ADJUDICA CONTRATO DE CONCESIÓN PARA LA EJECUCIÓN, REPARACIÓN, CONSERVACIÓN Y EXPLOTACIÓN DE LA OBRA PÚBLICA FISCAL DENOMINADA "CONCESIÓN AUTOPISTA CONCEPCIÓN – CABRERO"
Núm. 226.- Santiago, 7 de junio de 2011.- Vistos:
- El artículo 87 del DFL MOP Nº 850, de 1997, que fija el texto refundido, coordinado y sistematizado de la Ley Nº 15.840, de 1964, Orgánica del Ministerio de Obras Públicas y del DFL Nº 206, de 1960, Ley de Caminos, y sus modificaciones.
- El D.S. MOP Nº 900, de 1996, que fija el texto refundido, coordinado y sistematizado del DFL MOP Nº 164 de 1991, Ley de Concesiones de Obras Públicas y sus modificaciones.
- El D.S. MOP Nº 956, de 1997, Reglamento de la Ley de Concesiones de Obras Públicas y sus modificaciones.
- El Oficio Gab. Pres. Nº 1707 de fecha 21 de diciembre de 2009, de su Excelencia la Presidenta de la República, mediante el cual se aprueba la ejecución de la obra pública fiscal denominada "Concesión Autopista Concepción - Cabrero", a través del Sistema de Concesiones.
- El Oficio Ord. Nº 1.453, de fecha 30 de diciembre de 2009, del Señor Ministro de Hacienda, mediante el cual se aprueba las Bases de Licitación y el Prospecto de Inversión del Proyecto "Concesión Autopista Concepción - Cabrero" a ejecutar por el Sistema de Concesiones.
- La publicación del Llamado a Licitación Pública Internacional del proyecto "Concesión Autopista Concepción - Cabrero", efectuada en el Diario El Mercurio, con fecha 30 de diciembre de 2009.
- La publicación del Llamado a Licitación Pública Internacional del proyecto "Concesión Autopista Concepción - Cabrero", efectuada en el Diario Oficial, con fecha 8 de enero de 2010.
- La resolución DGOP Nº 206, del 12 de noviembre de 2010, que Revoca Resoluciones que indica y aprueba las Bases de Licitación de la obra pública fiscal denominada "Concesión Autopista Concepción - Cabrero" y sus Circulares Aclaratorias Nºs 1, 2 y 3.
- La resolución DGOP Nº 220 del 25 de noviembre de 2010, que aprueba la Circular Aclaratoria Nº 4 de las Bases de Licitación de la obra pública fiscal denominada "Concesión Autopista Concepción - Cabrero".
- La resolución DGOP Nº 235 del 10 de diciembre de 2010, que revoca resolución que indica y aprueba las Circulares Aclaratoria Nº 5 y 6, de las Bases de Licitación de la obra pública fiscal denominada "Concesión Autopista Concepción - Cabrero".
- La resolución DGOP exenta Nº 4.469 del 10 de diciembre de 2010, que aprueba la Circular Aclaratoria Nº 7, de las Bases de Licitación de la obra pública fiscal denominada "Concesión Autopista Concepción - Cabrero".
- El Acta de Recepción de Ofertas y Apertura de las Ofertas Técnicas de la Licitación de fecha 27 de diciembre de 2010.
- El Acta de Evaluación de las Ofertas Técnicas de fecha 7 de enero de 2011.
- El Acta de Apertura de las Ofertas Económicas de fecha 17 de enero de 2011.
- El Acta de Calificación de las Ofertas Económicas de fecha 4 de febrero de 2011.
- El Acta de Adjudicación del Director General de Obras Públicas de fecha 25 de febrero de 2011.
- La resolución Nº 1.600, de 2008, de la Contraloría General de la República que Fija Normas sobre Exención del Trámite de Toma de Razón.
Decreto:
1.- Adjudícase el contrato de concesión para la ejecución, reparación, conservación y explotación de la obra pública fiscal denominada "Concesión Autopista Concepción - Cabrero", al Licitante "Sacyr Concesiones Chile S.A.". Dicha obra pública se emplaza en la Región del Biobío, y su trazado atraviesa la provincia de Concepción, en sus comunas de Concepción y Florida, la provincia de Biobío en sus comunas de Yumbel y Cabrero, y la provincia de Ñuble en su comuna de Yungay.
2.- Declárase que forman parte integrante del presente Decreto Supremo de Adjudicación, para la concesión de la obra pública fiscal denominada "Concesión Autopista Concepción - Cabrero", las Bases de Licitación y sus Circulares Aclaratorias Nº 1, 2 y 3 aprobadas por resolución DGOP Nº 206 de fecha 12 de noviembre; la Circular Aclaratoria Nº 4 aprobada por resolución DGOP Nº 220 de fecha 25 de noviembre; las Circulares Aclaratorias Nº 5 y 6 aprobadas por Resolución DGOP Nº 235 de fecha 10 de diciembre, y la Circular Aclaratoria Nº 7 aprobada por resolución DGOP exenta Nº 4469 de fecha 10 de diciembre, todas del año 2010; y las Ofertas Técnica y Económica, presentadas por el Licitante denominado "Sacyr Concesiones Chile S.A.", en la forma aprobada por el MOP.
3.- En caso de discrepancia en la interpretación del Contrato de Concesión, primará lo dispuesto en las Bases de Licitación y sus Circulares Aclaratorias, por sobre lo establecido en la Oferta presentada por el Adjudicatario de la Concesión, salvo en caso que ésta contenga aspectos superiores a lo exigido en las Bases de Licitación y sus Circulares Aclaratorias, lo que será calificado por el Director General de Obras Públicas.
