FIJA PRECIOS DE NUDO PROMEDIO EN EL SISTEMA ELÉCTRICO NACIONAL, DE ACUERDO AL ARTÍCULO 158° DE LA LEY GENERAL DE SERVICIOS ELÉCTRICOS Y FIJA AJUSTES Y RECARGOS POR APLICACIÓN DEL MECANISMO DE EQUIDAD TARIFARIA RESIDENCIAL
Núm. 15T.- Santiago, 23 de diciembre de 2024.
Vistos:
Lo dispuesto en el artículo 35 del decreto N° 100, de 2005, del Ministerio Secretaría General de la Presidencia, que fija el texto refundido, coordinado y sistematizado de la Constitución Política de la República; en el decreto ley N° 2.224, de 1978, del Ministerio de Minería, que crea el Ministerio de Energía y la Comisión Nacional de Energía; en el decreto con fuerza de ley N° 4/20.018, de 2006, del Ministerio de Economía, Fomento y Reconstrucción, que fija texto refundido, coordinado y sistematizado del decreto con fuerza de ley N° 1, de Minería, de 1982, Ley General de Servicios Eléctricos, en materia de energía eléctrica, y sus modificaciones posteriores, en adelante "Ley"; en la Ley N° 20.936, que Establece un Nuevo Sistema de Transmisión Eléctrica y crea un Organismo Coordinador Independiente del Sistema Eléctrico Nacional; en la Ley N° 21.185, que crea un Mecanismo Transitorio de Estabilización de Precios de la Energía Eléctrica para clientes sujetos a regulación de precios, en adelante "Ley N° 21.185"; en la ley N° 21.472, que crea un Fondo de Estabilización de Tarifas y establece un Nuevo Mecanismo de Estabilización Transitorio de Precios de la Electricidad para Clientes sometidos a Regulación de Precios, en adelante "Ley N° 21.472"; en la Ley N° 21.657, que modifica la Ley General de Servicios Eléctricos, en materia de cobro de tarifa eléctrica para servicios sanitarios rurales, en adelante "Ley N° 21.657"; en la ley N° 21.667, que modifica diversos cuerpos legales, en materia de estabilización tarifaria, en adelante "Ley N° 21.667"; en el decreto supremo N° 86, de 2012, del Ministerio de Energía, que aprueba reglamento para la fijación de precios de nudo y sus modificaciones posteriores, en adelante "Decreto Supremo N° 86"; en el decreto supremo N° 106, de 2015, del Ministerio de Energía, que aprueba reglamento sobre licitaciones de suministro para satisfacer el consumo de clientes regulados de las empresas concesionarias de servicio público de distribución de energía eléctrica y deroga el decreto supremo N° 4, de 2008, del Ministerio de Economía, Fomento y Reconstrucción, en adelante "Decreto Supremo N° 106"; en el decreto supremo N° 49, de 2023, del Ministerio de Hacienda, que aprueba reglamento que establece las normas que regulan la operación del fondo de estabilización de tarifas de la ley N° 21.472, modificado por el decreto supremo N° 962, de 2024, del Ministerio de Hacienda, en adelante "Decreto Supremo N° 49"; en la resolución exenta N° 703, de 30 de octubre de 2018, de la Comisión Nacional de Energía, que modifica resolución exenta N° 778, que establece plazos, requisitos y condiciones para la fijación de precios de nudo promedio, de fecha 15 de noviembre de 2016, modificada por las resoluciones exentas N° 203 y N° 558, ambas de 2017, y fija texto refundido de la misma, en adelante "Resolución Exenta N° 703", todas de la Comisión Nacional de Energía, en adelante la "Comisión"; en la resolución exenta N° 641, de fecha 30 de agosto de 2016, modificada por las resoluciones exentas N° 434, de 9 de agosto de 2017, N° 603, de 25 de octubre de 2017 y N° 10, de 11 de enero de 2018, todas de la Comisión, que establece plazos, requisitos y condiciones para la fijación de precios de nudo de corto plazo; en la resolución exenta N° 7, de 8 de enero de 2019, de la Comisión, modificada por las resoluciones exentas N° 184, N° 245, N° 270 y N° 320, todas de 2019, de la Comisión, que modifica resolución exenta N° 489, de 13 de julio de 2018, que aprueba metodología para la determinación del Cargo Equivalente de Transmisión a que se refiere el artículo vigesimoquinto transitorio de la ley N° 20.936, y fija demás disposiciones necesarias para la aplicación del referido artículo, modificada por las resoluciones exentas N° 555, N° 627, N° 651, todas del 2018, y fija texto refundido de la misma, en adelante "Resolución Exenta N° 7"; en la resolución exenta N° 556, de fecha 6 de octubre de 2017, de la Comisión, que establece mecanismo de reliquidación de las diferencias de facturación entre empresas concesionarias de distribución a que se refiere el artículo 191° de la Ley General de Servicios Eléctricos; en la resolución exenta N° 342, de 9 de septiembre de 2021, modificada por las resoluciones exentas N° 514, de 2021 y N° 283, de 2022, todas de la Comisión, que modifica resolución exenta N° 72, de 5 de marzo de 2020, que establece disposiciones técnicas para la implementación de la ley N° 21.185, y fija texto refundido, modificada por las resoluciones exentas N° 114 y N° 340 exentas, ambas de 2020, y resoluciones N° 115 y N° 186, exentas, ambas de 2021 y fija texto refundido de la misma, todas de la Comisión, en adelante "Resolución Exenta N° 342"; en la resolución exenta N° 379, de 30 de julio de 2024, de la Comisión, que modifica la resolución exenta N° 334, de 27 de julio de 2023, de la Comisión, y fija texto refundido de la resolución que establece disposiciones técnicas para la implementación de la ley N° 21.472, modificada por la ley N° 21.667, en adelante "Resolución Exenta N° 379"; en la resolución exenta N° 275/2024, de 30 de mayo de 2024, de la Comisión, que establece reglas para la implementación y operación de lo dispuesto en el inciso segundo del artículo 191 bis de la Ley General de Servicios Eléctricos, en adelante "Resolución Exenta N° 275"; en el decreto supremo N° 5T, de 31 de mayo de 2024, del Ministerio de Energía, que fija fórmulas tarifarias aplicables a los suministros sujetos a precios regulados que se señalan, efectuados por las empresas concesionarias de distribución que se indican, en adelante "Decreto N° 5T/2024"; en el decreto supremo N° 1T, de 2024, del Ministerio de Energía, que fija precios de nudo para suministros de electricidad, en adelante "Decreto 1T/2024"; en el decreto supremo N° 16T, de 2020, del Ministerio de Energía, que fija precios de nudo promedio en el Sistema Eléctrico Nacional, de acuerdo al artículo 158° de la Ley General de Servicios Eléctricos, y fija factor de ajuste por aplicación del mecanismo transitorio de estabilización de precios contemplado en la ley N° 21.185, en adelante "Decreto N° 16T/2020"; en el decreto supremo N° 20T, de 2018, del Ministerio de Energía, que fija Precios de Nudo Promedio en el Sistema Eléctrico Nacional, de acuerdo al artículo 158° de la Ley General de Servicios Eléctricos y fija ajustes y recargos por aplicación del mecanismo de equidad tarifaria residencial, en adelante "Decreto Supremo N° 20T/2018"; en el decreto supremo N° 9T, de 2022, del Ministerio de Energía, que fija Precios de Nudo Promedio en el Sistema Eléctrico Nacional, de acuerdo al artículo 158° de la Ley General de Servicios Eléctricos, y fija factor de ajuste por aplicación del mecanismo transitorio de estabilización de precios contemplado en la ley N° 21.185, adelante "Decreto N° 9T/2022"; en el decreto supremo N° 16T, de 2022, del Ministerio de Energía, que fija precios de nudo promedio en el Sistema Eléctrico Nacional, de acuerdo al artículo 158° de la Ley General de Servicios Eléctricos, en adelante "Decreto N° 16T/2022"; en el decreto supremo N° 7T, de 2024, del Ministerio de Energía, que fija precios de nudo promedio en el Sistema Eléctrico Nacional, de acuerdo al artículo 158° de la Ley General de Servicios Eléctricos, en adelante "Decreto N° 7T/2024"; en el decreto supremo N° 10T, de 2024, del Ministerio de Energía, que fija precios de nudo promedio en el Sistema Eléctrico Nacional, de acuerdo al artículo 158° de la Ley General de Servicios Eléctricos, en adelante "Decreto N° 10T/2024; en el decreto supremo N° 10T, de 2019, del Ministerio de Energía, que fija precios a nivel de generación y transmisión en sistemas medianos de Punta Arenas, Puerto Natales, Porvenir y Puerto Williams, y establece su plan de expansión, complementado por el decreto supremo N° 4T, de 2020, y modificado mediante decretos supremos N° 11T, de 2020, y N° 3T, de 2021, todos del Ministerio de Energía; en el decreto supremo N° 3T, de 2019, del Ministerio de Energía, que fija precios a nivel de generación y transmisión en sistemas medianos de Aysén, Palena y General Carrera y establece su plan de expansión, complementado por el decreto supremo N° 4T, de 2020, y modificado mediante decretos supremos N° 11T, de 2020, y N° 3T, 2021, todos del Ministerio de Energía; en el decreto supremo N° 2T, de 2019, del Ministerio de Energía, que fija precios a nivel de generación y transmisión en sistema mediano de Cochamó y establece su plan de expansión; en el decreto supremo N° 4T, de 2019, del Ministerio de Energía, que fija precios a nivel de generación y transmisión en sistema mediano de Hornopirén y establece su plan de expansión; en el Acuerdo N° 10/2024, del Consejo de Ministros para la Sustentabilidad y el Cambio Climático, que reconoce a las comunas de Tocopilla, Mejillones, Huasco, Puchuncaví, Quintero y Coronel, como zonas en transición para efectos de la aplicación de lo dispuesto en el artículo séptimo transitorio de la ley N° 21.667, adoptado en su Sesión Ordinaria N° 4, de fecha 3 de mayo de 2024; en el Oficio N° 570/2024, de 10 de mayo de 2024, del Ministerio de Energía, que informa acuerdo del Consejo de Ministros para la Sustentabilidad y el Cambio Climático respecto a las comunas declaradas en transición a efectos de la aplicación del artículo 7 transitorio de la ley N° 21.667; en el Acuerdo N° 22/2024, del Consejo de Ministros para la Sustentabilidad y el Cambio Climático, que reconoce a la comuna de Hualpén como zona en transición para efectos de la aplicación de lo dispuesto en el artículo séptimo transitorio de la ley N° 21.667, adoptado en su Sesión Ordinaria N° 8, de 12 de septiembre de 2024; en el Oficio N° 1281/2024, de 12 de septiembre de 2024, del Ministerio de Energía, que informa acuerdo del Consejo de Ministros para la Sustentabilidad y el Cambio Climático para reconocer a la comuna de Hualpén como zona en transición a efectos de la aplicación del artículo 7 transitorio de la ley N° 21.667; en el Oficio CNE Of. Ord. N° 509/2024, de 23 de julio de 2024, de la Comisión, que solicita a la Superintendencia de Electricidad y Combustibles información de los montos de los descuentos aplicados en la facturación por cada empresa concesionaria de distribución a operadores de servicios sanitarios rurales, en adelante "Oficio CNE Of. Ord. N° 509/2024"; en el Oficio Ordinario Electrónico N° 241066, de 8 de agosto de 2024, de la Superintendencia de Electricidad y Combustibles, complementado por el Oficio Ordinario Electrónico N° 249089, de 30 de septiembre de 2024, de la Superintendencia de Electricidad y Combustibles; en la resolución exenta N° 672, de fecha 16 de diciembre de 2024, de la Comisión, que aprueba Informe Técnico Definitivo para la Fijación de Precios de Nudo Promedio del Sistema Eléctrico Nacional, de diciembre de 2024, correspondiente al primer semestre de 2025, enviada al Ministerio de Energía mediante oficio CNE Of. Ord. N° 876/2024, de fecha 16 de diciembre de 2024, rectificada por la resolución exenta N° 681, de 20 de diciembre de 2024, de la Comisión, que rectifica Informe Técnico Definitivo para la Fijación de Precios de Nudo Promedio del Sistema Eléctrico Nacional, de diciembre de 2024, correspondiente al primer semestre de 2025, aprobado mediante resolución exenta N° 672, de 16 de diciembre de 2024, enviada al Ministerio de Energía mediante oficio CNE Of. Ord N° 890, de 20 de diciembre de 2024, en adelante "Resolución Exenta N° 672"; en la resolución N° 7, de 2019, de la Contraloría General de la República; y
Considerando:
1. Que, de conformidad a lo establecido en el artículo 158° de la ley corresponde fijar por decreto del Ministerio de Energía, expedido bajo la fórmula "por orden del Presidente de la República", los precios promedio que las concesionarias de servicio público de distribución, en adelante las "Concesionarias" o "Distribuidoras", deben traspasar a sus clientes regulados, previo informe de la Comisión.
2. Que, de acuerdo a lo señalado en el artículo 158°, inciso tercero, de la ley, las Concesionarias pagarán a sus suministradores los niveles de precios de los respectivos contratos señalados en el presente decreto.
3. Que, el artículo 158° de la ley señala que los decretos de precio de nudo promedio tendrán vigencia semestral y serán dictados en la oportunidad que determine el reglamento.
4. Que, el artículo vigésimo transitorio de la ley N° 20.936 estableció que mientras los reglamentos emanados de la mencionada ley no entren en vigencia, dichas disposiciones se sujetarán en cuanto a los plazos, requisitos y condiciones a las disposiciones de la ley y a las que se establezcan por resolución exenta de la Comisión.
5. Que, mediante la resolución exenta N° 703, la Comisión estableció los plazos, requisitos y condiciones a los que deberá sujetarse el proceso de fijación de precios de nudo promedio regulado en los artículos 155° y siguientes de la Ley.
6. Que, con fecha 2 de noviembre de 2019, se publicó en el Diario Oficial la ley N° 21.185, que crea un mecanismo transitorio de estabilización de precios de energía eléctrica para clientes sujetos a regulación de precios.
7. Que, mediante la resolución exenta N° 342, la Comisión estableció las disposiciones técnicas para la implementación de la ley N° 21.185.
8. Que, por su parte, con fecha 2 de agosto de 2022, se publicó en el Diario Oficial la ley N° 21.472, que crea un fondo de estabilización de tarifas y establece un nuevo mecanismo de estabilización transitorio de precios de la electricidad para clientes sometidos a regulación de precios.
