ADJUDICA CONTRATO DE CONCESIÓN PARA LA EJECUCIÓN, REPARACIÓN, CONSERVACIÓN Y EXPLOTACIÓN DE LA OBRA PÚBLICA FISCAL DENOMINADA "RED AEROPORTUARIA NORTE", A EJECUTAR POR EL SISTEMA DE CONCESIONES
   
    Núm. 136.- Santiago, 4 de octubre de 2024.
   
    Vistos:
   
    - El artículo 87 del DFL MOP Nº 850, de 1997, que fija el texto refundido, coordinado y sistematizado de la Ley Nº 15.840, de 1964, Orgánica del Ministerio de Obras Públicas y del DFL Nº 206 de 1960, Ley de Caminos, y sus modificaciones.
    - El DS MOP Nº 900, de 1996, que fija el texto refundido, coordinado y sistematizado del DFL MOP Nº 164, de 1991, Ley de Concesiones de Obras Públicas, y sus modificaciones.
    - El DS MOP Nº 956, de 1997, Reglamento de la Ley de Concesiones de Obras Públicas, y sus modificaciones.
    - La ley Nº 21.044, que crea la Dirección General de Concesiones de Obras Públicas.
    - El DFL MOP Nº 7, de 2018, que fija la planta del personal y fecha de iniciación de actividades de la Dirección General de Concesiones de Obras Públicas.
    - El oficio Gab. Pres. Nº 2165, de 27 de noviembre de 2023, de Su Excelencia el Presidente de la República, mediante el cual aprueba la ejecución de la obra pública fiscal denominada "Red Aeroportuaria Norte" a través del Sistema de Concesiones.
    - El Convenio de Mandato entre la Dirección General de Aeronáutica Civil y el Ministerio de Obras  Públicas, suscrito el 10 de octubre de 2023 y aprobado mediante resolución DGAC exenta Nº 2.027, de 6 de noviembre de 2023.
    - El oficio OF. (O) Nº 14/1/13087 de 17 de noviembre de 2023, del señor Director General de Aeronáutica Civil, mediante el cual, en cumplimiento de lo señalado en el Convenio de Mandato, aprueba Bases de Licitación de la concesión "Red Aeroportuaria Norte".
    - El oficio Ord. Nº 1984, de 21 de noviembre de 2023, del señor Ministro de Hacienda, mediante el cual aprueba Bases de Licitación y Prospecto de Inversión del proyecto de concesión "Red Aeroportuaria Norte".
    - La resolución DGC Nº 77, de 28 de noviembre de 2023, que aprueba Bases de Licitación de la obra pública fiscal denominada "Red Aeroportuaria Norte", a ejecutar por el sistema de concesiones.
    - La publicación del llamado a Licitación Pública Internacional del proyecto de concesión denominado "Red Aeroportuaria Norte", efectuada en el Diario Oficial el 29 de diciembre de 2023.
    - La publicación del llamado a Licitación Pública Internacional del proyecto de concesión denominado "Red Aeroportuaria Norte", efectuada en medio digital https://legaleslanacion.cl/ , sección Avisos Legales, el 29 de diciembre de 2023.
    - La resolución DGC Nº 15, de 16 de febrero de 2024, que aprueba la Circular Aclaratoria Nº 1 a las Bases de Licitación de la obra pública fiscal denominada "Red Aeroportuaria Norte", a ejecutar por el sistema de concesiones.
    - La resolución DGC Nº 62, de 24 de junio de 2024, que aprueba la Circular Aclaratoria Nº 2 a las Bases de Licitación de la obra pública fiscal denominada "Red Aeroportuaria Norte", a ejecutar por el sistema de concesiones.
    - La resolución DGC (exenta) Nº 49, de 25 de junio de 2024, que aprueba la Circular Aclaratoria Nº 3 a las Bases de Licitación de la obra pública fiscal denominada "Red Aeroportuaria Norte", a ejecutar por el sistema de concesiones.
    - La resolución DGC (exenta) Nº 54, de 10 de julio de 2024, que establece conformación de las Comisiones de Recepción de las Ofertas y Apertura de las Ofertas Técnicas y de Apertura de las Ofertas Económicas de la obra pública fiscal denominada "Red Aeroportuaria Norte", a ejecutar por el sistema de concesiones.
    - La resolución DGC (exenta) Nº 55, de 10 de julio de 2024, que establece conformación de las Comisiones de Evaluación de las Ofertas Técnicas y de Evaluación de las Ofertas Económicas de la obra pública fiscal denominada "Red Aeroportuaria Norte", a ejecutar por el sistema de concesiones.
    - El Acta de Recepción de Ofertas y Apertura de las Ofertas Técnicas de 10 de julio de 2024.
    - El oficio Ord. Nº 50, de 24 de julio de 2024, mediante el cual el Sr. Director General de Concesiones de Obras Públicas solicitó aclaraciones al Grupo Licitante, y la respuesta del Grupo Licitante "Consorcio Sacyr-Cointer", ingresada de forma digital a la Oficina de Partes de la DGC, el 30 de julio de 2024.
    - El Acta de Evaluación de Ofertas Técnicas de 1º de agosto de 2024.
    - El Acta de Apertura de las Ofertas Económicas de 2 de agosto de 2024.
    - El Acta de Calificación de las Ofertas Económicas de 2 de agosto de 2024.
    - El Informe de la Dirección General de Aeronáutica Civil de 13 de agosto de 2024 contenido en el oficio OF. (O) Nº 14/1/9112.
    - El Acta de Adjudicación suscrita por el Sr. Director General de Concesiones de Obras Públicas de 4 de septiembre de 2024.
    - La resolución Nº 7, de 2019, de la Contraloría General de la República, que fija normas sobre exención del trámite de toma de razón.
    - La resolución Nº 14, de 2022, de Contraloría General de la República, que determina los montos en unidades tributarias mensuales, a partir de los cuales los actos que se individualizan quedarán sujetos a toma de razón y establece controles de reemplazo cuando corresponda.
   
    Decreto:

   
    1.- Adjudícase el Contrato de Concesión para la ejecución, reparación, conservación y explotación de la obra pública fiscal denominada "Red Aeroportuaria Norte", conformada por el Aeropuerto Desierto de Atacama, ubicado a 50 km al noroeste de la ciudad de Copiapó en la región de Atacama, y por el Aeropuerto Andrés Sabella, ubicado a 25 km al norte de la ciudad de Antofagasta en la región del mismo nombre, al Grupo Licitante "Consorcio Sacyr-Cointer", integrado por las empresas Sacyr Concesiones Chile SpA. y Cointer Chile S.A.
    2.- Declárase que forman parte integrante del presente decreto supremo de Adjudicación de la Concesión de la obra pública fiscal denominada "Red Aeroportuaria Norte", las Bases de Licitación aprobadas por resolución DGC Nº 77, de 28 de noviembre de 2023; la Circular Aclaratoria Nº 1 aprobada por resolución DGC Nº 15, de 16 de febrero de 2024; la Circular Aclaratoria Nº 2 aprobada por resolución DGC Nº 62, de 24 de junio de 2024; la Circular Aclaratoria Nº 3 aprobada por resolución DGC (exenta) Nº 49, de 25 de junio de 2024; y las Ofertas Técnica y Económica presentadas por el Grupo Licitante "Consorcio Sacyr-Cointer", en la forma aprobada por el Ministerio de Obras Públicas.
    3.- En caso de discrepancia en la interpretación del Contrato de Concesión, primará lo dispuesto en las Bases de Licitación y en los Anteproyectos Referenciales "Anteproyecto Referencial Ampliación y Mejoramiento Aeródromo Desierto de Atacama" y "Anteproyecto Referencial Ampliación y Mejoramiento Aeropuerto Andrés Sabella", entregados por el Ministerio de Obras Públicas de conformidad a lo dispuesto en el artículo 1.4.4 de las Bases de Licitación, por sobre lo establecido en la Oferta presentada por el Adjudicatario de la Concesión, salvo que esta última contenga aspectos superiores a lo exigido en las Bases de Licitación, lo que será calificado por el Director General de Concesiones de Obras Públicas.
    4.- Forman parte del Contrato de Concesión, las disposiciones pertinentes de los siguientes cuerpos legales:
   
    a) El DS MOP Nº 900, de 1996, que fija el texto refundido, coordinado y sistematizado del DFL MOP Nº 164, de 1991, Ley de Concesiones de Obras Públicas, y sus modificaciones.
    b) El DS MOP Nº 956, de 1997, Reglamento de la Ley de Concesiones de Obras Públicas, y sus modificaciones.
    c) El DFL MOP Nº 850, de 1997, que fija el texto refundido, coordinado y sistematizado de la Ley Nº 15.840 de 1964, Orgánica del Ministerio de Obras Públicas y del DFL Nº 206, de 1960, Ley de Caminos, y sus modificaciones.
    d) La ley Nº 16.752, que "Fija Organización y Funciones y Establece Disposiciones Generales a la Dirección General de Aeronáutica Civil", y sus modificaciones, así como sus normas complementarias.
   
    El Concesionario deberá cumplir con todas las leyes, decretos y reglamentos de la República de Chile vigentes a la fecha del perfeccionamiento del Contrato de Concesión, que se relacionan con él y con todos aquellos que se dicten durante su vigencia, de acuerdo a lo establecido en el artículo 1.7.7.1 de las Bases de Licitación.
    En todo caso, ante cualquier discrepancia en la interpretación de los documentos que conforman las Bases de Licitación y la normativa vigente que sea aplicable al Contrato de Concesión, primará lo dispuesto en dicha normativa, según lo establecido en el artículo 1.2.1 de las Bases de Licitación.
   