4.- Forman parte del Contrato de Concesión las disposiciones pertinentes de los siguientes cuerpos legales:
a) El decreto supremo MOP Nº 900 de 1996, que fija el
texto refundido, coordinado y sistematizado del DFL
MOP Nº 164 de 1991, Ley de Concesiones de Obras
Públicas, y sus modificaciones.
b) El decreto supremo MOP Nº 956 de 1997, Reglamento
de la Ley de Concesiones de Obras Públicas, y sus
modificaciones.
c) El DFL MOP Nº 850 de 1997, que fija el texto
refundido, coordinado y sistematizado de la Ley Nº
15.840 de 1964, Orgánica del Ministerio de Obras
Públicas y del DFL Nº 206 de 1960, Ley de Caminos y
sus modificaciones.
En todo caso, ante cualquier discrepancia en la interpretación de los documentos que conforman las Bases de Licitación y la normativa vigente que sea aplicable al Contrato de Concesión, primará lo dispuesto en dicha normativa.
5.- Forman parte integrante del Contrato de Concesión los siguientes documentos singularizados en los artículos 1.4.1 y 1.4.3 de las Bases de Licitación:
. Documento Nº 1 Llamado a Licitación por Concesión.
. Documento Nº 2 Bases Administrativas.
. Documento Nº 3 Bases Técnicas.
. Documento Nº 4 Bases Económicas.
. Documento Nº 5 Circulares Aclaratorias emitidas por
el Director General de Obras Públicas.
. Documento Nº 6 Manual de Planes de Manejo Ambiental
para Obras Concesionadas, elaborado
por el Ministerio de Obras Públicas
(última versión).
. Documento Nº 7 Manual de Manejo de Áreas Verdes para
Proyectos Concesionados, del
Ministerio de Obras Públicas (última
versión).
. Documento Nº 8 Catastro de Propietarios,
Arrendatarios y Allegados residentes
en propiedades del Programa de
Expropiación de la "Concesión
Autopista Concepción - Cabrero",
comunas de Concepción, Florida,
Yumbel, Cabrero y Yungay (2009).
. Estudios Referenciales aceptados totalmente por el Licitante Adjudicatario en su Oferta Técnica, denominados:
1. Estudio de Ingeniería Concesión Autopista
Concepción – Cabrero.
2. Plano Referencial de Áreas del Proyecto.
3. Estudio de Impacto Ambiental Concesión Autopista
Concepción – Cabrero.
6.- El inicio del plazo de la concesión se contará a partir de la fecha de publicación en el Diario Oficial del presente Decreto Supremo de Adjudicación, de acuerdo a lo establecido en el artículo 1.7.5 de las Bases de Licitación.
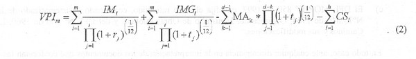
7.- La concesión, de acuerdo a lo establecido en los artículos 1.7.7, 1.7.7.1 y 1.11.2.1 de las Bases de Licitación, se extinguirá el mes "m" en que se cumpla la siguiente relación:

Donde el término ITC corresponde al monto de los Ingresos Totales de la Concesión solicitado por el Licitante Adjudicatario en su Oferta Económica, por un valor de UF 7.388.000 (siete millones trescientos ochenta y ocho mil Unidades de Fomento), de acuerdo a lo señalado en los artículos 3.1.1 y 3.2 de las Bases de Licitación, y VPIm corresponde al Valor Presente de los Ingresos de la Sociedad Concesionaria (expresado en UF), calculado en el mes "m" de concesión, contado desde la fecha de Puesta en Servicio Provisoria Parcial de la obra señalada en el artículo 1.9.2.7 de las Bases de Licitación (el mes donde se autoriza la Puesta en Servicio Provisoria Parcial de la obra es m=1), y actualizado al mes anterior al de la Puesta en Servicio Provisoria de la Obra.
El VPIm se calculará mensualmente de acuerdo a la siguiente expresión:
donde,

donde,
IMi : Ingresos mensuales por recaudación de peajes o
tarifas (expresados en UF) en las Plazas de Peaje
Troncal 1 y Troncal 2, en el mes "i" de
explotación, sobre la base de la información
señalada en el artículo 1.8.7.2 letra f) de las
Bases de Licitación.
IMGi : Pagos a la Sociedad Concesionaria por concepto de
Ingresos Mínimos Garantizados (expresados en UF),
de acuerdo a lo indicado en el artículo 1.12.7.1
de las Bases de Licitación, que se hubieren pagado
en el mes "i" de explotación.
Rf : Tasa Fija, que para efectos del presente cálculo
corresponde a 0,04 (4,0% real anual).
01 : Premio por riesgo, que para efectos del presente
cálculo corresponde a 0,05 (5% real anual).
02 : Premio por riesgo, que para efectos del presente
cálculo corresponde a 0,02 (2% real anual).
MAk : Costo Adicional de la Mitigación Ambiental
(expresado en UF) incurrido en el mes "k" de
construcción, sobre la base de información
señalada en el artículo 1.12.8 de las Bases de
Licitación. Este costo se incorporará en el caso
que en la RCA del proyecto ingresado por el MOP se
establezcan medidas adicionales a las
individualizadas en las Bases de Licitación, en el
EIA ingresado por el MOP al SEIA, en las adendas
que se emitan con una anticipación de 60 días a la
fecha de Recepción de las Ofertas y Apertura de
Ofertas Técnicas señalada en el artículo 1.6.1 de
las Bases de Licitación y que estas medidas
generen sobrecostos, y corresponderá a los
sobrecostos adicionales a las UF 250.000
(doscientas cincuenta mil Unidades de Fomento), de
acuerdo a lo señalado en el artículo 1.12.8 de las
Bases de Licitación. El valor de tendrá un valor
de 0 (cero) en caso que se establezca que no serán
incorporados los sobrecostos en la cuantificación
del VPI de acuerdo a lo establecido en el artículo
1.12.8 de las Bases de Licitación.
d : Mes en el cual se aprueba la Puesta en Servicio
Provisoria Parcial señalada en el artículo 1.9.2.7
de las Bases de Licitación, contado desde el
inicio de la concesión.
CSt : Pagos de la Sociedad Concesionaria, en el mes "l"
de la Etapa de Construcción, (expresados en UF a
la fecha de facturación) a las Empresas de
Servicios por concepto de Cambios de Servicios
adicionales y que son incorporados al valor del
VPI de acuerdo a lo establecido en el artículo
1.8.20 de las Bases de Licitación.