9. Que, con fecha 29 de julio de 2023, se publicó en el Diario Oficial el Decreto Supremo N° 49, que aprobó el reglamento del fondo de estabilización de tarifas de la ley N° 21.472, de conformidad a lo dispuesto en el artículo 212°-14 de la ley, el que fue modificado por el decreto supremo N° 962, de 2024, del Ministerio de Hacienda.
10. Que, mediante la resolución exenta N° 379, la Comisión estableció las disposiciones técnicas para la implementación de la ley N° 21.472, modificada por la ley N° 21.667.
11. Que, de conformidad a lo dispuesto en el numeral 4 del artículo 3 de la ley N° 21.472, el mecanismo transitorio de protección al cliente aplica al Sistema Eléctrico Nacional y los sistemas medianos, y que se implementa a través de las fijaciones semestrales de precios a que se refiere el artículo 158° de la ley.
12. Que, a su vez, con fecha 30 de abril de 2024, se publicó en el Diario Oficial la ley N° 21.667, que modifica diversos cuerpos legales, en materia de estabilización tarifaria.
13. Que, los artículos 157° y 191° de la ley regulan, respectivamente, los mecanismos de reconocimiento de generación local y de reconocimiento de generación local adicional; y el mecanismo de equidad tarifaria residencial.
14. Que, el numeral 7 del artículo 3 de la ley N° 21.472, en relación a los cargos y descuentos asociados a la aplicación de los mecanismos de reconocimiento de generación local y de reconocimiento de generación local adicional, establece que no se recalcularán los factores de intensidad para cada comuna y los descuentos según porcentaje de aporte, de conformidad a lo establecido en los incisos cuarto y quinto del artículo 157° de la ley, manteniendo los mismos establecidos en el informe técnico definitivo que dio origen al decreto supremo N° 9T/2022.
15. Que, para extinguir progresivamente los saldos originados por la implementación de la ley N° 21.185 y la ley N° 21.472, el artículo 9 de este último cuerpo legal, modificado por la ley N° 21.667, dispuso que en las fijaciones de precios de nudo promedio a que se refiere el artículo 158° de la Ley, se establecerá un cargo, denominado "Cargo MPC", equivalente a 22 pesos por kWh, para los periodos tarifarios de los años 2024 a 2027, el que se reajustará semestralmente conforme a la variación que experimente el Índice de Precios al Consumidor, considerando como base el mes de enero de 2024.
16. Que, el artículo 9 de la ley N° 21.472, modificado por la ley N° 21.667, establece determinadas condiciones que habilitan a la Comisión para ajustar el monto del Cargo MPC, con el objeto de extinguir los saldos originados por la implementación de las leyes N° 21.185 y N° 21.472 y sus modificaciones. El artículo 30° del artículo segundo de la resolución exenta N° 379 dispone que la concurrencia de estas condiciones debe ser verificada e implementada por la Comisión al emitir su informe técnico y, de ser procedente, implementarlo en las fijaciones semestrales de precios a que se refiere el artículo 158° de la ley.
17. Que, en el marco del presente proceso tarifario la Comisión constató en el informe técnico definitivo aprobado por la resolución exenta N° 672 que no se han verificado las condiciones que hacen procedente el ajuste del Cargo MPC, por lo que este únicamente se reajustará conforme a la variación experimentada por el Índice de Precios al Consumidor, considerando como base el mes de enero de 2024.
18. Que, el citado artículo 9 de la ley N° 21.472 establece que el Cargo MPC debe ser soportado, a partir del primer período tarifario del año 2024, por aquellos clientes sometidos a regulación de precios cuyo consumo promedio mensual sea superior a 350 kWh, y que a partir del primer período tarifario de 2025 deberá ser soportado por todos los clientes sometidos a regulación de precios, independiente de su nivel de consumo.
19. Que, el inciso cuarto del artículo segundo transitorio de la ley N° 21.667 dispone que las diferencias de facturación no pagadas, contabilizadas entre el 1 de marzo de 2024 y el 30 de junio de 2024, deben ser incorporadas en el informe técnico definitivo emitido por la Comisión para la dictación del presente acto administrativo. Lo anterior, con el objeto de que las referidas diferencias de facturación sean remuneradas a través de la emisión de documentos de pago, conforme al procedimiento contenido en aquel artículo.
20. Que, el artículo 4 de la ley N° 21.472 establece que el denominado Beneficio a Cliente Final, corresponde la diferencia de valorización de los consumos de los clientes finales, entre los precios de nudo promedio correspondientes o del decreto respectivo para el caso de los sistemas medianos y los precios establecidos conforme al artículo 3° del mismo cuerpo legal, más los déficits de recaudación del balance de las concesionarias de distribución. El valor acumulado de Beneficios a Cliente Final aplicados por las empresas distribuidoras, más sus costos financieros, corresponderán al "Saldo Final Restante", el cual debe ser incorporado explícitamente en los decretos tarifarios semestrales de precios de nudo promedio, conforme al artículo 5 de la ley N° 21.472.
21. Que, asimismo, la ley N° 21.657 incorporó un nuevo artículo 191° bis a la ley, el que establece que en favor de los operadores de servicios sanitarios rurales que cumplan con los requisitos para ser licenciatarios conforme al artículo 13 de la ley N° 20.998, que regula los Servicios Sanitarios Rurales, se les aplicará un descuento equivalente al monto a facturar por concepto de precio nudo de la potencia de punta al que hace referencia el numeral 1 del artículo 155° de la ley. Estos descuentos deben ser contabilizados por la Comisión, a efectos de incorporar dichos montos en la fijación de precios a que se refiere el artículo 158° de la ley, los que luego serán traspasados a las empresas concesionarias de distribución.
22. Que, de conformidad a lo dispuesto en la resolución exenta N° 275, para efectos de la contabilización de los descuentos a que se refiere el considerando precedente, la información relativa a los descuentos efectuados por las concesionarias de distribución debe ser enviada por la Superintendencia de Electricidad y Combustibles a la Comisión durante los últimos cinco días hábiles del mes de marzo y septiembre de cada año, considerando la información de los últimos seis meses previos a su envío. Sobre la base de esta información la Comisión determinará un cargo unitario en pesos por kilowatt hora [$/kWh], en adelante "Cargo Unitario SSR", considerando la demanda de energía proyectada del período tarifario correspondiente, el cual se incorporará a las tarifas de precios de nudo promedio de energía a nivel de distribución de las empresas concesionarias de distribución.
23. Que, en relación a lo señalado en el considerando anterior, y para los efectos del presente proceso tarifario, la Superintendencia de Electricidad y Combustibles remitió los antecedentes correspondientes a los descuentos efectuados en el periodo, a través del Oficio Ordinario Electrónico N° 241066, de 8 de agosto de 2024, complementado por el Oficio Ordinario Electrónico N° 249089, de 30 de septiembre de 2024, de la Superintendencia de Electricidad y Combustibles, que da respuesta a CNE Of. Ord. N° 509/2024 de la Comisión.
24. Que, por otro lado, en el marco de los procesos de fijación de precios de nudo promedio, el inciso segundo del artículo séptimo transitorio de la ley N° 21.667 regula un mecanismo de descuento en la componente de energía para aquellas comunas reconocidas como zonas en transición, por un acuerdo especial del Consejo de Ministros para la Sustentabilidad y el Cambio Climático.
25. Que, en su Sesión Ordinaria N° 4, de fecha 3 de mayo de 2024, el Consejo de Ministros para la Sustentabilidad y el Cambio Climático, adoptó su Acuerdo N° 10/2024, que reconoce como zonas en transición a las comunas de Tocopilla, Mejillones, Huasco, Puchuncaví, Quintero y Coronel, para efectos de la aplicación de lo dispuesto en el artículo séptimo transitorio de la ley N° 21.667. Adicionalmente, el mismo órgano colegiado, a través del Acuerdo N° 22/2024, adoptado en su Sesión Ordinaria N° 8, de fecha 12 de septiembre de 2024, reconoció a la comuna de Hualpén como zona en transición para los mismos efectos.
26. Que, mediante Oficio Ordinario N° 570/2024, de fecha 10 de mayo de 2024, y Oficio N° 1281/2024, de 12 de septiembre de 2024, este Ministerio informó a la Comisión los acuerdos del Consejo de Ministros para la Sustentabilidad y el Cambio Climático respecto a las comunas declaradas en transición a efectos de la aplicación del artículo séptimo transitorio de la ley N° 21.667, a efectos de incorporar un descuento a las comunas reconocidas como zonas en transición en el marco del presente proceso de fijación de precios de nudo promedio.
27. Que, la Comisión, mediante el oficio CNE Of. Ord. N° 876/2024, de 16 de diciembre de 2024, remitió a este Ministerio la resolución exenta N° 672, de la misma fecha, que aprueba Informe Técnico Definitivo para la Fijación de Precios de Nudo Promedio del Sistema Eléctrico Nacional, de diciembre de 2024, correspondiente a la fijación del primer semestre de 2025.
28. Que, el informe técnico señalado en el considerando anterior contiene el cálculo de los nuevos precios de nudo promedio para cada concesionaria, según lo establecido en el artículo 157° de la ley, considerando las reglas dispuestas en el artículo 3 de la ley N° 21.472, modificada por la ley N° 21.667.
29. Que, mediante la resolución exenta N° 681, de 20 de diciembre de 2024, de la Comisión, se rectificó el Informe Técnico Definitivo para la Fijación de Precios de Nudo Promedio del Sistema Eléctrico Nacional, de diciembre de 2024. La referida resolución fue remitida por la Comisión al Ministerio, mediante oficio CNE Of. Ord. N° 890, de igual fecha.
30. Que, de acuerdo a lo indicado en el inciso primero del artículo séptimo transitorio de la ley N° 21.667, los decretos de nudo promedio a que se refiere el artículo 158° de la ley que se dicten durante la vigencia de las disposiciones de la ley N° 21.472, podrán entrar en vigencia sin esperar su total tramitación por razones impostergables de buen servicio, indicando tal circunstancia en el decreto respectivo.
31. Que, en dicho contexto, se debe tener presente lo señalado en el considerando 18. precedente en cuanto a que conforme a lo dispuesto en el numeral 2 del inciso segundo del artículo 9 de la ley N° 21.472, modificada por la ley N° 21.667, a contar del primer período tarifario de 2025, el Cargo MPC será soportado por todos los clientes sometidos a regulación de precios, independiente de su nivel de consumo, por lo que desde la entrada en vigencia del presente acto administrativo, los clientes sometidos a regulación de precios cuyo consumo promedio mensual sea inferior a 350 kWh comenzarán a pagar dicho cargo, de forma que un retraso en la emisión de este decreto implicaría una menor recaudación por concepto de Cargo MPC, al margen de lo previsto en la ley N° 21.667, lo que podría afectar el oportuno cumplimiento de las obligaciones del Fondo de Estabilización de Tarifas u obligar a ajustar el monto del Cargo MPC en futuros procesos tarifarios.
32. Que, del mismo modo, un retraso en el inicio del pago del Cargo MPC por parte de los clientes sometidos a regulación de precios con consumo promedio mensual inferior a 350 kWh implicaría un incumplimiento de lo dispuesto en el numeral 2 del inciso segundo del artículo 9 de la ley N° 21.472, modificada por la ley N° 21.667, en perjuicio de los clientes de mayores consumos promedio mensuales, ya que prolongaría más allá de lo previsto por el legislador, debiendo soportar estos clientes de mayores consumos el pago del cargo MPC, constituyendo un tratamiento no permitido por aquellas leyes en relación a la carga de proporcionar los recursos necesarios para extinguir progresivamente los saldos originados por la implementación de la ley N° 21.185 y la ley N° 21.472.
33. Que, conforme a lo antes señalado, con el fin de ajustarse a las condiciones previstas por el legislador destinadas a asegurar que se extingan oportunamente las deudas asociadas a los mecanismos de estabilización de tarifas y velar por la adecuada distribución de la carga de contribuir al financiamiento de estas medidas, resulta imperioso que este decreto entre en vigencia en el menor plazo posible.
34. Que, en consecuencia, esta Secretaría de Estado utilizará la facultad dispuesta en el artículo séptimo transitorio de la ley N° 21.667, por lo que el presente decreto entrará en vigencia sin esperar su total tramitación, por razones impostergables de buen servicio, de forma que deberá publicarse en el Diario Oficial una vez remitido a la Contraloría General de la República.
35. Que, en virtud de lo expuesto en los considerandos precedentes, este Ministerio viene en dictar el presente acto administrativo, conforme se indica en la parte resolutiva del mismo.
Decreto:
Artículo primero: Fíjanse los precios de nudo promedio y las condiciones de aplicación de los mismos, para los suministros de electricidad destinados a clientes sometidos a regulación de precios, en adelante "Clientes Regulados" o "Clientes", en virtud de lo señalado en los artículos 155° y siguientes de la Ley, considerando el mecanismo de protección al cliente por la ley N° 21.472, modificado por la ley N° 21.667. Estos precios se aplicarán desde la publicación del presente decreto en el Diario Oficial, sin perjuicio de su entrada en vigencia a contar del 1° de enero de 2025.
1 DEFINICIONES Y CONSIDERACIONES
1.1 Ajuste o Recargo ("AR"):
