de Costos de Construcción Adicionales Convenio Ad - Referéndum Nº 1" en la fecha ya definida para cada uno de ellos.
4.2 Los pagos indicados precedentemente corresponderán a la suma de los montos reconocidos mediante la emisión de resoluciones Minsal llamadas por "Valores Devengados", de acuerdo al modelo de resolución contenido en el Anexo Nº 2 del presente Convenio, las que se emitirán acorde al reconocimiento de los costos de construcción adicionales del Hospital de Los Lagos, contabilizados en la "Cuenta de Costos de Construcción Adicionales Convenio Ad - Referéndum Nº 1", conforme se indica en la cláusula tercera del presente Convenio, previa aprobación y certificación del Inspector Fiscal de acuerdo a lo indicado en el numeral 4.3 siguiente.
4.3 Dentro del plazo máximo de 10 días, contado desde la fecha en que el informe señalado en el numeral 3.3.1 del presente Convenio o en que el correspondiente informe a que hace referencia el numeral 3.3.2 del mismo, según sea el caso, sea aprobado por el Inspector Fiscal o se entienda aprobado de conformidad con lo establecido en los citados numerales, según corresponda, el Inspector Fiscal deberá certificar en el Libro de Obras los montos reconocidos y contabilizados en la "Cuenta de Costos de Construcción Adicionales Convenio Ad - Referéndum Nº 1" en conformidad con el respectivo informe y los citados numerales, remitiendo, dentro del mismo plazo antes señalado, una copia de dicha certificación y de sus antecedentes de respaldo a la Subsecretaría de Redes Asistenciales.
4.4 En virtud de la certificación señalada en el numeral anterior, y dentro del plazo de 15 días contados desde la recepción de esos antecedentes, el Ministerio de Salud, a través de la Subsecretaría de Redes Asistenciales, emitirá y tramitará una o más resoluciones que reconozca los valores devengados informados por la Sociedad Concesionaria y aprobados por el Inspector Fiscal.
4.5 En cada resolución emitida por el Minsal, a través de la Subsecretaría de Redes Asistenciales, se deberá indicar, entre otros antecedentes, la fecha de pago, el monto adeudado y un detalle del mismo, distinguiéndose la cantidad que corresponda a inversiones de los intereses. Los intereses corresponderán a una tasa real anual equivalente a la tasa de interés que se determine de acuerdo al procedimiento señalado en el numeral 3.2 del presente Convenio, expresada en su fracción mensual compuesta, calculados desde el último día del mes en que se contabilizó el respectivo monto en la "Cuenta de Costos de Construcción Adicionales Convenio Ad - Referéndum Nº 1", hasta la fecha de pago que se indique en la resolución, de conformidad con lo dispuesto en el numeral siguiente.
La resolución señalará, además, que en caso de mora en el pago, el monto adeudado devengará, entre el día dispuesto para el pago y el día de su pago efectivo, un interés real diario equivalente, en base a 360 días, a la tasa de interés corriente para operaciones reajustables en moneda nacional a menos de un año, conforme a las tasas que informe la Comisión para el Mercado Financiero, o la institución que la reemplace, para el periodo de la mora.
4.6 Si a la fecha de la emisión de cada una de las resoluciones, el monto comprometido en las resoluciones por Valores Devengados ya emitidas, incluyendo los intereses calculados a la fecha de pago correspondiente, es menor o igual a la suma señalada en el literal a) del numeral 4.1 del presente Convenio, éstas serán pagadas en la fecha señalada en dicho literal a). Las sumas calculadas, incluyendo los intereses correspondientes, que excedan la cantidad señalada en el literal a) del numeral 4.1, serán pagadas en la fecha señalada en el literal b) del mismo numeral, adicionándose a dicho excedente los intereses que correspondan, utilizando para ello la tasa de interés que resulte del procedimiento señalado en el numeral 3.2 del presente Convenio, expresada en su fracción mensual compuesta, por el tiempo que transcurra entre la fecha del literal a) y la fecha del literal b) del numeral 4.1. Las sumas calculadas, incluyendo los intereses correspondientes, que excedan la cantidad señalada en el literal b) del numeral 4.1, serán pagadas en la fecha señalada en el literal c) del mismo numeral, adicionándose a dicho excedente los intereses que correspondan, utilizando para ello la tasa de interés que resulte del procedimiento señalado en el numeral 3.2 del presente Convenio, expresada en su fracción mensual compuesta, por el tiempo que transcurra entre la fecha del literal b) y la fecha del literal c) del numeral 4.1. Las sumas calculadas, incluyendo los intereses correspondientes, que excedan la cantidad señalada en el literal c) del numeral 4.1, serán pagadas en la fecha señalada en el literal d) del mismo numeral, adicionándose a dicho excedente los intereses que correspondan, utilizando para ello la tasa de interés que resulte del procedimiento señalado en el numeral 3.2 del presente Convenio, expresada en su fracción mensual compuesta, por el tiempo que transcurra entre la fecha del literal c) y la fecha del literal d) del numeral 4.1.