H : Mes en el cual se aprueba la Puesta en Servicio
Provisoria de la Totalidad de las Obras señalada
en el artículo 1.9.2.7 de las Bases de Licitación,
contado desde el inicio de la concesión.
Con todo, si transcurridos 420 meses contados desde el inicio del plazo de la concesión señalado en el artículo 1.7.5, no se hubiere cumplido la ecuación (1) señalada en el presente número, la concesión se extinguirá por cumplimiento del plazo máximo, de acuerdo a lo señalado en los artículos 1.7.6 y 1.11.2.2, todos artículos de las Bases de Licitación.
8.- De acuerdo a lo señalado en el artículo 1.8.8 de las Bases de Licitación, el MOP entregará al Concesionario la infraestructura preexistente que se encuentre en la faja vial de las Rutas que forman parte de la Concesión. Tanto en esta faja como en los terrenos que sean expropiados en conformidad con lo indicado en el artículo 1.8.9.2 de las Bases de Licitación, el Concesionario deberá ejecutar las obras que forman parte del Contrato de Concesión. La Sociedad Concesionaria recibirá la Infraestructura Preexistente en el estado en que se encuentre en el momento de la entrega del terreno y será responsabilidad de la misma, mantener los niveles, exigencias y estándares exigidos en los documentos que conforman el contrato de concesión, a su entero cargo y costo.
9.- El Concesionario, de acuerdo a lo establecido en los artículos 1.9.1.1 y 1.9.1.2 de las Bases de Licitación, deberá elaborar los Proyectos de Ingeniería de Detalle de todas las obras incluidas en las Bases de Licitación y en los Estudios Referenciales aceptados por el Licitante Adjudicatario en su Oferta Técnica, conforme a los estándares técnicos establecidos en dichos estudios, las Bases de Licitación y demás documentos que forman parte del Contrato de Concesión. El Concesionario, sólo podrá iniciar la construcción de aquella parte de la obra que cuente con la aprobación de los proyectos de ingeniería correspondientes por parte del Inspector Fiscal, y siempre que cumpla con los demás requisitos establecidos en las Bases de Licitación.
10.- De acuerdo a lo establecido en 1.9, la Etapa de Construcción de la Concesión se iniciará junto con el inicio del plazo de la Concesión indicado en 1.7.5, ambos artículos de las Bases de Licitación, y finalizará una vez autorizada la Puesta en Servicio Provisoria de la totalidad de la obra.
De acuerdo a lo establecido en el artículo 1.9.2.6 de las Bases de licitación, el Concesionario podrá solicitar al Inspector Fiscal iniciar las obras, a través del Libro de Construcción de la Obra, sólo una vez que se encuentren aprobados los proyectos de ingeniería de Detalle conforme a lo señalado en 1.9.1.2 y el Programa de Ejecución de las obras señalado en 1.9.2.4; se cuente con la Resolución de Calificación Ambiental respectiva y se cumpla con los demás requisitos establecidos en las Bases de Licitación. Lo anterior, sin perjuicio de la facultad del MOP señalada en el primer párrafo de 1.8.11.1, en cuyo caso no se requerirá contar con la RCA asociada al Estudio de Impacto Ambiental señalado en 1.4.3, todos artículos de las Bases de Licitación. De esta manera el inicio de la construcción de las obras se contabilizará a partir de la primera aprobación del Inspector Fiscal al o los proyecto(s) de ingeniería de detalle presentado(s) por la Sociedad Concesionaria.
Una vez iniciada la construcción de las obras, el Concesionario emitirá declaraciones de avance de la misma. Dichas declaraciones deberán cumplir, al menos, con los porcentajes de avance requeridos y entregarse en los plazos máximos indicados en el artículo 1.9.2.6 de las Bases de Licitación, contados desde la fecha de inicio de la construcción de las obras.
11.- De acuerdo a lo dispuesto en el artículo 2.2.1 de las Bases de Licitación, los Proyectos de Ingeniería de Detalle que debe confeccionar la Sociedad Concesionaria, deberán cumplir los estándares técnicos contenidos en las Bases Técnicas y en los Estudios Referenciales, así como también en la normativa vigente, los Instructivos de los Departamentos de Gestión Vial, de Estudios Viales, de Puentes, y de Seguridad Vial de la Dirección de Vialidad, debiendo considerar entre otros, los siguientes documentos:
. Manual de Carreteras de la Dirección de Vialidad
del MOP, en su versión vigente, incluidas todas sus
actualizaciones.
. Normas Oficiales del Instituto Nacional de
Normalización.
. Manual de Señalización de Tránsito del Ministerio
de Transportes y Telecomunicaciones.
Especificaciones Técnicas Generales de Construcción
del Departamento de Puentes de la Dirección de
Vialidad del MOP.
. Normas de la Superintendencia de Electricidad y
Combustibles (SEC).
. Criterios Básicos para Proyectos de Iluminación en
Carreteras Concesionadas del MOP, octubre 1998.
. Esquema Operacional de Postes S.O.S. del MOP.
. Ley General de Urbanismo y Construcciones y los
Planes Reguladores Comunales e Intercomunales
correspondientes.
. Instructivo de Pesaje Móvil en Rutas Concesionadas,
DGOP, última versión vigente.
. Instructivo para el Ordenamiento y la Formulación
de los Planes y Programas de Conservación en
Contratos de Concesión Vial, DGOP, última versión
vigente.
. Instructivo de Inspección Visual de Caminos
Pavimentados (versión vigente) del Departamento de
Gestión Vial de la Dirección de Vialidad del MOP.
. Instructivo Estado de Puentes y Estructuras,
desarrollado por la Dirección General de Obras
Públicas (versión vigente).
. Instructivo para proyectos de Señalización,
Dirección de Vialidad.
