RECONOCE, POR SOLICITUD MUNICIPAL, HUMEDAL URBANO CAJÓN DEL RÍO CLARO Y ESTERO PIDUCO
Núm. 6.798.- Santiago, jueves 28 de noviembre de 2024.
Vistos:
Lo dispuesto en el artículo 70 letra z) de la ley N° 19.300, sobre Bases Generales del Medio Ambiente; en la ley N° 21.202, que modifica diversos cuerpos legales con el objetivo de proteger los humedales urbanos; en el decreto supremo N° 15, de 2020, del Ministerio del Medio Ambiente, que establece Reglamento de la ley N° 21.202, que Modifica diversos cuerpos legales con el objetivo de proteger los humedales urbanos; en la solicitud de reconocimiento de humedal urbano contenido en el oficio alcaldicio N° 2039, de 20 de diciembre de 2021, de la Ilustre Municipalidad de Talca; en la resolución exenta N° 257, de 23 de diciembre de 2021, de la Secretaría Regional del Ministerio del Medio Ambiente de la Región del Maule, que declara admisible solicitud de reconocimiento de Humedal Urbano Cajón del Río Claro y Estero Piduco, presentada por la Ilustre Municipalidad de Talca; en la resolución exenta N° 543, de 30 de mayo de 2022, del Ministerio del Medio Ambiente, que Amplía Plazo para Reconocimiento Humedales Urbanos que indica; en la resolución exenta N° 1.095 del 9 de septiembre 2022, del Ministerio del Medio Ambiente, que Amplía Plazo para Reconocimiento Humedales Urbanos que indica; en el memorándum N° 7350/2024, de 17 de septiembre de 2024, de la División de Recursos Naturales y Biodiversidad del Ministerio del Medio Ambiente; en la resolución N° 7, de 2019, de la Contraloría General de la República, que fija normas sobre exención del trámite de toma de razón; en los demás antecedentes que constan en el expediente administrativo, y
Considerando:
1. Que, la Ley N° 21.202 -que "Modifica diversos cuerpos legales con el objetivo de proteger los humedales urbanos" ("Ley N° 21.202")- establece en su artículo 1° que ésta tiene por objeto, como su nombre lo indica, proteger los Humedales Urbanos declarados por el Ministerio del Medio Ambiente ("MMA" o "Ministerio"), de oficio o a petición del municipio respectivo, entendiendo por tales todas aquellas extensiones de marismas, pantanos y turberas, o superficies cubiertas de aguas, sean estas de régimen natural o artificial, permanentes o temporales, estancadas o corrientes, dulces, salobres o saladas, incluidas las extensiones de agua marina, cuya profundidad en marea baja no exceda los seis metros y que se encuentren total o parcialmente dentro del límite urbano.
2. Que, el procedimiento de declaración de Humedales Urbanos a solicitud de los municipios se encuentra regulado en el artículo 6 y siguientes del decreto supremo N° 15, de 2020, del Ministerio del Medio Ambiente, que establece Reglamento de la Ley N° 21.202, que Modifica diversos cuerpos legales con el objetivo de proteger los humedales urbanos ("Reglamento").
3. Que, de acuerdo con lo dispuesto en la ley N° 21.202 y su Reglamento, los requisitos contemplados para la declaración de un Humedal Urbano consisten en que se trate de un humedal, y que éste se ubique total o parcialmente dentro del límite urbano. Adicionalmente, para la definición de los límites de cierto Humedal Urbano, se deberá verificar la presencia de alguno de los criterios de delimitación contemplados en el artículo 8° del Reglamento.
4. Que, dicho artículo dispone que la delimitación de los humedales deberá considerar al menos uno de los siguientes criterios: (i) la presencia de vegetación hidrófita ("vegetación hidrófita"); (ii) la presencia de suelos hídricos con mal drenaje o sin drenaje ("suelo hídrico"), y/o (iii) un régimen hidrológico de saturación ya sea permanente o temporal que genera condiciones de inundación periódica ("régimen hidrológico").
5. Que, mediante el oficio Ord. N° 2039, de 20 de diciembre de 2021, de la Ilustre Municipalidad de Talca, ingresado con la misma fecha a la Oficina de Partes de la Secretaría Regional Ministerial del Medio Ambiente de la Región del Maule, el referido municipio requirió el reconocimiento del Humedal Urbano Cajón del Río Claro y Estero Piduco, de la comuna de Talca, Región del Maule, con una superficie solicitada de 462 hectáreas. Asimismo, en dicha solicitud acompañó la cartografía propuesta, entre otros antecedentes.
