OTORGA CONCESIÓN DE SERVICIO PÚBLICO DE TELECOMUNICACIONES A LA EMPRESA CLARO CHILE SpA EN LA BANDA DE FRECUENCIAS DE 3,55 - 3,60 GHz
Santiago, 26 de noviembre de 2024.- Con esta fecha se ha decretado lo que sigue:
Núm. 214.
Vistos:
a) El decreto ley N° 1.762, que crea la Subsecretaría de Telecomunicaciones, en adelante "la Subsecretaria" o "Subtel".
b) La Ley N° 18.168, General de Telecomunicaciones, en adelante "la ley".
c) La Ley N° 19.880, que establece bases de los procedimientos administrativos que rigen los actos de los órganos de la Administración del Estado.
d) El decreto supremo N° 103 de 2008, del Ministerio de Transportes y Telecomunicaciones, que faculta al Ministro de Transportes y Telecomunicaciones para firmar por "Orden de la Presidenta de la República".
e) El decreto supremo N° 412, de 1995, del Ministerio de Transportes y Telecomunicaciones, que reglamenta el concurso público a que se refiere el artículo 13C de la Ley General de Telecomunicaciones, para otorgar concesiones de servicios públicos de telecomunicaciones, en adelante "el Reglamento".
f) El decreto supremo N° 127, de 2006, del Ministerio de Transportes y Telecomunicaciones, que aprueba el plan general de uso del espectro radioeléctrico, y sus modificaciones.
g) La resolución exenta N° 547, de 2020, de la Subsecretaría de Telecomunicaciones, que aprueba Norma Técnica para el uso de las bandas de frecuencias 3,30 - 3,40 GHz y 3,60 - 3,65 GHz y deroga resolución exenta N° 1.498, de 1999, y sus modificaciones, entre ellas, la resolución exenta N° 1.555, de 2024.
h) En los avisos publicados en el Diario Oficial con fecha 2 y 16 de octubre de 2023, el Ministerio de Transportes y Telecomunicaciones, en adelante "el Ministerio", efectuó el llamado concurso público para el otorgamiento de concesiones de servicios de telecomunicaciones que operen redes inalámbricas de alta velocidad 5G o superior.
i) La resolución exenta N° 2.175, del 13 de octubre de 2023, de la Subsecretaría de Telecomunicaciones, y sus posteriores modificaciones, que aprueba bases del concurso público para otorgar concesiones de servicio público de telecomunicaciones que operen redes inalámbricas de alta velocidad (5G o superior) en 50 MHz dentro de la banda de frecuencias de 3,40 - 3,60 GHz.
j) La resolución exenta N° 1.999, de 27 de octubre de 2020, que establece requisitos básicos del plan de uso efectivo y eficiente del espectro radioeléctrico que debe acompañar cada asignatario de los "concursos públicos 5G".
k) La resolución exenta N° 1.051, de 27 de mayo de 2024, del Ministerio de Transportes y Telecomunicaciones, que llama a licitación para resolver el concurso público que tiene por objeto otorgar concesiones de servicio público de telecomunicaciones que operen redes inalámbricas de alta velocidad (5G o superior) en 50 MHz dentro de la banda de frecuencias de 3,40-3,60 GHz.
l) La resolución exenta N° 1.265, de 26 de junio de 2024, del Ministerio de Transportes y Telecomunicaciones, que adjudica el concurso público que tiene por objeto otorgar concesiones de servicio público de telecomunicaciones que operen redes inalámbricas de alta velocidad (5G o superior) en 50 MHz dentro de la banda de frecuencias de 3,40-3,60 GHz.