. Documentos Técnicos asociados al Sistema
Electrónico de Cobro del MOP, en su versión
vigente. Entre estos se encuentran:
º Sistemas Electrónicos de Cobro y Otras
Aplicaciones: "Especificación para la
Interoperabilidad en la Transacción Antena-
Transponder".
º Electronic Fee Collection and Other
Applications: "Conformance Tests to the
Specification for Interoperability in the
Beacon-Transponder transaction".
º Sistemas Electrónicos de Cobro y Otras
Aplicaciones: "Gestión de Claves de Seguridad".
º Sistemas Electrónicos de Cobro y Otras
Aplicaciones: "Especificación para los
parámetros mínimos de la transacción de
interoperabilidad".
º Sistemas Electrónicos de Cobro y Otras
Aplicaciones: "Especificaciones Registro
Nacional de Usuarios de Telepeaje".
º Sistemas Electrónicos de Cobro y Otras
Aplicaciones: "Generación de Claves Maestras.
Interfaz de Exportación de Claves".
. Las Bases de Licitación y sus Circulares
Aclaratorias.
. Manual de Vialidad Urbana, Volumen 3.
Recomendaciones para el Diseño de Elementos de
Infraestructura Vial Urbana (REDEVU), MINVU, en su
versión vigente.
Además, el MOP podrá, durante el desarrollo del estudio, solicitar al Concesionario precisar, acotar y/o corregir la información de los estudios, con el objetivo de que se cumplan las condiciones de suficiencia para definir adecuadamente las obras objeto de la Concesión, debiendo el Concesionario desarrollar a su entero cargo y costo los estudios que sean necesarios.
12.- De acuerdo a lo establecido en el artículo 2.3 de las Bases de Licitación, la Sociedad Concesionaria deberá ejecutar, a su entero cargo, costo y responsabilidad, todas las obras que resulten de los Proyectos de Ingeniería de Detalle aprobados por el Inspector Fiscal, entre las cuales se consideran las siguientes:
i) Las obras necesarias para materializar una doble
calzada a lo largo de todo el Sector A indicado en
el artículo 1.3 de las Bases de Licitación, y una
calzada simple a lo largo de todo el Sector B
indicado en el mismo artículo, de acuerdo a lo
dispuesto en 2.3.1.2 y 2.3.1.3, ambos artículos de
las Bases de Licitación. Conforme lo señalado en
2.3.1.1, los pavimentos nuevos construidos por la
Sociedad Concesionaria, no podrán presentar un IRI
superior a 2 m/km al momento de la Puesta en
Servicio Provisoria Parcial o Total de las Obras,
según corresponda; y los espesores, densidades y/o
resistencias mecánicas de los pavimentos, deberán
ser construidos en conformidad a lo indicado en
2.2.2.3.1, ambos artículos de las Bases de
Licitación.
ii) Los puentes, de acuerdo a lo dispuesto en el
artículo 2.3.1.4 de las Bases de Licitación.
iii) Las intersecciones a desnivel, de acuerdo a lo
establecido en el artículo 2.3.1.5 de las Bases de
Licitación.
iv) Las calles de servicio, de acuerdo a lo
establecido en el artículo 2.3.1.6 de las Bases de
Licitación.
v) Un par de plazas de Pesaje fijas nuevas para
controlar el peso de los vehículos que circulan
por la Ruta para ambos sentidos de tránsito
(vehículos que viajan tanto en sentido Oriente -
Poniente, como sentido Poniente - Oriente) y las
obras que se señalan en 2.3.1.7 de las Bases de
Licitación, de acuerdo a lo establecido en dicho
artículo.
vi) Las intersecciones y accesos a nivel, de acuerdo a
lo establecido en el artículo 2.3.1.8 de las Bases
de Licitación.
vii) Las ciclovías en sectores de flujo locales, según
lo dispuesto en el artículo 2.3.1.9 de las Bases
de Licitación.
viii) A objeto de permitir los retornos en la vía
expresa para los vehículos de emergencia, se han
dispuesto cuatro (4) sectores de apertura
automática de la mediana ubicada en la doble
calzada del Sector A. El Concesionario deberá
definir las localizaciones finales y construir las
obras que sean aprobadas por el Inspector Fiscal.
Lo anterior, de acuerdo a lo dispuesto en el
artículo 2.3.1.10 de las Bases de Licitación.
ix) Las pasarelas peatonales, de acuerdo a lo
dispuesto en el artículo 2.3.1.11 de las Bases de
Licitación.
x) Los paraderos de buses, de acuerdo a lo
establecido en el artículo 2.3.1.12 de las Bases
de Licitación.
xi) Delimitar totalmente el área de concesión, de
acuerdo a lo establecido en el artículo 2.3.1.13
de las Bases de Licitación.
xii) Las obras de señalización, demarcación y elementos
de seguridad vial de toda la vía concesionada y la
de los caminos transversales que son afectados, de
acuerdo a lo dispuesto en el artículo 2.3.1.14.1
de las Bases de Licitación.
xiii) Defensas laterales y en la mediana en los sectores
que se requieran por condiciones de seguridad,
incluyendo la reposición, reparación y repintado
si fuese necesario, de todas las defensas
preexistentes. Además, deberá instalar defensas
para evitar los cruces en lugares no habilitados
para ello. Lo anterior de acuerdo a lo dispuesto
en el artículo 2.3.1.14.2 de las Bases de
Licitación.
xiv) La iluminación mínima para garantizar la
visibilidad y seguridad de peatones y flujo
vehicular en las intersecciones a nivel, en las
intersecciones a desnivel (enlaces y/o atraviesos,
tanto en la vía principal como en la secundaria),
en las zonas de pasarelas peatonales, en las áreas
de atención de emergencia, en las áreas de control
y de descanso, plaza de pesajes, plazas de peajes
y en los paraderos, entre otros; según lo
dispuesto en el artículo 2.3.1.14.3 de las Bases
de Licitación.