Ajuste o recargo a nivel de distribución aplicable a los clientes regulados de la empresa concesionaria de servicio público de distribución, resultante de la aplicación del artículo 157° de la ley y de la incorporación de los cargos de reliquidaciones que correspondan, en [$/kWh]. Se entenderá que el factor AR corresponde a un ajuste cuando su valor sea negativo y a un recargo cuando su valor sea positivo.
1.2 Beneficio a Cliente Final
Beneficio contemplado en el artículo 4 de la ley N° 21.472, que corresponde a la diferencia de valorización de los respectivos consumos entre los precios de nudo promedio correspondientes o del decreto respectivo para el caso de los sistemas medianos y los precios establecidos en el artículo 3 de dicho cuerpo normativo. Adicionalmente, incorporará el Déficit Semestral de la Distribuidora, en conformidad al inciso segundo del artículo 4 de la ley N° 21.472, determinado de conformidad al artículo 34° del artículo segundo de la resolución exenta N° 379.
1.3 Cargo MPC
Cargo que se adiciona a los precios de energía traspasables a los clientes regulados en las fijaciones a que se refiere el artículo 158° de la ley, y cuyo objetivo, de conformidad al artículo 11 de la ley 21.472, es permitir extinguir progresivamente los saldos originados por la aplicación de la ley N° 21.185, así como para pagar las obligaciones del Fondo de Estabilización de Tarifas, y los documentos de pago emitidos de acuerdo con la ley N° 21.472, y sus modificaciones posteriores, de acuerdo con las condiciones que en ellos se contienen. A efectos del presente decreto, el cargo MPC es equivalente a 22,611 pesos por kWh, conforme a lo dispuesto en el inciso primero del artículo 9 de la ley N° 21.472, atendido el reajuste de su valor conforme a la variación experimentada por el Índice de Precios al Consumidor, correspondiente a un alza de 2,78%, considerando como base el mes de enero de 2024.
Cabe hacer presente que conforme a lo dispuesto en el numeral 2. del inciso segundo del artículo 9 de la ley N° 21.472, en el periodo tarifario regido por el presente acto administrativo, este cargo es soportado por todos los clientes sometidos a regulación de precios, independiente de su nivel de consumo.
1.4 Cargo Unitario SSR
Cargo unitario en pesos por kilowatt hora, determinado por la Comisión sobre la base de los descuentos efectivamente aplicados por las empresas concesionarias de servicio público de distribución en la facturación a los operadores de servicios sanitarios rurales que cumplan con los requisitos para ser licenciatarios conforme al artículo 13 de la ley N° 20.998, de conformidad a lo dispuesto en el artículo 191° bis de la Ley, considerando la demanda de energía proyectada del período tarifario correspondiente, el cual se incorporará a las tarifas de precios de nudo promedio de energía a nivel de distribución.
A efectos del presente periodo tarifario, conforme a la información suministrada por la Superintendencia de Electricidad y Combustibles, la Comisión determinó el Cargo Unitario SSR, cuyo valor equivale a 0,02 pesos por kWh.
1.5 Comunas reconocidas como zonas en transición
Corresponden a aquellas comunas que han sido reconocidas como zonas en transición por el Consejo de Ministros para la Sustentabilidad y el Cambio Climático, a efectos de aplicar un descuento del 40% a la componente de energía del precio de nudo establecido en el punto de conexión con las instalaciones de distribución que Distribuidoras traspasan a los Clientes. Este descuento se adicionará a los descuentos establecidos en los artículos 157° y 191° de la Ley, respecto del precio de la energía a traspasar a los clientes regulados conforme a lo dispuesto en el artículo séptimo transitorio de la ley N° 21.667.
Para los efectos del presente acto administrativo corresponden a zonas en transición las comunas de Tocopilla, Mejillones, Huasco, Puchuncaví, Quintero, Coronel y Hualpén, conforme a lo dispuesto en el Acuerdo N° 10/2024, del Consejo de Ministros para la Sustentabilidad y el Cambio Climático, adoptado en Sesión Ordinaria N° 4, de fecha 3 de mayo de 2024 y en el Acuerdo N° 22/2024, del mismo órgano colegiado, adoptado en su Sesión Ordinaria N° 8, de fecha 12 de septiembre de 2024.
1.6 Déficit Semestral de la Distribuidora
Suma de los montos que no pudieron ser recaudados por la Distribuidora, de conformidad a los balances de las Distribuidoras, determinado en el informe técnico aprobado mediante la resolución exenta N° 672, calculado en conformidad a lo establecido en el inciso segundo del artículo 34° del artículo segundo de la resolución exenta N° 379.
1.7 Diferencias por Compras
Monto de dinero determinado por el Coordinador Independiente del Sistema Eléctrico Nacional, en adelante "Coordinador", para cada contrato, de conformidad a lo establecido en el artículo 17° de la resolución exenta N° 703, correspondiendo a la suma, sobre todas las horas del mes correspondiente, de las diferencias entre los retiros físicos de energía del respectivo contrato de suministro de cada hora valorizados a los costos marginales en los correspondientes puntos de retiro asociados al respectivo sistema de transmisión zonal, y las compras de energía en los puntos de compra en la señalada hora asociada a dichos retiros, valorizadas a los costos marginales de los correspondientes puntos de compra. El referido monto se incorpora, de manera individualizada, dentro de las Diferencias de Facturación, de conformidad a lo dispuesto en el artículo 18° del artículo segundo de la resolución exenta N° 379.
1.8 Diferencias de Facturación
Diferencia en el pago en la facturación de la energía y potencia que se genere entre la aplicación de los niveles de precios fijados en el respectivo contrato y aquellos establecidos para el respectivo contrato en el decreto de precio nudo promedio vigente al momento de aplicación de la tarifa, de conformidad a lo dispuesto en el artículo 18° del artículo segundo de la resolución exenta N° 379.
1.9 Diferencias por Retraso del Decreto
Corresponden a las diferencias de facturación de energía y potencia entre los niveles de precios de los respectivos contratos establecidos en el decreto de precios de nudo promedio, que se haya publicado en el Diario Oficial con retraso y aquellos precios que fueron efectivamente aplicados producto del retraso de la publicación del señalado decreto, descontando las diferencias de los Beneficios al Cliente Final resultantes del decreto de precio de nudo promedio publicado con retraso y del decreto de precio de nudo promedio efectivamente aplicados producto del retraso, durante el período de retraso. Este cálculo se realiza de conformidad a lo dispuesto en el artículo 19° del artículo segundo de la resolución exenta N° 379, y en él se consideran las ventas reales en los puntos de compra y durante el período de retraso del decreto antes referido.
1.10 Diferencias de Facturación No Pagadas
Corresponden a las diferencias de valoración mensual de los respectivos contratos o del decreto respectivo para el caso de los sistemas medianos y los precios establecidos en el decreto de precios de nudo promedio vigente al momento de la facturación para el correspondiente contrato, y toda otra diferencia de facturación que no haya sido pagada a los suministradores ni reconocida a través de documentos de pago, contabilizadas entre el 1 de marzo de 2024 y el 30 de junio de 2024, de conformidad a lo establecido en el inciso cuarto del artículo segundo transitorio de la ley N° 21.667. Este cálculo se realiza de conformidad a lo dispuesto en el artículo 19° bis del artículo segundo de la resolución exenta N° 379.
En consistencia con la definición del párrafo precedente, para efectos del presente decreto las Diferencias de Facturación No Pagadas consideran las Diferencias por Retraso del decreto, Diferencias de Facturación y las Diferencias por Compra, contabilizadas entre el 1 de marzo de 2024 y el 30 de junio de 2024.
Cabe hacer presente que de conformidad al artículo 18° del artículo segundo de la resolución exenta N° 379, las Diferencias por Compras consideran una ventana de tiempo de 6 meses correspondiente al mismo semestre del año anterior al de la vigencia de la respectiva fijación tarifaria, determinadas por el Coordinador de conformidad a lo dispuesto en el artículo 17° de la resolución exenta N° 703, ajustadas a una misma base monetaria conforme las variaciones mensuales que experimente el Índice de Precios al Consumidor, publicado por el Instituto Nacional de Estadísticas.
1.11 Excedente Semestral de la Distribuidora
Suma de los montos de exceso de recaudación por parte de la Distribuidora, según los balances de las Distribuidoras, calculado de conformidad a lo establecido en el artículo 34° del artículo segundo de la resolución exenta N° 379.
1.12 Fondo de Estabilización de Tarifas
Corresponde al fondo a que se refiere el artículo 212°-14 de la ley, el cual es administrado por la Tesorería General de la República, cuyo objeto es la estabilización de las tarifas eléctricas para clientes regulados y el pago de los saldos originados por la aplicación de las leyes N° 21.185 y N° 21.472, y sus modificaciones, y el financiamiento del subsidio transitorio al pago del consumo de energía eléctrica para usuarios residenciales establecido en el artículo sexto transitorio de la ley N° 21.667.
1.13 Mecanismo de Protección al Cliente ("MPC")
Mecanismo a que se refiere el artículo 2 de la ley N° 21.472, que estabiliza los precios de energía, para el Sistema Eléctrico Nacional y los sistemas medianos, complementario a aquel establecido en la ley N° 21.185, para los clientes sujetos a regulación de precios suministrados por Distribuidoras reguladas por la ley.
1.14 Precios de Nudo de Corto Plazo de energía y potencia de punta
Son aquellos precios fijados semestralmente conforme a lo establecido en el artículo 160° de la ley y demás normativa vigente.
1.15 Precios de Nudo de Largo Plazo de energía y potencia
Son aquellos precios que debe pagar una Distribuidora a su suministrador en virtud del contrato de suministro respectivo, suscrito a partir de las licitaciones públicas reguladas en conformidad a los artículos 131° y siguientes de la ley.
1.16 Saldos Contabilizados según ley N° 21.185 o Saldos PEC
Corresponde a los saldos originados con motivo de la aplicación del mecanismo de estabilización de precios establecido en el artículo 1° de la ley N° 21.185, contabilizados de conformidad a lo dispuesto en la resolución exenta N° 379.
1.17 Saldo Final Restante
Corresponde al valor acumulado de Beneficios a Cliente Final aplicado por las Distribuidoras más los costos financieros indicados en el artículo 6 de la ley N° 21.472, al que deberán descontarse los pagos realizados por la Tesorería General de la República, de conformidad a lo establecido en el artículo 10 del mismo cuerpo legal.
A su vez, conforme a lo señalado en el literal ii) del artículo 3 del artículo segundo de la resolución exenta N° 379, en consideración a lo establecido en el artículo 14° de la ley N° 21.472 y el artículo segundo transitorio de la ley N° 21.667, para efectos de la contabilización del Saldo Final Restante, se considerará adicionalmente el valor de pago de los documentos de pago emitidos en conformidad a lo señalado en los referidos artículos y de acuerdo a lo dispuesto en los Artículos 19° bis y 21° del artículo segundo de la resolución exenta N° 379, y sus costos financieros correspondientes, descontados los pagos realizados por los respectivos documentos de pago.
1.18 Consideraciones Generales
Para los efectos del presente decreto, el precio de nudo promedio corresponderá al promedio de los precios de nudo de largo plazo vigentes para los suministros, conforme a la modelación de los contratos de las Distribuidoras, ponderando cada precio por el volumen de suministro correspondiente.
En el caso que una Distribuidora, a la fecha de entrada en vigencia del presente decreto, tenga suministros sujetos a Precio de Nudo de Corto Plazo, el precio de nudo promedio se obtendrá considerando esos suministros con criterios similares a los contratos licitados, constituyéndose entonces como un contrato recogido en el cálculo del precio de nudo promedio.
La modelación de los contratos de suministro, elaborada por la Comisión con ocasión de la realización de su informe técnico, considera los índices disponibles al momento en que realiza el cálculo. Lo anterior, sin perjuicio del pago que deban realizar las Distribuidoras a sus suministradores, de acuerdo a lo establecido en sus respectivos contratos.
Se considerarán para el MPC solo aquellos contratos que iniciaron suministro antes de 2021. No obstante, de conformidad a lo dispuesto en el inciso segundo del artículo segundo transitorio de la ley N° 21.667, en la determinación de las Diferencias de Facturación No Pagadas y su posterior remuneración a través de documentos de pago, se consideran todos los contratos de suministro.
2 PRECIOS DE NUDO DE LARGO PLAZO
2.1 Precios de Nudo de Largo Plazo de energía y potencia, Precios de Nudo de Largo Plazo y Cargo Equivalente de Transmisión
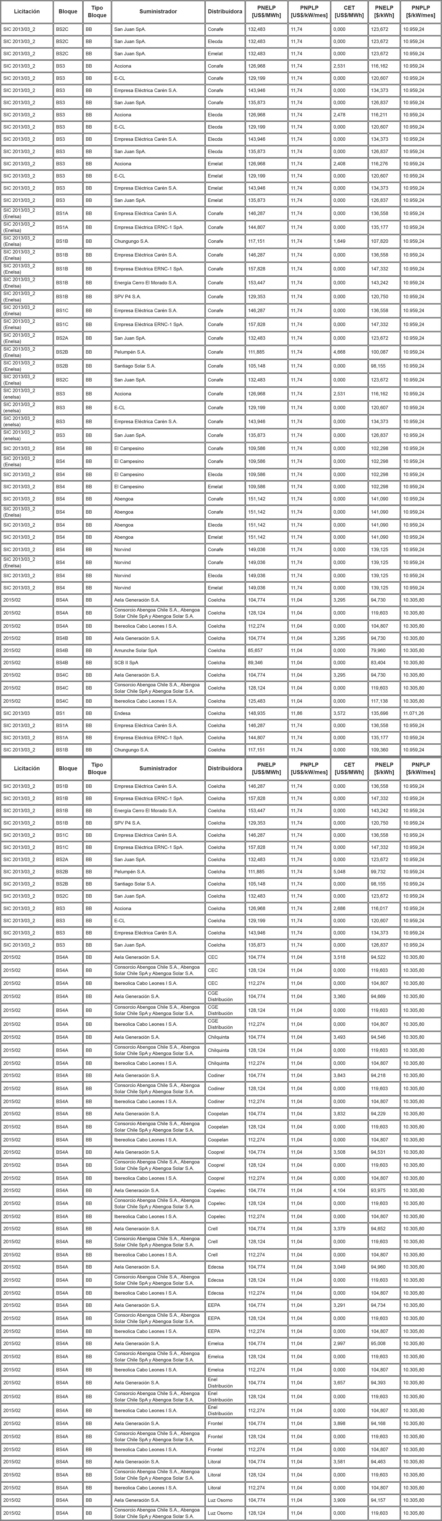
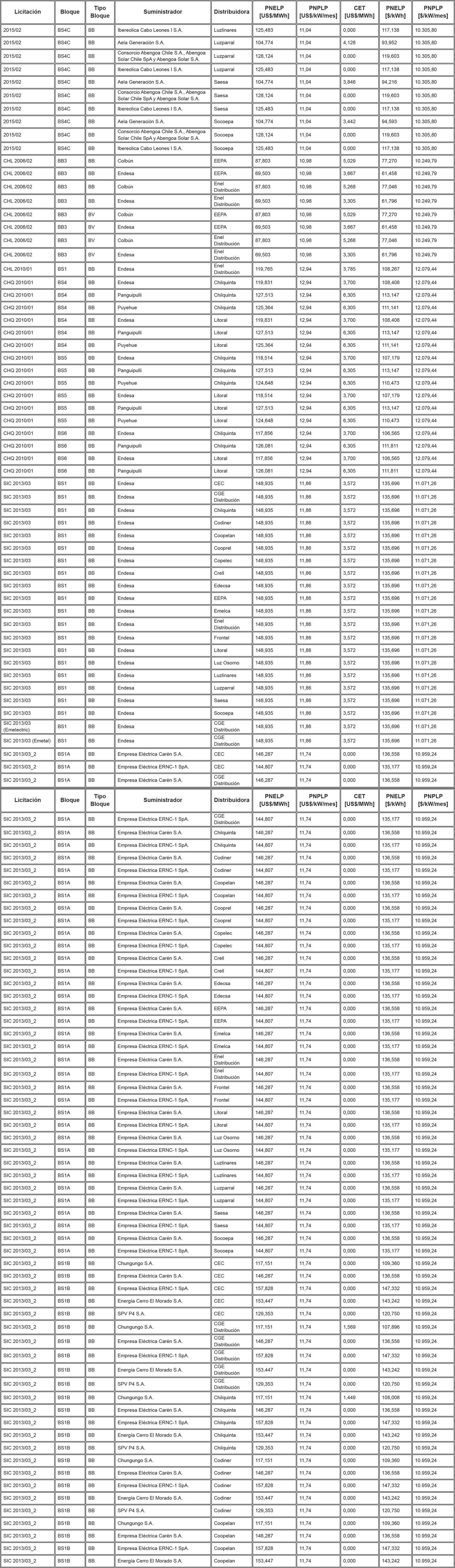
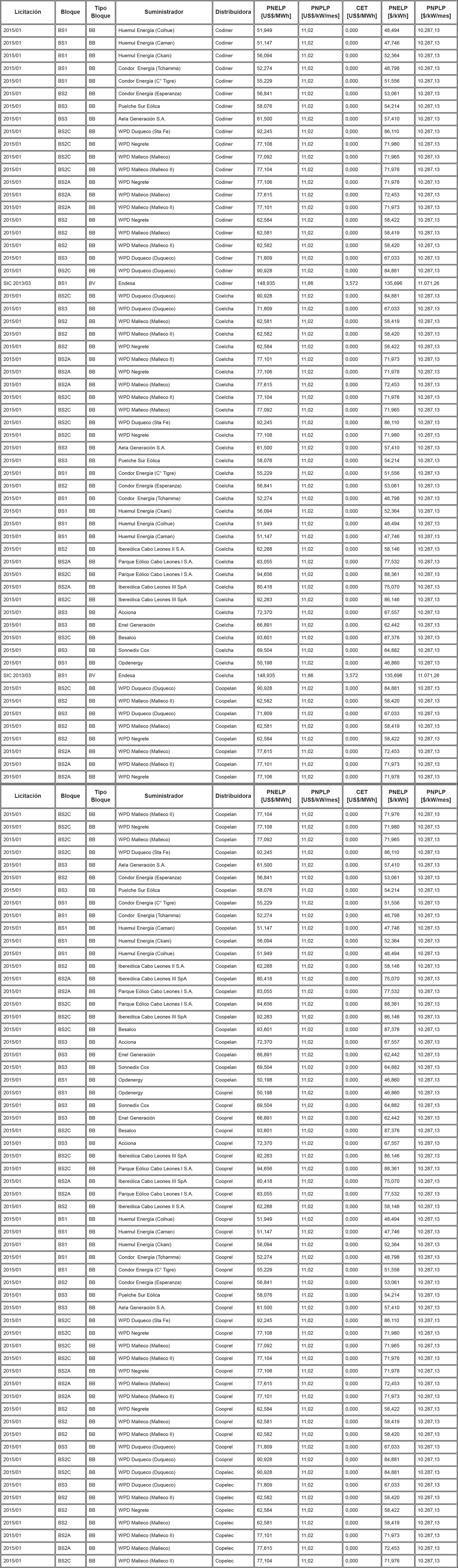
Los Precios de Nudo de Largo Plazo de energía y potencia, de acuerdo con lo señalado en los artículos 6° y 11° de la resolución exenta N° 703, y los descuentos del monto del Cargo Equivalente de Transmisión Final ("CET") en el precio total de energía de los contratos modificados de acuerdo a lo señalado en el artículo vigesimoquinto transitorio, letra E. Numeral i., de la ley N° 20.936 y en la resolución exenta N° 7, son los que se indican en la siguiente tabla:
Tabla 1: Precio de Nudo de Largo Plazo en Sistema Eléctrico Nacional
