    5.- Forman parte integrante del Contrato de Concesión los siguientes documentos individualizados en los artículos 1.4.2 y 1.4.4 de las Bases de Licitación:
   
    - Doc. Nº 1: Llamado a Licitación por Concesión.
    - Doc. Nº 2: Bases Administrativas.
    - Doc. Nº 3: Bases Técnicas.
    - Doc. Nº 4: Bases Económicas.
    - Doc. Nº 5: Anexos de las Bases de Licitación.
    - Doc. Nº 6:  Circulares Aclaratorias emitidas por el Director General de Concesiones de Obras Públicas.
    - Doc. Nº 7: Manual de Planes de Manejo Ambiental para Obras Concesionadas, elaborado por el Ministerio de Obras Públicas (versión vigente).
    - Doc. Nº 8: Manual de Manejo de Áreas Verdes Sostenible para Proyectos y Obras Concesionadas, elaborado por el Ministerio de Obras Públicas (versión vigente).
    - Doc. Nº 9: Aspectos mínimos a considerar en la elaboración del Reglamento de Servicio de la Obra y Manual de Operaciones para la Concesión, elaborado por el Ministerio de Obras Públicas (versión vigente).
    - Doc. Nº 10: Términos de Referencia para Desarrollo de Proyectos de Aeropuertos Concesionados mediante Metodología BIM (TDR BIM), elaborado en conjunto por la Dirección de Aeropuertos del Ministerio de Obras Públicas y la Dirección General de Aeronáutica Civil.
    - Doc. Nº 11: Conservación de Pavimentos Viales en Obras Concesionadas Aeroportuarias, elaborado por la Dirección de Aeropuertos del Ministerio de Obras Públicas.
    - Doc. Nº 12: Especificaciones Técnicas Libro de Obra Digital (LOD), elaborado por el Ministerio de Obras Públicas (versión vigente).
    - Doc. Nº 13: Aspectos Mínimos a considerar en la Elaboración del Plan de Autocontrol de Calidad de las Obras, elaborado por el Ministerio de Obras Públicas (versión vigente).
    - Doc. Nº 14: Resolución de Calificación Ambiental Nº 51 (exenta), de 28 de mayo de 2002, que califica ambientalmente el proyecto "Nuevo Aeropuerto Regional de Atacama, III Región".
    - Doc. Nº 15: Resolución Nº 20210310119 (exenta), de 21 de enero de 2021, que resuelve consulta de pertinencia de ingreso al Servicio de Evaluación de Impacto Ambiental del proyecto "Ampliación y mejoramiento Aeropuerto Desierto de Atacama".
    - Doc. Nº 16: Resolución de Calificación Ambiental Nº 154 (exenta), de 13 de mayo de 2010, que califica ambientalmente el "Anteproyecto Referencial Ampliación y Mejoramiento Aeropuerto Cerro Moreno II Región".
    - Doc. Nº 17: DIA denominada "Proyecto Referencial Ampliación y Mejoramiento Aeropuerto Andrés Sabella", de junio de 2022, y sus adendas.
    - Doc. Nº 18: Resolución de Calificación Ambiental Nº 202302001149 (exenta), de 1º de septiembre de 2023, que califica ambientalmente el proyecto "Proyecto Referencial Ampliación y Mejoramiento Aeropuerto Andrés Sabella".
    - Anteproyecto referencial Nº 1 de la Tabla Nº 1 del artículo 1.4.4, de las Bases de Licitación titulado "Anteproyecto Referencial Ampliación y Mejoramiento Aeródromo Desierto de Atacama", aceptado totalmente por el Grupo Licitante Adjudicatario.
    - Anteproyecto referencial Nº 2 de la Tabla Nº 1 del artículo 1.4.4, de las Bases de Licitación titulado "Anteproyecto Referencial Ampliación y Mejoramiento Aeropuerto Andrés Sabella", aceptado totalmente por el Grupo Licitante Adjudicatario.
   
    6.- El inicio del plazo de la concesión será la fecha de publicación en el Diario Oficial del presente decreto supremo de Adjudicación de la Concesión, de acuerdo a lo establecido en el artículo 1.7.5 de las Bases de Licitación.
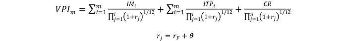
    7.- Conforme a lo establecido en 1.7.6, 1.7.6.1 y 1.7.6.2 de las Bases de Licitación y a la Oferta Económica del Grupo Licitante "Consorcio Sacyr-Cointer", la concesión se extinguirá de acuerdo a lo siguiente:
   
    a) Al cabo de 36 (treinta y seis) meses contados desde el primer mes "m" de concesión en que se cumpla la siguiente relación, y siempre y cuando m ≥
   
   
       
    donde,
   
    VPIm:  Corresponde al Valor Presente de los Ingresos por Pasajero Embarcado de la Sociedad Concesionaria (en UF), calculado en el mes "m" de concesión contado desde la fecha de autorización de la primera Puesta en Servicio Provisoria de las Instalaciones Existentes, conforme a lo señalado en la letra a) del artículo 1.10.1 de las Bases de Licitación (el mes en que se autoriza la primera Puesta en Servicio Provisoria de las Instalaciones Existentes es m = 1) y actualizado al mes anterior de dicha Puesta en Servicio Provisoria de las Instalaciones Existentes (m = 0).
    ITC:  Corresponde al monto total de los Ingresos por Pasajero Embarcado solicitado por el Grupo Licitante Adjudicatario "Consorcio Sacyr-Cointer" en su Oferta Económica presentada en el Tramo B - Ingreso por Pasajero Embarcado (ITC), según se indica en el artículo 3.2.2 de las Bases de Licitación, por un valor de UF 4.300.000 (cuatro millones trescientas mil Unidades de Fomento).
   
    Si transcurrido el plazo máximo de la concesión de 312 (trescientos doce) meses señalado en 1.7.6.2, no se hubiere cumplido el plazo de 36 (treinta y seis) meses antes señalado, la concesión se extinguirá por cumplimiento del plazo máximo, de acuerdo a lo señalado en 1.13.1.6, ambos artículos de las Bases de Licitación, y no tendrá aplicación lo establecido en la letra b) siguiente.
   
    b) No obstante lo anterior, si en el mismo mes "m" en el que se cumpla la relación (1) señalada en la letra anterior, la capacidad de ambos edificios terminales de pasajeros se encuentra dentro de los "parámetros de diseño", el Concesionario podrá optar por una extensión de 36 (treinta y seis) meses adicionales al plazo de concesión determinado conforme a la letra a) precedente, comunicando su decisión mediante anotación en el Libro de Explotación de la Obra. Si con esta extensión se excede el plazo máximo de la concesión, primará lo establecido en el artículo 1.13.1.6 de las Bases de Licitación, extinguiéndose la concesión en dicho plazo máximo y no tendrá aplicación lo establecido en el párrafo subsiguiente.
    Se entenderá que el edificio terminal de pasajeros en el Aeropuerto Desierto de Atacama se encuentra dentro de los "parámetros de diseño" cuando se compruebe que el número de pasajeros embarcados totales combinados en la H40 sea menor o igual a 727 (setecientos veintisiete) en el año móvil inmediatamente anterior. Asimismo, se entenderá que el edificio terminal de pasajeros en el Aeropuerto Andrés Sabella se encuentra dentro de los "parámetros de diseño" cuando se compruebe que el número de pasajeros embarcados totales combinados en la H40 sea menor o igual a 1.358 (mil trescientos cincuenta y ocho) en el año móvil inmediatamente anterior. Todo lo anterior, conforme a la información mensual que debe entregar según lo señalado en la letra o) del número 5) del artículo 1.8.2 de las Bases de Licitación.
    En caso que el Concesionario haya optado por la extensión señalada en el primer párrafo del presente literal, cada 36 (treinta y seis) meses, contados desde el mes "m" en que se cumpla la relación (1) señalada en la letra a) anterior, y siempre que la capacidad de ambos edificios terminales de pasajeros se encuentren dentro de los parámetros de diseño, el Concesionario podrá optar nuevamente a la extensión del plazo de concesión, en cuyo caso la duración de la concesión se extenderá por un periodo adicional de 36 (treinta y seis) meses contado desde la última fecha de extinción del contrato de concesión consignado por el Inspector Fiscal mediante anotación en el Libro de Explotación de la Obra. En caso que cualquier extensión adicional supere el plazo máximo de la concesión, primará lo establecido en el artículo 1.13.1.6 de las Bases de Licitación.
    El plazo máximo para que el Concesionario comunique su opción de ampliación del plazo de concesión, será el último día hábil del mes en que se cumplan las condiciones señaladas en los párrafos primero y tercero del presente literal, según corresponda. El Inspector Fiscal tendrá 5 (cinco) días para verificar la información de la H40 y definir la nueva fecha de extinción del contrato de concesión, de acuerdo a lo establecido en las Bases de Licitación. La nueva fecha de extinción del contrato de concesión será consignada por el Inspector Fiscal mediante anotación en el Libro de Explotación de la Obra.
    En caso que el Concesionario no opte por alguna extensión o comunique su opción fuera de plazo, se entenderá que la Concesión se extinguirá en la última fecha de extinción del contrato de concesión consignada por el Inspector Fiscal mediante anotación en el Libro de Explotación de la Obra.
   
    Si por aplicación de lo dispuesto en las letras a) o b) precedentes, según corresponda, la Concesión se extingue antes del plazo máximo de acuerdo a lo señalado en el artículo 1.7.6.2  de las Bases de Licitación y existiere una diferencia negativa entre el monto VPIm calculado en el último mes de concesión y el monto ITC (VPI m –ITC < 0), la Dirección General de Aeronáutica Civil pagará a la Sociedad Concesionaria dicha diferencia, por concepto de compensación al Concesionario, a más tardar 60 (sesenta) días contados  desde la fecha de extinción de la Concesión. Mientras se encuentre vigente la Concesión, la Dirección General de Aeronáutica Civil efectuará el pago por concepto de Tarifa por Pasajero Embarcado conforme lo establecido en el primer párrafo del artículo 1.14.1.1 de las Bases de Licitación. En ningún caso la Dirección General de Aeronáutica Civil efectuará el pago de dicho concepto una vez cumplido el ITC que asciende a UF 4.300.000 (cuatro millones trescientas mil Unidades de Fomento), de acuerdo a lo señalado por el Grupo Licitante "Consorcio Sacyr-Cointer" en su Oferta Económica.
    Con  todo,  transcurrido  el  plazo  máximo  de  la  concesión  señalado  en  1.7.6.2,  la  concesión se  extinguirá  por  cumplimiento  de  dicho  plazo  máximo de acuerdo a lo señalado en 1.13.1.6, ambos artículos de las Bases de Licitación. En este caso, si existiera una diferencia negativa entre el monto VPIm calculado en el último mes de concesión y el monto ITC, no procederá compensación alguna a la Sociedad Concesionaria.
   
