LLAMADO A POSTULACIÓN NACIONAL EN CONDICIONES ESPECIALES PARA EL DESARROLLO DE CENTROS COMUNITARIOS DE CUIDADO, PROYECTOS DEL CAPÍTULO PRIMERO, EQUIPAMIENTO COMUNITARIO, DEL PROGRAMA DE MEJORAMIENTO DE VIVIENDAS Y BARRIOS, REGULADO POR EL DS Nº 27 (V. Y U.) DE 2016, A ORGANIZACIONES COMUNITARIAS Y JUNTAS DE VECINOS, REGIDAS POR LA LEY Nº 19.418, FIJA CONDICIONES PARA SU APLICACIÓN, EL MONTO DE RECURSOS DISPONIBLES Y SU DISTRIBUCIÓN
Santiago, 27 de mayo de 2024.- Hoy se resolvió lo que sigue:
Núm. 754 exenta.
Visto:
a) El decreto supremo Nº 27 (V. y U.), de 2016 y su modificación, que regula el Programa de Mejoramiento de Viviendas y Barrios y en especial lo dispuesto en su artículo 24;
b) La resolución exenta Nº 2.142 (V. y U.), de fecha 20 de diciembre de 2023, que autoriza efectuar llamados a postulación y/o comprometer recursos durante el año 2024 en el otorgamiento de subsidios habitacionales y señala el monto de los recursos destinados, entre otros, a la atención a través del Programa de Mejoramiento de Viviendas y Barrios regulado por el DS Nº 27 (V. y U.), de 2016;
c) La facultad que me confiere el inciso segundo del artículo 15 de la ley Nº 20.898 (V. y U.), de 2016, para otorgar subsidios, entre otros, a personas jurídicas sin fines de lucro constituidas de conformidad al decreto supremo Nº 58, del Ministerio del Interior, promulgado y publicado el año 1997, que fijó el texto refundido, coordinado y sistematizado de la ley Nº 19.418, sobre Juntas de Vecinos y demás Organizaciones Comunitarias;
d) La resolución Nº 1.237 (V. y U.), de fecha 24 de mayo de 2019, y su modificación, que fija Procedimiento para la Prestación de Servicios de Asistencia Técnica para el Programa de Mejoramiento de Viviendas y Barrios, DS Nº 27 (V. y U.), de 2016;
e) La resolución exenta Nº 490 (V. y U.), de fecha 23 de febrero de 2023, fija la regulación para la prestación del servicio de Fiscalización Técnica de Obra;
f) La resolución exenta Nº 2.166 (V. y U.), de fecha 17 de septiembre de 2019, que aprueba Itemizado Técnico de obras para proyectos asociados al Capítulo Primero: Proyectos para el Equipamiento Comunitario, del Programa de Mejoramiento de la Vivienda y Barrio regulado por el DS Nº 27 (V. y U.), de 2016;
g) La resolución exenta Nº 57 (V. y U.) de fecha 13 de enero de 2022, que aprueba Estándares de Sustentabilidad para Proyectos de Construcción y/o Mejoramiento de Edificaciones Comunitarias y Áreas Verdes, del Programa de Mejoramiento de Viviendas y Barrios (DS Nº 27) Capítulo Primero: Proyectos para el Equipamiento Comunitario;
h) El oficio ordinario Nº 430, de fecha 15 de septiembre de 2021, del Subsecretario de Vivienda y Urbanismo, que instruye sobre la exigencia de declaración de residuos de construcción y demolición (RDC) de todas las obras financiadas por el Ministerio de Vivienda y Urbanismo;
i) El oficio ordinario Nº 862, del 10 de junio de 2021, del Jefe División Técnica de Estudio y Fomento Habitacional del Ministerio de Vivienda y Urbanismo, mediante el cual instruye sobre el Itemizado Técnico para Centros Comunitarios de Respuesta a Emergencias y Anexo Estándares de Eficiencia Energética para Proyectos del Programa de Mejoramiento de Viviendas y Barrios Versión 2019;
j) La norma chilena NCh3562 "Residuos de Construcción y Demolición (RCD) - Clasificación y Directrices para el Plan de gestión";
k) La ley Nº 20.958 (V. y U.), de 2016, que establece un sistema de Aportes al Espacio Público; y
Considerando:
a) La necesidad de brindar a las personas, familias y comunidades locales, espacios públicos e infraestructura orientados a otorgar espacios de soporte, encuentro y cuidados, como parte de la estrategia de intervención en materia de Política Habitacional del Ministerio de Vivienda y Urbanismo, a través de la construcción de Centros Comunitarios de Cuidado ("CCC").