Para una mejor comprensión respecto de la forma de cálculo de los montos indicados en las respectivas resoluciones, se incluye un ejemplo numérico como Anexo Nº 1, Ítem 2.
4.7 Una vez tramitada cada una de las resoluciones emitidas por el Minsal, a través de la Subsecretaría de Redes Asistenciales, sólo un ejemplar de cada una de ellas deberá ser suscrito ante notario por el representante legal de la Sociedad Concesionaria y por el Inspector Fiscal, quedando ésta en poder de la primera. Una vez tramitada cada resolución, la obligación de pago en ella contenida tendrá el carácter de irrevocable e incondicional, lo cual deberá ser consignado expresamente en el texto de cada una de dichas resoluciones.
4.8 De conformidad a lo indicado en el numeral 3.2 del presente Convenio, la Sociedad Concesionaria podrá adjudicar la licitación referida a la "Tasa de Licitación", cediendo o transfiriendo cada uno de los pagos comprometidos por el Minsal en cada una de las resoluciones antes señaladas, lo que también constará, a mayor abundamiento, en el texto de las respectivas resoluciones.
Por su parte, en el caso de que el segundo proceso de licitación se declare desierto de conformidad con lo señalado en el numeral 3.2.8 del presente Convenio, la Sociedad Concesionaria podrá, entre otras operaciones lícitas, ceder o transferir cada uno de los pagos comprometidos por Minsal en cada una de las resoluciones antes señaladas, de acuerdo con lo estipulado en el inciso segundo del artículo 21º de la Ley de Concesiones de Obras Públicas, lo que también constará, a mayor abundamiento, en el texto de las respectivas resoluciones.
En virtud de lo anterior, el Minsal pagará las resoluciones, a su vencimiento, al tercero que sea el legítimo tenedor de las mismas o, en caso contrario, a la Sociedad Concesionaria. Estas resoluciones no podrán ser prepagadas por el Minsal, salvo con el consentimiento del legítimo tenedor de la respectiva resolución, esto es, la Sociedad Concesionaria o el adquirente de éstas.
4.9 El Minsal sólo pagará las cantidades señaladas en el numeral 4.1 del presente Convenio a quien presente las resoluciones, debidamente suscritas, sea éste la Sociedad Concesionaria o un tercero. En este último caso, el tercero deberá cumplir además con las siguientes condiciones:
a) Haber cumplido con todos los requisitos y formalidades que, de conformidad con la legislación general aplicable, sean necesarios para efectuar el cobro y para que se verifique el pago.
b) Acreditar ante el Minsal, con al menos 20 días de antelación al día de vencimiento del plazo fijado para el pago, el cumplimiento de lo señalado en la letra a) anterior.
4.10 En el evento que el legítimo tenedor de la resolución indicada en el numeral 4.2 del presente Convenio sea un tercero, la Sociedad Concesionaria estará obligada a entregar a dicho tercero la factura exenta que la Sociedad Concesionaria debe emitir por el monto de la resolución, a más tardar, 21 días antes de cada fecha de pago consignada en la mencionada resolución. Lo anterior deberá ser consignado expresamente por el Ministerio de Salud en el texto de cada una de dichas resoluciones.
4.11 Una vez aprobado, o que se entienda aprobado, el último de los informes mensuales a que se refiere el numeral 3.3.2 del presente Convenio, y emitida la última de las resoluciones por Valores Devengados materia de la presente cláusula, en un plazo máximo de 30 días, contado desde la fecha de emisión de dicha resolución, y sin que ello implique otras exigencias y/o requisitos para la Sociedad Concesionaria, el Inspector Fiscal deberá presentar al Ministerio de Salud un informe donde se certifique el monto de los gastos, costos, inversiones e intereses comprometidos en las resoluciones de Valores Devengados que hubiese suscrito junto a la Sociedad Concesionaria, determinando el detalle de los pagos futuros que deberá efectuar el Minsal, de modo irrevocable e incondicional, para cumplir los citados compromisos.