xv) La ejecución del replanteo de los ejes del
proyecto, de las trazas que definirán el área a
expropiar necesaria para la construcción del
proyecto, y de todas aquellas obras que
constituyan trazados nuevos o ampliaciones de la
calzada existente, de acuerdo a lo dispuesto en el
artículo 2.3.1.15 de las Bases de Licitación.
xvi) Despejar y retirar de la faja fiscal entregada por
el MOP para la ejecución de las obras, todo lo que
exista sobre el terreno, sea o no factible de ser
recuperado para un posterior uso, demoliendo y
retirando todas las construcciones, instalaciones,
plantaciones y, en general, los elementos de
cualquier especie que puedan interferir en la
construcción de la obra, de acuerdo a lo dispuesto
en el artículo 2.3.1.16 de las Bases de
Licitación.
xvii) Si para la ejecución de la obra resultara
indispensable constituir o modificar servidumbres
en cada uno de los sectores definidos en el
artículo 1.3 de las Bases de Licitación, el
Concesionario deberá informar y someter a la
aprobación del Inspector Fiscal con todos los
antecedentes que respalden dicha modificación,
además de restablecerlas, de acuerdo a lo
dispuesto en el artículo 2.3.1.17 de las Bases de
Licitación.
xviii) La mantención, reparación y rehabilitación de
toda la infraestructura existente en la faja
fiscal comprendida en las Rutas 148, O-50 y O-97-N
objeto de la concesión, en los Sectores indicados
en el artículo 1.3 de las Bases de Licitación,
desde el momento de la entrega de terreno, de
acuerdo a lo dispuesto en el artículo 2.3.1.18 de
las Bases de Licitación.
Sin perjuicio de lo indicado en los Estudios
Referenciales la Sociedad Concesionaria deberá
realizar las labores de mantenimiento,
rehabilitación y reparación de la Infraestructura
Preexistente que sea entregada por el MOP de
manera de cumplir, durante la Etapa de
Construcción, con un estándar similar al existente
en la Ruta al momento de su entrega al
Concesionario.
xix) Las obras necesarias para la Recuperación del
Estándar de las calzadas existentes, como también
obras necesarias tales como bacheos, sellos de
junturas y grietas, previo a la ejecución de los
sellos asfálticos, de acuerdo a lo dispuesto en el
artículo 2.3.1.18.1 de las Bases de Licitación.
xx) Labores de mantenimiento y rehabilitación de
diversa índole en los puentes, pasos de
ferrocarril, estructuras de paso y pasarelas
peatonales existentes en las Rutas de la
Concesión, de acuerdo a lo dispuesto en el
artículo 2.3.1.18.2 de las Bases de Licitación.
xxi) Revisión, rehabilitación y limpieza de todo el
sistema de drenaje y saneamiento existente a lo
largo de las rutas de la concesión en los Sectores
indicados en el artículo 1.3 de las Bases de
Licitación, directamente vinculado al
funcionamiento de la obra, dentro del área de
concesión, de acuerdo a lo dispuesto en el
artículo 2.3.1.18.3 de las Bases de Licitación.
xxii) Revisión y rehabilitación de todo el sistema de
iluminación vinculado a la vialidad expresa y
local que se encuentre en mal estado de
conservación, de acuerdo a lo dispuesto en el
artículo 2.3.1.18.4 de las Bases de Licitación.
xxiii) Los accesos del Catastro, de acuerdo a lo
establecido en el artículo 2.3.1.18.5 de las Bases
de Licitación.
xxiv) Todas las obras de desvíos de tránsito necesarias
para realizar las obras de la concesión, de
acuerdo a lo dispuesto en el artículo 2.3.1.19 de
las Bases de Licitación.
xxv) Mejoramiento, reparación o construcción de todas
las obras necesarias de defensas fluviales, de
acuerdo a lo dispuesto en el artículo 2.3.1.20 de
las Bases de Licitación.
xxvi) La Sociedad Concesionaria será responsable de la
realización de todas las obras de modificación de
servicios necesarias para realizar las obras de la
concesión, de acuerdo a lo dispuesto en el
artículo 2.3.1.21 de las Bases de Licitación.
xxvii) Construcción de todas las obras de modificación
de canales necesarias para realizar las obras de
la concesión, de acuerdo a lo dispuesto en el
artículo 2.3.1.22 de las Bases de Licitación.
xxviii) Construcción de todas las obras de Paisajismo,
de acuerdo a lo establecido en el artículo
2.3.1.23 de las Bases de Licitación.
xxix) Todas las plazas de peaje, de acuerdo a lo
dispuesto en el artículo 2.3.1.24 de las Bases de
Licitación.
xxx) Poner a disposición del MOP un lugar de Depósito
de Bienes Fiscales, de acuerdo a lo establecido en
el artículo 2.3.2 de las Bases de Licitación.
xxxi) Proyectar y construir los Servicios Especiales
Obligatorios que se indican en 2.3.3.1, 2.3.3.2 y
2.3.3.3, de acuerdo a lo establecido en 2.3.3,
todos artículos de las Bases de Licitación.
xxxii) El Área de Control de Carretera, de acuerdo a lo
dispuesto en el artículo 2.3.3.4 de las Bases de
Licitación.
xxxiii) Adoptar un sistema de cobro por Derecho de Paso,
de acuerdo a lo dispuesto en el artículo 1.14 de
las Bases de Licitación. El Sistema de Cobro de
peaje deberá considerar Peaje Manual y Telepeaje
operando simultáneamente en cada sentido de la
vía. En este sentido, la Sociedad Concesionaria
deberá contemplar, como mínimo, una pista por
sentido para el uso de Telepeaje, dejando las
restantes pistas al Sistema de Peaje Manual.
13.- Conforme a lo señalado en el artículo 1.4.2 de las Bases de Licitación, el Presupuesto Oficial Estimado de la Obra es de UF 8.400.000 (ocho millones cuatrocientas mil Unidades de Fomento). Este valor es referencial y considera el valor nominal de las obras del Contrato de Concesión, incluyendo los Gastos Generales y Utilidades, pagos de la Sociedad Concesionaria durante la Etapa de Construcción y los costos para la elaboración del Proyecto de Ingeniería de Detalle. No se incluye el impuesto al valor agregado (IVA).