b) La necesidad de enfrentar las consecuencias del cambio climático, promoviendo proyectos de Equipamientos Comunitarios con eficiencia energética e hídrica, para contar con edificaciones comunitarias sustentables, dicto la siguiente
Resolución:
1. Llámase a postulación nacional en condiciones especiales, conforme al artículo 24 del DS Nº 27 (V. y U.), de 2016, a Organizaciones Comunitarias y Juntas de Vecinos, para el otorgamiento de subsidios del Programa de Mejoramiento de Viviendas y Barrios correspondiente al siguiente tipo de proyecto señalado en el artículo 64 del reglamento, por los siguientes montos y condiciones especiales:

a)Resolución 1656 EXENTA,
VIVIENDA
Nº 1 1.1
D.O. 05.11.2024 En el primer proceso de selección, solo podrán postular las comunas que son parte del Programa Chile Cuida del Ministerio de Desarrollo Social y Familia, señalado en el anexo Nº 2 y que no hayan sido beneficiadas anteriormente con un Centro Comunitario de Cuidado.
VIVIENDA
Nº 1 1.1
D.O. 05.11.2024 En el primer proceso de selección, solo podrán postular las comunas que son parte del Programa Chile Cuida del Ministerio de Desarrollo Social y Familia, señalado en el anexo Nº 2 y que no hayan sido beneficiadas anteriormente con un Centro Comunitario de Cuidado.
En el segundo proceso de selección, podrán participar todas aquellas comunas que sean parte Resolución 1111 EXENTA,
VIVIENDA
N° 1, 1.2
D.O. 29.07.2024o no del programa "Chile Cuida" y que no hayan sido beneficiadas anteriormente con un Centro Comunitario de Cuidado y no hayan presentado postulaciones en el primer proceso de selección de la presente resolución.
VIVIENDA
N° 1, 1.2
D.O. 29.07.2024o no del programa "Chile Cuida" y que no hayan sido beneficiadas anteriormente con un Centro Comunitario de Cuidado y no hayan presentado postulaciones en el primer proceso de selección de la presente resolución.
b) Los tipos de obras serán Centros Comunitarios de Cuidados y deberán garantizar la simultaneidad de actividades, tanto para la persona cuidadora como para quien recibe cuidados. Por esta razón los programas descritos en el Anexo 4 deben contar con separaciones tales como: tabiquería, puertas plegables, puertas correderas, entre otras alternativas, para garantizar dicha simultaneidad programática; en el baño se debe garantizar un espacio para la implementación de un mudador de adulto (camilla), así como también deberán contar con cocina, horno y mesones industriales que les permitan obtener resolución sanitaria.
El centro debe contar con estándares de accesibilidad universal y ser seguro para el uso de población infantil, poniendo especial atención a la ruta accesible, rampas adecuadas según normativa vigente, barandas, materiales antideslizanResolución 1111 EXENTA,
VIVIENDA
N° 1, 1.3
D.O. 29.07.2024tes, manillas de puertas, grifería, señalización, ancho y dirección de movimiento de puertas, espacios de circulación, espacios de los baños, espacios de la cocina, estacionamientos accesibles, altura de muros, entre otros.