    El valor de VPIm se calculará mensualmente, en UF, de acuerdo a la siguiente relación:
   

    donde,
   
    IMi  : Ingresos por concepto de tarifa por pasajeros embarcados (en UF) en el mes "i" de concesión, contado desde la fecha de autorización de la Puesta en Servicio de las Instalaciones Existentes, conforme a lo señalado en 1.10.1 letra a), sobre la base de la información señalada en 1.8.2 número 5 letra g), ambos artículos de las Bases de Licitación.
    ITPi : Se refiere al parámetro "ITPi" cuyo valor se definirá en conformidad a lo señalado en el artículo 1.12 de las Bases de Licitación.
    CR  : Saldo de la Cuenta de Reserva para Inversiones Menores No Contempladas señalada en 1.10.14, en caso de existir, cuando falten 6 (seis) meses para el término del contrato de concesión establecido en 1.7.6 o para el Plazo Máximo de la Concesión indicado en 1.7.6.2; o bien al momento en que se produzca la calificación del Director General de Concesiones referida a la cláusula de extinción señalada en 1.13.1.4, en caso que esto suceda; todos artículos de las Bases de Licitación.
    n    : Mes en que el Ministerio de Obras Públicas paga a la Sociedad Concesionaria el monto IND por concepto de extinción anticipada de la concesión de acuerdo a lo señalado en 1.13.1.4, o mes en que se complete al menos el 90% (noventa por ciento) del monto de ITC solicitado por el Grupo Licitante Adjudicatario "Consorcio Sacyr-Cointer" en su Oferta Económica, según lo establecido en 3.2.2, ambos artículos de las Bases de Licitación, lo que suceda primero.
    rF  : Tasa Fija, que corresponde a 0,02 (2% real anual). Este valor aplicará únicamente para la determinación del VPIm definido en el presente número y para el cálculo del monto de indemnización anticipada de la concesión (IND) regulado en el artículo 1.13.1.4 de las Bases de Licitación y no aplicará para ningún otro efecto.
    θ: Premio por Riesgo Anual, que corresponde a 0,02 (2% real anual). Este valor aplicará únicamente para la determinación del VPIm definido en el presente número y para el cálculo del monto de indemnización por extinción anticipada de la concesión (IND) regulado en el artículo 1.13.1.4 de las Bases de Licitación y no aplicará para ningún otro efecto.
   
    El plazo máximo de la concesión será igual a 312 (trescientos doce) meses contados desde el inicio del plazo de la concesión establecido en el artículo 1.7.5 de las Bases de Licitación.
   
    8.- De acuerdo a lo señalado en 1.8.10, el Ministerio de Obras Públicas, a más tardar al inicio de la Puesta en Servicio Provisoria de las Instalaciones Existentes del Aeropuerto Desierto de Atacama señalada en 1.9.7 letra a), ambos artículos de las Bases de Licitación, entregará al Adjudicatario o bien al Concesionario, según sea el caso, la infraestructura, instalaciones y/o equipamiento preexistente de dicho aeropuerto en el estado en que se encuentren, junto con el plano de Área de Concesión que se encuentre vigente correspondiente a la actual concesión denominada "Nuevo Aeropuerto Regional de Atacama, III Región" a que hace referencia el artículo 1.3 de las Bases de Licitación. Este acto se efectuará mediante anotación del Inspector Fiscal en el Libro de Explotación de la Obra.
    De la misma manera, a más tardar al inicio de la Puesta en Servicio Provisoria de las Instalaciones Existentes del Aeropuerto Andrés Sabella señalada en la letra a) del artículo 1.9.7 de las Bases de Licitación, el Ministerio de Obras Públicas, entregará al Adjudicatario o bien al Concesionario, según sea el caso, la infraestructura, instalaciones y/o equipamiento preexistente de dicho aeropuerto en el estado en que se encuentren, junto con el plano Área de Concesión que se encuentre vigente correspondiente a la actual concesión denominada "Aeropuerto Cerro Moreno de Antofagasta" a que hace referencia el artículo 1.3 de las Bases de Licitación. Este acto se efectuará mediante anotación del Inspector Fiscal en el Libro de Explotación de la Obra.
    Desde la fecha señalada en el Libro de Explotación de la Obra, el Concesionario será responsable de mantener y conservar, según los Estándares Técnicos establecidos en las Bases de Licitación, todas las obras, infraestructura, instalaciones y/o equipamiento que se encuentren o utilicen en el Área de Concesión.
    Para apoyar este traspaso de la infraestructura, instalaciones y/o equipamiento y a modo de referencia, el Inspector Fiscal hará entrega al Adjudicatario o bien al Concesionario, según sea el caso, mediante anotación en el Libro de Explotación de la Obra, del Inventario de la infraestructura preexistente del Aeropuerto Desierto de Atacama y del Aeropuerto Andrés Sabella en el Área de Concesión, según corresponda.
    9.- De conformidad con lo establecido en el artículo 1.9, la Etapa de Construcción comenzará junto con la primera Puesta en Servicio Provisoria de las Instalaciones Existentes señalada en la letra a) del artículo 1.9.7; y finalizará junto con la última Puesta en Servicio Provisoria de la Totalidad de las Obras señalada en la letra b) del artículo 1.9.7, ambos de las Bases de Licitación. Dicha etapa estará regida por lo dispuesto en las Bases de Licitación y en el Reglamento de la Ley de Concesiones y comprenderá:
   
    a) La elaboración de la totalidad de los estudios y proyectos definitivos que se requieran, según lo establecido en los artículos 1.9.2 y 2.7 de las Bases de Licitación.
    b) La construcción de las Obras de la Concesión señaladas en el artículo 2.5 de las Bases de Licitación, de acuerdo a los Estándares Técnicos y plazos exigidos en las Bases de Licitación.
   
    Se entenderá por Obras de la Concesión la totalidad de la obra gruesa, instalaciones (incluido el suministro del equipamiento) y la totalidad de las terminaciones y obras complementarias objeto de la concesión.
    c) El uso y goce sobre bienes nacionales de uso público o fiscales destinados a desarrollar la obra entregada en concesión.
    d) El uso y goce sobre bienes nacionales de uso público o fiscales destinados a áreas de servicios conforme a lo estipulado en el artículo 32º de la Ley de Concesiones.
   
    10.- La Sociedad Concesionaria, de acuerdo a lo dispuesto en los artículos 1.9.1 y 1.9.2 de las Bases de Licitación, deberá elaborar, separadamente para cada aeropuerto, un Proyecto de Ingeniería Definitiva de las obras incluidas en las Bases de Licitación y en los anteproyectos que forman parte de su Oferta Técnica, de manera tal que se ajusten a los Estándares Técnicos establecidos en los Anteproyectos Referenciales entregados por el Ministerio de Obras Públicas, en las Bases de Licitación y en los demás documentos que forman parte del Contrato de Concesión, debiendo considerar las pautas y normas vigentes de la Dirección de Aeropuertos del Ministerio de Obras Públicas y de la Dirección General de Aeronáutica Civil. Las obras correspondientes no podrán ejecutarse en tanto los proyectos de ingeniería de detalle respectivos no se encuentren aprobados por el Inspector Fiscal. Será exclusivamente responsabilidad del Concesionario el correcto desarrollo de los proyectos de cada una de las especialidades.
    11.- De acuerdo a lo establecido en el artículo 1.9.10 de las Bases de Licitación, durante el tiempo que dure la ejecución de las obras, el Concesionario será el responsable de mantener operables, a su entero cargo y costo, todas las actividades y servicios que se realizan en las actuales instalaciones existentes de cada aeropuerto, en particular, los Servicios Aeronáuticos y No Aeronáuticos obligatorios que pudieran verse afectados por la construcción de las obras. Para tales efectos, el Concesionario deberá dar cumplimiento al Reglamento de Servicio de la Obra que se encuentre aprobado conforme a lo establecido en los artículos 1.8.17 y 1.10.4 de las Bases de Licitación. Tales servicios no podrán interrumpirse salvo una autorización expresa por parte del Director General de Concesiones de Obras Públicas ante una solicitud fundada de parte del Concesionario.
    Adicionalmente, para el mantenimiento del servicio de las actuales instalaciones, el Concesionario deberá realizar y habilitar todas las obras provisorias que se requieran una vez que los proyectos respectivos sean aprobados por el Inspector Fiscal.
    Para facilitar la operatividad normal de cada aeropuerto, existirá un Comité de Gestión de la Concesión conforme lo señalado en el artículo 1.8.16 de las Bases de Licitación.
    En conformidad a lo dispuesto en 1.10.10, punto A.10, párrafo cuarto, mientras no entre en vigencia la actualización del Reglamento de Servicio de la Obra -en particular el Manual de Operación y los Mecanismos de Asignación de los Servicios Aeronáuticos y No Aeronáuticos-, conforme a lo señalado en 1.10.4 y 2.9.2, regirán el Reglamento de Servicio de la Obra, el Manual de Operación y los Mecanismos de Asignación de los Servicios Aeronáuticos y No Aeronáuticos, entregados al Adjudicatario o bien al Concesionario, según sea el caso, conforme a lo señalado en 1.8.17, todos artículos de las Bases de Licitación, los que para todos los efectos legales se entenderán plenamente vigentes para las instalaciones preexistentes del respectivo aeropuerto dentro del Área de Concesión. En caso de discrepancias entre lo establecido en los documentos antes indicados y las Bases de Licitación, primará lo dispuesto en estas últimas. Asimismo, en todo aspecto no previsto en dichos documentos, tendrá plena aplicación lo establecido en las Bases de Licitación.
    12.- De acuerdo a lo establecido en el artículo 1.10 de las Bases de Licitación, la Etapa de Explotación comenzará junto con la primera de las Puestas en Servicio Provisoria de las Instalaciones Existentes señalada en el artículo 1.9.7 letra a) de las Bases de Licitación y se extenderá hasta el término de la concesión. Esta etapa comprende lo siguiente:
   
    a) La prestación del Servicio Básico para el que fue construida la obra, dentro del Área de Concesión definida en el artículo 2.4 de las Bases de Licitación. Se entiende por Servicio Básico:
   
    a.1. La prestación y explotación de los Servicios Aeronáuticos y No Aeronáuticos de acuerdo a lo señalado en los artículos 1.10.4, 1.10.9.1, 1.10.9.2, 1.10.9.3, 1.10.10 y 1.10.11 de las Bases de Licitación y a lo presentado por el Grupo Licitante Adjudicatario "Consorcio Sacyr-Cointer" en su Oferta.
    a.2. La conservación y aseo de la obra, manteniéndola en óptimas condiciones de uso.
   