6. Que, en la "Ficha Técnica" (Folio 0002-0053) de la solicitud de reconocimiento del Humedal Urbano Cajón del Río Claro y Estero Piduco, acompañada por la Ilustre Municipalidad de Talca ("Ficha Técnica Municipal") y sus adjuntos, se indica que "El humedal es parte del cauce del río Claro y el Estero Piduco en su paso por la comuna de Talca, y se describe como un humedal ribereño, el cual demás se encuentra influido por el nivel freático y está constituido por el caudal continuo de sus afluentes principales y canales menores, los terrenos y superficies inundables adyacentes permanente y temporales, estos incluyen también los formados por flujo de agua superficial y agua subterránea". Dicha Ficha, en síntesis, señala que:
a) En cuanto a la caracterización de la fauna silvestre, en la Ficha Técnica Solicitud de Declaratoria de Humedal Urbano (Folio 48-51), se indica que "cabe destacar la amplia presencia del Coipo (Myocastor coypus) el cual se puede observar en el río, canales y espejos de agua permanentes y estacionales. Ha sido posible registrar la presencia de refugios, zonas de alimentación, descanso y reproducción. En cuanto a su categoría de conservación es de preocupación menor, sin embargo, la pérdida de hábitat y caza ilegal constituyen una amenaza constante para la especie. Las aves fueron el taxón de mayor riqueza, con un total de 66 especies, tanto palustres como acuáticas. Para el grupo de los reptiles fue posible registrar la presencia de 2 especies de la familia Liolaemidae y dos de la familia Dipsadidae, las especies encontradas son todas nativas, y por último, en el grupo de los anfibios se registraron 4 especies, todas nativas y dos de ellas se encuentran en la categoría Casi Amenazada y Vulnerable (NT y VU)".
b) En lo que respecta a los Servicios Ecosistémicos identificados, según señala la Ficha Técnica Solicitud de Declaratoria de Humedal Urbano (Folio 41-42), éstos son: culturales (Valor estético e inspiracional, recreación y turismo, educativo, sentido de identidad etc.); SSEE de abastecimiento (agua, alimento, recursos genéticos); SEE de soporte (formación de suelos, ciclado de nutrientes, producción primaria); y SSEE de regulación (tales como la regulación del clima, control de enfermedades, polinización y regulación hídrica).
7. Que, mediante la resolución exenta N° 257, de 23 de diciembre de 2021, la Secretaría Regional Ministerial del Medio Ambiente de la Región del Maule, declaró admisible la solicitud de reconocimiento de Humedal Urbano Cajón del Río Claro y Estero Piduco, presentada por la Ilustre Municipalidad de Talca, de conformidad con lo dispuesto en el artículo 9° del Reglamento.
8. Que, en cumplimiento de lo dispuesto en el artículo 9° del Reglamento, con la publicación en el Diario Oficial del listado de solicitudes de reconocimiento de Humedales Urbanos declaradas admisibles, el 17 de enero de 2022 comenzó el transcurso del plazo de 15 días hábiles para la recepción de antecedentes adicionales.
9. Que, atendido lo establecido en el artículo 1° de la ley N° 21.202, los antecedentes adicionales considerados como información pertinente es aquella relacionada con las circunstancias que habilitan a este Ministerio para declarar determinado humedal como Humedal Urbano, esto es, que corresponda efectivamente a un humedal, su delimitación, y que se encuentre, total o parcialmente, ubicado dentro del límite urbano.
10. Que, en efecto, el Segundo Tribunal Ambiental, en autos caratulados "Inmobiliaria de Deportes La Dehesa S.A. con Ministerio del Medio Ambiente (Res. Ex. N° 1.267, de fecha 11 de noviembre 2021)", Rol R-319-2022, indicó en su fallo de fecha 19 de diciembre de 2022, que:
"...la clasificación de antecedentes como 'pertinentes' o 'no pertinentes' no es ilegal, toda vez que el artículo 38 de la ley N° 19.880 previene que la Administración otorgará una respuesta razonada, en 'lo pertinente'. Así, este Tribunal entiende que la información provista por terceros en los procedimientos de reconocimiento de humedal urbano será pertinente si se refieren al cumplimiento de los requisitos que contempla el artículo 1° de la ley N° 21.202, pues la motivación del acto que reconoce un humedal urbano de oficio por el MMA se referirá únicamente a aquellos que contempla dicha norma y su Reglamento" (Considerando vigésimo tercero).
11. Que, durante la etapa señalada en el considerando octavo, y según da cuenta la denominada "Ficha Análisis Técnico Reconocimiento Humedal Urbano a Solicitud de la Municipalidad de Talca" ("Ficha Técnica"), en dicha etapa se recibieron siete presentaciones de antecedentes adicionales dentro del plazo establecido por el artículo 9° del Reglamento, por parte de: la División de Desarrollo de Proyectos del Ministerio de Energía ("MEN"); doña Daniela Vásquez Contreras; don Guillermo Sáez Varas; don Jorge Díaz Castro; doña Claudia Muñoz Venegas; Agrupación Civil El Bajo en Comunidad; y, Empresa de Ferrocarriles del Estado ("EFE"). Respecto de la primera, (i) MEN solicita incorporar como antecedente la existencia de la infraestructura energética existente y operativa, y excluir del polígono propuesto como humedal urbano protegido, la porción de terreno que es atravesada por esta infraestructura, de modo de permitir su funcionamiento, mantención, operación y ampliación. (ii) Doña Daniela Vásquez Contreras, solicita respetar los límites propuestos en la ficha de solicitud de declaratoria del humedal urbano Cajón del Río Claro y Estero Piduco ingresada por el municipio de