m) La resolución exenta N° 1.665, de 5 de septiembre de 2024, que asigna concesión de servicio público de telecomunicaciones a la empresa Claro Chile SpA en la banda de frecuencias de 3,55 - 3,60 GHz.
n) La resolución N° 7, de 2019, de la Contraloría General de la República, que fija normas sobre exención del trámite de toma de razón.
Considerando:
a. Que mediante los avisos publicados en el Diario Oficial los días 2 y 16 de octubre de 2023, el Ministerio de Transportes y Telecomunicaciones, en adelante "el Ministerio", efectuó el llamado a concurso público para el otorgamiento de concesiones de servicios de telecomunicaciones que operen redes inalámbricas de alta velocidad 5G o superior. Ello se hizo en conformidad con las disposiciones del artículo 13° C de la Ley y del artículo 4° del Reglamento.
b. Que las Bases del Concurso fueron aprobadas mediante la resolución exenta N° 2.175, del 13 de octubre de 2023, de la Subsecretaría de Telecomunicaciones, en adelante "la Subsecretaría" o "Subtel", y sus posteriores modificaciones.
c. Que, mediante el Ingreso Subtel N° 38.251, de fecha 20 de marzo de 2024, la empresa Claro Chile SpA presentó solicitud de concesión de servicio público de telecomunicaciones en el marco del concurso público sobre la banda de frecuencias 3,5 GHz.
d. Que, con fecha 21 de marzo de 2024, se procedió a la apertura de las postulaciones presentadas al Concurso por las empresas Claro Chile SpA y Entel Telefonía Local S.A. Enseguida, la Comisión Evaluadora procedió a estudiar dichas solicitudes de concesión, concluyendo con un Informe Final de Evaluación remitido por la Subsecretaría a este Ministerio a través del Memorándum N° 600, de 17 de mayo de 2024, de la Subsecretaría de Telecomunicaciones.
e. Que, mediante resolución exenta N° 1.051, de 27 de mayo de 2024, del Ministerio de Transportes y Telecomunicaciones, se llamó a licitación entre las dos empresas participantes por haber resultado en igualdad de condiciones durante la evaluación técnica de sus propuestas. Conforme a lo obrado en el acto de licitación, que tuvo lugar el 17 de junio de 2024, y en el cual se aperturaron las ofertas presentadas por las postulantes, siendo la que generó una mayor recaudación fiscal la oferta única de la empresa Claro Chile SpA con 5 bloques de 10 MHz, por un monto total de $83.500.000.000 pesos chilenos. El Acta de lo obrado fue remitida al Ministerio por medio del Memorando GAB N° 836, de 25 de junio de 2024, de la Subsecretaría de Telecomunicaciones.
f. Que, en mérito de lo anterior, mediante la resolución exenta N° 1.265, de 26 de junio de 2024, del Ministerio de Transportes y Telecomunicaciones se adjudicó el concurso a la postulante Claro Chile SpA, asignándose en consecuencia a esta última la concesión de servicio público de telecomunicaciones en la banda de frecuencias de 3,55 - 3,60 GHz objeto de aquél a través de resolución exenta N° 1.665, de 5 de septiembre de 2024. Esta última, si bien fue suscrita por la Subsecretaría de Telecomunicaciones, en realidad no viene sino en reiterar la adjudicación ya efectuada por el Ministerio de Transportes y Telecomunicaciones, a través de la citada resolución exenta N° 1.265 de 2024, y a consignar los elementos del proyecto técnico presentado a concurso y adjudicado. Dichos elementos, se recogen además en el extracto a que hace