VIVIENDA
N° 1, 1.3
D.O. 29.07.2024tes, manillas de puertas, grifería, señalización, ancho y dirección de movimiento de puertas, espacios de circulación, espacios de los baños, espacios de la cocina, estacionamientos accesibles, altura de muros, entre otros.
c) Los terrenos destinados a los CCC deben ser de propiedad del Municipio respectivo o del Serviu y en este caso deberán estar entregados en comodato al municipio, quien deberá firmar el convenio de colaboración con el Ministerio de Desarrollo Social y Familia (MDSF) y en ambos casos el uso del inmueble debe estar destinado a los objetivos del Sistema Nacional de Apoyo y Cuidados, incluyendo la implementación del Programa Centros Comunitarios de Cuidados del MDSF (anexo N° 7).
d) Para este llamado los proyectos de Construcción de Edificaciones Comunitarias deben ser sustentables.
e) Las municipalidades, deberán presentar acta del concejo municipal garantizando el compromiso de implementación, mantención y conservación del equipamiento comunitario por parte del municipio, la administración conjunta y el acceso a dichos recintos a otras organizaciones comunitarias y de la sociedad civil. Para la implementación se debe considerar todo lo necesario para el buen funcionamiento del recinto, como mobiliario, estantería computadores entre otros.
f) Establécese que, del monto del subsidio, se podrá considerar recursos para financiar los aportes al espacio público producto de la aplicación de la ley Nº 20.958, que establece un Sistema de Aportes al Espacio Público. En caso de que la postulación se hiciere contando con anteproyecto aprobado por la Dirección de Obra Municipales, el monto deberá ser incorporado en el presupuesto financiado. Una vez seleccionado el proyecto el Director/a del Servicio de Vivienda y Urbanización que corresponda, mediante resolución sancionará el monto efectivo, pudiendo otorgar anticipos a cuenta del pago del subsidio por este concepto, contra la presentación del cálculo de los aportes correspondientes visado por el municipio pudiendo el Servicio de Vivienda y Urbanización transferir los recursos al municipio respectivo, o reembolsar directamente a quien acredite el gasto realizado.
g) Para este llamado se aplicarán los siguientes puntajes especiales:

*: El detalle del puntaje de la variable "vulnerabilidad comunal" se indica en el ANEXO 5 de la presente resolución.
Las comunas cuentan con puntaje de acuerdo con los factores socioeconómicos indicados en el Anexo 5, y mantendrán un orden de prelación, según los puntajes señalados. Esta prelación determinará la o las comunas que calificarán proyectos. Los postulantes deberán presentar cartas de apoyo al proyecto de entidades públicas o privadas presentes en el sector de emplazamiento del proyecto, el máximo de cartas a presentar son 10 en total. Del mismo modo, se otorgará un puntaje adicional a proyectos emplazados en polígonos de interés de otros programas del Ministerio de Vivienda y Urbanismo (Programa Quiero Mi Barrio (PQMB), Programa Pequeñas Localidades (PPL), Programa de Regeneración de Conjuntos Habitacionales (PRCH), Planes Urbano-Habitacionales (PUH) y Zonas de Interés Público (ZIP)).
2. Las postulaciones serán colectivas y se realizarán a través de Organizaciones Comunitarias y Juntas de Vecinos, regidas por la ley Nº 19.418, sobre Juntas de Vecinos y demás Organizaciones Comunitarias, cuyo texto refundido, coordinado y sistematizado fue fijado por DS Nº 58, de Interior, de 1997.
3. El proceso de postulación se realizará de acuerdo con las fases establecidas en el artículo 27 del DS Nº 27 (V. y U.), de 2016.
Las postulaciones deberán ser realizadas a través de Entidades Patrocinantes Municipales con Convenio Marco vigente o municipios que subcontraten Entidades Patrocinantes privadas, quienes podrán garantizar la prestación de Servicios de Asistencia Técnica mediante documento de garantía, el que podrá ser una Boleta Bancaria de Garantía, un Vale Vista, un Certificado de Fianza emitido por una Institución de Garantía Recíproca o una Póliza de Seguro de Garantía de ejecución inmediata a primer requerimiento.
Los antecedentes de los postulantes y del proyecto que serán requeridos al momento de ingresar las postulaciones al Sistema informático de Postulación de Proyectos, dispuesto por el Ministerio de Vivienda y Urbanismo, serán los siguientes:
a) Identificación de la Organización postulante, RUT de la organización postulante, dirección, unidad vecinal.
b) Identificación del Representante legal.
c) Identificación de la Constructora.
d) Tipo de postulación, tipo de proyecto, obras.
e) Tenencia del inmueble municipal, dirección, rol, unidad vecinal.
f) Aportes adicionales cuando corresponda, subsidio solicitado, monto del proyecto.
g) Cartas de apoyo.