Talca, además de contemplar la futura incorporación de otros elementos del sistema de humedales, como el Río Claro e incluso ampliar la cobertura a las zonas aledañas al cauce fluvial en zonas críticas; (iii) Don Guillermo Sáez Varas, solicita considerar en la delimitación del humedal urbano Cajón del Río Claro y Estero Piduco, la información generada por el estudio de fijación del Bien Nacional de Uso Público, cauce Río Claro-Talca, encargado por la Seremi de Bienes Nacionales de la Región del Maule en el año 2010, realizado por Prisma Ingeniería. (iv) Don Jorge Díaz Castro, solicita no considerar en la delimitación del humedal urbano, una zona en particular representada por un mapa inserto en el documento que se encuentra entre los cauces del Río Claro y el Estero Piduco. (v) Doña Claudia Muñoz Venegas, solicita reconsiderar el área propuesta en la ficha de solicitud de reconocimiento como humedal urbano Cajón Río Claro y Estero Piduco, considerando un análisis de los registros pluviométricos más actualizados, considerando un periodo de retorno de 5 años, debido a que el régimen del río es de tipo nivo-pluvial y que las mayores crecidas se dan por el aporte de lluvias en el periodo invernal. (vi) Agrupación Civil El Bajo en Comunidad, solicita ampliar el polígono de delimitación de humedal, incorporando dos tramos localizados al norte de la zona urbana de la comuna, de los cuales presentan antecedentes de georreferenciación y presencia de vegetación hidrófita. (vii) EFE solicita incorporar en la resolución de declaratoria de humedal urbano lo siguiente "en el proceso de formulación e implementación del plan de manejo del humedal urbano Cajón del Río Claro y Piduco, deberá considerarse la existencia de infraestructura ferroviaria, así como aquellas actividades de mantención, conservación y reparación de la propia infraestructura existente o en ejecución. En este sentido, se solicita exclusión de la presente declaratoria toda zona o área afecta a uso específico ferroviario, conforme a la Ley Orgánica de la Empresa de los Ferrocarriles del Estado (DFL N° 1, de 1993, del Ministerio de Transportes y Telecomunicaciones) y la Ley General de Ferrocarriles (decreto supremo N° 1.157, de 1931, del Ministerio de Fomento).
12. Que, siguiendo lo establecido en el artículo 10 del Reglamento, a través de Ord. N° 153/2022, de 7 de julio de 2022, la Secretaría Regional Ministerial del Medio Ambiente de la Región del Maule, solicitó información técnica complementaria a la solicitud de reconocimiento del Humedal Urbano Cajón del Río Claro y Estero Piduco, en particular en lo referido a los criterios de delimitación.
13. Que, en razón de lo anterior, la Ilustre Municipalidad de Talca, mediante oficio Ord. N° 1750, de 30 de agosto de 2022 (Folio 124) respondió lo solicitado por la Seremi del Medio Ambiente de la Región del Maule, presentando antecedentes complementarios y rectificación al polígono del Humedal Urbano Cajón del Río Claro y Estero Piduco.
14. Que, el artículo 20 del Reglamento establece que el MMA elaborará una guía metodológica que oriente técnicamente la delimitación y caracterización de humedales urbanos.
15. Que, para efectos de la delimitación de este humedal, se siguió la metodología propuesta a modo orientativo por la "Guía de delimitación y caracterización de humedales urbanos de Chile" ("Guía de Delimitación")(1) la que considera el desarrollo de 3 fases: (i) trabajo de gabinete, (ii) una fase de trabajo de campo, para la aplicación en terreno de los criterios que definen un humedal, y (iii) una fase posterior para el desarrollo de la cartografía de los límites del humedal estudiado.
_________________
(1) Disponible en: https://humedaleschile.mma.gob.cl/legislacion/ guias-metodologicas/
Los pasos metodológicos (i) y (ii) señalados precedentemente, pueden ser realizados de manera iterativa y no necesariamente como fases consecutivas, dado que para la rectificación cartográfica (trabajo en gabinete), se utilizan insumos levantados en terreno (fase de campo), por lo que normalmente estas fases se desarrollan en paralelo.
16. Que, según se desprende del análisis técnico contenido en la Ficha Técnica, con la finalidad de verificar el cumplimiento de los criterios de delimitación, se efectuaron las siguientes actuaciones:
1. Trabajo de Gabinete: La cartografía original fue revisada por el MMA a través de un trabajo de gabinete. Dicho trabajo consistió recopilación de insumos cartográficos, en específico la red hidrográfica del área de estudio, sumado del análisis temporal de imágenes satelitales en el software de Google Earth Pro entre los años 2014 a 2024. Adicionalmente, se realizó un análisis de frecuencia de caudales medios mensuales para establecer los meses del año en los cuales el área de inundación del río es mayor. Dicho análisis concluye que, de los meses de junio a octubre, se presentan las condiciones idóneas para la delimitación en terreno. Por otro lado, se determinó un rango de caudales medios mensuales que representan las condiciones ambientales normales (CAN) para cada uno de los meses del año. Finalmente, en base al análisis anterior se calculó el Índice de Agua Normalizado Diferencial (NDWI) el cual tiene como objeto resaltar las masas de agua en una imagen satelital dentro del área solicitada a declarar como humedal urbano.
En base a lo anterior, se evidenció la necesidad de precisar algunos de los límites originales propuestos por el municipio, para lo cual se procedió a realizar un trabajo de campo.