referencia el literal siguiente, publicado en el Diario Oficial y en un diario de las capitales de provincias y regiones en que se ubicarán las instalaciones, a efectos que terceros pudieran ejercer su derecho de reclamar de oposición, sin que, transcurrido el plazo legal para ello, se haya recibido ninguna oposición. Dichos elementos se señalan en el presente decreto de otorgamiento de la concesión del Ministro de Transportes y Telecomunicaciones, quien por este acto ratifica asimismo todo lo obrado en los actos de adjudicación y asignación ya mencionados.
g. Que el extracto de la citada resolución exenta N° 1.665, de 5 de septiembre de 2024, fue oportunamente publicado en el Diario Oficial y en el medio electrónico www.cooperativa.cl, ambos con fecha 14 de septiembre de 2024. De este modo, habiendo transcurrido el plazo de 10 días hábiles previsto para las reclamaciones, sin que éstas se hayan producido, la Subsecretaría comunicó a la empresa a través del Ord. N° 13.254/2024, de 3 de octubre de 2024, que procediera a pagar en la Tesorería General de la República el precio comprometido como oferta económica durante la licitación.
h. Que mediante Ingreso Subtel N° 131.109 de 11.10.2024, la empresa Claro Chile SpA adjuntó certificado de pago por formulario N° 10, folio N° 1728573332, emitido por la Tesorería General de la República con fecha 10 de octubre de 2024 y comprobante de pago en el Banco de Chile Folio N° 0035052638, que dan cuenta del ingreso en arcas fiscales de la suma comprometida de $83.500.000.000 pesos. En consecuencia, y de acuerdo a lo dispuesto en la Ley, en el Reglamento y en las Bases del Concurso, corresponde que ahora este Ministerio proceda a dictar el decreto que otorga la respectiva concesión de servicio público de telecomunicaciones.
Decreto:
1. Otórgase a la empresa Claro Chile SpA, Rol Único Tributario N° 96.799.250-K, con domicilio en El Salto N° 5450, comuna de Huechuraba, Región Metropolitana de Santiago, una (1) concesión de servicio público de telecomunicaciones en la banda de frecuencias de 3,55 - 3,60 GHz, cuyos elementos y características se indican a continuación:
- Titular : Claro Chile SpA
- Tipo de servicio : Servicio Público de
Telecomunicaciones
- Prestación(es) específica(s): Transmisión de datos
(Acceso a internet
fijo y móvil, y demás
posibles conforme
a las bases).
- Período de la concesión : 30 años, contados
desde la fecha de
publicación en el
Diario Oficial del
presente decreto.
- Zona de servicio : Área de cobertura
georreferenciada que
ha sido comprometida
para cada una de
las estaciones base
incluidas en el
proyecto técnico presentado.
- Banda de frecuencias : 3,55 - 3,60 GHz.
- Ancho de banda máximo
por portadora : 50 MHz
- Tipo de emisión : 50M0W7WEW
- Potencia máxima de
salida del transmisor : 240 W.
- Características técnicas
de los sistemas radiantes : Sistema de antenas activas
5G de 23,8 dBi de ganancia
máxima.
- Estándar tecnológico : Al menos Release 17 - 3GPP
con interfaz de radio "NR"
(New Radio).
- Tasa de transferencia
de datos mínima : 45 Mbps bajada (downlink) y
3,75 Mbps subida (uplink).
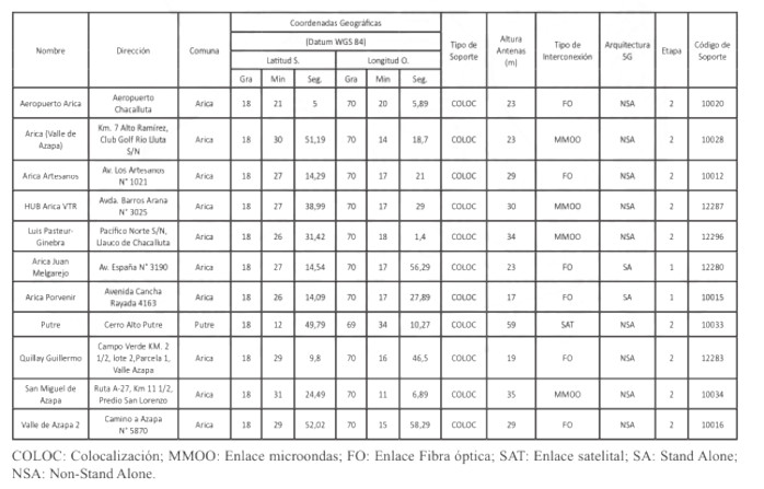
La ubicación de las estaciones base del proyecto de cobertura comunal (5G) será la siguiente:
Para la Región: De Arica y Parinacota