4.12 En caso de incumplimiento en el plazo máximo para la emisión de la o las resoluciones por Valores Devengados, establecido en el numeral 4.4 precedente, el Minsal deberá pagar a la Sociedad Concesionaria la cantidad que resulte de aplicar al monto adeudado en la o las resoluciones respectivas, referido en el numeral 4.5 precedente, la tasa de interés real mensual compuesta que resulte de lo señalado en el numeral 3.2 del presente convenio, por cada día o fracción de día de atraso. Dicho pago deberá realizarse dentro de los 30 días siguientes a la fecha de emisión con atraso de la o las resoluciones por Valores de Devengados.
QUINTO: ACUERDO DE INDEMNIZACIONES PARA COMPENSAR A LA SOCIEDAD CONCESIONARIA POR LOS COSTOS DE OPERACIÓN Y MANTENIMIENTO ADICIONALES DEL HOSPITAL DE LOS LAGOS QUE TRATA EL NUMERAL 2.2 DEL PRESENTE CONVENIO.
De conformidad con lo prescrito en el artículo 19º de la Ley de Concesiones de Obras Públicas, para compensar los costos adicionales, asociados a la operación y mantenimiento del Hospital de Los Lagos, en que deba incurrir la Sociedad Concesionaria producto del aumento de la superficie de dicho recinto dispuesta en el Nº 1 de la resolución DGC (exenta) Nº 106 de 2023, y que trata el numeral 2.2 de la cláusula segunda del presente convenio, el MOP y la Sociedad Concesionaria acuerdan lo siguiente:
5.1 Las partes acuerdan que el Minsal pagará semestralmente a la Sociedad Concesionaria, en su equivalente en pesos de acuerdo al valor de la Unidad de Fomento del día del pago efectivo, los montos semestrales totales y definitivos que resulten de lo señalado en el numeral 2.2 del presente Convenio.
Los pagos señalados en el párrafo precedente deberán ser efectuados, a más tardar, el 31 de marzo y el 30 de septiembre de cada año, o el día hábil siguiente a estas fechas en el caso en que no correspondieran a días hábiles, salvo para el primer pago, el cual se efectuará en el pazo señalado en el numeral 5.2 siguiente.
La cuota semestral a pagar corresponderá al monto del semestre calendario en curso, es decir, el pago del 31 de marzo corresponderá a la cuota asociada a la operación y mantenimiento adicionales del Hospital de Los Lagos comprendida entre el 1 de enero y el 30 de junio del mismo año, y el pago del 30 de septiembre corresponderá a la cuota asociada a la operación comprendida entre el 1 de julio y el 31 de diciembre del mismo año.
5.2 Para el primer pago que efectúe el Minsal, correspondiente al primer semestre calendario de operación del Hospital de Los Lagos, se deberá considerar la proporcionalidad correspondiente a la fracción del semestre calendario que efectivamente estuvo en operación la obra a partir de la fecha de la PSP del hospital. Dicha proporcionalidad será calculada como el número de días que medien entre la fecha de la PSP del Hospital de Los Lagos y el último día del semestre correspondiente, esto es, 30 de junio o 31 de diciembre, según corresponda, dividido por el total de días del mismo semestre. Este pago se efectuará en el plazo máximo de 45 días, contado desde la certificación que se indica en el párrafo subsiguiente.
Por su parte, para el último pago que efectúe el MOP, correspondiente al último semestre calendario de operación del Hospital de Los Lagos, se deberá considerar la proporcionalidad correspondiente a la fracción del semestre calendario que efectivamente estuvo en operación la obra. Dicha proporcionalidad será calculada como el número de días que medien entre el primer día del semestre correspondiente, esto es, 1 de julio o 1 de enero, según corresponda, y la fecha de término del contrato de concesión, dividido por el total de días del mismo semestre.