2. Trabajo de Campo: Se realizaron 2 campañas de terreno con fechas 28 y 29 de noviembre de 2022; y, 20 y 21 de abril de 2023, con la finalidad de identificar los límites del humedal, acorde al cumplimiento de al menos uno de los tres criterios de delimitación establecidos en el artículo 8° del decreto N°15/2020, dicho análisis detallado se encuentra en los respectivos informes de terreno (Informe N° 1 e Informe N° 2). La primera actividad en terreno se realizó por parte de profesionales de la Seremi del Medio Ambiente de la región en conjunto con profesionales de la Municipalidad de Talca, donde realizó un vuelo con dron en distintas áreas del polígono propuesto y, además se realizó inspección ocular para corroborar la existencia de alguno de los criterios de delimitación expuestos en la ley N° 21.202. Posteriormente, se realizó una segunda campaña de trabajo en terreno por parte de profesionales de la Seremi del Medio Ambiente de la región, donde se visitó una serie de puntos en los que era necesario corroborar la existencia de alguno de los criterios de delimitación.
3. Desarrollo de cartografía rectificada: Como resultado de la etapa de análisis técnico del polígono original, se requirió técnicamente modificar la cartografía presentada por el municipio de Talca, ajustando los vértices y coordenadas del polígono propuesto, eliminando zonas que no cumplían con al menos uno de los tres criterios de delimitación del artículo 8° del Reglamento de la Ley de Humedales Urbanos, así como, ampliando el polígono en aquellas zonas inundables de la caja del río.
Dadas las características del área objeto de la solicitud, la fotointerpretación se complementó con todos los registros georreferenciados levantados en las campañas de terreno, así como, todos los insumos entregados por la Municipalidad de Talca y los antecedentes aportados por terceros; con ello, es posible detectar los elementos que componen el humedal, e interpretar lo que se está observando, con la finalidad de definir los límites del ecosistema. Finalmente, el polígono que se obtiene es una representación referencial, a una escala determinada, del humedal Cajón del Río Claro y Estero Piduco, en el periodo de tiempo analizado. Cabe prevenir, que la exactitud geométrica en terreno del polígono que representa al humedal, o precisión de éste, depende de la precisión de escala (o error de escala), así como del error propio de la corrección geométrica de las imágenes satelitales de la plataforma SIG (concepto relacionado con la rectificación, georreferenciación y precisión del dato). La escala de trabajo referencial es 1:5.000, lo que significa que 1 cm en el mapa o en el papel, representa 50 m de la realidad (1 mm en el mapa equivale a 5 metros en el territorio) y la unidad mínima cartografiable a esta escala es de 400 m²).
En este sentido, en base al análisis de hidrología, y la vegetación hidrófita, evaluada en el trabajo de terreno, sumado al análisis de imágenes satelitales; fue posible definir los límites oficiales del humedal urbano acorde al cumplimiento de dos criterios de delimitación, justificándose técnicamente modificar la cartografía rectificada por el municipio, acorde al cumplimiento del artículo N° 8 del DS 15/2020 de la ley 21.202.
17. Que, como conclusión de lo expuesto en el Considerando anterior, se verificó la existencia del criterio de régimen hidrológico, y vegetación hidrófita en conformidad al artículo 8° del Reglamento, para efectos de delimitar el Humedal Urbano objeto del presente procedimiento de reconocimiento. En síntesis, y conforme con lo que señala la Ficha Técnica, respecto de los tres criterios, se advirtió lo siguiente:
a) Criterio de régimen hidrológico: se delimitó a través de la identificación de los indicadores grupos Al, Bl, B7 y B10 (A1: Agua superficial; Bl Marcas de agua; B7 Inundación visible en imágenes aéreas; B10 Patrones de drenaje).
b) Criterio de vegetación hidrófita: Las principales especies hidrófitas en torno al espejo de agua son Carex eragostis, Ludwigia peploides, Alisma plantago-aquatica, Limnobium laevigatum y Polygonum hydropiperoides, Eichhornia crassipes, Hydrocotyle ranunculoides, Arundo donax.
18. Que, en base al análisis de la vegetación hidrófita e hidrología evaluada en terreno por profesionales de la Seremi del Medio Ambiente Región del Maule, y Municipalidad de Talca, y con el apoyo del departamento de Ecosistemas Acuáticos de Ministerio del Medio Ambiente Nivel Central, así como mediante el análisis de imágenes satelitales con series temporales, se justificó técnicamente modificar la cartografía original presentada por el municipio, ajustando los vértices y coordenadas del polígono propuesto, definiéndose un área total de 348,41 hectáreas, representada por 1.639 vértices.
19. Que, respecto a las presentaciones de antecedentes adicionales indicadas en el considerando N° 11 de la presente resolución y en conformidad al artículo 39 de la ley N° 19.880, Ley de Bases de los Procedimientos Administrativos, se debe destacar que:
a) La División de Desarrollo de Proyectos del Ministerio de Energía, entrega información sobre infraestructura energética en operación que se intersecta con el Humedal Urbano, particularmente sobre líneas de transmisión eléctrica (LTE). Solicita incorporar como antecedente la existencia de dicha infraestructura energética existente y operativa, y excluir del polígono propuesto como humedal urbano protegido, la porción de terreno que es atravesada por esta infraestructura, de modo de permitir su funcionamiento, mantención, operación y ampliación. Las LTE son las siguientes: (i) Línea de Transmisión Eléctrica Talca-Piduco, de 66 kV, del titular CGE, que se encuentra operativa; (ii) Línea de Transmisión Eléctrica Talca-Linares, de 66 kV, del titular CGE, que se encuentra operativa; (iii) Línea de Transmisión Eléctrica Talca-San Ignacio, de 66 kV, del titular Colbún Transmisión, que se encuentra operativa.