    Las labores de conservación que son de exclusiva responsabilidad, cargo y costo del Concesionario corresponden a la conservación preventiva y correctiva de la infraestructura, instalaciones y equipamiento, nuevo y preexistente, que se entrega al Concesionario para su operación y explotación. Las labores de aseo se refieren al aseo permanente del Área de Concesión.
    Todo lo anterior, según se explicita en las Bases de Licitación y el Área de Concesión definida conforme el artículo 2.4 de las citadas Bases.
   
    b) El cobro de tarifas a los usuarios de los Servicios Comerciales, Aeronáuticos y No Aeronáuticos.
    c) La ejecución de las obras que deben construirse una vez que la obra haya sido puesta en servicio, si procede.
    d) El uso y goce sobre bienes nacionales de uso público o fiscales en los que se desarrolle la obra entregada en concesión, de acuerdo a lo expresado en las letras precedentes de este número.
    e) El uso y goce sobre bienes nacionales de uso público o fiscales destinados a áreas de servicio conforme a lo estipulado en el artículo 32º de la Ley de Concesiones.
    f) El cobro de la tarifa por pasajero embarcado, el que se materializará a través de un pago de la Dirección General de Aeronáutica Civil a la Sociedad Concesionaria, conforme a lo establecido en el artículo 1.14.1.1 de las Bases de Licitación.
    Con todo, lo señalado en el párrafo anterior regirá para cada aeropuerto, una vez autorizada la respectiva Puesta en Servicio Provisoria de las Instalaciones Existentes, en conformidad al artículo 1.9.7 letra a) de las Bases de Licitación.
   
    13.- El Concesionario deberá realizar todas las obras necesarias para prestar los Servicios Aeronáuticos y No Aeronáuticos exigidos en las Bases de Licitación; lo establecido en los anteproyectos que formen parte de su oferta técnica; y las obras que no hayan sido proyectadas en los mismos, pero que son requeridas para efectos de la ejecución de las obras contempladas en las Bases de Licitación, de acuerdo a lo establecido en el artículo 2.5 de las Bases de Licitación. A continuación, se presenta una enumeración no taxativa de las obras a ejecutar por el Concesionario:
   
    Aeropuerto Desierto de Atacama:
   
    i) Ampliación y mejoramiento del Edificio Terminal de Pasajeros. Incluye la provisión e instalación de 4 (cuatro) Puentes de Embarque.
    La ampliación y mejoramiento del Edificio Terminal de Pasajeros, incluye todas las obras civiles e instalaciones necesarias para dar a las líneas aéreas, pasajeros y demás usuarios del Aeropuerto las condiciones de servicio, confort y seguridad acordes a las de un aeropuerto regional con carácter internacional. Las nuevas áreas del Edificio Terminal deberán disponer de las facilidades necesarias para atender a la totalidad de pasajeros y usuarios del Aeropuerto.
    El Edificio Terminal se ampliará hacia el poniente, norte y sur. Todo el equipamiento y mobiliario del Edificio Terminal deberá ser renovado por el Concesionario, de acuerdo a las especificaciones contenidas en el Anteproyecto Referencial entregado por el MOP. Se contempla el reemplazo del total de banquetas en sala de embarque y el reemplazo de todos los mesones de check-in, incluyendo su sistema de pesas.
    Se incluye el desmontar las vigas laminadas existentes en el Terminal de Pasajeros, para el posterior uso en el Edificio Administrativo de la DGAC.
   
    ii) Instalaciones Aeronáuticas DGAC:
   
    . Remodelación y Normalización Torre de Control;
    . Remodelación y Ampliación del Edificio Administrativo DGAC;
    . Ampliación instalaciones ARO y Sala Técnica;
    . Remodelación y Normalización Edificio SSEI;
    . Ampliación y Remodelación Edificio Logístico y Bodegas exteriores;
    . Nueva Subestación Eléctrica DGAC (incluye equipamiento);
    . Dos nuevos Puestos de Control de Acceso.
   
    iii) Otras Instalaciones:
   
    . Ampliación y Remodelación Subestación Eléctrica Sociedad Concesionaria;
    . Nuevo Complejo de Carga (incluye equipamiento);
    . Caniles; y
    . Nueva Sala de Basura y Proveedores.
   
    iv) Ampliación, normalización y modificación de la vialidad vehicular y peatonal de circulación interior del Aeropuerto.
    v) Ampliación y redistribución del área de estacionamientos vehiculares. Construcción estacionamientos para taxis, buses, minibuses, custodia, rent a car, servicios públicos, sociedad concesionaria, carga y DGAC.
    vi) Construcción obras Air Side:
   
    . Normalización de la plataforma de giro en extremos de pista;
    . Ampliación y normalización de plataforma comercial;
    . Normalización de rodaje Bravo en su curva con la calle de rodaje en plataforma;
    . Normalización de rodaje Charlie en su curva con la calle de rodaje en plataforma;
    . Ampliación y normalización de Plataforma Aviación General;
    . Ampliación y normalización de calle de salida rápida del cuartel SSEI;
    . Ampliación y normalización de vialidad aeronáutica;
    . Mejoramiento sistema de saneamiento Air Side y Land Side.
   
    vii) Nuevas instalaciones eléctricas y ayudas visuales, modificaciones y traslados asociados a las nuevas obras.
    viii) Instalaciones eléctricas tanto en las nuevas edificaciones como en aquellas que sean afectadas, trasladadas o reinstaladas, producto del desarrollo de las obras.
    ix) Reemplazo total de la señalética preexistente e incorporación de señalética en las nuevas áreas.
    x) Distribución de gas en el interior y en el exterior de las edificaciones proyectadas con este servicio.
    xi) Obras y/o trabajos complementarios: paisajismo y cerco de seguridad del aeropuerto, entre otras.
    xii) Desarme y/o demolición, reubicación o reinstalación de obras preexistentes para dar cabida a las nuevas obras del proyecto.
    xiii) Suministro e instalación de sistema fotovoltaico de generación de electricidad.
    xiv) Otras obras, definidas en el Anteproyecto Referencial entregado por el Ministerio de Obras Públicas.
   
    Aeropuerto Andrés Sabella:
   
    i) Ampliación y mejoramiento del Edificio Terminal de Pasajeros. Incluye la provisión e instalación de 5 (cinco) nuevos Puentes de Embarque y la rehabilitación de 4 (cuatro) Puentes de Embarque Existente.
    La ampliación y mejoramiento del Edificio Terminal de Pasajeros, incluye todas las obras civiles e instalaciones necesarias para dar a las líneas aéreas, pasajeros y demás usuarios del Aeropuerto las condiciones de servicio, confort y seguridad acordes a las de un aeropuerto regional con carácter internacional. Las nuevas áreas del Edificio Terminal deberán disponer de las facilidades necesarias para atender a la totalidad de pasajeros y usuarios del Aeropuerto.
    El Edificio Terminal se ampliará hacia el oriente, poniente, norte y sur. Todo el equipamiento y mobiliario del Edificio Terminal deberá ser renovado por el Concesionario, de acuerdo a las especificaciones contenidas en el Anteproyecto Referencial entregado por el MOP. Se contempla el reemplazo del total de banquetas en sala de embarque y el reemplazo de todos los mesones de check-in, incluyendo su sistema de pesas.
   
    ii) Instalaciones Aeronáuticas DGAC:
   
    . Nuevo edificio administrativo DGAC;
    . Nueva torre de control;
    . Nuevo edificio logístico;
    . Nueva subestación eléctrica DGAC;
    . Nuevo pabellón inflado globo sonda;
    . Remodelación y normalización del cuartel SSEI;
    . Nuevos puntos de control de acceso;
    . Estaciones de transmisores (incluye equipamiento);
    . Estaciones de receptores (incluye equipamiento);
    . Surtidor de Combustible DGAC.
   
    iii) Otras Instalaciones:
   
    . Nuevo complejo de carga (incluye equipamiento);
    . Caniles;
    . Nueva central térmica;
    . Nueva subestación eléctrica Concesionario;
    . Nueva sala de basura y proveedores;
    . Ampliación Estanque de Agua Potable;
    . Ampliación Planta de Tratamiento de Aguas Servidas;
    . Nueva Planta Elevadora de Aguas Servidas.
   
    iv) Ampliación y modificación de la vialidad vehicular y peatonal de circulación interior del Aeropuerto.
    v) Ampliación y redistribución del área de estacionamientos vehiculares. Construcción estacionamientos para taxis, buses, minibuses, custodia, rent a car, servicios públicos, sociedad concesionaria, carga y DGAC.
    vi) Construcción de las obras del Air Side:
   
    . Ampliación plataforma comercial;
    . Nueva plataforma aviación general;
    . Nueva calle de rodaje en plataforma;
    . Nueva calle de rodaje de aviación general;
    . Ampliación de salida rápida del SSEI;
    . Ampliación de vialidad aeronáutica;
    . Mejoramiento sistema de saneamiento Air Side y Land Side;
    . Normalización de franjas que sean modificadas producto de las obras.
   
    vii) Nuevas instalaciones eléctricas y ayudas visuales, modificaciones y traslados asociados a las nuevas obras.
    viii) Instalaciones eléctricas tanto en las nuevas edificaciones como en aquellas que sean afectadas, trasladadas o reinstaladas, producto del desarrollo de las obras.
    ix) Reemplazo total de la señalética preexistente e incorporación de señalética en las nuevas áreas.
    x) Distribución de gas en el interior y en el exterior de las edificaciones proyectadas con este servicio.
    xi) Obras y/o Trabajos Complementarios: Paisajismo y Cerco de Seguridad del Aeropuerto, entre otras.
    xii) Suministro e instalación de sistema fotovoltaico de generación de electricidad.
    xiii) Otras Obras, definidas en el Anteproyecto Referencial entregado por el Ministerio de Obras Públicas.
   