Las carpetas ingresadas al Servicio de Vivienda y Urbanización, una vez habilitada la postulación, además de lo señalado en el numeral 3. del artículo 27 del reglamento, deberán presentar lo establecido en el Anexo 1, debiendo considerarse en el presupuesto indicado en el punto e. de la letra a), lo requerido en el Anexo 6.
Previo al proceso de digitación, los Servicios de Vivienda y Urbanización deberán enviar vía correo electrónico con las planillas con los datos de los digitadores y de las Organizaciones Comunitarias que participaran del llamado a todas la Entidades Patrocinantes con convenio en la región, cuyo plazo máximo de envío se informará vía correo electrónico del Jefe de la División de Política Habitacional dirigido a los Directores y Directoras de los Servicios de Vivienda y Urbanización del país.
Para la postulación de estos proyectos se deberá presentar el Diagnóstico Técnico Constructivo digital, establecido para los Centros Comunitarios de Cuidado, a través de la plataforma SURVEY123. El Diagnóstico Técnico Constructivo deberá realizarse antes de la digitación de cada proyecto y será un requisito para habilitar a la organización comunitaria, y a la Entidad Patrocinante para digitar postulaciones, sin este requisito no se podrá digitar en el sistema informático Minvu. Dicho Diagnóstico incorporará una propuesta de intervención acorde con el proyecto que se postule.
El proceso de Revisión y Calificación de los Proyectos contemplará, a lo menos, una instancia de observaciones, en la que el Servicio de Vivienda y Urbanización comunicará a la Entidad Patrocinante, las inconformidades detectadas y la fecha en que deberá reingresarse el proyecto subsanado. Si persistieren inconformidades tras el reingreso, el Servicio de Vivienda y Urbanización deberá excluir dicho proyecto del proceso de selección. Finalizado el plazo de revisión y calificación los Servicios de Vivienda y Urbanización deberán informar vía mail al coordinador del Capítulo Primero, la nómina de los proyectos calificados y rechazados.
Tratándose de proyectos postulados con aportes adicionales comprometidos por los municipios, de acuerdo con lo establecido en el artículo 70 del DS Nº 27 (V. y U.), éstos deberán presentar Acta del Concejo Municipal en que conste la aprobación de esos recursos, al momento de ingresar la carpeta a revisión del Servicio de Vivienda y Urbanización. De estos proyectos, los que resulten seleccionados deberán ingresar los aportes adicionales al Servicio de Vivienda y Urbanización antes del inicio de las obras. Las obras no podrán iniciarse si no se cumple esta exigencia.
4. Considérense las siguientes exenciones a las disposiciones del DS Nº 27 (V. y U.), de 2016, que se señalan, estableciéndose a su vez las siguientes condiciones especiales para el presente llamado:
a) De lo señalado en el numeral 1 del artículo 6, respecto de personas jurídicas beneficiadas en Proyectos de Construcción de Edificaciones Comunitarias, que no podrán postular al mismo tipo de proyectos aun tratándose de inmuebles diferentes.
b) De la obligación establecida en el artículo 25, de publicar el llamado con una anticipación de a lo menos 30 días de antelación al inicio del proceso de digitación de las postulaciones.
c) De cumplir con lo señalado en el numeral 1, del artículo 38, en relación con la obligación del Servicio de Vivienda y Urbanización de contratar Fiscalización Técnica de Obras (FTO) para proyectos que superen las 7.500 UF.