Para tales efectos, para el caso del primer pago, en el plazo máximo de 15 días, contado desde la fecha de la PSP del Hospital de Los Lagos, el Inspector Fiscal deberá certificar el monto que efectivamente deberá pagar el Minsal a la Sociedad Concesionaria por concepto de operación y mantenimiento adicionales del Hospital de Los Lagos, correspondiente al primer semestre calendario de operación de dicho hospital. Por su parte, para el caso del último pago, con al menos 30 días de anticipación a la fecha de pago, el Inspector Fiscal deberá certificar el monto que efectivamente deberá pagar el Minsal a la Sociedad Concesionaria por concepto de operación y mantenimiento adicionales del Hospital de Los Lagos, correspondiente al último semestre calendario de operación de dicho hospital.
Todo lo anterior es sin perjuicio de la obligación de la Sociedad Concesionaria de entregar al término de la concesión, la totalidad de las obras en las condiciones establecidas en el contrato de concesión, para permitir la adecuada continuidad del servicio.
5.3 En caso de mora en alguno de los pagos semestrales establecidos en la presente cláusula quinta, el Minsal pagará a la Sociedad Concesionaria, a modo de indemnización de perjuicios, los intereses que devengue el monto en Unidades de Fomento a pagar, entre la fecha máxima de pago establecida y el día de pago efectivo de la obligación, considerando para ello el interés real diario equivalente, en base a 360 días, a la tasa de interés corriente para operaciones reajustables en moneda nacional a menos de un año, conforme a las tasas que informe la Comisión para el Mercado Financiero, o la institución que la reemplace, para el periodo de la mora.
SEXTO: ACUERDO DE INDEMNIZACIONES PARA COMPENSAR A LA SOCIEDAD CONCESIONARIA POR LAS LABORES DE RESCATE DEL HALLAZGO ARQUEOLÓGICO DEL HOSPITAL DE LA UNIÓN QUE TRATA EL NUMERAL 2.3 DEL PRESENTE CONVENIO.
De conformidad con lo prescrito en el artículo 19º de la Ley de Concesiones de Obras Públicas, para compensar las labores de rescate del hallazgo arqueológico del Hospital de La Unión, que deberá realizar la Sociedad Concesionaria de conformidad a lo dispuesto en el Nº 2 de la resolución DGC (exenta) Nº 106 de 2023, y que trata el numeral 2.3 de la cláusula segunda del presente convenio, el MOP y la Sociedad Concesionaria acuerdan lo siguiente:
6.1 Las partes acuerdan modificar, para el presente contrato de concesión, el Mecanismo de Distribución de Riesgo Financiero establecido en el artículo 1.12.10 de las Bases de Licitación, con el objeto de que éste sea aplicable para cada hospital a partir de su respectiva autorización de pago de subsidios, y no desde la Puesta en Servicio Definitiva como está definido actualmente en el contrato de concesión. En ese sentido, para el contrato de concesión "Red Los Ríos - Los Lagos: Hospital de Los Lagos, Hospital de La Unión, Hospital de Río Bueno y Hospital de Puerto Varas", el Mecanismo de Distribución de Riesgo Financiero establecido en el artículo 1.12.10 de las Bases de Licitación, se aplicará de acuerdo a lo siguiente:
. Habiéndose otorgado la -o la primera- Autorización de Pagos de Subsidios (APS) del Establecimiento de Salud respectivo y una vez realizada la licitación a que se refiere el artículo 28 de la Ley de Concesiones, si la diferencia entre el valor actual de las cuotas garantizadas, para el Establecimiento de Salud correspondiente que haya obtenido APS, de Subsidio Fijo a la Construcción (SFC), de Subsidio Fijo por concepto de adquisición y reposición de Mobiliario No Clínico durante la Etapa de Construcción (SFMNC) y de Subsidio Fijo por concepto de adquisición y reposición de Equipamiento Médico y Mobiliario Clínico durante la Etapa de Construcción (SFEM), este último si corresponde de acuerdo a lo establecido en el artículo 1.12.2.7 de las Bases de Licitación, que todavía no hubieran sido pagadas (S**) y el producto de la licitación de la concesión a que se refiere el artículo 28 de la Ley de Concesiones (P) fuese mayor que cero, el Minsal pagará al Concesionario o a quien éste haya cedido o transferido a cualquier título los flujos correspondientes al SFC, SFMNC y SFEM, la cantidad (B) equivalente a esa diferencia. En caso contrario, si el producto de la licitación (P) es mayor al valor actual de las cuotas de SFC, SFMNC y SFEM no pagadas, consideradas para el Establecimiento de Salud respectivo que haya obtenido APS, correspondiente al límite superior (S*), el Concesionario o aquel a quien éste haya cedido o transferido a cualquier título los flujos correspondientes al SFC, SFMNC y SFEM, pagará al Minsal la cantidad (T) equivalente a un 80% de dicha diferencia.