Para estos efectos, se han considerado las empresas que resultaron adjudicadas en las respectivas licitaciones, sin perjuicio de las posteriores cesiones de contratos y cambios en la persona jurídica del suministrador.
Adicionalmente, en conformidad a lo dispuesto en el numeral 6 del artículo 3° de la ley N° 21.472, para el caso de los sistemas medianos, la componente de energía y potencia será estabilizada y fijada semestralmente de acuerdo con las condiciones definidas en los numerales anteriores del citado artículo y las demás disposiciones de la referida ley.
Tabla 2: Precios de Nudo de Largo Plazo en los Sistemas Medianos

3 SALDOS CONTABILIZADOS SEGÚN LEY N° 21.185 Y MONTO DE PAGO DE LOS SALDOS PEC
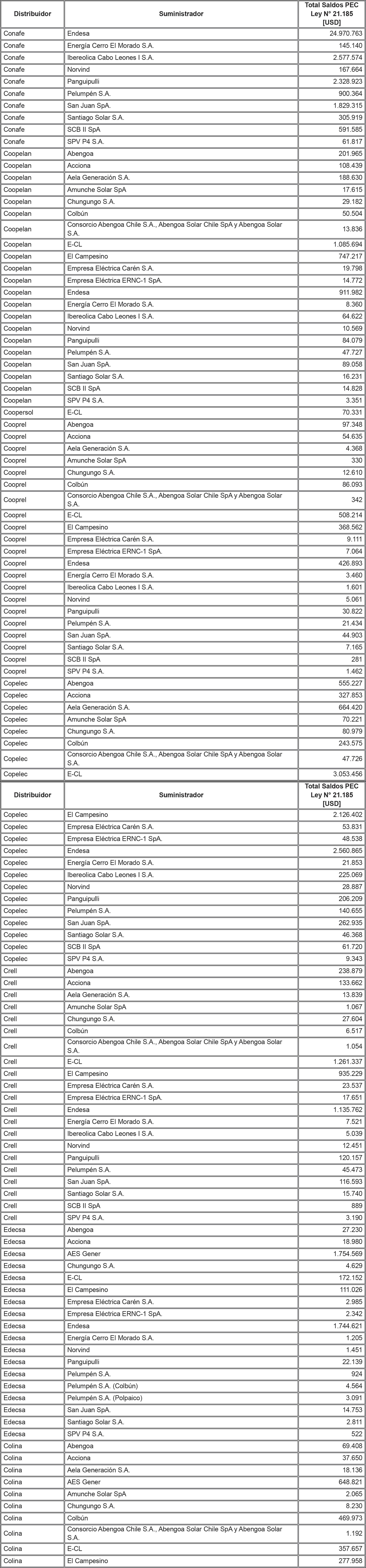
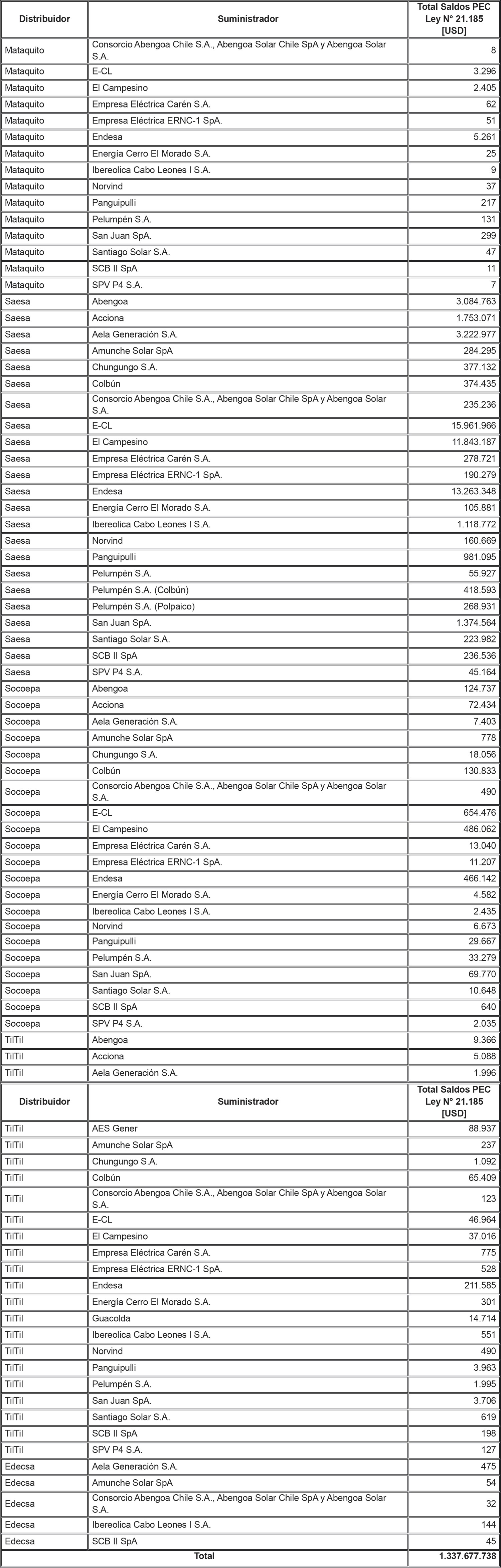
Conforme a lo dispuesto en la ley N° 21.472, y el artículo 41 del artículo segundo de la resolución exenta N° 379, el presente decreto deberá indicar los saldos originados con motivo de la aplicación del mecanismo de estabilización de precios establecido en el artículo 1° de la ley N° 21.185, contabilizados de conformidad a lo dispuesto en la resolución exenta N° 379, así como los montos de pago de los Saldos PEC para el periodo semestral correspondiente.
De acuerdo a lo señalado precedentemente, la siguiente tabla contiene los saldos antes mencionados del Sistema Eléctrico Nacional, identificando al suministrador acreedor de dichos saldos y la Distribuidora deudora correspondiente:
Tabla 3: Saldos por suministrador - Distribuidora SEN