d) De lo establecido en los artículos 45 y 54, autorizándose a los Servicios de Vivienda y Urbanización para que, de existir disponibilidad de caja, entreguen anticipos sin avance de obras, pudiendo el contratista o constructor solicitar al Servicio de Vivienda y Urbanización giros a cuenta del pago del subsidio, los cuales podrán ser solicitados individualmente, y cada giro podrá ser de hasta por un 25% del monto total del contrato, manteniendo como mínimo un saldo equivalente al 10% del total del contrato para el último estado de pago, el que procederá una vez que las obras sean debidamente recepcionadas. El número de anticipos a entregar será determinado por cada Servicio de Vivienda y Urbanización. Estos anticipos podrán ser garantizados tanto con una Boleta Bancaria de Garantía como por un Vale Vista, un Certificado de Fianza Recíproca o por una Póliza de seguro de Garantía con ejecución inmediata a primer requerimiento, por un monto equivalente al anticipo. Para solicitar el primer giro no será necesario demostrar avance de obras, y a partir del segundo, deberá acreditarse un avance físico de las obras igual o superior al porcentaje solicitado en el giro anterior y así sucesivamente hasta llegar al 90%. El avance de obras se certificará mediante un informe de la Entidad Patrocinante o del Prestador de Servicios de Asistencia Técnica respectivo, visado por el Servicio de Vivienda y Urbanización.
e) De cumplir con lo establecido en el artículo 69 respecto a los valores máximos de subsidios a otorgar.
f) De lo establecido en los artículos 70 y 71, respecto a la obligación de presentar aportes adicionales. Podrán postular con o sin aportes adicionales. En el caso de postulaciones sin aportes adicionales, la Entidad Patrocinante deberá verificar con la empresa constructora que el proyecto se financia íntegramente con el monto del subsidio.
g) De cumplir con lo establecido en el artículo 72, respecto de aplicar las variables y ponderaciones establecidas en él.
h) Tratándose del pago de anticipos por la prestación de Servicios de Asistencia Técnica, se autoriza la entrega de un anticipo único, garantizado mediante una Boleta Bancaria de Garantía, un Vale Vista, un Certificado de Fianza emitido por una Institución de Garantía Recíproca o una Póliza de Seguro de Garantía a Primer Requerimiento, hasta por un monto máximo del 25% de los honorarios pactados por la Asistencia Técnica. El giro de estos recursos es independiente de los pagos realizados contra avance de los servicios de Asistencia Técnica ya aplicados. Igualmente, el pago de dicho anticipo, sumado a los pagos realizados contra avance en la Prestación de Asistencia Técnica, no pueden superar el 80% de los recursos totales destinados al pago de la Asistencia Técnica, esto es que, al menos un 20% de los honorarios pactados deberán reservarse para el pago final de la correspondiente Asistencia Técnica, una vez terminada y aprobada la labor comprometida.
5.Resolución 1656 EXENTA,
VIVIENDA
Nº 1 1.2
D.O. 05.11.2024 El llamado considera 2 procesos de selección, cuyos plazos de inicio y cierre serán los siguientes:
VIVIENDA
Nº 1 1.2
D.O. 05.11.2024 El llamado considera 2 procesos de selección, cuyos plazos de inicio y cierre serán los siguientes:
El inicio de la digitación de las postulaciones se realizará a partir del segundo día hábil posterior a la fecha de la publicación de la presente resolución, y las selecciones de beneficiarios tendrán las siguientes fechas:
a) Primer proceso de selección-cierre: desde el 25 de noviembre de 2024.
b) Segundo proceso de selección-cierre: desde el 27 de diciembre de 2024.
6. Se delega en el Jefe de la División de Política Habitacional de este Ministerio, definir, mediante Oficio Circular, los plazos correspondientes a las fases del proceso de postulación, a excepción de los señalados en el resuelvo 5 precedente, tales como "Digitación", "Habilitación de postulaciones y comunicación de los resultados", "Presentación, revisión y calificación de los proyectos" y "Recepción de proyectos calificados por Serviu y Selección".
7. Los recursos disponibles para efectuar las selecciones de proyectos en cada proceso de selección, que incluyen el monto de subsidio más la asistencia técnica respectiva, son los siguientes:Resolución 46 EXENTA,
VIVIENDA
N° 1
D.O. 05.02.2025
VIVIENDA
N° 1
D.O. 05.02.2025

Con estos montos se determinará, en cada proceso de selección, el número de postulantes que deberán presentar las carpetas de sus proyectos al Serviu, en formato físico o digital según lo indique cada Serviu.
También tendrán que presentar sus carpetas los postulantes de la lista de espera señalada en el segundo párrafo del numeral 2 del artículo 27 del DS Nº 27 (V. y U.) de 2016, la cual, para ambos procesos de selección, estará compuesta por la totalidad de proyectos cuyas postulaciones hayan resultado hábiles.