Cabe señalar, que esta presentación no corresponde a información pertinente, ya que no entrega elementos que dan cuenta de la existencia de un humedal en el área, su delimitación y su ubicación respecto del límite urbano. En el marco de lo anterior, aquellos proyectos que se emplacen en el área del humedal y/o su entorno, deberán ser coherentes con el resguardo de los criterios mínimos de sustentabilidad establecidos en el articulo 3° del Reglamento, y en especial, los referidos a la mantención del régimen y conectividad hidrológica de los humedales urbanos, y al enfoque de manejo integrado de recursos hídricos.
Sin perjuicio de lo anterior, la información aportada referida a la ejecución de líneas de transmisión eléctrica no puede obviarse de los usos proyectados para parte del área sobre la cual recaería el reconocimiento del Humedal Urbano Cajón del Río Claro y Estero Piduco, debiendo todo proyecto cumplir con los criterios mínimos de sustentabilidad del artículo 3° del Reglamento.
b) La segunda presentación ingresada, proviene de doña Daniela Vásquez. La aportante entrega informe de antecedentes hidrogeomorfológicos, el cual detalla información de la Cuenca hidrográfica del río Maule, relevando los eventos de inundación en la trama urbana de la ciudad de Talca. Adicionalmente, se entregan antecedentes de las características del Humedal Cajón del Río Claro y Estero Piduco. Asimismo, la presentación solicita respetar los límites propuestos en la ficha de solicitud del humedal Cajón del Río Claro y Estero Piduco, así como ampliar las zonas aledañas al cauce fluvial en zonas críticas, como en la zona de "Las Tinajes".
Cabe señalar, que esta presentación sí corresponde a información pertinente. Es decir, corresponde a elementos que dan cuenta de la existencia de un humedal en el área, su delimitación y su ubicación respecto del límite urbano. Lo anterior se justifica ya que entrega antecedentes técnicos que darían cuenta de la existencia del humedal, solicitando ampliar el polígono propuesto. Dicha información se encuentra desarrollada en el Informe de Antecedentes pertinentes (Folio 222-242).
c) La tercera presentación ingresada, proviene de don Guillermo Sáez Varas. El aportante remite antecedentes sobre la propuesta de la fijación del Río Claro y el estero Piduco como Bien Nacional de Uso Público ("BNUP") en 2020. Indica que dicha información no fue considerada por la Municipalidad para su delimitación. En base a ello, se solicita considerar la ampliación de los límites del humedal en el tramo del Estero Piduco, que según propuesta para la fijación del BNUP, alcanza terrazas de inundación en una porción mayor
Cabe señalar, que esta presentación sí corresponde a información pertinente. Es decir, corresponde a elementos que dan cuenta de la existencia de un humedal en el área, su delimitación y su ubicación respecto del límite urbano. Lo anterior se justifica ya que entrega antecedentes técnicos que darían cuenta de la existencia del humedal, solicitando ampliar el polígono propuesto. Dicha información se encuentra desarrollada en el Informe de Antecedentes pertinentes (Folio 222-242).
d) La cuarta presentación ingresada, proviene de don Jorge Díaz. El aportante remite antecedentes respecto al área ubicada entre los cauces del Río Claro y el Estero Piduco, que no presenta vegetación como condición de humedal, por lo que, se solicita excluir de la declaración del Humedal Urbano. No obstante, se aclara que los antecedentes entregados por el aportante no permiten clarificar el área en cuestión. Lo anterior, se encuentra detallado en el Informe de Antecedentes pertinentes (Folio 222-242).
Cabe señalar, que esta presentación sí corresponde a información pertinente. Es decir, corresponde a elementos que dan cuenta de la existencia de un humedal en el área, su delimitación y su ubicación respecto del límite urbano. Lo anterior se justifica ya que entrega antecedentes técnicos que darían cuenta de la existencia del humedal, solicitando ampliar el polígono propuesto.
e) La quinta presentación ingresada, corresponde a doña Claudia Muñoz Venegas. La aportante remite datos pluviométricos de la Dirección General de Aguas para la estación Río Claro en Rauquén, en los últimos 20 años. En base a estos antecedentes, se solicita ampliar los límites del humedal a la línea de inundación para un período de 5 años del Río Claro y Estero Piduco, ya que, la delimitación presentada por la Municipalidad se ha basado en la propuesta del humedal urbano en "El Estudio Fijación de Bien Nacional Uso Público (BNUP) del Cauce Río Claro, Talca, realizado por le empresa Prisma Ingeniería Ltda. entre los años 2010 - 2011".
Cabe señalar, que esta presentación sí corresponde a información pertinente. Es decir, corresponde a elementos que dan cuenta de la existencia de un humedal en el área, su delimitación y su ubicación respecto del límite urbano. Lo anterior se justifica ya que entrega antecedentes técnicos que darían cuenta de la existencia del humedal, solicitando ampliar el polígono propuesto. Dicha información se encuentra desarrollada en el Informe de Antecedentes pertinentes (Folio 222-242).
f) La sexta presentación ingresada, proviene de la Agrupación El Bajo en Comunidad. La aportante remite informe técnico, el cual detalla mediante fotografías georreferenciadas, las zonas que corresponden a los límites de inundación de las crecidas del Río Claro. En base a ello, se solicita la ampliación del polígono del humedal, a estas zonas de inundación "temporal o permanente".