Se hace presente que se realizó una corrección de los Saldos Contabilizados según ley N° 21.185, en particular, respecto de la contabilización del déficit de suministro correspondiente a la empresa concesionaria Coopelan, el cual ya había sido incorporado como traspaso de excedentes en el decreto supremo N° 16T/2020, de conformidad al artículo 88 del decreto supremo N° 106, y el inciso final del artículo 13° de la resolución exenta N° 342.
Los detalles de los saldos de los sistemas medianos, identificando al suministrador acreedor de dichos saldos y la Distribuidora deudora correspondiente, se indican a continuación:
Tabla 4: Saldos por suministrador - Distribuidora sistemas medianos

El detalle de los saldos totales acumulados de cada contrato se encuentra en el Anexo N° 3 del informe técnico definitivo para la fijación de precios de nudo promedio, cuyo texto fue aprobado por la resolución exenta N° 672, el cual se encuentra disponible en el sitio web de la Comisión, en el siguiente link www.cne.cl.
Conforme a lo dispuesto en el artículo 41° del artículo segundo de la resolución exenta N° 379, y lo determinado por la Comisión en el informe técnico definitivo para la fijación de precios de nudo promedio, cuyo texto fue aprobado por la resolución exenta N° 672, teniendo en cuenta los pagos proyectados de saldos provenientes de la ley N° 21.472 y la ley N° 21.667, junto con las proyecciones de ingresos al Fondo de Estabilización de Tarifas, tanto del Cargo por Servicio Público como por el Cargo MPC, y la implementación del subsidio al que se refiere el artículo sexto transitorio de la ley N° 21.667, así como la necesidad de contar con recursos suficientes ante las obligaciones del referido fondo, para el período tarifario regulado por el presente acto administrativo se realizará el pago 100 millones de dólares de Saldos PEC, correspondientes al monto mínimo de pago establecido en la resolución exenta N° 379.
Tabla 5: Pago de Saldos PEC primer semestre 2025

En relación a los montos de facturación no recaudados por los suministradores, originados con posterioridad a la acumulación del saldo no recaudado de 1.350 millones de dólares de los Estados Unidos de América, conforme a lo establecido en el numeral 4 del artículo 1 de la ley N° 21.185, denominado Exceso de Saldos de ley N° 21.185, a los que se refieren el artículo 14 de la ley N° 21.472 y el artículo 21° del artículo segundo de la resolución exenta N° 379, debido a que durante el correspondiente periodo semestral no se han generado dichos saldos, estos no se encuentran contabilizados en el informe técnico definitivo para la fijación de precios de nudo promedio, cuyo texto fue aprobado por la resolución exenta N° 672 y tampoco se incluyen en el presente acto administrativo.
4 SALDO FINAL RESTANTE Y SU VARIACIÓN SEMESTRAL
De conformidad a lo dispuesto en el artículo 5 de la ley N° 21.472 y en el artículo 12 del artículo segundo de la resolución exenta N° 379, el presente decreto contiene el Saldo Final Restante por suministrador, de acuerdo a la siguiente tabla:
Tabla 6: Saldo Final Restante

Asimismo, en atención a lo establecido en el artículo 15° del artículo segundo de la resolución exenta N° 379, en la siguiente tabla se señalan las variaciones de los Saldos Finales Restantes generados en el período semestral anterior, lo que corresponde a las diferencias entre los meses de julio de 2024 a octubre de 2024.
Tabla 7: Variaciones de los Saldos Finales Restantes generados en el período semestral anterior