. En el evento que el Concesionario ceda o transfiera a cualquier título los flujos correspondientes al SFC, SFMNC y SFEM, este último si corresponde de acuerdo a lo establecido en el artículo 1.12.2.7 de las Bases de Licitación, el Concesionario se obliga a estipular en el contrato que el cesionario o adquirente respectivo se hará cargo de efectuar el pago de la cantidad (T) en los mismos términos y condiciones señaladas en el artículo 1.12.1.4 de las Bases de Licitación.
. La notificación o aceptación del MOP de la cesión o transferencia a cualquier título de los flujos correspondientes al SFC, SFMNC y SFEM, este último si corresponde de acuerdo a lo establecido en el artículo 1.12.2.7 de las Bases de Licitación, a que hace referencia el presente artículo, deberá hacerse con reserva de su derecho al cobro al cesionario o adquirente respectivo, del pago del 80% de la diferencia entre el producto de la licitación y el valor actual de las cuotas de SFC, SFMNC y SFEM no pagadas correspondiente al límite superior (S*), equivalente a la cantidad (T). Se incluye en este derecho al cobro la modalidad de pago señalada en el artículo 1.12.1.4 de las Bases de Licitación.
Los valores B y T serán calculados de la siguiente forma:

Donde:
P : Producto de la licitación de la concesión a que se
refiere el artículo 28 de la Ley de Concesiones, en UF.
S* : Valor actual de las cuotas del SFC, SFMNC y SFEM no
pagadas, correspondiente al límite superior.
S** : Valor actual de las cuotas garantizadas del SFC, SFMNC
y SFEM no pagadas.
Los valores S* y S** se calcularán de la siguiente manera:

Donde:
SFC : Subsidio Fijo a la Construcción, de acuerdo a lo
establecido en el artículo 1.12.2.1 de las Bases
de Licitación, para el o los Establecimientos de
Salud que hayan obtenido APS.
SFMNC : Subsidio Fijo por concepto de adquisición y reposición
de Mobiliario No Clínico durante la Etapa de
Construcción, de acuerdo a lo establecido en el
artículo 1.12.2.6 de las Bases de Licitación, para
el o los Establecimientos de Salud que hayan obtenido
APS.
SFEM : Subsidio Fijo por concepto de adquisición y reposición
de Equipamiento Médico y Mobiliario Clínico durante
la Etapa de Construcción, de acuerdo a lo establecido
en el artículo 1.12.2.7 de las Bases de Licitación,
para el o los Establecimientos de Salud que hayan
obtenido APS.
rs : Tasa de descuento relevante para descontar los flujos
de los Subsidios remanentes no pagados. Dicha tasa
corresponderá a la tasa interna de retorno promedio
de los 3 meses anteriores a la fecha de recepción de
las ofertas a que se refiere el artículo 1.5.1 de las
Bases de Licitación, ofrecida por el Banco Central de
Chile para sus instrumentos reajustables en moneda
nacional (BCU) de plazo igual a diez años, más un 3%.
La tasa se expresará en términos anuales considerando
una anualidad de 365 días.
m0 : Año Calendario en que se ha declarado la extinción de
la concesión por incumplimiento grave. En caso que
esta extinción se declare antes del 31 de marzo de
dicho año, es decir, aún no se ha pagado la cuota
correspondiente a ese año, se deberá considerar m0 - 1.
m1 : Año Calendario en que finaliza el pago del SFC de
acuerdo a lo dispuesto en el artículo 1.12.2.1 de
las Bases de Licitación.
m2 : Año Calendario en que finaliza el pago del SFMNC y SFEM,
de acuerdo a lo dispuesto en los artículos 1.12.2.6 y
1.12.2.7 respectivamente, de las Bases de Licitación.
Los pagos regulados en el presente numeral, se realizarán en la fecha y forma establecida en los artículos 1.12.1.4 y 1.12.2.4, según corresponda, de las Bases de Licitación.