Cabe señalar, que esta presentación sí corresponde a información pertinente. Es decir, corresponde a elementos que dan cuenta de la existencia de un humedal en el área, su delimitación y su ubicación respecto del límite urbano. Lo anterior se justifica ya que entrega antecedentes técnicos que darían cuenta de la existencia del humedal, solicitando ampliar el polígono propuesto. Dicha información se encuentra desarrollada en el Informe de Antecedentes pertinentes (Folio 222-242).
g) La séptima presentación ingresada, proviene de EFE, quienes presentan informe que da constancia de los lugares donde se sobrepone el polígono del HU con infraestructura ferroviaria.
Cabe señalar, que esta presentación no comprende una solicitud que pretenda acreditar o no la existencia del humedal, su delimitación, ni su emplazamiento total o parcialmente urbano. Por lo anterior, y tal como ya se señaló en el Considerando 11 de la presente resolución, debe estimarse como información no pertinente para los términos del presente procedimiento de reconocimiento de Humedal Urbano.
Sin perjuicio de lo anterior, aquellos proyectos que se emplacen en el área del humedal y/o su entorno, deberán ser coherentes con el resguardo de los criterios mínimos de sustentabilidad establecidos en el artículo 3° del Reglamento, y en especial, los referidos a la mantención del régimen y conectividad hidrológica de los humedales urbanos, y al enfoque de manejo integrado de recursos hídricos.
20. Que, la delimitación definida para el Humedal Urbano Cajón del Río Claro y Estero Piduco en el presente proceso es consistente con los criterios de sustentabilidad establecidos en el artículo 3° del Reglamento, pues permite resguardar el régimen y conectividad hidrológica, así como, el funcionamiento del humedal urbano acorde a los antecedentes revisados durante el proceso de reconocimiento, tanto los presentados por la Ilustre Municipalidad de Talca, como los considerados por el Ministerio del Medio Ambiente dentro del proceso de análisis técnico.
Asimismo, es consistente con la mantención del régimen hidrológico superficial, en concordancia con la superficie solicitada por la Ilustre Municipalidad de Talca, los criterios de delimitación identificados en la campaña de terreno, la revisión de información de terceros, el análisis de imágenes satelitales y la revisión de información geoespacial desarrollada por el Ministerio del Medio Ambiente.
Al respecto, el artículo 3° del Reglamento señala los siguientes criterios mínimos para la sustentabilidad de los humedales urbanos: a) criterios mínimos que permiten resguardar las características ecológicas y el funcionamiento de los humedales urbanos; b) criterios mínimos que permiten mantener el régimen hidrológico superficial y subterráneo de los humedales urbanos, y c) criterios mínimos para el uso racional de los humedales urbanos.
Estos criterios son los lineamientos para incorporar, por un lado, en la ordenanza municipal que cada municipio debe generar para la protección, conservación y preservación de los humedales urbanos (según lo establecido por el artículo 2° de la ley N° 21.202 y el artículo 15 del Reglamento), y, por otro lado, en la futura gestión de dichos humedales.
En ese sentido, es relevante considerar que los humedales constituyen elementos claves para el funcionamiento y desarrollo de los sistemas urbanos, por lo que su regulación posterior deberá velar por el desarrollo sustentable acorde al uso racional del ecosistema, considerando la aplicación de los criterios de sustentabilidad en el ámbito de la gestión del humedal.
Sin perjuicio de lo anterior, el Segundo Tribunal Ambiental ha planteado que, la aplicación de los criterios de delimitación de humedales urbanos en conformidad al artículo 8° del Reglamento, debe considerar los criterios de sustentabilidad del artículo 3°, antes mencionados. De esta forma, los criterios mínimos de sustentabilidad deben tomarse en consideración a la hora de realizar las actividades de delimitación para su caracterización adecuada, condicionando incluso los límites del humedal a declarar, para que estos garanticen aspectos como la conservación, protección y/o restauración de las características ecológicas del humedal; la mantención de la conectividad biológica de los humedales urbanos; la mantención del régimen y conectividad hidrológica; así como la no fragmentación de los hábitats(2). Así pues, una delimitación que no tome en cuenta los criterios de sustentabilidad sería contrario al objetivo de protección establecido por el legislador en el artículo 1° de la ley N° 21.202(3).
En efecto, como ha sido establecido anteriormente por el Segundo Tribunal Ambiental, los humedales no surgen como ecosistemas mediante la declaración formal del Ministerio, sino que existen previamente, y la identificación de las condiciones que les han permitido mantenerse a lo largo del tiempo está estrechamente ligada a los criterios de sustentabilidad establecidos en el artículo 3° del Reglamento(4).
En consecuencia, el Ministerio del Medio Ambiente considera posible incluir en la delimitación de un Humedal Urbano zonas que no cumplan con algunos de los criterios establecidos en el artículo 8 del Reglamento, siempre y cuando la preservación de dichas áreas contribuya a la sustentabilidad del humedal, en concordancia con los criterios mínimos de sustentabilidad definidos en el Reglamento y lo dispuesto en los lineamientos anteriores.