5 DIFERENCIAS DE FACTURACIÓN NO PAGADAS
El inciso cuarto del artículo segundo transitorio de la ley N° 21.667 dispuso que las Diferencias de Facturación No Pagadas, contabilizadas entre el 1 de marzo de 2024 y el 30 de junio de 2024, deben ser incorporadas en el presente acto administrativo, para que posteriormente sean remuneradas a través del mecanismo de documentos de pago.
El detalle de las Diferencias de Facturación No Pagadas, desglosadas por Diferencias de Facturación, Diferencias por Compras y Diferencias por Retraso del decreto, calculadas en conformidad a lo dispuesto en el artículo 19° bis del artículo segundo de la resolución exenta N° 379, se detallan en la siguiente tabla:
Tabla 8: Diferencias de Facturación No Pagadas

Una vez publicado en el Diario Oficial el presente decreto, los suministradores podrán emitir al Coordinador un documento de cobro por las Diferencias de Facturación No Pagadas señaladas en la tabla precedente en la columna Diferencias traspasables a Documento de Pago, conforme a lo dispuesto en el artículo 19 bis de la resolución exenta N° 379. En el plazo de tres días contados desde la recepción del documento de cobro, el Coordinador deberá verificar que los datos son consistentes con lo establecido en este acto administrativo e informará al Ministerio de Hacienda, quien instruirá a la Tesorería General de la República emitir los respectivos documentos de pago, junto con informar los antecedentes necesarios para ello, pudiendo delegar dicha función mediante resolución emitida por el Ministerio de Hacienda.
En caso de que el Coordinador detecte disconformidades en la información señalada, en el mismo plazo de tres días indicado anteriormente, deberá solicitar al suministrador la corrección de los datos del documento de cobro, previo a proceder a informar al Ministerio de Hacienda conforme a lo indicado en el párrafo precedente.
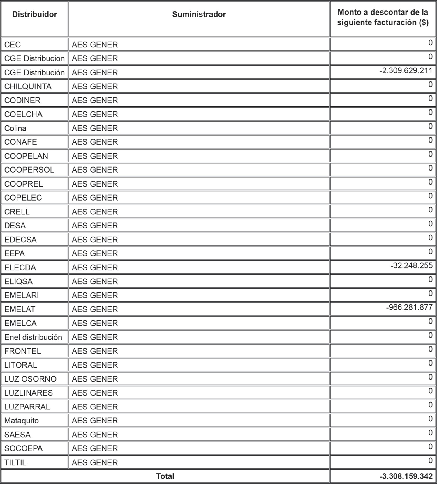
Al consolidar todas las diferencias de facturación no remuneradas, se constata un suministrador que presenta un monto negativo, originado en Diferencias por Retraso del decreto, el cual se debe devolver a las empresas distribuidoras a través de descuentos en la facturación, conforme a lo dispuesto en el artículo 19 del artículo segundo de la resolución exenta N° 379. Dichos montos consolidados fueron asignados a las empresas distribuidoras que deben realizar los descuentos, a proporción del descuento contabilizado para cada distribuidora previo a la consolidación de saldos. Acorde a lo descrito anteriormente, a continuación, se muestran los descuentos que deben realizar las empresas distribuidoras a los suministradores con diferencias de facturación no remuneradas netas negativas.
Tabla 9: Descuentos por concepto de diferencias de facturación no remuneradas

De acuerdo a lo dispuesto en el artículo 19 del artículo segundo de la resolución exenta N° 379, estas Diferencias por Retraso del decreto se deben reconocer en la determinación del nivel tarifario del presente período tarifario. Para estos efectos, se totaliza la suma de las Diferencias por Retraso del decreto señaladas en la tabla precedente y, considerando la demanda esperada de energía para el presente período tarifario, se establece un cargo por unidad de energía para cada Distribuidora que será adicionado al correspondiente precio de nudo promedio.
Conforme a lo anterior, el cargo por unidad de energía resultante de Diferencias de Facturación de la presente fijación corresponde a -0,216 $/kWh, el que será aplicado al precio de nudo promedio.
6 TRANSFERENCIAS ENTRE DISTRIBUIDORAS Y EXCEDENTE O DÉFICIT SEMESTRAL DE LA DISTRIBUIDORA
En atención a lo dispuesto en la letra d) del artículo 12° del artículo segundo de la resolución exenta N° 379, corresponde que en el presente decreto se incorporen las transferencias entre Distribuidoras, resultantes de los cálculos del Balance de la Distribuidora realizados conforme a lo dispuesto en el artículo 34° de la misma resolución.
Asimismo, el inciso final del artículo 4 de la ley N° 21.472 establece que el Déficit Semestral de la Distribuidora, en caso de existir, debe ser incorporado al Beneficio al Cliente Final.
Conforme a lo anterior, en la tabla siguiente se detalla el resultado del Balance de la Distribuidora, las transferencias entre Distribuidoras y el Excedente o Déficit semestral de la Distribuidora resultante de tal ejercicio.
Tabla 10: Transferencias entre Distribuidoras y Excedente o Déficit Semestral de la Distribuidora

Por su parte, como se establece el inciso final del artículo 34° del artículo segundo de la resolución exenta N° 379, en el caso que exista excedente de recaudación por parte de las distribuidoras, este monto deberá ser descontado a través del cargo por unidad de energía, señalado en el inciso séptimo del artículo 18° del artículo segundo de la referida resolución. Particularmente, como resultado del excedente observado en la Tabla anterior, se debe adicionar un cargo por excedente o déficit de recaudación de la distribuidora de -2,332 $/kWh al precio de nudo promedio.
7 PRECIOS DE NUDO PROMEDIO APLICABLES A CLIENTES REGULADOS
Los precios de nudo en nivel de distribución determinados para cada Distribuidora y sistema de transmisión zonal, incorporan los ajustes señalados por el Mecanismo de Protección al Cliente, teniendo en consideración que el numeral 4. del artículo 3 de la ley N° 21.472, dispone que desde comienza a regir el segundo período tarifario del año 2024 ya no existirán distinciones entre Clientes Regulados sobre la base de su consumo de energía, para los efectos de determinar los precios de energía y potencia que las concesionarias de servicio público de distribución pueden traspasarles, debiendo estas traspasar a todos ellos los precios definidos en el presente acto administrativo.
Los valores que las Distribuidoras podrán traspasar a sus Clientes Regulados se indican en la Tabla 14 para cada Distribuidora y sector de nudo asociado al sistema de transmisión zonal en donde se ubica el cliente respectivo, considerando la siguiente clasificación para las empresas distribuidoras presentes en más de un sector de nudo:
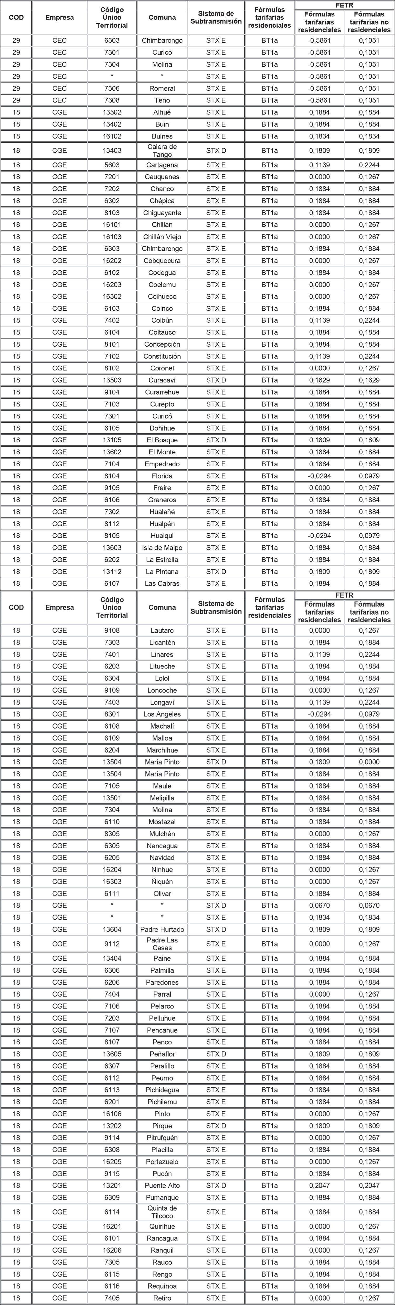
Tabla 11: Comunas por sistema de transmisión zonal

Los precios de nudo promedio de energía y de potencia en nivel de distribución, sin considerar cargo o descuento por Reconocimiento de Generación Local y el cargo o descuento establecido en el inciso segundo del artículo séptimo transitorio de la ley N° 21.667 para cada concesionaria y sistema de transmisión zonal, incorporando el respectivo recargo AR, son los que se presentan a continuación:
Tabla 12: Precios en nivel distribución y AR

Conforme a lo dispuesto en el inciso segundo del artículo séptimo transitorio de la ley N° 21.667, en los procesos de fijación de precios de nudo promedio, en aquellas comunas reconocidas como zonas en transición por el Consejo de Ministros para la Sustentabilidad y el Cambio Climático, se aplicará un descuento del 40% a la componente de energía del precio de nudo establecido en el punto de conexión con las instalaciones de distribución que las empresas distribuidoras traspasan a los clientes sometidos a regulación de precios.
En este contexto, el Consejo de Ministros para la Sustentabilidad y el Cambio Climático, ha reconocido como zonas en transición, para efectos de la aplicación de lo dispuesto en el artículo séptimo transitorio de la ley N° 21.667, a las siguientes comunas:
Tabla 13: Comunas reconocidas como zonas en transición

Este descuento será absorbido por todos los suministros de clientes sometidos a regulación de precios del resto de las comunas del respectivo sistema eléctrico, lo que no podrá implicar un alza superior al 1% en la cuenta de un consumo tipo de un cliente residencial de aquellas comunas. Cabe señalar que este descuento se aplica de manera acumulativa a los descuentos establecidos en los artículos 157° y 191° de la ley.
El monto de descuento o absorción del descuento establecido en el artículo séptimo transitorio de la ley N° 21.667 se encuentra detallado en la Tabla 14 siguiente:
Tabla 14: Precios de energía y potencia en nivel de distribución





Donde:
PNEP:Precio de nudo de la energía promedio para todas las subestaciones del sistema de transmisión nacional de generación-transporte de la Distribuidora, en [$/kWh]. Este precio considera el Cargo Unitario SSR y los descuentos señalados en los puntos 5 y 6 del presente artículo.
PNPP:Precio de nudo de la potencia de punta promedio para todas las subestaciones del sistema de transmisión nacional de generación-transporte de la Distribuidora, en [$/kW/mes].
Pe :Precio de nudo de la energía en nivel de distribución, en [$/kWh].
Pp :Precio de nudo de la potencia en nivel de distribución, en [$/kW/mes].
CD RGL:Cargo o descuento a nivel de distribución aplicable a los clientes regulados de la Distribuidora por comuna, resultante de la aplicación del artículo 157° de la Ley, estabilizado mediante la ley N° 21.472, en [$/kWh]. Se entenderá que el factor CD RGL corresponde a un descuento cuando su valor sea negativo y a un cargo cuando su valor sea positivo.
De acuerdo a lo establecido en el numeral 7 del artículo 3 de la ley N° 21.472, respecto a los CD RGL, se han mantenido los mismos factores de intensidad y los descuentos por porcentaje de aporte, establecidos en el informe técnico definitivo que dio origen al decreto N° 9T/2022.
7° transitorio:Cargo o descuento a nivel de distribución aplicable a los clientes regulados de la Distribuidora, resultante de la aplicación del descuento a la componente de energía del precio de nudo a las comunas reconocidas como zonas en transición dispuesto en el artículo séptimo transitorio de la ley N° 21.667 y su absorción por todos los suministros de clientes sometidos a regulación de precios del resto de las comunas del respectivo sistema eléctrico, en [$/kWh]. Se entenderá que el factor 7° transitorio corresponde a un descuento cuando su valor sea negativo, lo que aplica a todas aquellas comunas que han sido reconocidas como zonas en transición, y a un cargo cuando su valor sea positivo, lo que aplica a todas aquellas comunas del respectivo sistema eléctrico, que no han sido reconocidas como zonas en transición.
Para el caso particular de los sistemas medianos de Cochamó y Hornopirén pertenecientes a la zona de concesión de Saesa, no serán aplicables los cargos correspondientes a los parámetros AR y CD RGL. Asimismo, el cargo por aplicación del artículo séptimo transitorio de la ley N° 21.667 no aplicará a dichos sistemas medianos.
Los precios de energía a nivel de distribución traspasables a Clientes Regulados por las Distribuidoras Edelaysen y Edelmag son los que se establecen a continuación:
Tabla 15: Precios en Nivel de distribución Sistemas Medianos