Una vez finalizada la etapa de habilitación de cada uno de los procesos de selección, se podrán incrementar y/o redistribuir entre las regiones participantes los recursos que quedaren disponibles.
Si una vez finalizados ambos procesos de selección, quedaren proyectos calificados por Serviu y existiera disponibilidad de recursos para incrementar y complementar la selección de proyectos de este llamado, se conformará una única lista de espera según estricto orden de prelación.
8. Tratándose de proyectos seleccionados con aportes adicionales comprometidos por municipalidades. El aporte deberá ser presentado al Servicio de Vivienda y Urbanización antes del inicio de las obras. Las obras no podrán iniciarse si no se cumple esta exigencia. Si, vencido el plazo máximo establecido para el inicio de obras, no se presentan al Servicio de Vivienda y Urbanización los aportes adicionales, la selección se declarará nula, por no cumplir con los requisitos establecidos en el artículo 70 del DS Nº 27 (V. y U.), de 2016.
Según lo indicado en el artículo 20 del DS Nº 27 (V. y U.), de 2016, en relación con los aportes adicionales expresados en pesos, para calcular la proyección de reajuste se aplicará al momento de ingresar al Servicio de Vivienda y Urbanización los instrumentos señalados, el valor de la UF correspondiente al día 28 de junio de 2024.
9. Los proyectos de Construcción de Edificaciones Comunitarias podrán postular presentando el anteproyecto aprobado por la Dirección de Obras Municipales que corresponda. La Entidad Patrocinante dispondrá de 60 días corridos, contados desde la fecha de la publicación en el Diario Oficial de la resolución de selección, para presentar al Servicio de Vivienda y Urbanización el Permiso de Edificación correspondiente e iniciar obras. No se podrán iniciar las obras sin cumplir con este requisito.
10. La Organización postulante deberá presentar el Acta donde conste la aprobación del proyecto por sus integrantes de acuerdo con el quórum establecido en sus estatutos. En dicho documento debe estar establecido que es para un Centros Comunitarios de Cuidados y conocer en detalle el Programa Social de los CCC diseñado y financiado por el Ministerio de Desarrollo Social y Familia, Anexo Nº 7
11. La inscripción en el Conservador de Bienes Raíces de la prohibición de gravar y enajenar la propiedad, señalada en el artículo 67 del DS Nº 27 (V. y U.), de 2016, deberá constituirse durante la ejecución del proyecto, requiriéndose para el pago final del subsidio.
12. La selección será nacional mediante resolución del Ministro de Vivienda y Urbanismo, en atención a los recursos disponibles.
13. Los subsidios que se otorguen conforme a esta resolución se imputarán a los recursos dispuestos para el Programa regulado por el DS Nº 27 (V. y U.), de 2016, correspondiente al año 2024.
14. En el presente llamado se incorpora la categoría de proyectos sustentables, es decir, construcción de equipamiento, los que deberán cumplir con los requisitos establecidos en la resolución exenta Nº 57, de fecha 13 de enero de 2022, que aprueba el documento denominado "Estándares de Sustentabilidad para Proyectos de Construcción y/o Mejoramiento de Edificaciones Comunitarias y Áreas Verdes del Programa de Mejoramiento de Viviendas y Barrios (DS Nº 27) Capítulo I: Proyectos para el Equipamiento Comunitario".
Para el Cálculo de Transmitancia Máxima del Complejo de Ventanas correspondiente a los Estándares de Eficiencia Energética para proyectos del Programa de Mejoramiento de Viviendas y Barrios - Versión 2019, se permitirá utilizar la planilla Excel "Calculo-U-Ventanas-DITEC-V2022-10 (1)". Además, se permitirá eximirse de cumplir lo establecido en el punto 2.1.3.a Control de infiltraciones de la resolución exenta Nº 57 (V. y U.), de fecha 13 de enero de 2022, a los proyectos emplazados en las comu
nas que se encuentren dentro de las zonas térmicas A y B establecidas en el mismo punto.
nas que se encuentren dentro de las zonas térmicas A y B establecidas en el mismo punto. 15. Pago de los Servicios de Asistencia Técnica. El Servicio de Vivienda y Urbanización pagará los honorarios de asistencia técnica, de acuerdo con el siguiente cuadro:
16. Todos los proyectos que resulten seleccionados por el presente llamado deberán contar con un Plan de Gestión Ambiental en Obras, según lo establecido en la resolución exenta Nº 57, de fecha 13 de enero de 2022, que incluya el Plan de Gestión de Residuos de Construcción y Demolición según lo establecido en la norma NCh 3562.