Para efectos del análisis de la delimitación del HU Cajón Río Claro y Estero Piduco, se identificarán 4 zonas de interés: (i) sector "Las Tinajas Sur", (ii) sector "El Bajo" y las "Tinajas", (iii) Sector intervenido colindante a cancha motocross, (iv) Áreas de inundación tramo norte del río, en las cuales se sostuvo la aplicación de los criterios de sustentabilidad del artículo 3°.
___________________
(2) Cfr. Segundo Tribunal Ambiental, Rol R-355-2022, de 17 de agosto 2023, c.12; Rol R-297-2021, de 24 de octubre de 2022, c.35; Rol R-341-2022, de 2 de diciembre 2022, c.20; Rol R-324-2022, de 28 de febrero 2023, c.7.
(3) Cfr. Segundo Tribunal Ambiental, Rol R-316-2021 de 30 de enero de 2023, c.36.
(4) Cfr. Segundo Tribunal Ambiental, Rol R N° 356-2022, de 26 de julio de 2023, c.11.
Por lo que, la delimitación definida para el Humedal Urbano Cajón del Río Claro y Estero Piduco, incluye estas 4 zonas, ya que, según los antecedentes recopilados durante el proceso de reconocimiento, es posible sostener que en dichas áreas existen características de humedal. En específico para las zonas i), ii) y iii), las imágenes satelitales históricas permiten identificar el cauce natural del río, previo a las intervenciones antrópicas, así como, los patrones de inundación de eventos de crecida recientes. Por otro lado, la zona iv), corresponden a aquellas áreas de inundación solicitadas a ampliar por la organización "El Bajo en Comunidad", así como, las identificadas en el "Trabajo de Gabinete" durante el proceso de declaración, el cual, involucra el análisis de imágenes satelitales y teledetección de los eventos de inundación del año 2023.
Por lo que, la delimitación definida para el Humedal Urbano Cajón del Río Claro y Estero Piduco es consistente con los criterios de sustentabilidad expuestos con el artículo 3 del Reglamento, "a fin de resguardar las características ecológicas de los humedales urbanos y su funcionamiento, mantener su régimen hidrológico tanto superficial como subterráneo y velar por su uso racional"; pues permite resguardar las características ecosistémicas y el funcionamiento del humedal urbano acorde a los antecedentes revisados durante el proceso de reconocimiento, tanto los presentados por la Ilustre Municipalidad de Talca, como los ingresados por terceros, los cuales fueron considerados por el Ministerio del Medio Ambiente durante el proceso de análisis técnico.
Asimismo, es consistente con la mantención del régimen y conectividad hidrológico superficial, en concordancia con la superficie solicitada por la Ilustre Municipalidad de Talca, los criterios de delimitación identificados en la campaña de terreno, la revisión de información de terceros, el análisis de imágenes satelitales hasta el año 2024, y la revisión de información geoespacial desarrollada por el Ministerio del Medio Ambiente. Esto asegura que los humedales conserven su capacidad para responder a eventos extremos, buscando mantener la conectividad hídrica y ecológica, vital para la resiliencia del ecosistema.
Así, con la finalidad de propender a la restauración de los componentes del humedal, su composición, estructura y funcionamiento (artículo 3°, literal a), numeral i. del Reglamento), se propone incluir las zonas i), ii) y iii), que a partir de fotointerpretación de imágenes satelitales previas las intervenciones realizadas, poseía características de humedal (vegetación hidrófita y agua superficial visible en imágenes satelitales). Asimismo, las acciones de restauración que se realicen en esta zona deberán enfocarse en controlar las amenazas identificadas, monitoreando la efectividad de las medidas que se implementen.
Por otra parte, con el fin de mantener características ecológicas del humedal, para aquellos sectores donde no fue posible acceder a terreno, debido a la imposibilidad material y/o jurídica (predios privados y/o inaccesibles), el trabajo de delimitación en dichas áreas ribereñas se efectuó de forma suficiente, con trabajo de gabinete a través de técnicas remotas, y con la aplicación de los principios preventivos y precautorios, y con ello evitando la fragmentación de hábitats.
Finalmente, es relevante considerar que los humedales constituyen elementos claves para el funcionamiento y desarrollo de los sistemas urbanos, por lo que su regulación posterior deberá velar por el desarrollo sustentable acorde al uso racional del ecosistema, considerando la aplicación de los criterios de sustentabilidad en el ámbito de la gestión del humedal.
21.Que, la información aportada dentro del proceso de declaración de humedal urbano, tanto por EFE, como del Ministerio de Energía, es importante aclarar que el proceso de reconocimiento de humedal urbano conforme al artículo 1° de la ley N° 21.202, no tiene por objeto pronunciarse respecto a la compatibilidad o no de proyectos en relación a un humedal en específico, sino que busca determinar si se reconoce la existencia de un humedal, su delimitación, así como su emplazamiento total o parcial dentro del límite urbano. Sin embargo, es importante relevar la importancia de resguardar los criterios mínimos de sustentabilidad del ecosistema objeto del presente proceso.