6.2 Las partes acuerdan que el efecto financiero derivado de la modificación del Mecanismo de Distribución de Riesgo Financiero (MDRF) materia del numeral 6.1 precedente, se fija en la cantidad total y definitiva, acordada a suma alzada, a favor del Fisco, de UF 6.288,22 (seis mil doscientas ochenta y ocho coma veintidós Unidades de Fomento), neta de IVA, calculada en valor presente al día 30 de junio de 2024.
6.3 De conformidad a lo señalado en el Nº 5 y en el Nº 12 de la resolución DGC (exenta) Nº 106, de fecha 26 de octubre de 2023, el monto señalado en el numeral 6.2 precedente se utilizará, total o parcialmente, para compensar las labores de rescate del hallazgo arqueológico del Hospital de La Unión, que deberá realizar la Sociedad Concesionaria de conformidad a lo dispuesto en el Nº 2 de la citada resolución y que trata el numeral 2.3 de la cláusula segunda del presente convenio.
Para tal efecto, se creará una cuenta denominada "Cuenta de Labores de Rescate de Hallazgo Arqueológico Convenio Ad - Referéndum Nº 1" y el saldo acumulado en ella se actualizará mensualmente a una tasa de interés real mensual compuesta equivalente a la tasa real anual que se determine de conformidad con el procedimiento que se fija en el numeral 3.2 del presente Convenio.
Las cantidades contabilizadas en la "Cuenta de Labores de Rescate de Hallazgo Arqueológico Convenio Ad - Referéndum Nº 1" deberán expresarse en Unidades de Fomento, con dos decimales redondeados al segundo decimal, usando para su conversión el valor de dicha unidad fijado para la fecha de su respectiva contabilización, conforme lo siguiente:
6.3.1 El monto señalado en el numeral 6.2 de la presente cláusula, correspondiente al efecto financiero derivado de la modificación del Mecanismo de Distribución de Riesgo Financiero (MDRF) establecida en el numeral 6.1 del presente Convenio, se contabilizará en la "Cuenta de Labores de Rescate de Hallazgo Arqueológico Convenio Ad - Referéndum Nº 1", con signo positivo, con fecha del último día del mes de junio de 2024.
6.3.2 Los montos efectivamente desembolsados por concepto de las labores de rescate del hallazgo arqueológico del Hospital de La Unión que deberá realizar la Sociedad Concesionaria de conformidad a lo dispuesto en el Nº 2 de la resolución DGC (exenta) Nº 106 de 2023, cuyo monto máximo se establece en el numeral 2.3 de la cláusula segunda del presente convenio, se contabilizarán en la "Cuenta de Labores de Rescate de Hallazgo Arqueológico Convenio Ad - Referéndum Nº 1", con signo negativo, con fecha del último día del mes en que se efectúe cada desembolso, previa aprobación del Inspector Fiscal, para lo cual la Sociedad Concesionaria deberá acreditar dicho desembolso mediante las boletas o facturas correspondientes y los respectivos comprobantes de pago. La sumatoria de los montos contabilizados por este concepto no podrán superar la cantidad máxima de UF 4.860 (cuatro mil ochocientas sesenta Unidades de Fomento), neta de IVA, señalada en el primer párrafo del numeral 2.3 del presente convenio.
6.3.3 Por concepto de los montos correspondientes a las labores de rescate del hallazgo arqueológico del Hospital de La Unión, que excedan el monto máximo señalado en el párrafo precedente, de conformidad a lo señalado en el segundo y tercer párrafo del numeral 2.3 del presente convenio, éstos serán igualmente de costo del Minsal y para su reconocimiento la Sociedad Concesionaria deberá acreditar dicho exceso ante el Inspector Fiscal para su aprobación en el plazo máximo señalado en el párrafo siguiente.
Para estos efectos, una vez efectuadas la totalidad de las labores de rescate del hallazgo arqueológico del Hospital de La Unión, de lo cual el Inspector Fiscal deberá dejar constancia mediante anotación en el Libro de Obras u oficio, previa liberación del terreno del Hospital de La Unión por parte del Consejo de Monumentos Nacionales, la Sociedad Concesionaria, en el plazo máximo de 30 días contado desde la fecha en que se efectúe la constancia antes señalada, deberá presentar al Inspector Fiscal el monto correspondiente a dicho exceso y los antecedentes que acrediten dicho monto, determinado en Unidades de Fomento y debidamente actualizado desde la fecha efectiva de cada desembolso hasta la fecha de presentación del monto total al Inspector Fiscal, considerando para ello un interés real diario equivalente, en base a 365 días, a la tasa de interés real anual que se determine de conformidad con el procedimiento que se fija en el numeral 3.2 del presente Convenio.