    14.- Conforme a lo señalado en el artículo 1.4.3 de las Bases de Licitación, el Presupuesto Oficial Estimado de la Obra es de UF 7.012.000 (siete millones doce mil Unidades de Fomento), cantidad que no incluye Impuesto al Valor Agregado (IVA). Este valor es referencial y considera el valor nominal de las obras del Contrato de Concesión, incluyendo todos los costos del proyecto, gastos generales y utilidades, pagos de la Sociedad Concesionaria durante la Etapa de Construcción y los costos para la elaboración del Proyecto de Ingeniería Definitiva.
    15.- Conforme a lo señalado en 1.14.4 de las Bases de Licitación, para efectos de lo dispuesto en el DL Nº 825 de 1974 y sus modificaciones posteriores, y en especial el artículo 16º, letras c) y h), en el Contrato de Concesión el Subsidio Fijo a la Construcción pagará el servicio de construcción y se imputará el 100% (cien por ciento) de los ingresos de explotación para pagar el servicio de conservación, reparación y explotación durante el periodo comprendido entre la primera Puesta en Servicio Provisoria de las Instalaciones Existentes señalada en la letra a) del artículo 1.9.7 de las Bases de Licitación, hasta el término del Contrato de Concesión. Como ingresos de explotación, el Concesionario percibirá los pagos de la Dirección General de Aeronáutica Civil por concepto de Tarifa por Pasajero Embarcado, en caso que proceda, y los ingresos por la explotación de los Servicios Comerciales, Aeronáuticos y No Aeronáuticos.
    En los aspectos relativos a la declaración y pago del Impuesto a la Renta, el Concesionario se deberá regir por lo dispuesto en el DL Nº 824 de 1974 y sus modificaciones, especialmente por las introducidas por la ley Nº 19.460 y las demás normas que correspondan.
    16.- Las obligaciones y derechos del Grupo Licitante Adjudicatario o bien de la Sociedad Concesionaria, según sea el caso, son los establecidos en los cuerpos legales citados en el presente decreto supremo y la normativa legal vigente que le sea aplicable, en las Bases de Licitación y en las Ofertas Técnica y Económica presentadas por el Grupo Licitante Adjudicatario "Consorcio Sacyr-Cointer", en la forma aprobada por el Ministerio de Obras Públicas.
    Sin perjuicio de lo anterior, y en forma no taxativa, se indican como obligaciones y derechos los siguientes:
   
    OBLIGACIONES:
   
    i. Constituir legalmente la sociedad, de nacionalidad chilena, prometida en su Oferta Técnica, de acuerdo a lo establecido en el artículo 1.7.3 de las Bases de Licitación, dentro del plazo máximo de 60 (sesenta) días contados desde la publicación en el Diario Oficial del presente decreto supremo de Adjudicación del Contrato de Concesión. Asimismo, y dentro del mismo plazo, el Adjudicatario procederá a suscribir ante Notario 4 (cuatro) transcripciones del presente decreto supremo, en señal de aceptación de su contenido, debiendo protocolizar ante el mismo Notario 1 (uno) de los ejemplares, según lo exigido en el artículo 1.7.4 de las Bases de Licitación.
    ii. Al otorgarse la escritura de constitución de la Sociedad Concesionaria se deberá suscribir íntegramente el capital de la sociedad, que no podrá ser inferior a $61.000.000.000 (sesenta y un mil millones de pesos), y pagarse, al menos, la suma de $30.500.000.000 (treinta mil quinientos millones de pesos), debiendo individualizar con su correspondiente porcentaje, a todas las personas naturales o jurídicas que suscribirán el 100% (cien por ciento) de dicho capital. El saldo del capital deberá pagarse en el plazo máximo de 12 (doce) meses contados desde la fecha de la escritura pública de constitución de la sociedad. La Sociedad Concesionaria deberá ajustarse a la normativa vigente en la materia para la definición del número de acciones en que será dividido el capital con indicación de sus series y privilegios si los hubiere y si las acciones tienen o no valor nominal. El pago del capital social deberá acreditarse en todo caso mediante certificado bancario. Todo lo anterior de acuerdo a lo dispuesto en el artículo 1.7.3 de las Bases de Licitación.
    iii. La Sociedad Concesionaria, dentro del plazo de 60 (sesenta) días contados desde su constitución, deberá haber solicitado su inscripción en el Registro correspondiente de la Comisión para el Mercado Financiero (CMF), de acuerdo a la normativa vigente, lo que deberá acreditar ante el Inspector Fiscal con el certificado respectivo, de conformidad a lo dispuesto en el artículo 1.7.3 de las Bases de Licitación.
    iv. El Concesionario deberá entregar, al momento de la constitución de la Sociedad Concesionaria, un certificado emitido por los auditores externos y una opinión legal de un abogado de la plaza, para acreditar que la Sociedad Concesionaria y sus accionistas se ajustan a la limitación establecida en el artículo 1.7.3 de las Bases de Licitación, relacionada con los pronunciamientos contenidos en la Resolución Nº 25/2008 de 27 de marzo de 2008 del Tribunal de Defensa de la Libre Competencia, en concordancia con el Dictamen Nº 1004 de 25 de abril de 1997 de la Comisión Preventiva Central. Lo anterior es sin perjuicio de las atribuciones del Tribunal de Defensa de la Libre Competencia contenidas en el decreto ley Nº 211 de 1973, cuyo texto refundido, coordinado y sistematizado fue fijado por el DFL Nº 1 del año 2004, del Ministerio de Economía, Fomento y Reconstrucción, actual Ministerio de Economía, Fomento y Turismo.
    v. De conformidad con lo establecido en el artículo 1.7.7.2 de las Bases de Licitación, el Concesionario será siempre responsable del cumplimiento cabal, íntegro y oportuno del Contrato de Concesión, de la correcta ejecución de los proyectos y de las obras, de la operación de la concesión, así como del cumplimiento de los Niveles de Servicio y Estándares Técnicos establecidos en las Bases de Licitación para las diferentes etapas y condiciones de la concesión, durante toda su vigencia y del cumplimiento de todas las obligaciones establecidas en el Contrato de Concesión, sin perjuicio de las funciones de dirección y control que corresponden al Ministerio de Obras Públicas.
    vi. Conforme a lo señalado en el artículo 1.8.12.1 de las Bases de Licitación, el Ministerio de Obras Públicas ha sometido al Sistema de Evaluación de Impacto Ambiental la Declaración de Impacto Ambiental denominada "Proyecto Referencial Ampliación y Mejoramiento Aeropuerto Andrés Sabella" de junio de 2022 la que, al igual que sus Adendas y la Resolución de Calificación Ambiental Nº 202302001149 (exenta) de 1º de septiembre de 2023, fue puesta a disposición del Grupo Licitante, junto con la Resolución de Calificación Ambiental Nº 154 (exenta) de 13 de mayo de 2010 que califica ambientalmente el "Anteproyecto Referencial Ampliación y Mejoramiento Aeropuerto Cerro Moreno II Región". Por su parte, respecto del aeropuerto Desierto de Atacama, el proyecto "Ampliación y Mejoramiento Aeropuerto Desierto de Atacama" no requiere de ingreso al Sistema de Evaluación de Impacto Ambiental de forma obligatoria de acuerdo a la resolución Nº 20210310119 (exenta) de 21 de enero de 2021 que resuelve la correspondiente consulta de pertinencia, resolución que también fue puesta a disposición del Grupo Licitante Adjudicatario, junto a la Resolución de Calificación Ambiental Nº 51 (exenta) de 28 de mayo de 2002, que califica ambientalmente el proyecto denominado "Nuevo Aeropuerto Regional de Atacama, III Región". Todos documentos que forman parte de las Bases de Licitación conforme a lo señalado en su artículo 1.4.2.
    Estos documentos contienen una serie de medidas y exigencias que, junto con las medidas y exigencias establecidas en las Bases de Licitación, constituyen el conjunto de obligaciones, compromisos y medidas ambientales mínimas obligatorias a cumplir por parte del Adjudicatario o bien la Sociedad Concesionaria, según sea el caso, durante las Etapas de Construcción y Explotación de la Concesión. En efecto, una vez publicado el presente decreto supremo de Adjudicación del Contrato de Concesión en el Diario Oficial, todas las medidas, exigencias y condiciones definidas en la DIA y las Resoluciones de Calificación Ambiental señaladas en el presente número se entenderán que forman parte integrante del contenido de este Decreto Supremo de Adjudicación.
    Con todo, la implementación de las medidas y/o exigencias establecidas en las Bases de Licitación, en la Declaración de Impacto Ambiental y sus Adendas, y en las Resoluciones de Calificación Ambiental indicadas en el párrafo primero de este numeral, serán de exclusiva responsabilidad, cargo y costo de la Sociedad Concesionaria, no pudiendo, en caso alguno, eximirse de esta obligación, debiendo dar cumplimiento a la normativa ambiental vigente.
    Una vez constituida legalmente la Sociedad Concesionaria, se procederá al cambio de titularidad de las Resoluciones de Calificación Ambiental Nº 51 (exenta) de 28 de mayo de 2002, Nº 154 (exenta) de 13 de mayo de 2010 y Nº 202302001149 de 1º de septiembre de 2023 antes señaladas, de acuerdo a la normativa ambiental vigente y conforme las instrucciones que, para tales efectos, se encuentren vigentes o dicte la Autoridad Ambiental competente. Para efectos de su formalización, el Ministerio de Obras Públicas informará a la Autoridad Ambiental, con copia a la Sociedad Concesionaria, el respectivo cambio de titularidad mediante el envío formal de las Bases de Licitación aprobadas por el Ministerio de Obras Públicas, del presente decreto supremo de Adjudicación de la Concesión, debidamente suscrito y protocolizado por el Concesionario, y de la resolución de la cual se solicita el cambio de titularidad. Por medio de la suscripción del presente decreto supremo de Adjudicación del Contrato de Concesión, el Concesionario aceptará la calidad de nuevo titular de las Resoluciones de Calificación Ambiental indicadas en el párrafo primero del presente numeral, siendo responsable del cumplimiento de las obligaciones ambientales impuestas y de la normativa vigente.
    En caso que el Adjudicatario o la Sociedad Concesionaria, según sea el caso, proponga cualquier alternativa de modificación del proyecto, nuevas obras o cualquier otra actividad asociada al proyecto objeto de la concesión, conforme a lo establecido en las Bases de Licitación, deberá realizar la consulta de pertinencia de ingreso al Servicio de Evaluación de Impacto Ambiental y someter a aprobación una Declaración o un Estudio de Impacto Ambiental, según corresponda, de acuerdo a lo indicado en la Ley Nº 19.300 "Sobre Bases Generales del Medio Ambiente" y en el Reglamento del Sistema de Evaluación de Impacto Ambiental, con sus respectivas modificaciones. En caso que proceda dicho ingreso, la elaboración de la Declaración de Impacto Ambiental o Estudio de Impacto Ambiental y de sus Adendas si las hubiera, así como su tramitación y el cumplimiento de todas las medidas de mitigación, compensación o reparación y/o exigencias que emanen de la(s) respectiva(s) Resolución(es) de Calificación Ambiental serán de exclusiva responsabilidad, cargo y costo del Adjudicatario o bien de la Sociedad Concesionaria, según corresponda, en calidad de titular de la respectiva Declaración de Impacto Ambiental o Estudio de Impacto Ambiental ante la autoridad ambiental respectiva.
    La Sociedad Concesionaria, durante toda la vigencia del Contrato de Concesión, será la única responsable, a su entero cargo y costo, ante la Autoridad Ambiental competente y cualquier otra autoridad pública, del cumplimiento de las obligaciones y exigencias ambientales establecidas en la(s) Declaración(es) de Impacto Ambiental, Estudio(s) de Impacto Ambiental, sus Adendas y en las respectivas RCA, debiendo dar cumplimiento a toda la normativa ambiental vigente. Será, asimismo, responsable de la conservación de toda medida u obra que deba implementarse o construirse a consecuencia de las exigencias ambientales establecidas en la o las Resoluciones de Calificación Ambiental que se obtengan durante la vigencia del Contrato de Concesión, así como de las demás obligaciones previstas en las Bases de Licitación.
    vii. Conforme a lo establecido en el artículo 1.8.17 de las Bases de Licitación, el Adjudicatario o bien el Concesionario, según sea el caso, deberá someterse a un Período de Transición para cada Aeropuerto para tomar conocimiento del funcionamiento de las instalaciones existentes, tanto del Aeropuerto Desierto de Atacama como del Aeropuerto Andrés Sabella.
    Cada Período de Transición comenzará el día siguiente a la publicación en el Diario Oficial del presente decreto supremo de Adjudicación de la concesión, y culminará el día anterior a la fecha de la respectiva Puesta en Servicio Provisoria de las Instalaciones Existentes señalada en el artículo 1.9.7 letra a) de las Bases de Licitación. Las actividades y/o requisitos mínimos que debe cumplir el Adjudicatario o bien el Concesionario, según sea el caso para cada Aeropuerto, durante este Período de Transición son los siguientes:
   