14.- Conforme a lo establecido en el artículo 1.10 de las Bases de Licitación, la Etapa de Explotación de la obra comenzará junto con la autorización de la primera Puesta en Servicio Provisoria de las obras. La autorización de la Puesta en Servicio de las Obras se regirá por lo dispuesto en los artículos 1.10.1 y 1.10.2 de las Bases de Licitación. Esta etapa comprende lo siguiente:
a) Prestación de Servicios Básicos: De conformidad con
lo dispuesto en el artículo 1.10.9.1 de las Bases
de Licitación, el Concesionario estará obligado,
desde la Puesta en Servicio Provisoria Parcial
hasta la extinción de la concesión, a proporcionar
los Servicios asociados a la conservación de todas
las obras que se encuentren en el Área de
Concesión, de acuerdo a lo indicado en 2.4.2.1,
2.4.2.2, 2.4.2.3, 2.4.2.4, 2.4.2.5.1, 2.4.2.5.2,
2.4.2.5.3, 2.4.2.6, 2.4.2.7, 2.4.2.8, 2.4.2.9,
2.4.2.10.1, 2.4.2.10.2, 2.4.2.11, 2.4.2.12 y
2.4.2.13, todos artículos de las Bases de
Licitación.
b) Prestación de Servicios Especiales Obligatorios: De
conformidad con lo dispuesto en el artículo
1.10.9.2 de las Bases de Licitación, el
Concesionario estará obligado, desde la Puesta en
Servicio Provisoria hasta la extinción de la
concesión, a proporcionar los Servicios Especiales
Obligatorios establecidos en 2.3.3, que serán
instalados en bienes nacionales de uso público o
terrenos de propiedad fiscal, los que podrán ser
expropiados para ello o adquiridos de conformidad
con 1.8.9, ambos de las Bases de Licitación.
c) Prestación de Servicios Complementarios: De acuerdo
a lo dispuesto en 1.10.9.3, el Concesionario podrá
proponerlos en cualquier instante dentro del
período de la Concesión establecido en 1.7.6, ambos
artículos de las Bases de Licitación. En el caso
que éstos sean aceptados por el Inspector Fiscal,
la Sociedad Concesionaria estará obligada a
proporcionar dichos servicios, los cuales deberán
instalarse en bienes nacionales de uso público,
terrenos de propiedad fiscal o en terrenos privados
que sean adquiridos por la Sociedad Concesionaria
para el Fisco con este fin. La adquisición de
bienes para estos efectos así como las
instalaciones que se hagan sobre los mismos serán
de exclusivo cargo, costo y responsabilidad del
Concesionario. En caso que la Sociedad
Concesionaria no pueda adquirir los terrenos
necesarios para materializar los Servicios
Complementarios propuestos por ésta, deberá
presentar los antecedentes de expropiación
correspondientes, conforme a lo establecido en el
artículo 2.2.2.14 de las Bases de Licitación.
d) La realización de las mediciones y controles por
parte de la Sociedad Concesionaria que se estipulan
en 2.4.6, en conformidad con lo dispuesto en
1.10.7, ambos artículos de las Bases de Licitación.
15.- De conformidad con lo dispuesto en 1.10.2, la Sociedad Concesionaria deberá solicitar la autorización de la Puesta en Servicio Definitiva de la Totalidad de las Obras, dentro del plazo máximo de seis meses contados desde la autorización de Puesta en Servicio Provisoria de la Totalidad de las Obras señalada en 1.10.1 y cuando hayan sido aprobados los planos de construcción definitivos, las memorias explicativas y el inventario referidos en 1.9.2.12, todos artículos de las Bases de Licitación.
16.- Conforme a lo señalado en el artículo 1.12.4 de las Bases de Licitación, para efectos de lo dispuesto en el D. L. Nº 825 de 1974 y sus modificaciones posteriores, y en especial el artículo Nº 16, letras c) y h), en el Contrato de Concesión, se imputará un 80% de los ingresos totales de explotación para pagar el precio del servicio de construcción y el 20% restante de los ingresos totales de explotación para pagar el precio del servicio de conservación, reparación y explotación.
En los aspectos relativos a la declaración y pago del Impuesto a la Renta, el Concesionario se deberá regir por lo dispuesto en el D. L. Nº 824 de 1974 y sus modificaciones, especialmente por las introducidas por la Ley Nº 19.460 de 1996, y las demás normas que correspondan.
17.- Las obligaciones y derechos del adjudicatario o bien de la Sociedad Concesionaria, según sea el caso, son los establecidos en los cuerpos legales citados en el presente Decreto Supremo, en la normativa legal vigente que le sea aplicable, en las Bases de Licitación, en sus Circulares Aclaratorias y en la Oferta Técnica y Económica presentada por el Licitante denominado "Sacyr Concesiones Chile S.A.", en la forma aprobada por el MOP.
Sin perjuicio de lo anterior, y en forma no taxativa, se indican las siguientes obligaciones y derechos:
Obligaciones:
i) Constituir legalmente la sociedad anónima, de
nacionalidad chilena, prometida en su Oferta
Técnica, de acuerdo a lo establecido en el
artículo 1.7.3 de las Bases de Licitación, dentro
del plazo máximo de 60 días corridos, contados
desde la fecha de publicación en el Diario Oficial
del presente Decreto Supremo de Adjudicación del
Contrato de Concesión. Asimismo, y dentro del
mismo plazo, el adjudicatario deberá suscribir
ante Notario cuatro (4) transcripciones del
presente Decreto Supremo de Adjudicación de la
Concesión, en señal de aceptación de su contenido,
debiendo protocolizar ante el mismo Notario uno de
sus ejemplares, según lo exigido en el artículo
1.7.4 de las Bases de Licitación.