El Inspector Fiscal, en un plazo no superior a 10 días, contado desde que la Sociedad Concesionaria le suministre toda la información relacionada, deberá aprobar o rechazar dicho monto, mediante anotación en el Libro de Obras u oficio. En el caso que el Inspector Fiscal no se pronunciare dentro de dicho plazo, el monto presentado se entenderá aprobado. Si el monto fuera rechazado dentro del plazo antes señalado, la Sociedad Concesionaria deberá presentar al Inspector Fiscal, para su aprobación o rechazo, el monto corregido. En caso de rechazo, este procedimiento será iterativo hasta que el Inspector Fiscal apruebe el referido monto.
En caso de que la Sociedad Concesionaria no informe dicho exceso y no entregue los antecedentes que lo acrediten en el plazo señalado en el párrafo anteprecedente, se aplicará a ésta una multa de 80 UTM por cada día o fracción de día de atraso hasta que se acredite dicho monto, cuya aplicación y pago se regularán según lo establecido en las Bases de Licitación.
El monto aprobado por el Inspector Fiscal de conformidad al procedimiento establecido en el presente numeral, será contabilizado en la "Cuenta de Labores de Rescate de Hallazgo Arqueológico Convenio Ad - Referéndum Nº 1", con signo negativo, con fecha del último día del mes en que la Sociedad Concesionaria haya acreditado dicho monto.
6.4 Las partes acuerdan que una vez que el Inspector Fiscal hubiere dejado constancia del término de la totalidad de las labores de rescate del hallazgo arqueológico del Hospital de La Unión, previa liberación del terreno del Hospital de La Unión por parte del Consejo de Monumentos Nacionales, o que el Inspector Fiscal hubiere aprobado o se entienda aprobado el monto de que trata el numeral 6.3.3 anterior, según corresponda, o al 30 de junio de 2024, lo que ocurra último, la Sociedad Concesionaria deberá devolver al Minsal cualquier saldo positivo que exista en la "Cuenta de Labores de Rescate de Hallazgo Arqueológico Convenio Ad - Referéndum Nº 1" al último día del mes en que se verifique la última de las condiciones antes señaladas, dentro de los primeros 10 días del mes calendario siguiente, considerando para tales efectos el valor de la Unidad de Fomento del día de pago efectivo. Para dicho efecto, dentro del plazo de 5 días contados desde la fecha en que se verifique la última de las condiciones antes señaladas, el Inspector Fiscal deberá certificar el saldo de la "Cuenta de Labores de Rescate de Hallazgo Arqueológico Convenio Ad - Referéndum Nº 1". Una vez que se efectúe el pago antes indicado, éste se contabilizará, con signo negativo, en la misma "Cuenta de Labores de Rescate de Hallazgo Arqueológico Convenio Ad - Referéndum Nº 1" de modo de reflejar un saldo acumulado y actualizado de la citada cuenta igual a cero.
6.5 En el evento que una vez que el Inspector Fiscal hubiere dejado constancia del término de la totalidad de las labores de rescate del hallazgo arqueológico del Hospital de La Unión, previa liberación del terreno del Hospital de La Unión por parte del Consejo de Monumentos Nacionales, o que el Inspector Fiscal hubiere aprobado o se entienda aprobado el monto de que trata el numeral 6.3.3 del presente Convenio, según corresponda, o al 30 de junio de 2024, lo que ocurra último, la "Cuenta de Labores de Rescate de Hallazgo Arqueológico Convenio Ad - Referéndum Nº 1" registrare un saldo acumulado y actualizado negativo, el Minsal efectuará un pago directo a la Sociedad Concesionaria para compensar la totalidad del saldo negativo de la citada cuenta. El pago, en este caso, deberá verificarse, a más tardar, el 31 de diciembre del año inmediatamente siguiente al mes en que se verifique la última de las condiciones antes señaladas, considerando para tales efectos el valor de la Unidad de Fomento del día del pago efectivo. El saldo negativo de la "Cuenta de Labores de Rescate de Hallazgo Arqueológico Convenio Ad - Referéndum Nº 1" seguirá devengando intereses hasta la fecha de pago efectivo, considerado la tasa que se indica en el segundo párrafo del numeral 6.3 del presente Convenio.