Anótese, publíquese en el Diario Oficial y archívese.- Carlos Montes Cisternas, Ministro de Vivienda y Urbanismo.
Lo que transcribo para su conocimiento.- Gabriela Elgueta Poblete, Subsecretaria de Vivienda y Urbanismo.
ANEXO 1: Contenidos Presentación de Proyectos a Serviu.
Las Entidades Patrocinantes deberán presentar los siguientes antecedentes como parte de la Carpeta del Proyecto.
a) Antecedentes para Revisión de Aspectos Técnicos Constructivos:
a. Formulario de presentación de proyecto.
b. Diagnóstico técnico constructivo.
c. Memoria explicativa del Proyecto, según formato tipo proporcionado por el Minvu.
d. Especificación Técnica General del Proyecto.
e. Presupuesto de Obras aprobado por el postulante.
f. Plano de ubicación y emplazamiento de las obras a ejecutar.
g. Análisis de Precios Unitarios, cuando corresponda.
h. Archivo Fotográfico Digital.
i. Permiso de Edificación, cuando corresponda.
j. Proyecto de especialidades, cuando corresponda.
k. Planimetría, que incluya plantas, cortes, elevaciones y detalles del proyecto de según la tipología que corresponda (de estructura y arquitectura).
l. Memoria de cálculo cuando corresponda.
m. Informe de suelos cuando corresponda.
n. Informe de factibilidades de Servicios.
o. Nómina de Contratos de obra de cualquier naturaleza que esté ejecutando el contratista.
p. Vigencia Entidad Patrocinante (www.registrostecnicos.cl).
q. Vigencia de la inscripción de la Constructora en el registro nacional de contratistas (www.registrostecnicos.cl).
r. Declaración jurada de la Entidad Patrocinante indicando que no cuenta con servicios y/o productos de Asistencia Técnica pendientes.
b) Antecedentes para Revisión de Aspectos Jurídicos:
a. Contrato de Construcción autorizado ante Notario Público, según modelo tipo preparado por el Serviu.
b. Contrato de Prestación de Servicios de Asistencia Técnica entre el presidente del Organización y la Entidad Patrocinante, autorizado ante Notario Público (según modelo Serviu)
c. Fotocopia vigente de Cédula de Identidad del Representante Legal del Grupo.
d. Fotocopia del RUT de la Organización.
e. Certificado de personalidad jurídica vigente y copia de estatuto vigente.
f. Copia del acta de asamblea ordinaria de los socios mediante la cual aprueban el proyecto, y que incluya nómina de asistentes o en su efecto cartas individuales de aprobación.
g. Los proyectos de Construcción de Edificaciones Comunitarias en terrenos municipales deben presentar un Certificado de Hipotecas y Gravámenes, que acredite que la propiedad no presenta inconveniente legal para ser intervenida a través del Programa.
h. Certificado de no expropiación, cuando corresponda.
i. Acta de Sesión del Concejo Municipal en que conste el compromiso de mantención de las respectivas obras, al tratarse de proyectos dirigidos a intervenir un bien nacional de uso público (BNUP) o un inmueble de propiedad municipal, según corresponda.
j. Autorización del propietario, del Alcalde con acuerdo del Consejo Municipal o de las entidades que corresponda, para realizar las obras incluidas en el proyecto presentado, acreditando la propiedad mediante un Certificado de Dominio Vigente.
k. Acreditación de los aportes adicionales: Vale vista; depósito a plazo o acta del Consejo Municipal, según corresponda
c) Antecedentes para Revisión de Aspectos Sociales
a. Acta de asamblea de Difusión a las familias de los Aspectos del Programa, sus Derechos y Deberes.