ii) Al otorgarse la escritura de constitución de la
Sociedad Concesionaria se deberá suscribir
íntegramente el capital de la sociedad el que no
podrá ser inferior a la suma de $35.500.000.000
(treinta y cinco mil quinientos millones de pesos)
y pagarse, a lo menos, la suma de $5.500.000.000
(cinco mil quinientos millones pesos), debiendo
individualizar con su correspondiente porcentaje,
a todas las personas naturales o jurídicas que
suscribirán el 100% de dicho capital. El saldo del
capital deberá pagarse en el plazo máximo de 24
meses contados desde la fecha de la escritura
pública de constitución de la sociedad. El pago
del capital deberá acreditarse mediante
certificado bancario. Todo ello en conformidad con
lo dispuesto en el artículo 1.7.3 de las Bases de
Licitación.
iii) Solicitar, dentro del plazo de 60 días contados
desde su constitución, la inscripción de la
Sociedad Concesionaria en el Registro
correspondiente de la Superintendencia de Valores
y Seguros, de acuerdo a la normativa vigente, lo
que se acreditará con el correspondiente
certificado, de acuerdo a lo dispuesto en el
artículo 1.7.3 de las Bases de Licitación.
iv) De acuerdo a lo dispuesto en el artículo 1.7.8.2
de las Bases de Licitación, el Concesionario será
siempre responsable del cumplimiento cabal,
íntegro y oportuno del Contrato de Concesión, de
la correcta ejecución de los proyectos y de las
obras, de la operación de la concesión, así como
del cumplimiento de los niveles de servicio y
estándares técnicos establecidos en las Bases de
Licitación para las diferentes etapas y
condiciones de la concesión, durante toda su
vigencia, y del cumplimiento de todas las
obligaciones establecidas en el Contrato de
Concesión, sin perjuicio de las funciones de
dirección y control que corresponden al Ministerio
de Obras Públicas.
v) Ejecutar, reparar, conservar y explotar las obras
descritas en los documentos que forman parte del
Contrato de Concesión, en la forma, modo y plazos
indicados en dichos documentos.
vi) De acuerdo a lo dispuesto en el artículo 1.8.11.1
de las Bases de Licitación, el MOP ha sometido
voluntariamente al Sistema de Evaluación de
Impacto Ambiental el Sector A del proyecto,
señalado en el artículo 1.3 de las Bases de
Licitación, a través de un Estudio de Impacto
Ambiental, el que fue puesto a disposición del
licitante Adjudicatario. Este Estudio de Impacto
Ambiental contiene una serie de medidas que, junto
con las establecidas en las Bases de Licitación,
constituyen el conjunto de medidas ambientales
mínimas obligatorias que deben ser cumplidas por
parte de la Sociedad Concesionaria durante las
Etapas de Construcción y Explotación de la obra.
Sin perjuicio de lo anterior, el MOP podrá, por
razones justificadas, retirar el Estudio de
Impacto Ambiental del Seia, caso en el cual no
procederá compensación alguna a favor de la
Sociedad Concesionaria.
Una vez dictada la Resolución de Calificación
Ambiental y constituida legalmente la Sociedad
Concesionaria, se procederá al cambio de Titular
del proyecto, de acuerdo a la normativa ambiental
vigente y conforme a las instrucciones que para
tales efectos se encuentren vigentes o dicte la
autoridad ambiental competente.
Una vez publicado el presente Decreto Supremo de
Adjudicación de la Concesión en el Diario Oficial,
todas las medidas, exigencias o condiciones
definidas por la autoridad ambiental competente en
dicha RCA, se entenderán formar parte integrante
de este Decreto Supremo de Adjudicación.
La implementación de las medidas y/o exigencias
establecidas en el Estudio de Impacto Ambiental,
sus eventuales adendas, en las Resoluciones de
Calificación Ambiental y en las Bases de
Licitación, será de exclusiva responsabilidad,
cargo y costo de la Sociedad Concesionaria,
debiendo dar cumplimiento a toda la normativa
ambiental vigente. Lo anterior es sin perjuicio de
lo establecido en el artículo 1.12.8 de las Bases
de Licitación.
vii) De acuerdo a lo indicado en el artículo 1.8.10 de
las Bases de Licitación, la Sociedad Concesionaria
pagará al Estado la cantidad de UF 1.100.000 (un
millón cien mil Unidades de Fomento) por concepto
de desembolsos, gastos o expensas que se originen
con motivo de las expropiaciones o de la
adquisición de terrenos para el Estado requeridas
para la ejecución de las obras que se emplazan en
los terrenos contenidos en el Plano Referencial de
Áreas de Proyecto señalado en el artículo 1.4.3 de
las Bases de Licitación que forman parte del
Contrato de Concesión.
El pago de esta cantidad deberá ser realizado en
dos cuotas, cada una de ellas mediante Vale Vista
emitido a nombre del DGOP. La primera cuota, de UF
800.000 (ochocientas mil Unidades de Fomento),
deberá pagarse en el plazo máximo de 360 días
contados desde la fecha de publicación en el
Diario Oficial del presente Decreto Supremo de
Adjudicación de la Concesión. La segunda cuota, de
UF 300.000 (trescientas mil Unidades de Fomento),
deberá pagarse a los 360 días de haber pagado la
primera cuota.
viii) De conformidad con lo señalado en el artículo
1.12.2.1 de las Bases de Licitación, el
Concesionario deberá realizar, además, los
siguientes pagos al Estado:
. Por concepto de administración y control del
contrato de concesión, de acuerdo a lo
indicado en 1.12.2.1.1 de las Bases de
Licitación, durante la Etapa de Construcción,
la suma de UF 76.000 (setenta y seis mil
Unidades de Fomento) en cuatro cuotas iguales
de UF 19.000 (diez y nueve mil Unidades de
Fomento). La primera cuota deberá pagarse
dentro de un plazo máximo de 120 días
contados desde la fecha de publicación en el
Diario Oficial del presente Decreto Supremo
de Adjudicación del Contrato de Concesión.
Las tres cuotas restantes deberán pagarse
anual y sucesivamente, el último día hábil
del mes de enero siguiente, al primer pago.