    1. Someterse y participar activamente, de acuerdo a las instrucciones del Inspector Fiscal, en un programa de talleres de inducción y/o capacitación que será impartido por el Concesionario en ejercicio, respecto de la operación de las instalaciones existentes y servicios de cada aeropuerto.
    2. Someter a la aprobación del Inspector Fiscal la Garantía de Explotación de las Instalaciones Existentes que corresponda, según lo señalado en 1.8.3.2 letra a) y acompañar todos los documentos exigidos en las Bases de Licitación para la autorización de la respectiva Puesta en Servicio Provisoria de las Instalaciones Existentes señalada en la letra a) del 1.9.7, tales como Pólizas de Seguro de Responsabilidad Civil por Daños a Terceros y de Seguro por Catástrofe según lo señalado en 1.8.7 y 1.8.8, respectivamente; todos artículos de las Bases de Licitación.
    3. Efectuar, cuando procedan, las correcciones requeridas por el Ministerio de Obras Públicas a las propuestas de pólizas de seguro para la Etapa de Explotación, y contratar las pólizas de seguro conforme al texto aprobado por el Ministerio de Obras Públicas con la anticipación debida para poder entregarlas al Ministerio de Obras Públicas en los plazos previstos en los artículos 1.8.7 y 1.8.8 de las Bases de Licitación.
   
    viii. La Sociedad Concesionaria deberá construir, conservar y explotar las obras descritas en las Bases de Licitación, en los Anteproyectos Referenciales titulados "Anteproyecto Referencial de Ampliación y Mejoramiento Aeródromo Desierto de Atacama" y "Anteproyecto Referencial Ampliación y Mejoramiento Aeropuerto Andrés Sabella" entregados por el Ministerio de Obras Públicas, y en los demás documentos que forman parte del Contrato de Concesión, en la forma, modo y plazos señalados en dichos documentos.
    ix. De conformidad con lo establecido en el artículo 1.10.9 de las Bases de Licitación, el Concesionario deberá dar cumplimiento a las exigencias establecidas para cada uno de los servicios señalados en 1.10.9.1, 1.10.9.2 y 1.10.9.3, según corresponda, conforme a las disposiciones contenidas en 1.10.10 y cumplir las exigencias y programas establecidos en 1.10.16, todos artículos de las Bases de Licitación. El Concesionario será responsable de las condiciones de prestación y explotación de cada uno de los servicios comprendidos en las Bases de Licitación, que permitan dar cumplimiento a los Estándares Técnicos y Niveles de Servicio exigidos en virtud del Contrato de Concesión, no pudiendo argumentar el incumplimiento de las exigencias y programas asociados a un servicio, aludiendo a la conservación de la infraestructura, equipamiento y las instalaciones de acuerdo a lo establecido en el artículo 2.9.3 de las Bases de Licitación.
    x. Cuidar en cada aeropuerto, el Área de Concesión, sus obras y los bienes afectos a la Concesión, según lo señalado en el artículo 1.8.11 de las Bases de Licitación.
    xi. De conformidad con lo establecido en el artículo 1.10.14 de las Bases de Licitación, a más tardar a los 120 (ciento veinte) días contados desde la fecha de Puesta en Servicio Provisoria de las Instalaciones Existentes del Aeropuerto Desierto de Atacama o del Aeropuerto Andrés Sabella, la primera que ocurra, el Concesionario deberá generar una Cuenta de Reserva para Inversiones Menores No Contempladas por un monto único y total de UF 120.000 (ciento veinte mil Unidades de Fomento), cantidad que no incluye IVA, y que podrá enterarse hasta en un máximo de 5 (cinco) cuotas anuales de UF 24.000 (veinticuatro mil Unidades de Fomento) cada una. Dicha cuenta deberá abrirse, al menos, con la cantidad de UF 24.000, correspondiente a la primera cuota. Las cuotas restantes deberán incorporarse a la cuenta a más tardar el último día hábil del mes de enero de cada año siguiente.
    xii. De conformidad con lo señalado en el artículo 1.14.2 de las Bases de Licitación, la Sociedad Concesionaria deberá realizar los siguientes pagos al Ministerio de Obras Públicas, sin perjuicio de otros pagos establecidos en las Bases de Licitación:
   
    - Pagos anuales por concepto de Administración y Control del Contrato de Concesión, desde la primera Puesta en Servicio Provisoria de las Instalaciones Existentes señalada en la letra a) del artículo 1.9.7 de las Bases de Licitación hasta la extinción de la concesión, por un monto anual de UF 15.000 (quince mil Unidades de Fomento). El primer pago deberá ser efectuado el último día hábil del mes en que se autorice la referida Puesta en Servicio Provisoria de las Instalaciones Existentes, mientras que los restantes pagos deberán efectuarse el último día hábil del mes de enero de cada año. La última cuota deberá ser pagada el último día hábil del mes de enero del año en que se produzca la extinción de la concesión, cuyo monto será proporcional a la cantidad de meses que transcurran en dicho año hasta el término del plazo de la concesión, y será calculado en razón de UF 1.250 (mil doscientos cincuenta Unidades de Fomento) al mes.
   
    xiii. Contratar los seguros de Responsabilidad Civil por Daños a Terceros y por Catástrofe de acuerdo a lo señalado en los artículos 1.8.7 y 1.8.8, respectivamente, de las Bases de Licitación.
   