b. Acta y registro de las actividades de socialización del diagnóstico comunitario elaborado, sus contenidos y priorización de proyectos a realizar.
c. Listado de los adherentes al proyecto, con sus respectivas direcciones y Nº de Rol del SII.
d. Carta de apoyo al proyecto.
e. Declaración jurada en que la organización postulante acepta el uso del respectivo equipamiento comunitario a otras organizaciones (para proyectos de construcción y/o Mejoramiento de Edificaciones Comunitarias).
f. Certificado Municipal que indique que las obras a ejecutar no se encuentran financiadas por otra Entidad.
g. Carta compromiso de Plan de uso y mantención.
ANEXO 2. Comunas que son parte del Sistema Nacional de Apoyos y Cuidados - Chile Cuida, en particular, que cuentan con el programa Red Local de Apoyos y Cuidados.


ANEXO 3. Resumen de los requerimientos mínimos para proyectos de Equipamientos Comunitarios Sustentables:
a) Requerimientos mínimos para Edificaciones Comunitarias Sustentables.

ANEXO Nº 4 Programa Arquitectónico CCC
NOTA
El numeral 1.2 del Nº 1 de la Resolución 1454 Exenta, Vivienda, publicada el 02.10.2024, modifica la presente norma en el sentido de reemplazar en el presente anexo el texto referido a "baños hombre y mujer:" por el siguiente: "Baños: independiente del número total de baños que considere el recinto, como mínimo 2 baños deben cumplir con ser: inclusivos, con accesibilidad universal, con mudadores, con espacio suficiente para ingresar con niños y, al menos uno, debe contar con ducha.".
El numeral 1.2 del Nº 1 de la Resolución 1454 Exenta, Vivienda, publicada el 02.10.2024, modifica la presente norma en el sentido de reemplazar en el presente anexo el texto referido a "baños hombre y mujer:" por el siguiente: "Baños: independiente del número total de baños que considere el recinto, como mínimo 2 baños deben cumplir con ser: inclusivos, con accesibilidad universal, con mudadores, con espacio suficiente para ingresar con niños y, al menos uno, debe contar con ducha.".
ANEXO Resolución 1656 EXENTA,
VIVIENDA
Nº 1 1.4
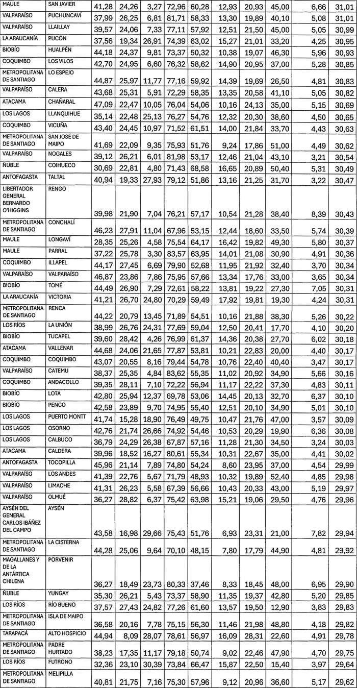
D.O. 05.11.2024Nº 5 FACTORES DE PUNTAJE COMUNAL
VIVIENDA
Nº 1 1.4
D.O. 05.11.2024Nº 5 FACTORES DE PUNTAJE COMUNAL
CENTROS COMUNITARIOS DE CUIDADOS Y PROYECCIÓN.






Anexo Nº 6
Logos para Placa recordatoria para la entrega del recinto
Logos anexo 6
Anexos Nº 7
Programa social Centros Comunitarios de Cuidados (Referencial)
Anexo 7 Programa social Centros Comunitarios de Cuidados MDS.pdf
Anexo Nº 8 (Referencial)
Propuesta de Mobililiario
Mobiliario Anexo 8
Anexo Nº 9 (Referencial)
Prototipo elaborado por Minvu como base de referencia.
Prototipo Anexo 9
Anexo Nº 10 (Referencial)
Sugerencias y Criterios establecidos por Servicio Nacional de la Discapacidad
Recomendaciones SENADIS Anexo 10