Para la Región: De Tarapacá

Para la Región: De Antofagasta

Para la Región de Atacama:


Para la Región de Coquimbo:


Para la Región de Valparaíso:




Para la Región Metropolitana de Santiago:



















Para la Región del Libertador General Bernardo O'Higgins:



Para la Región del Maule:



Para la Región del Ñuble:


Para la Región del Biobío:



Para la Región de La Araucanía:


Para la Región de Los Ríos:

Para la Región de Los Lagos:



Para la Región de Aysén del General Carlos Ibáñez del Campo:

Para la Región de Magallanes y la Antártica Chilena:


2. Los plazos máximos, para cada etapa, se indican a continuación:

3. La concesionaria tendrá la obligación de ofrecer, además del servicio objeto del presente concurso, servicios móviles de telecomunicaciones de gran capacidad y alta velocidad, incluyendo de manera obligatoria el servicio de telefonía (voz), descritos en el Título X de las Bases, en el proyecto de Cobertura complementaria en localidades (Tecnología LTE Advanced PRO) y cobertura obligatoria en rutas (Tecnología LTE Advanced PRO), dando cumplimiento a las condiciones establecidas en el citado Título de las Bases, utilizando medios propios, debidamente autorizados conforme a la banda declarada en su proyecto técnico, que se detallan a continuación y cuyas características técnicas y ubicaciones de las estaciones base se indican en las tablas siguientes:
3.1 Cobertura complementaria en localidades:
Para la Región de Arica y Parinacota:

Para la Región de Tarapacá:


Para la Región de Antofagasta:

Para la Región de Atacama:

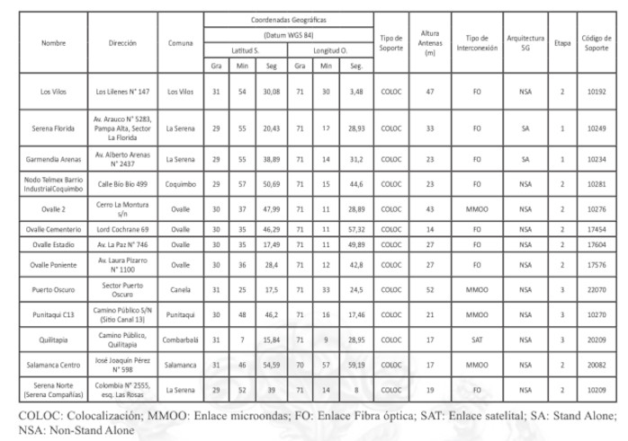
Para la Región de Coquimbo:


Para la Región de Valparaíso:

Para la Región del Libertador General Bernardo O'Higgins:

Para la Región del Maule:


Para la Región del Ñuble:

Para la Región del Biobío:

Para la Región de La Araucanía:


Para la Región de Los Ríos:

Para la Región de Los Lagos:


Para la Región de Aysén del General Carlos Ibáñez del Campo:

Para la Región de Magallanes y la Antártica Chilena:

3.2. Cobertura obligatoria en rutas: Para la región de Antofagasta:
Para la Región de Antofagasta:

Para la Región de Coquimbo:


Para la Región de Valparaíso:


Para la Región del Biobío:


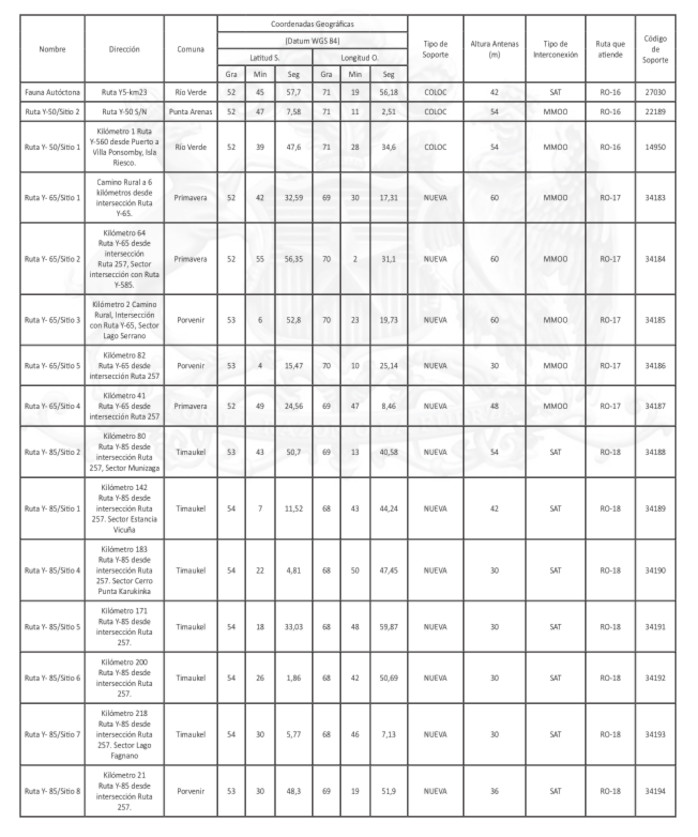
Para la Región de Magallanes y la Antártica Chilena:


El estándar tecnológico para las estaciones base asociadas al proyecto de cobertura complementaria en localidades y cobertura obligatoria en rutas será de, al menos, Release 13 del grupo 3GPP (Third Generation Partnership Project), que introduce la tecnología LTE Advanced PRO (Long Term Evolution PRO), y la Tasa de transferencia de datos mínima será de 6 Mbps bajada (downlink) y 1 Mbps subida (uplink).
4. Los plazos máximos para las estaciones base asociadas al proyecto de cobertura complementaria en localidades y cobertura obligatoria en rutas, se indican a continuación:

5. La concesionaria tendrá la obligación de mantener disponibles un total de 16 estaciones base móviles o "carros móviles", según lo estipula en el artículo 27 bis de las Bases, asociados a cada región, para ser habilitados y puestos en operación en situaciones de emergencia, en los lugares que la Subsecretaría de Telecomunicaciones o el Servicio Nacional de Prevención y Respuestas ante Desastres indiquen dentro del territorio nacional, cuyas ubicaciones nominales se indican a continuación:

Así también deberá mantener disponibles a más tardar en un plazo de 30 días hábiles, contados desde la fecha de publicación en el Diario Oficial del presente decreto, las estaciones base móviles asociadas a cada región.
6. Tipo de cobertura: Para el proyecto de cobertura comunal: outdoor (sin perjuicio de que se pueda desplegar también cobertura del tipo indoor). Para el proyecto de cobertura complementaria en localidades: indoor, y para el proyecto de cobertura obligatoria en rutas: in-car.
7. La presente autorización debe entenderse sin perjuicio de la aplicación de cualquier otra normativa sectorial que resulte especialmente aplicable a la solicitud del asignatario, como ocurre con las disposiciones de la Ley General de Urbanismo y Construcciones, así como cualquier otra regulación que se encuentre vigente.
8. Apruébase el proyecto técnico presentado por el concesionario, que se adjudicó el concurso público, en lo relacionado con los sistemas y equipos de telecomunicaciones autorizados en el presente decreto, conforme a las disposiciones técnico legales que rigen el servicio de telecomunicaciones concedido. La documentación respectiva quedará archivada en la Subsecretaría de Telecomunicaciones.
9. La presente autorización está afecta al pago de derechos por utilización del espectro radioeléctrico, a contar de la fecha de publicación de este decreto en el Diario Oficial.
10. La presente concesión se otorga en conformidad a lo dispuesto en la ley N° 18.168, General de Telecomunicaciones, y queda sometida a todas las disposiciones de esta ley así como a sus reglamentos, planes técnicos fundamentales y normas técnicas que se encuentren vigentes o que se dicten en el futuro. Asimismo, la concesión que se otorga por este acto no exime del cumplimiento de las demás obligaciones legales, tales como el acatamiento de la legislación urbanística, ambiental u otra que resulte particularmente aplicable.
De igual modo, se deja expresamente establecido, conforme previene el artículo 3º del decreto supremo N° 412, de 1995, del Ministerio de Transportes y Telecomunicaciones, que la concesión no podrá ser modificada en el sentido de alterar las exigencias contempladas en las Bases del Concurso que lo presidió. Asimismo, el incumplimiento de la obligación de explotar el servicio concedido de acuerdo a los plazos o etapas comprometidos en el proyecto técnico que se tuvo presente para asignar la concesión, faculta a la Subsecretaría de Telecomunicaciones para hacer efectiva la garantía que cautela el fiel, íntegro y oportuno cumplimiento de la ejecución del proyecto técnico comprometido.
11. El concesionario deberá publicar el presente decreto en el Diario Oficial dentro de los 10 días hábiles siguientes a la notificación del mismo por la Subsecretaría desde la casilla conforme a lo establecido en el inciso cuarto del artículo 13 C de la Ley.partes@subtel.gob.cl,
Anótese, tómese razón, comuníquese, notifíquese al interesado y publíquese en el Diario Oficial.- Por orden del Presidente de la República, Juan Carlos Muñoz Abogabir, Ministro de Transportes y Telecomunicaciones.
Lo que transcribe para su conocimiento.- Saluda atentamente a Ud., Claudio Araya San Martín, Subsecretario de Telecomunicaciones.