En el marco de lo anterior, aquellos proyectos que se emplacen en el área del humedal y/o su entorno, deberán ser coherentes con el resguardo de los criterios mínimos de sustentabilidad establecidos en el artículo 3° del Reglamento, y en especial, los referidos a la mantención del régimen y conectividad hidrológica de los humedales urbanos, y al enfoque de manejo integrado de recursos hídricos. De esta manera, todo proyecto deberá respetar la mantención de su régimen hidrológico, debiendo efectuar las obras hidráulicas o basadas en la naturaleza, que mantengan el régimen de la red hídrica. Esto en concordancia con la tipología del Humedal Urbano Cajón del Río Claro y Estero Piduco, que corresponde a natural ribereño, toda vez que los humedales son parte de sistemas más amplios interconectados hidrológicamente. A su vez, deben ser concordantes con la letra c) del artículo 3° del Reglamento, que indica que los humedales urbanos constituyen elementos claves en el funcionamiento y desarrollo de los sistemas urbanos contribuyendo al manejo de la escorrentía urbana, gestión sustentable de aguas lluvia, control de inundaciones, configuración del paisaje urbano, entre otros. Dentro de los elementos claves para el funcionamiento de los humedales urbanos se encuentra la escorrentía urbana que, gestionada de manera sustentable, a través de los sistemas de aguas lluvia, aporta flujos hídricos y contribuye a la conservación de los humedales. La planificación sectorial asociada a humedales urbanos, tales como la gestión de sistemas de agua lluvia de las ciudades, conservación de defensas fluviales y mantención de riberas, desarrollada de manera sustentable, permitirá una adecuada integración entre los humedales y los sistemas urbanos de drenaje. Por tanto, los proyectos que velen por la gestión sustentable de la escorrentía de Humedal Urbano podrán contribuir a la adecuada conservación del ecosistema.
22. Que, se verificó que el humedal objeto del presente procedimiento, se encuentra parcialmente dentro del área urbana conforme al Plan Regulador comunal de Talca, de acuerdo a lo señalado por la Ilustre Municipalidad de Talca, mediante la resolución N° 342, de 26 de octubre de 2011, del Gobierno Regional del Maule y los documentos anexados, cumpliendo con los criterios de delimitación "hidrología" y "flora Indicadora", establecido en el artículo 8° del Reglamento de la ley N° 21.202.
23. Que, de este modo, el Humedal Urbano Cajón del Río Claro y Estero Piduco, según consta en la Ficha Técnica, corresponde a un humedal urbano natural ribereño, con una superficie total 348,41 ha, y que se ubica parcialmente dentro del límite urbano de la comuna de Talca, Región del Maule.
24. Que, en virtud de lo anterior, mediante memorándum N° 7350/2024, la División de Recursos Naturales y Biodiversidad de este Ministerio solicitó la declaración del Humedal Urbano.
25. Que, todos aquellos antecedentes que se han tenido en consideración para la presente declaración se encuentran contenidos en el expediente respectivo, publicado en la página del Ministerio: https://humedaleschile.mma.gob.cl/procesos-desde-municipios/.
Resuelvo:
1° Declárese como Humedal Urbano, para efectos de lo dispuesto en la ley N° 21.202, el humedal denominado Humedal Urbano Cajón del Río Claro y Estero Piduco, cuya superficie aproximada es de 348,41 hectáreas, ubicado en la comuna de Talca, Región del Maule.
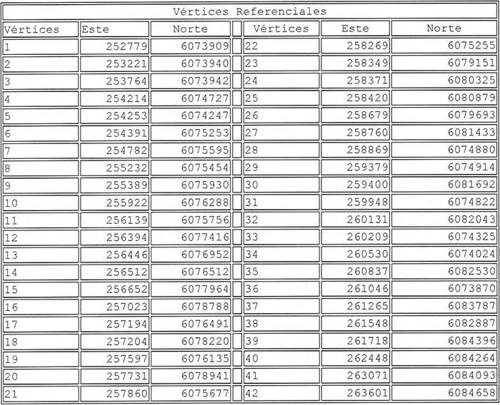
2° Establézcase los límites del Humedal Urbano Cajón del Río Claro y Estero Piduco, representados en la cartografía oficial, y que se detallan en coordenadas referenciales UTM según Datum WGS 84, huso 19 sur y son las siguientes:

Para todos los efectos legales, la cartografía oficial, autorizada por el Subsecretario del Medio Ambiente como ministro de fe, forma parte integrante de la presente resolución y puede ser consultada en las dependencias del Ministerio del Medio Ambiente, así como en el siguiente enlace:
https://humedaleschile.mma.gob.cl/wp-content/uploads/2024/11/Mapa_RioClaro_firmad-1.pdf
3° Infórmese que la presente resolución es reclamable ante el Tribunal Ambiental competente de conformidad a lo dispuesto en el artículo 12 del Reglamento, dentro del plazo de 30 días contado desde su publicación en el Diario Oficial.
4° Publíquese la presente resolución en el Diario Oficial y en la página electrónica del Ministerio del Medio Ambiente.
Anótese, comuníquese, publíquese y archívese.- María Heloísa Rojas Corradi, Ministra del Medio Ambiente.
Lo que transcribo para Ud., para los fines que estime pertinente.- Maximiliano Proaño U., Subsecretario del Medio Ambiente.