    DERECHOS:
   
    i. Explotar las obras del Aeropuerto Desierto de Atacama y Aeropuerto Andrés Sabella a contar de la respectiva autorización de Puesta en Servicio Provisoria de las Instalaciones Existentes hasta el término de la concesión, todo ello de conformidad a lo señalado en los artículos 1.9.7 letra a) y 1.10 de las Bases de Licitación.
    ii. Cobrar tarifas a los usuarios por los Servicios Comerciales, Aeronáuticos y No Aeronáuticos en conformidad a lo señalado en los artículos 1.10, 1.10 letra b) y 1.10.9 de las Bases de Licitación.
    iii. Percibir de la Dirección General de Aeronáutica Civil un pago mensual por concepto de Tarifa por Pasajero Embarcado, de acuerdo a lo señalado en el artículo 1.10 y al procedimiento establecido en el artículo 1.14.1.1, ambos de las Bases de Licitación.
    Se deberá calcular el monto del pago al Concesionario para el mes vencido. Este monto se obtendrá multiplicando la cantidad de pasajeros embarcados en el Aeropuerto Desierto de Atacama y Aeropuerto Andrés Sabella, en caso que proceda, durante el mes respectivo por la Tarifa por Pasajero Embarcado que sea aplicable en dicho mes.
    Desde la respectiva autorización de la Puesta en Servicio Provisoria de las Instalaciones Existentes, de acuerdo a lo señalado en la letra a) del artículo 1.9.7 de las Bases de Licitación,  la Tarifa por Pasajero Embarcado (TPE), expresada en pesos chilenos a diciembre de 2022, que la Dirección General de Aeronáutica Civil pagará al Concesionario, asciende a la cantidad de $4.041 (cuatro mil cuarenta y un pesos chilenos). Dicho pago se realizará hasta que el VPIm calculado de acuerdo a lo establecido en 1.7.6.1, sea igual al monto de ITC solicitado por el Grupo Licitante Adjudicatario "Consorcio Sacyr-Cointer" en su Oferta Económica según se indica en 3.2.2, por un valor de UF 4.300.000 (cuatro millones trescientas mil Unidades de Fomento), o hasta la extinción de la concesión, según lo dispuesto en 1.13.1, todos artículos de las Bases de Licitación, lo que ocurra primero.
    La Tarifa por Pasajero Embarcado se reajustará según la variación del Índice de Precios al Consumidor, de acuerdo a lo establecido en las letras a) y b) del artículo 1.14.1.1.1 de las Bases de Licitación.
    iv. Percibir del Ministerio de Obras Públicas, por concepto de Subsidio Fijo a la Construcción, con el objeto de aportar directamente al financiamiento de las obras del Aeropuerto Desierto de Atacama y del Aeropuerto Andrés Sabella, 8 (ocho) cuotas iguales y sucesivas, cada una por el monto presentado por el Grupo Licitante Adjudicatario "Consorcio Sacyr-Cointer" en su Oferta Económica de acuerdo al 3.2.2, cuyo valor asciende a UF 876.500 (ochocientas setenta y seis mil quinientas Unidades de Fomento), de acuerdo a lo establecido en 1.14.1.2, ambos artículos de las Bases de Licitación.
     
    17.- Las garantías que deberá entregar el Concesionario por construcción y explotación de las obras, conforme a lo establecido en los artículos 1.8.3.1 y 1.8.3.2 de las Bases de Licitación, se indican a continuación:
   
    GARANTÍA DE CONSTRUCCIÓN:
   
    A más tardar 30 (treinta) días antes del respectivo inicio de las obras, la Sociedad Concesionaria deberá entregar separadamente tanto para el Aeropuerto Desierto de Atacama como para el Aeropuerto Andrés Sabella, la Garantía de Construcción, la cual deberá estar vigente durante toda la construcción de las obras y podrá estar constituida por hasta 10 (diez) boletas de garantía bancaria, todas de igual monto, o bien por una póliza de seguro de garantía para concesiones de obras públicas según lo dispuesto en el artículo 1.8.3.3 de las Bases de Licitación.
    Cada Garantía de Construcción deberá ser emitida en la ciudad de Santiago de Chile por un Banco o una Compañía de Seguros de la plaza, según corresponda, a nombre del Director General de Concesiones de Obras Públicas y su glosa o materia asegurada deberá ser: "Para garantizar el cumplimiento de las obligaciones durante la Etapa de Construcción del Aeropuerto Desierto de Atacama que forma parte de la obra pública fiscal denominada ‘Red Aeroportuaria Norte'" o "Para garantizar el cumplimiento de las obligaciones durante la Etapa de Construcción del Aeropuerto Andrés Sabella que forma parte de la obra pública fiscal denominada ‘Red Aeroportuaria Norte'", según corresponda.
    Cuando se trate de boleta(s) de garantía bancaria y ésta(s) sea(n) emitida(s) por un banco con oficina de la plaza a requerimiento de un banco extranjero, el banco emisor deberá declarar expresamente en el mismo documento que el cobro de la garantía en ningún caso se encuentra sometido a la ratificación de dicho banco extranjero. En el caso de boletas de garantía emitidas por cuenta de un banco del exterior, que no se presenten de acuerdo al formato señalado en el Nº 2 del capítulo 6-1 de la "Recopilación Actualizada de Normas de Bancos (RAN) de la CMF", se deberá acompañar un certificado del banco emisor en que se declare que el formato del documento se adopta en virtud de lo establecido en el Nº 12 del capítulo 8-11 de la "Recopilación Actualizada de Normas de Bancos (RAN) de la CMF".
    Cada Garantía de Construcción deberá tener una vigencia mínima de 24 (veinticuatro) meses contados desde la fecha de inicio de la construcción de las obras y, en todo caso, deberá estar vigente hasta la respectiva Puesta en Servicio Provisoria de la Totalidad de las Obras señalada en la letra b) del artículo 1.9.7 de las Bases de Licitación, según corresponda, más 3 (tres) meses, sin perjuicio que el Concesionario hubiere entregado la Garantía de Explotación de las Obras correspondiente señalada en la letra b) del artículo 1.8.3.2 de las Bases de Licitación.
    Cada garantía deberá ser pagadera a la vista por un monto total de UF 160.000 (ciento sesenta mil Unidades de Fomento) para la construcción del Aeropuerto Desierto de Atacama, y por un monto total de UF 160.000 (ciento sesenta mil Unidades de Fomento) para la construcción del Aeropuerto Andrés Sabella.
    Otorgada la autorización de la respectiva Puesta en Servicio Provisoria de la Totalidad de las Obras señalada en la letra b) del artículo 1.9.7 de las Bases de Licitación, y una vez que hayan sido entregados los documentos exigidos en el Contrato de Concesión, según lo dispuesto en el Reglamento de la Ley de Concesiones y en el punto b.4) del artículo 1.10.1 de las Bases de Licitación, el Ministerio de Obras Públicas devolverá la Garantía de Construcción, siempre que se haya recibido la respectiva Garantía de Explotación de las Obras a entera conformidad de dicho Ministerio, de acuerdo al procedimiento establecido en la letra b) del artículo 1.8.3.2 de las Bases de Licitación.
   
    GARANTÍA DE EXPLOTACIÓN:
   
    a) Garantía de Explotación de las Instalaciones Existentes
   
    A más tardar 10 (diez) días antes de la Puesta en Servicio Provisoria de las Instalaciones Existentes del Aeropuerto Desierto de Atacama señalada en la letra a) del artículo 1.9.7 de las Bases de Licitación, el Adjudicatario o el Concesionario, según corresponda, deberá entregar para la aprobación del Ministerio de Obras Públicas la Garantía de Explotación de las Instalaciones Existentes del Aeropuerto Desierto de Atacama, la cual podrá estar constituida por hasta 10 (diez) boletas de garantía bancarias, todas de igual monto; ser emitida en la ciudad de Santiago de Chile por un Banco de la plaza a nombre del Director General de Concesiones de Obras Públicas; y su glosa deberá ser: "Para garantizar el cumplimiento de las obligaciones durante la Etapa de Explotación de las Instalaciones Existentes del Aeropuerto Desierto de Atacama que forma parte  de la obra pública fiscal denominada ‘Red Aeroportuaria Norte'".
    Asimismo, a más tardar 10 (diez) días antes de la Puesta en Servicio Provisoria de las Instalaciones Existentes del Aeropuerto Andrés Sabella señalada en la letra a) del artículo 1.9.7 de las Bases de Licitación, el Adjudicatario o el Concesionario, según corresponda, deberá entregar para la aprobación del Ministerio de Obras Públicas la Garantía de Explotación de las Instalaciones Existentes del Aeropuerto Andrés Sabella, la cual podrá estar constituida por hasta 10 (diez) boletas de garantía bancarias, todas de igual monto o bien por una póliza de seguro de garantía para concesiones de obras públicas según lo dispuesto en el artículo 1.8.3.3 de las Bases de Licitación; y su glosa deberá ser: "Para garantizar el cumplimiento de las obligaciones durante la Etapa de Explotación de las Instalaciones Existentes del Aeropuerto Andrés Sabella que forma parte de la obra pública fiscal denominada ‘Red Aeroportuaria Norte'".
    Cuando se trate de boleta(s) de garantía bancaria y ésta(s) sea(n) emitida(s) por un banco con oficina de la plaza a requerimiento de un banco extranjero, el banco emisor deberá declarar expresamente en el mismo documento que el cobro de la garantía en ningún caso se encuentra sometido a la ratificación de dicho banco extranjero. En el caso de boletas de garantía emitidas por cuenta de un banco del exterior, que no se presenten de acuerdo al formato señalado en el Nº 2 del capítulo 6-1 de la "Recopilación Actualizada de Normas de Bancos (RAN) de la CMF", se deberá acompañar un certificado del banco emisor en que se declare que el formato del documento se adopta en virtud de lo establecido en el Nº 12 del capítulo 8-11 de la "Recopilación Actualizada de Normas de Bancos (RAN) de la CMF".
    Con todo, una vez aprobada la garantía por parte del Ministerio de Obras Públicas y autorizada la Puesta en Servicio Provisoria de las Instalaciones Existentes del Aeropuerto respectivo, el Concesionario podrá reemplazar las boletas de garantía bancaria por una póliza de seguro de garantía para concesiones de obras públicas según lo dispuesto en el artículo 1.8.3.3 de las Bases de Licitación, cuyo plazo de vigencia deberá ser el mismo señalado en el siguiente párrafo.
    Cada garantía deberá ser pagadera a la vista, y tendrá un plazo de vigencia mínima de 24 (veinticuatro) meses, sin perjuicio que deberá estar siempre vigente hasta la autorización de Puesta en Servicio Provisoria de la Totalidad de las Obras que corresponda, de acuerdo a lo señalado en la letra b) del artículo 1.10.1 de las Bases de Licitación. La garantía será por un monto total de UF 34.000 (treinta y cuatro mil Unidades de Fomento) para el Aeropuerto Desierto de Atacama y por un monto total de UF 34.000 (treinta y cuatro mil Unidades de Fomento) para el Aeropuerto Andrés Sabella.
    Cada Garantía de Explotación de las Instalaciones Existentes deberá encontrarse aprobada por el Ministerio de Obras Públicas, previamente a su respectiva Puesta en Servicio, para lo cual el Concesionario estará obligado a efectuar las correcciones que fueren requeridas por el Inspector Fiscal en forma previa.
    La Garantía de Explotación de las Instalaciones Existentes respectiva, será devuelta en el plazo de 30 (treinta) días contados desde la fecha en que se autorice la Puesta en Servicio Provisoria de la Totalidad de las Obras que corresponda, conforme a lo señalado en la letra b) del artículo 1.10.1 de las Bases de Licitación.
   