6.6 Para una mejor comprensión respecto de la forma de contabilización de los montos señalados en la presente cláusula sexta, se incluye un ejemplo numérico como Anexo Nº 1, Ítem 3.
6.7 Asimismo, las partes acuerdan modificar el Nº 50 del Anexo Complementario A referido al artículo 1.12.1.1 de las Bases de Licitación, en el sentido que las cuotas 3 y 4 de los pagos por concepto de administración y control del contrato de concesión en la etapa de construcción, establecidas para cada uno de los cuatro Establecimientos de Salud, se distribuirán en los siguientes 6 pagos bimensuales durante los años 2024 y 2025:

SÉPTIMO: En virtud de los acuerdos adoptados en el presente convenio, y sujeto a la condición de que ellos sean cumplidos por parte del MOP y el Minsal, la Sociedad Concesionaria otorga al MOP y al Minsal el más amplio, completo y total finiquito y renuncia a efectuar cualquier reclamación que pudiera haberle correspondido en relación a las modificaciones dispuestas mediante resolución DGC (exenta) Nº 106, de fecha 26 de octubre de 2023, las cuales serán sancionadas en el decreto supremo que apruebe el presente convenio, y en relación a aquellas materias señaladas en el presente convenio, con excepción de su derecho para solicitar, reclamar y/o demandar al Ministerio de Obras Públicas y/o a quien corresponda, ante el Panel Técnico de Concesiones de Obras Públicas, Comisión Arbitral, o instancias respectivas, por los mayores plazos y/o costos, daños y perjuicios, de cualquier naturaleza, por hechos, actos y actuaciones no causadas por la modificación al contrato de concesión dispuesta mediante la resolución antes citada.
OCTAVO: El presente convenio Ad - Referéndum tendrá plena validez desde la publicación en el Diario Oficial del decreto supremo que lo apruebe, de conformidad con lo dispuesto en los artículos 19º del DS MOP Nº 900, de 1996, y 69º del DS MOP Nº 956, de 1997.
NOVENO: El presente convenio se firma en cuatro ejemplares, quedando dos de ellos en poder de la Sociedad Concesionaria y dos en el Ministerio de Obras Públicas.
DÉCIMO: La personería de don Darwin Cantillanes Véliz y de don Felipe Olivares González, para actuar en nombre y representación de Sociedad Concesionaria Región Sur S.A., consta en el Acta de Sesión Extraordinaria de Directorio de fecha 24 de enero de 2024, reducida a escritura pública bajo el Repertorio Nº 372/2024, de fecha 26 de enero de 2024, otorgada en la Notaría de Santiago de doña Antonieta Mendoza Escalas.
Firman: Juan Manuel Sánchez Medioli, Director General de Concesiones de Obras Públicas, Ministerio de Obras Públicas, Darwin Cantillanes Véliz y Felipe Olivares González, "Sociedad Concesionaria Región Sur S.A.".





12. Dentro del plazo de 10 días hábiles contados desde la total tramitación del presente decreto supremo, tres transcripciones de este serán suscritas ante notario por "Sociedad Concesionaria Región Sur S.A." en señal de aceptación de su contenido, debiendo protocolizarse ante el mismo notario uno de los ejemplares. Dentro de los cinco días hábiles siguientes, dos de las transcripciones debidamente suscritas deberán ser entregadas para su archivo, una a la Dirección General de Concesiones de Obras Públicas y otra a la Fiscalía del Ministerio de Obras Públicas, ambas con una copia autorizada de la protocolización efectuada. Para acreditar la personería de quien suscriba las transcripciones en representación de la Sociedad Concesionaria, deberá adjuntar copia autorizada de la escritura pública en que conste dicho poder, con una vigencia no superior a tres meses.
Anótese, tómese razón y publíquese.- Por orden del Presidente de la República, Jessica López Saffie, Ministra de Obras Públicas.
Lo que transcribo a Ud. para su conocimiento.- Saluda Atte. a Ud., José Andrés Herrera Chavarría, Subsecretario de Obras Públicas.