En los sistemas medianos de Punta Arenas, Puerto Natales, Porvenir y Puerto Williams y de Aysén, Palena y General Carrera, los precios de nudo de energía y potencia de punta que se aplicarán a los suministros servidos en la barra de retiro para el nivel de tensión que se indica, corresponden a los indicados en la Tabla 2.
En la Tabla 15, los valores correspondientes a "Precios fijación PNP enero 2025" se obtienen aplicando los factores Ni, que se señalan en la tabla siguiente:
Tabla 16: Ponderadores Ni para precios traspasables a cliente final en los sistemas medianos

8 GRAVÁMENES E IMPUESTOS
Las tarifas establecidas en el presente decreto son netas y no incluyen el impuesto al valor agregado ni otros impuestos o tributos que sean de cargo de los Clientes.
9 RELIQUIDACIONES ENTRE CONCESIONARIAS
El Coordinador determinará las reliquidaciones entre concesionarias producto de la aplicación del artículo 157° de la ley.
Artículo segundo: Fíjanse los ajustes y recargos a que da origen el mecanismo de equidad tarifaria residencial establecido en el artículo 191° de la ley y las condiciones de aplicación del mismo.
1. MECANISMO DE EQUIDAD TARIFARIA RESIDENCIAL
De conformidad a lo establecido en los incisos segundo y siguientes del artículo 191° de la ley, en el conjunto de los sistemas eléctricos con capacidad instalada superior a 1.500 kilowatts, las tarifas máximas que las Distribuidoras podrán cobrar por suministro a usuarios residenciales no podrán superar el promedio simple de éstas, calculadas sobre la base de un consumo tipo, incrementado en un 10% del mismo, considerando una muestra representativa. En caso de que dichas tarifas excedan el porcentaje señalado, se deberá aplicar un ajuste a la componente contemplada en el número 3 del artículo 182° de la ley. Si a pesar de ello no se lograre alcanzar el porcentaje antes mencionado, se aplicará el máximo descuento obtenido, sin que procedan ajustes adicionales.
Las diferencias serán absorbidas progresivamente por todos los demás suministros sometidos a regulación de precios que estén bajo el promedio señalado, con excepción de aquellos usuarios residenciales cuyo consumo promedio mensual de energía del año calendario anterior sea menor o igual a 200 kWh, de modo que no varíe la recaudación total inicial. Sin perjuicio de lo anterior, las tarifas correspondientes a aquellos usuarios residenciales que deban absorber las diferencias señaladas, no podrán resultar superiores al promedio simple de éstas.
Los ajustes y recargos que se originen con motivo de la aplicación del mecanismo antes señalado, se implementarán mediante la aplicación de los factores de equidad tarifaria residencial ("FETR") a las correspondientes fórmulas tarifarias señaladas en el decreto N° 5T/2024.
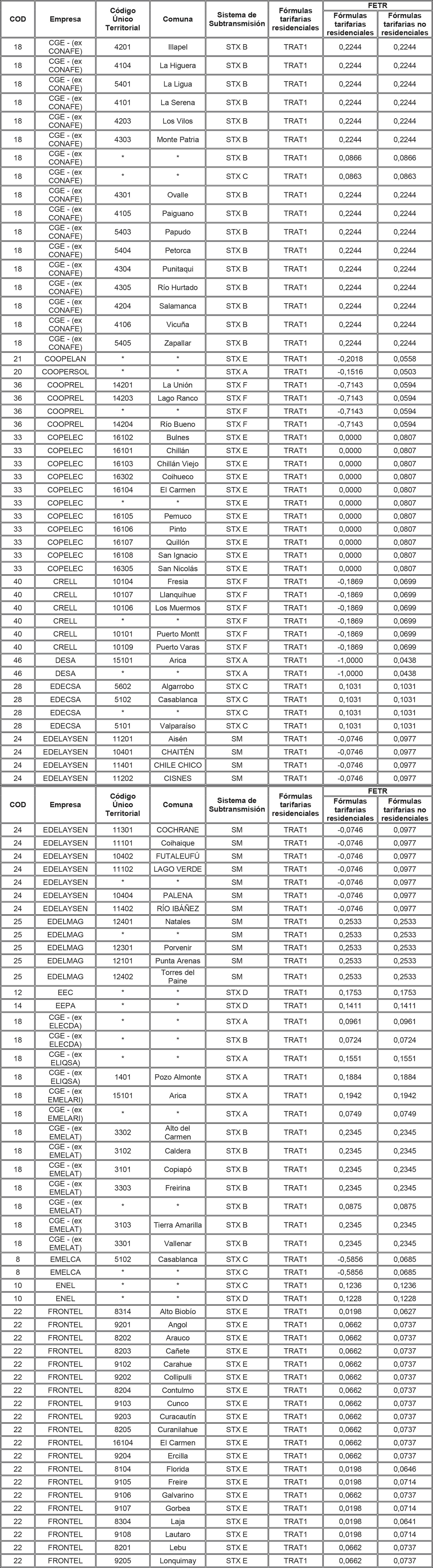
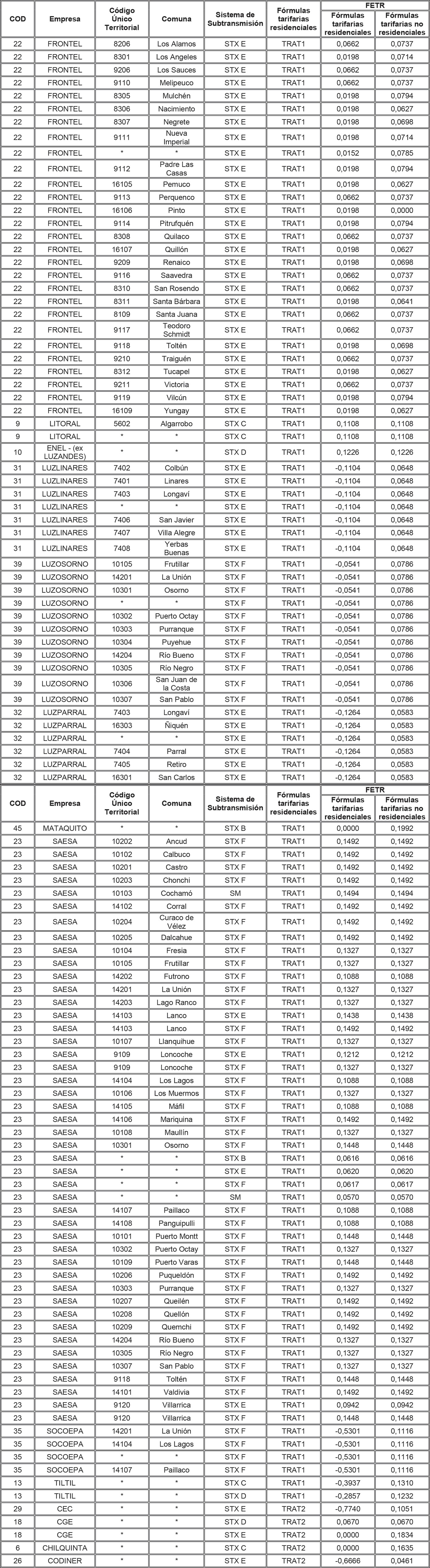
2. FACTORES DE EQUIDAD TARIFARIA RESIDENCIAL
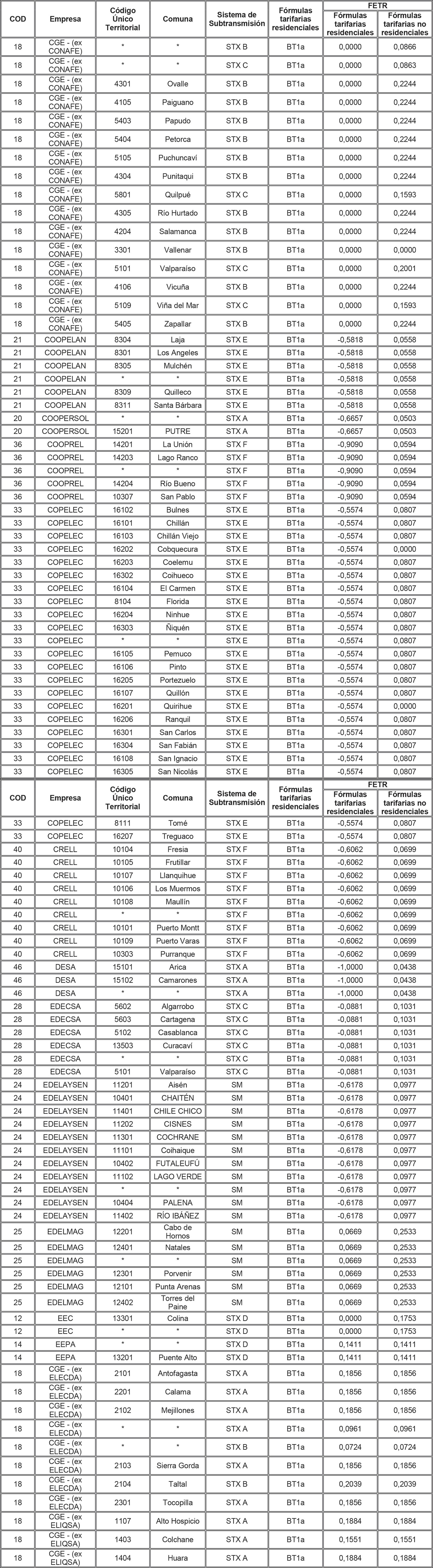
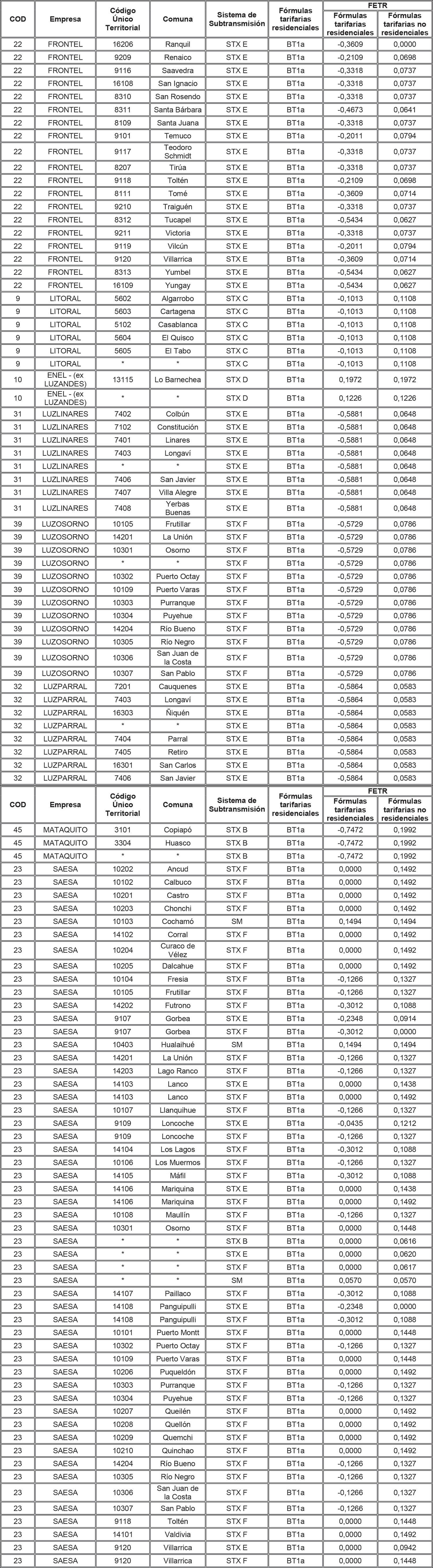
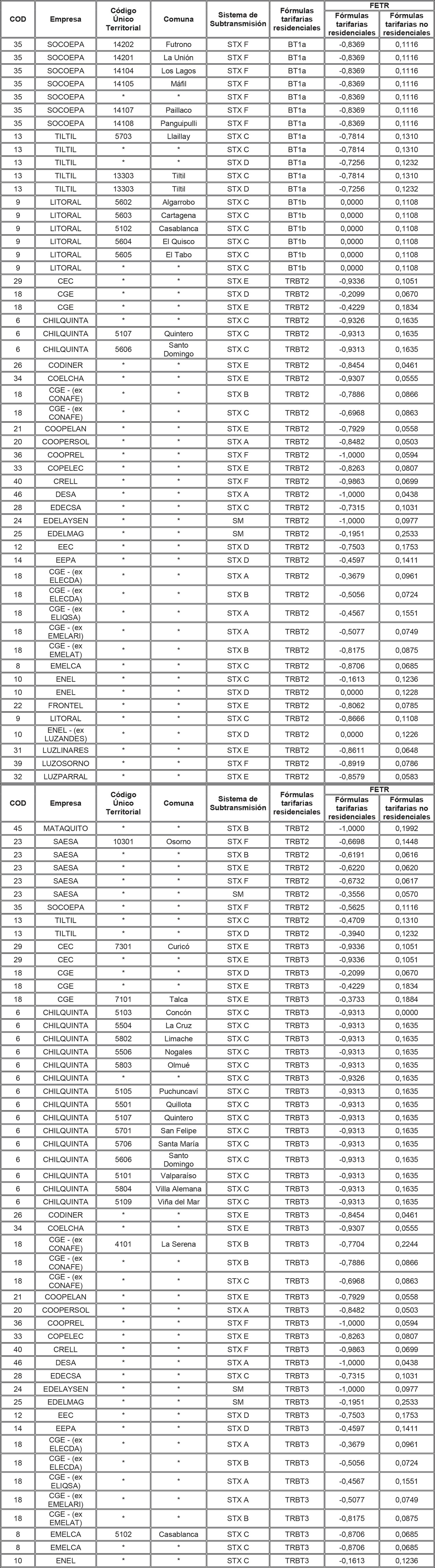
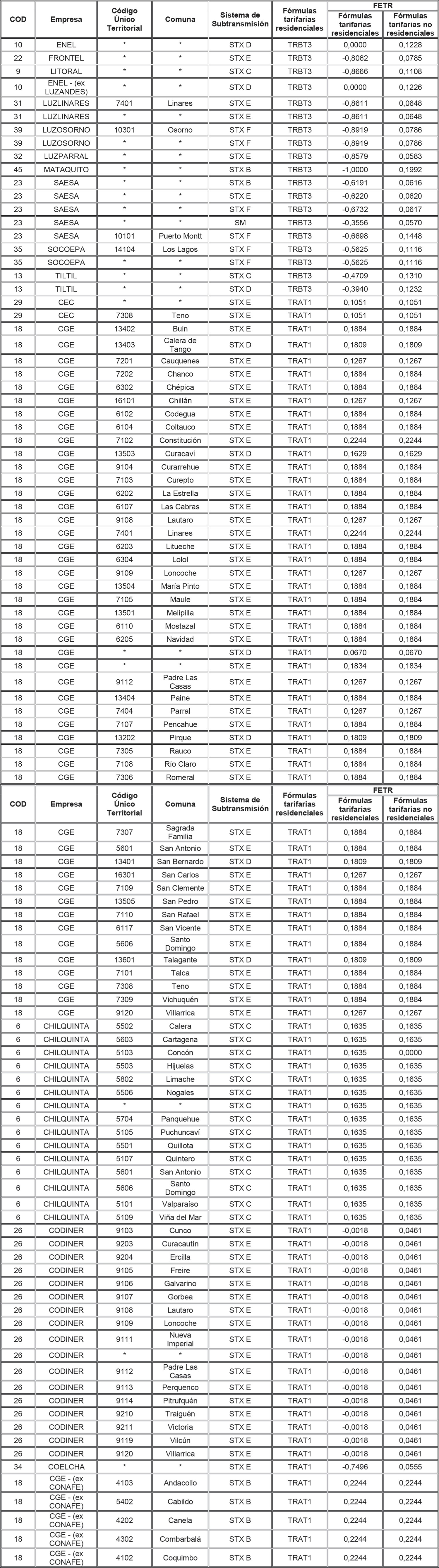
Los FETR aplicables a la componente contemplada en el número 3 del artículo 182° de la ley, según se indica en las correspondientes fórmulas tarifarias contenidas en el decreto N° 5T/2024, corresponden a los siguientes:
Tabla 17: Factores de equidad tarifaria










