OTORGA CONCESIÓN DE SERVICIO PÚBLICO DE TELECOMUNICACIONES A LA EMPRESA PACÍFICO CABLE SpA
Santiago, 30 de octubre de 2024.- Con esta fecha se ha decretado lo que sigue:
Núm. 189.
Vistos:
a) El decreto ley N° 1.762, de 1977, que creó la Subsecretaría de Telecomunicaciones, en adelante "la Subsecretaría".
b) La ley N° 18.168, Ley General de Telecomunicaciones, en adelante "la ley".
c) El decreto supremo N° 103, de 2008, del Ministerio de Transportes y Telecomunicaciones, que faculta al Ministro de Transportes y Telecomunicaciones para firmar "Por orden de la Presidenta de la República".
d) El decreto supremo N° 353, de 2001, del Ministerio de Transportes y Telecomunicaciones, Reglamento del Fondo de Desarrollo de las Telecomunicaciones, y sus modificaciones.
e) La resolución N° 7, de 2019, de la Contraloría General de la República, que fija normas sobre exención del trámite de toma de razón.
f) La resolución afecta N° 16, de 2013, de la Subsecretaría, que aprueba las Bases Generales para Concursos Públicos para la Asignación de Proyectos y sus respectivos Subsidios, correspondientes al Programa Anual de Proyectos Subsidiables del Fondo de Desarrollo de las Telecomunicaciones.
g) La resolución afecta N° 1, de 2023, de la Subsecretaría, que aprueba las Bases Específicas del Concurso Público "Habilitación de Servicios de Telecomunicaciones para la Región de Los Lagos y la Región de Magallanes y la Antártica Chilena", Código FDT-2022-04-01, en adelante "el Concurso Público", modificada mediante las resoluciones afectas N° 3 y N° 5, de 2023, de la Subsecretaría.
h) La resolución exenta N° 957, de 2023, de la Subsecretaría, que aprueba el Informe de Respuestas a las Consultas formuladas a las Bases Generales y Específicas del Concurso del literal g) precedente.
i) Los ingresos Subtel N° 110.167, N° 110.192 y N° 110.175, todos de fecha 21.07.2023, por el cual la empresa Pacífico Cable SpA, en adelante "la proponente", presenta su Propuesta al Concurso Público del literal g) de los vistos, para la Zona de Postulación N° 05.
j) Los ingresos Subtel N° 145.009, N° 144.977 y N° 145.017, todos de fecha 04.10.2023, por el cual la proponente da respuesta a los primeros requerimientos aclaratorios formulados por Subtel a su propuesta del literal i), para el Concurso Público del literal g), ambos de estos vistos.
k) Los ingresos Subtel N° 154.295 y N°154.304, ambos de fecha 25.10.2023, por el cual la proponente da respuesta a los segundos requerimientos aclaratorios formulados por Subtel a su propuesta del literal i), para el Concurso Público del literal g), ambos de estos vistos.
l) El ingreso Subtel N°156.568 de fecha 31.10.2023, por el cual la proponente da respuesta a los terceros requerimientos aclaratorios formulados por Subtel a su propuesta del literal i), para el Concurso Público del literal g), ambos de estos vistos.
m) El oficio Ord. N° 16.289 GFDT N° 901, de fecha 21.11.2023, de la Subsecretaría, por el cual se comunica a la empresa Pacífico Cable SpA la adjudicación de su Propuesta presentada para la Zona de Postulación N°05, Código: FDT-2022-01-04-Z05 del Concurso Público "Habilitación de Servicios de Telecomunicaciones para la Región de Los Lagos y la Región de Magallanes y la Antártica Chilena", Código: FDT-2022-04-01.
n) La resolución exenta N° 1.789 de 2024, de la Subsecretaría, que Exime a Concesionarias de Servicio Público que Provean Acceso a Internet Fijo que Indica de Exigencia de Unidad Mínima Geográfica de su Zona de Servicio.
Considerando:
a) Lo solicitado por la interesada mediante ingreso Subtel N° 174.905, de 06.12.2023, complementado mediante ingresos Subtel N° 5.617 de 11.01.2024, N° 22.142 de 15.02.2024, N°59.804 de 07.05.2024 N° 62.546 de 13.05.2024, N° 69.271 de 29.05.2024, N°101.194 de 08.08.2024 y N°103.034 de 12.08.2024 para la Zona N° 05, Código: FDT-2022-01-04-Z05 del Concurso Público "Habilitación de Servicios de Telecomunicaciones para la Región de Los Lagos y la Región de Magallanes y la Antártica Chilena", Código: FDT-2022-04-01, cuya Propuesta consta de los ingresos Subtel señalados en los literales j), k), l), y m) de los vistos.
b) La LXXVIII Sesión del Consejo de Desarrollo de las Telecomunicaciones, de fecha 17.11.2023, mediante la cual el Consejo Adjudica la Zona de Postulación N°05 a la empresa Pacífico Cable SpA.
Decreto:
Otórgase concesión de Servicio Público de Telecomunicaciones, a la empresa Pacífico Cable SpA, RUT N° 96.722.400-6, con domicilio en Avenida Alonso de Córdova N°3788, piso 6, oficina 61-b, comuna de Vitacura, Región Metropolitana de Santiago, en adelante la concesionaria, en el sentido que se indica en los numerandos siguientes:
1. La presente concesión de Servicio Público de Telecomunicaciones se compone de los elementos indicados a continuación:

2. Autorízase a la concesionaria para instalar, operar y explotar la red de transporte, correspondiente a la transmisión entre los POP-OLT, POP-ONT, Splitters ópticos pasivos, y SIO, así como los equipos, componentes y elementos que permiten la provisión del Servicio de Transmisión de Datos, todos ellos objeto del Concurso Público "Habilitación de Servicios de Telecomunicaciones para la Región de Los Lagos y la Región de Magallanes y la Antártica Chilena", Código: FDT-2022-04-01, para la Zona de Postulación N° 05, de acuerdo a lo exigido en las Bases del Concurso y el Proyecto adjudicado, todos indicados en los literales g), h) i), j), k) y l) de los vistos, respectivamente.
3. Autorízase a la concesionaria a instalar, operar y explotar doce (12) nodos de telecomunicaciones:

4. Autorízase a la concesionaria a instalar, operar y explotar doce (12) enlaces ópticos, en los polígonos correspondientes a la zona de Servicio mínima, según se indica a continuación:
4.1. Como parte de la Red de Transporte:

4.2. Como parte de la Red de Acceso:

5. Zona de Servicio y Zona de Servicio Mínima:
5.1 La Zona de Servicio de la Zona N° 05 y la georreferenciación de los polígonos referenciales de localidad indicados en el punto 5.2.1, se encontrará disponible en la página web del Concurso Público, https://www.subtel.gob.cl/ultimamilla-loslagosymagallanes/.
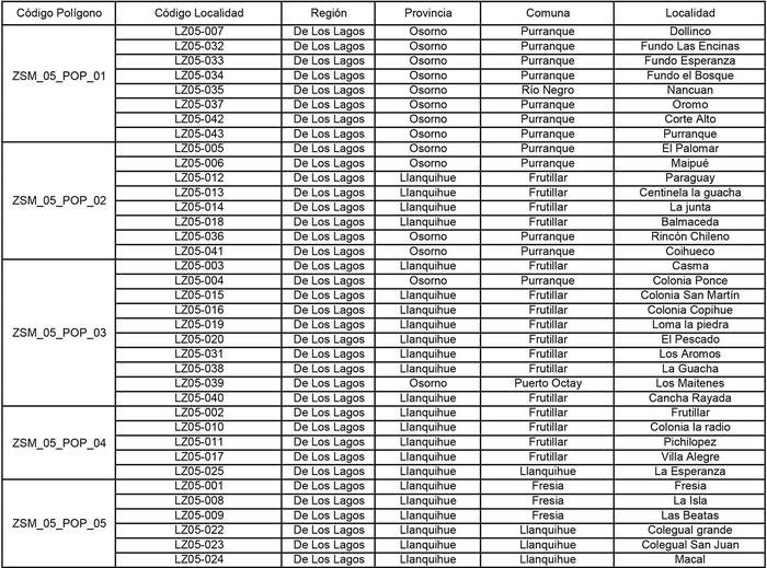
5.2 La Zona de Servicio Mínima corresponderá a lo menos a los seis (6) Polígonos referenciales asociados a las localidades comprometidas en su propuesta del literal j) de los vistos, según se detalla a continuación:
5.2.1 Los polígonos referenciales de localidad son los que se indican a continuación:


5.2.2 La Zona de servicio y la georreferenciación de los polígonos referenciales de localidad indicados en el punto 4.2.1 precedente y la Zona de Servicio, se encontrarán disponibles en la página web del Concurso Público, https://www.subtel.gob.cl/ultimamilla-loslagosymagallanes/.
6. Oferta de Servicios Públicos de la Zona N° 05:
6.1 La Oferta de Servicios Públicos de la Zona de Postulación N° 05 corresponde a la oferta de facilidades a la cual se obliga a la concesionaria a permitir a los Suscriptores y Usuarios de este Servicio acceder al mismo en los términos previstos en las Bases Específicas del literal g) de los vistos, en la ley y el Reglamento de Servicios de Telecomunicaciones. La Oferta de Servicio se deberá hacer efectiva en la totalidad de las Localidades comprometidas para la Zona de Postulación N° 05 objeto de su Propuesta y en toda la Zona de Servicio Mínima del Proyecto Técnico del literal i) de los vistos.
6.2 En las Localidades comprometidas para la Zona de Postulación N° 05, se deberá hacer efectiva la oferta de servicios, siendo sus respectivas prestaciones y tarifas máximas las que se indican a continuación:

6.3 Los planes del Servicio Público que serán comercializados considerarán las siguientes características mínimas de calidad de servicio:
- Un Ancho de Banda de Bajada de 1.000 [Mbps].
- Un Ancho de Banda de Subida de 1.000 [Mbps].
- Un Ancho de Banda de Bajada Internacional de 1.000 [Mbps].
- Una tasa de agregación de 1:64.
7. La oficina de atención a clientes será instalada en la ubicación que a continuación se indica:

8. El período de Obligatoriedad de las Exigencias de las Bases corresponde a diez (10) años, el cual se computa desde la publicación en el Diario Oficial del presente decreto, más el tiempo que medie entre dicha fecha de publicación y la del oficio de recepción conforme de las obras e instalaciones. Durante este periodo, la concesionaria deberá cumplir con las exigencias de las Bases de Concurso y con lo comprometido en la Propuesta, todos indicados en los literales g), h), i), j), k), l), y m) de los vistos, respectivamente, y con los términos de la adjudicación.
9. Los plazos máximos de inicio y termino de obras e inicio de servicios, son lo que se indican a continuación:

La concesionaria deberá ingresar a la Subsecretaría de Telecomunicaciones la solicitud de recepción de las obras e instalaciones, objeto de la presente concesión, con a lo menos treinta (30) días hábiles previos al vencimiento del plazo máximo de inicio de los servicios, de conformidad a lo previsto en el artículo 24A de la ley N° 18.168.
10. El monto de subsidio asignado para el proyecto Concursable, adjudicado a la concesionaria, es el siguiente:

11. Apruébese el Proyecto comprometido, base de la solicitud presentada por la concesionaria, conforme a las disposiciones técnico-legales que rigen el servicio de telecomunicaciones concedido. La documentación respectiva quedará archivada en la Subsecretaría.
12. Es obligación de la concesionaria el conocimiento y cumplimiento de las disposiciones legales, reglamentarias y técnicas que regulan el servicio de telecomunicaciones concesionado, en lo que le sea aplicable. Asimismo, lo establecido en las Bases de Concurso y lo comprometido en la Propuesta adjudicada a la concesionaria, todos indicados en los literales g), h), i), j), k), l), y m) de los vistos, respectivamente, y la solicitud de concesión referenciada en el literal a) de los Considerandos.
13. La concesionaria podrá solicitar la modificación de su concesión, con estricta sujeción a lo dispuesto en las Bases del Concurso y de las Bases Específicas, siempre y cuando no se menoscabe el cumplimiento de los requisitos establecidos en las mismas y el Proyecto Comprometido, asegurando la correcta y adecuada instalación, operación y explotación de los elementos comprometidos en la Zona de Postulación N° 05.
Anótese, tómese razón, comuníquese, notifíquese a la interesada y publíquese en el Diario Oficial.- Por orden del Presidente de la República, Juan Carlos Muñoz Abogabir, Ministro de Transportes y Telecomunicaciones.
Lo que transcribe para su conocimiento.- Saluda atentamente a Ud., Claudio Araya San Martín, Subsecretario de Telecomunicaciones.
CONTRALORÍA GENERAL DE LA REPÚBLICA
División de Infraestructura y Regulación
Cursa con alcances el decreto N° 189, de 2024, del Ministerio de Transportes y Telecomunicaciones
N° 575036/2024.- Santiago, 5 de diciembre de 2024.
La Contraloría General ha dado curso al documento del rubro, que otorga concesión de servicio público de telecomunicaciones a la empresa Pacífico Cable SpA, pero cumple con precisar que la referencia efectuada en su numeral 5.2.2 debe entenderse realizada al numeral 5.2.1 y no al numeral que allí se indica.
Por otra parte, cabe manifestar que ese servicio deberá dar cumplimiento, si procediere y en la oportunidad debida, a lo dispuesto en el inciso segundo del artículo 24 de la ley N° 21.640, de Presupuestos del Sector Público correspondiente al año 2024, en lo que resulte aplicable.
Por orden de la Contralora General de la República.- Saluda atentamente a Ud., Marcela Andrea Brugueras Díaz, Jefe de División (S).
Al señor
Ministro de Transportes y Telecomunicaciones
Presente.