    b) Garantía de Explotación de las Obras
   
    Junto con la primera solicitud al Director General de Concesiones de autorización de Puesta en Servicio Provisoria de las Obras del Aeropuerto Desierto de Atacama, señalada en la letra b) del artículo 1.10.1 de las Bases de Licitación, el Concesionario entregará al Ministerio de Obras Públicas la Garantía de Explotación de las Obras de dicho Aeropuerto. Por su parte, junto con la primera solicitud al Director General de Concesiones de autorización de Puesta en Servicio Provisoria de las Obras del Aeropuerto Andrés Sabella, señalada en la letra b) del artículo 1.10.1 de las Bases de Licitación, el Concesionario entregará al Ministerio de Obras Públicas la Garantía de Explotación de las Obras de dicho Aeropuerto.
    Cada garantía podrá estar constituida por hasta 10 (diez) boletas de garantía bancarias, todas de igual monto, o bien, por una póliza de seguro de garantía para concesiones de obras públicas según lo dispuesto en el artículo 1.8.3.3 de las Bases de Licitación.
    Cada Garantía de Explotación de las Obras, deberá ser emitida en la ciudad de Santiago de Chile por un Banco o una Compañía de Seguros de la plaza, según corresponda, a nombre del Director General de Concesiones de Obras Públicas, y su glosa o materia asegurada deberá ser "Para garantizar el cumplimiento de las obligaciones durante la Etapa de Explotación de las Obras del Aeropuerto Desierto de Atacama que forma parte de la obra pública fiscal denominada ‘Red Aeroportuaria Norte'" o "Para garantizar el cumplimiento de las obligaciones durante la Etapa de Explotación de las Obras del Aeropuerto Andrés Sabella que forma parte de la obra pública fiscal denominada ‘Red Aeroportuaria Norte'", según corresponda.
    Cada garantía deberá ser pagadera a la vista, por un monto total de UF 160.000 (ciento sesenta mil Unidades de Fomento) para el Aeropuerto Desierto de Atacama, y por un monto total de UF 160.000 (ciento sesenta mil Unidades de Fomento) para el Aeropuerto Andrés Sabella.
    Cada Garantía de Explotación de las Obras deberá estar vigente hasta la extinción de la Concesión conforme lo señalado en el artículo 1.7.6 de las Bases de Licitación, más 12 (doce) meses; no obstante, el Concesionario podrá optar por entregar una garantía cuya vigencia sea menor, de conformidad con lo dispuesto en el artículo 35º del Reglamento de la Ley de Concesiones, con un plazo no inferior a 3 (tres) años, y renovarlas antes de su término de vigencia, siempre que ello sea aceptado por el Director General de Concesiones y sea entregada 90 (noventa) días antes del vencimiento del anterior. Para ello, el Concesionario deberá solicitar por escrito al Director General de Concesiones la autorización requerida. Dentro de los 30 (treinta) días posteriores a la fecha de recepción en la Oficina de Partes de la Dirección General de Concesiones de dicha solicitud, el Director General de Concesiones comunicará por escrito su decisión de rechazo o aceptación de la solicitud. En este último caso el plazo de la última garantía será el que reste del período de explotación más 12 (doce) meses.
   
    La Sociedad Concesionaria deberá entregar una Garantía de Explotación Adicional que tendrá como finalidad asegurar el cumplimiento de las condiciones en que el Estado recibirá la concesión, las que se indican en el artículo 1.13.2 de las Bases de Licitación. Dicha garantía será entregada cuando falten 12 (doce) meses para la extinción de la concesión según lo indicado en 1.7.6 o en 1.7.6.2, ambos artículos de las Bases de Licitación, lo que ocurra primero. Dicha garantía podrá estar constituida por hasta 10 (diez) boletas de garantía bancarias, todas del mismo monto, o bien, por una póliza de seguro de garantía para concesiones de obras públicas según lo dispuesto en el artículo 1.8.3.3 de las Bases de Licitación. Deberá ser emitida en la ciudad de Santiago de Chile por un Banco o una Compañía de Seguros de la plaza, según corresponda, a nombre del Director General de Concesiones de Obras Públicas, pagadera a la vista, por un monto total de UF 320.000 (trescientas veinte mil Unidades de Fomento). La glosa y/o materia de dichos documentos será la siguiente: "Para asegurar el cumplimiento de las condiciones en las que el Estado recibirá la Concesión, de acuerdo a lo establecido en las Bases de Licitación de la obra pública fiscal denominada ‘Red Aeroportuaria Norte'". El plazo de vigencia de esta garantía adicional será de 3 (tres) años.
    Cuando se trate de boleta(s) de garantía bancaria y ésta(s) sea(n) emitida(s) por un banco con oficina de la plaza a requerimiento de un banco extranjero, el banco emisor deberá declarar expresamente en el mismo documento que el cobro de la garantía en ningún caso se encuentra sometido a la ratificación de dicho banco extranjero. En el caso de boletas de garantía emitidas por cuenta de un banco del exterior, que no se presenten de acuerdo al formato señalado en el Nº 2 del capítulo 6-1 de la "Recopilación Actualizada de Normas de Bancos (RAN) de la CMF", se deberá acompañar un certificado del banco emisor en que se declare que el formato del documento se adopta en virtud de lo establecido en el Nº 12 del capítulo 8-11 de la "Recopilación Actualizada de Normas de Bancos (RAN) de la CMF". La Garantía de Explotación de las Obras será devuelta en el plazo de 30 (treinta) días contados desde que el Inspector Fiscal certifique que el Concesionario ha cumplido con todas las obligaciones contraídas con el Ministerio de Obras Públicas. La Garantía de Explotación Adicional será devuelta por el Ministerio de Obras Públicas dentro del plazo de 30 (treinta) días siguientes al término de vigencia de la misma.
   
    18.- Conforme a lo señalado en el artículo 1.14.6 de las Bases de Licitación, el Estado y la Sociedad Concesionaria realizarán los pagos que correspondan en virtud del Contrato de Concesión, en los plazos previstos en las Bases de Licitación. Asimismo, de acuerdo a lo señalado en el artículo 1.14.5 de las Bases de Licitación, en caso que se produzcan retrasos, dichos pagos devengarán por cada día de retraso un interés real equivalente a la tasa de interés corriente para operaciones reajustables en moneda nacional a menos de 1 (un) año, que informe la Comisión para el Mercado Financiero o la institución que la reemplace, vigente ese día de retraso, dividida por 360 (trescientos sesenta), sin capitalización de intereses. En caso que la tasa de interés dejare de existir, se aplicará la tasa equivalente. El pago de intereses por parte del Concesionario será adicional a la aplicación de las multas que correspondan. No obstante lo anterior, el retraso injustificado de los pagos que la Sociedad Concesionaria tenga que realizar al Estado dará derecho a éste al cobro de la correspondiente garantía, conforme a lo señalado en la letra k) del artículo 1.8.3 de las Bases de Licitación.
    19.- Las multas que procedan se aplicarán conforme a lo estipulado en las Bases de Licitación; a lo dispuesto en el DS MOP Nº 900 de 1996, que fija el texto refundido, coordinado y sistematizado del DFL MOP Nº 164 de 1991, Ley de Concesiones de Obras Públicas; y en el DS MOP Nº 956 de 1997, Reglamento de la Ley de Concesiones, y sus respectivas modificaciones.
    20.- La Dirección General de Concesiones de Obras Públicas será el servicio del Ministerio de Obras Públicas que fiscalizará el Contrato de Concesión en sus diversos aspectos.
    Anótese, tómese razón y publíquese.- GABRIEL BORIC FONT, Presidente de la República.- Jessica López Saffie, Ministra de Obras Públicas.
    Lo que transcribo a Ud. para su conocimiento.- Saluda Atte. a Ud., Ximena Pérez Muñoz, Subsecretaria de Obras Públicas (S).

   
   
    CONTRALORÍA GENERAL DE LA REPÚBLICA
    División de Infraestructura y Regulación
    Cursa con alcances el decreto N° 136, de 2024, del Ministerio de Obras Públicas
    N° E559093/2024.- Santiago, 29 de octubre de 2024.
   
    La Contraloría General ha dado curso al instrumento del rubro, que adjudica contrato de concesión para la Ejecución, Reparación, Conservación y Explotación de la obra pública fiscal denominada "Red Aeroportuaria Norte", a ejecutar por el sistema de concesiones.
    No obstante, cumple con hacer presente que esta Entidad Contralora entiende -conforme a lo previsto en el punto 1.7.6.1 de las bases-, que en el numeral séptimo del decreto en examen, en lo relativo al cálculo del VPIm, la variable IMi correspondiente a los ingresos por concepto de tarifa por pasajeros embarcados, se cuenta desde la fecha de autorización "de la primera Puesta en Servicio Provisoria de las Instalaciones Existentes", y no como allí se consigna.
    Por otra parte, cabe anotar que la obligación de la sociedad concesionaria establecida en el numeral 16, "Derechos", romano iii), del instrumento analizado, sobre el pago mensual por concepto de tarifa por pasajero embarcado, se regula en la letra f) del artículo 1.10 de las Bases de Licitación, lo que se omitió precisar.
    Con los alcances que anteceden, se ha dado curso al acto administrativo del rubro.
   
    Saluda atentamente a Ud., Dorothy Pérez Gutiérrez, Contralora General de la República (S).
A la señora
Ministra de Obras Públicas
Presente.