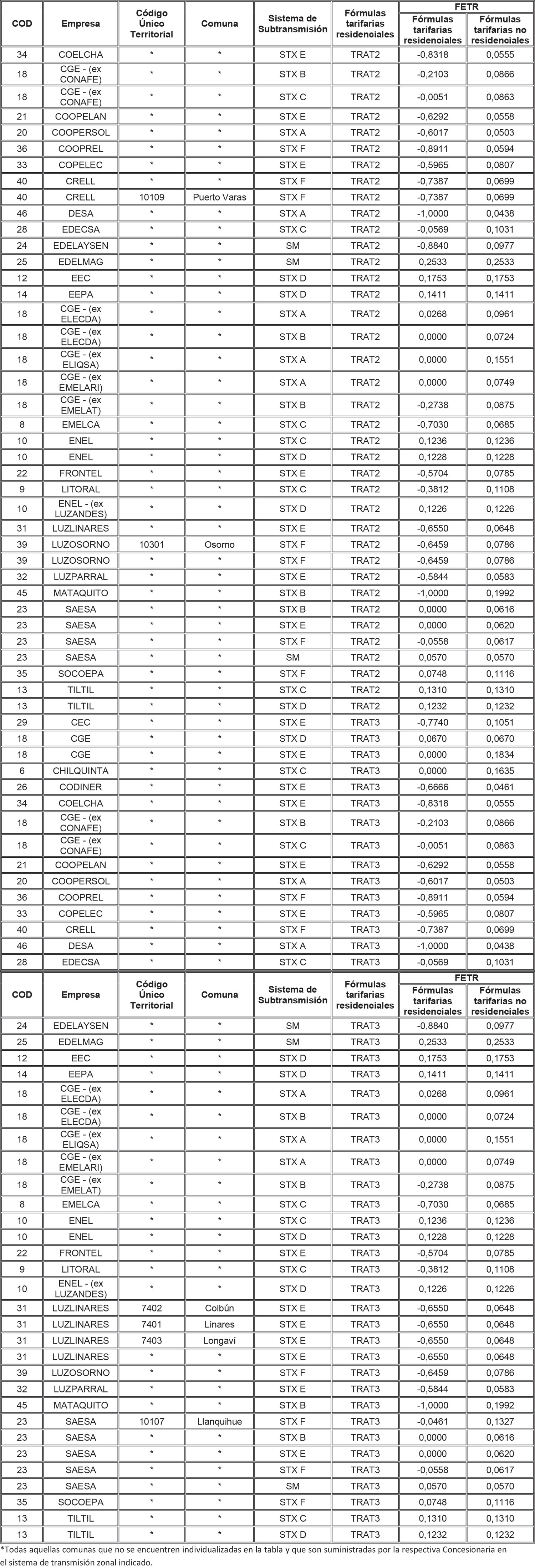
En particular, para las combinaciones individualizadas en la siguiente tabla, se deben aplicar los factores señalados a continuación, sólo para los tipos de suministro indicados. Lo anterior, debido a que dado el nivel de precios de estas combinaciones, al considerar los factores de modulación de costos subterráneos, establecidos en el numeral 7.11, del artículo primero, del decreto N° 5T/2024, se hace necesario determinar un FETR particular para resguardar los criterios establecidos en el artículo 191° de la Ley sobre las Tarifas Máximas que las empresas distribuidoras podrán cobrar por suministro a usuarios residenciales (no podrán superar el promedio simple de éstas, calculadas sobre la base de un consumo tipo, incrementado en un 10% del mismo, considerando una muestra representativa) y sobre el efecto en las tarifas de los clientes residenciales que deban absorber las diferencias (que no podrán resultar superiores al promedio simple de estas).
Tabla 18: Factores de equidad tarifaria para los tipos suministro señalados


Para aquellas combinaciones empresa/comuna/sistema de transmisión zonal que no tienen asignado en la tabla anterior un FETR para alguna de las tarifas residenciales, se deberá aplicar el FETR determinado para la combinación empresa/sistema de transmisión zonal/tarifa, determinado para aquellas comunas no individualizadas (es decir, que presentan un * en la columna Comuna de la tabla anterior).
No obstante lo señalado en el párrafo anterior, y considerando que para la presente fijación no se cuenta con información histórica asociada a los consumos de las opciones tarifarias residenciales TRBT y TRAT, individualizadas en el numeral 3.1 del artículo primero, del decreto supremo N° 5T/2024, el FETR a utilizar será aquel asociado a la combinación empresa distribuidora, comuna y sistema de transmisión zonal correspondiente a dicho usuario, definido para la tarifa residencial BT1a en la tabla anterior.
Para el caso de los clientes residenciales, cuyo consumo promedio mensual de energía del año calendario anterior haya sido mayor a 200 kWh y menor o igual a 240 kWh, los factores señalados en las tablas precedentes deberán aplicarse conforme las proporciones a que se refiere el inciso segundo del artículo 191° de la ley.
Las transferencias entre concesionarias a que den origen las diferencias de facturación producto de la aplicación del mecanismo de equidad tarifaria residencial serán calculadas por el Coordinador, de acuerdo con lo señalado en la resolución exenta N° 556, de fecha 6 de octubre de 2017, de la Comisión.
Anótese, publíquese y tómese razón.- Por orden del Presidente de la República, Luis Felipe Andrés Ramos Barrera, Ministro de Energía (S).
Lo que transcribo a Ud. para su conocimiento.- Saluda Atte. a Ud., María Fernanda Riveros Inostroza, Jefa División Jurídica, Subsecretaría de Energía.