Durante la Etapa de Explotación la suma a
pagar por este concepto será de UF 16.700
(diez y seis mil setecientas Unidades de
Fomento) anuales y sucesivas pagaderas el
último día hábil del mes de enero de cada
año, a partir del año calendario siguiente a
la autorización de Puesta en Servicio
Provisoria de la Totalidad de las Obras.
Los pagos antes señalados se efectuarán
mediante Vale Vista emitido a nombre del
DGOP.
. De conformidad a lo indicado en 1.12.2.1.2,
el Licitante Adjudicatario o la Sociedad
Concesionaria, según sea el caso, deberá
disponer para la realización de Obras
Artísticas asociadas al proyecto de un monto
de 20.000 UF (veinte mil Unidades de Fomento)
a más tardar a los 30 días de otorgada la
Puesta en Servicio Provisoria de la Totalidad
de las obras señalada en 1.9.2.7, ambos
artículos de las Bases de Licitación.
Para materializar dichas obras, el MOP, a
través de la Dirección Nacional de
Arquitectura, realizará la(s) convocatoria(s)
según la modalidad que determine y actuará
como Organismo Técnico, definiendo las Bases
que determinarán los requisitos y condiciones
de los participantes, como de la nómina del
jurado para definir al ganador y
posteriormente asumir la fiscalización de
la(s) Obra(s) Artística(s) hasta la Recepción
Final de la(s) misma(s).
Para estos efectos, la Dirección Nacional de
Arquitectura del MOP deberá enviar al
Inspector Fiscal del Contrato de Concesión
los correspondientes documentos de cobro que
se generen con motivo de esta actividad, los
cuales deberán contar con la firma del o los
profesionales responsables de la Dirección de
Arquitectura.
El Inspector Fiscal enviará a la Sociedad
Concesionaria, los documentos de cobro,
quedando anotación en el Libro de Obras de la
fecha de envío. La Sociedad Concesionaria
deberá pagar dicho monto en un plazo máximo
de 30 días contados desde dicha fecha.
La Sociedad Concesionaria deberá llevar una
contabilización en Unidades de Fomento y para
tal efecto deberá registrar los pagos
realizados de acuerdo al valor que tenga la
Unidad de Fomento a la fecha de pago.
En caso que una vez se realicen todas las
obras artísticas que se definan y posterior a
la contabilización final de los montos
totales pagados por la Sociedad Concesionaria
fuesen inferiores al monto establecido en el
artículo 1.12.2.1.2 de las Bases de
Licitación, ésta deberá pagar al MOP la
diferencia resultante en un plazo máximo de
30 días desde la notificación del Inspector
Fiscal.
La Sociedad Concesionaria deberá mantener a
su entero cargo, costo y responsabilidad, las
obras artísticas desde su entrega por parte
del Inspector Fiscal hasta el cumplimiento
del plazo de concesión, debiendo realizar las
actividades que sean necesarias para dicho
objetivo.
. Por concepto de compensaciones sociales, en
conformidad con lo establecido en el artículo
1.12.2.1.3 de las Bases de Licitación, el
Concesionario deberá realizar los pagos de
acuerdo a los montos y procedimiento
establecidos en el artículo 2.7.1.8 número
iii) de las Bases de Licitación.
. Por concepto de Garantía de Ingresos Mínimos,
en conformidad con lo establecido en el
artículo 1.12.2.1.4 de las Bases de
Licitación, la Sociedad Concesionaria deberá
pagar al MOP un total de UF 270.000
(doscientas setenta mil Unidades de Fomento).
Dicho monto se deberá pagar en un total de 6
cuotas iguales anuales cada una por un total
de UF 45.000 (cuarenta y cinco mil Unidades
de Fomento), que deberán ser pagadas durante
los 6 primeros años de la Etapa de
Explotación de la Concesión, mientras no
renuncie al mecanismo de Ingresos Mínimos
Garantizados.
La primera cuota deberá ser pagada por la
Sociedad Concesionaria con anterioridad a la
fecha en que se presente la solicitud de
autorización de la primera Puesta en Servicio
Provisoria de las Obras. Si el Concesionario
no realiza dicho pago, el Inspector Fiscal no
autorizará dicha Puesta en Servicio
Provisoria de las Obras. Las siguientes
cuotas anuales se deberán cancelar el último
día hábil del mes de enero de cada año,
siguiente al pago de la cuota anterior.
Los pagos de las referidas cuotas, deberán
realizarse mediante Vale Vista emitido a
nombre del DGOP.
Los montos pagados por la Sociedad
Concesionaria al Estado por concepto de la
Garantía de Ingresos Mínimos no están sujetos
a reembolso ni restitución alguna por parte
del MOP.
La Sociedad Concesionaria podrá solicitar la
renuncia, desde el inicio de la concesión
hasta los 6 primeros años de la Etapa de
Explotación, al mecanismo de Ingresos Mínimos
Garantizados por el Estado que hubiera
solicitado de acuerdo con el artículo
1.12.7.1 de las Bases de Licitación, mediante
carta certificada ingresada a la oficina de
partes de la DGOP hasta 180 días antes del
pago de la cuota correspondiente.
La renuncia al mecanismo de Ingresos Mínimos
Garantizados por el Estado extingue las
obligaciones del Estado y de la Sociedad
Concesionaria respecto del pago de los
Ingresos Mínimos y de las cuotas restantes de
Pago por la Garantía de Ingresos Mínimos.
Dicha renuncia tendrá carácter de
irrevocable.
ix) De conformidad con lo establecido en 1.12.2.2, el
Licitante Adjudicatario o la Sociedad
Concesionaria, en su caso, deberá pagar al
Postulante individualizado en 1.2.3, ambos
artículos de las Bases de Licitación, la cantidad
de UF 84.798 (ochenta y cuatro mil setecientos
noventa y ocho Unidades de Fomento) por concepto
de reembolso de los estudios realizados por el
Postulante para el proyecto. Este pago deberá ser
realizado en una (1) cuota, mediante Vale Vista en
el plazo máximo de 120 días a contar de la fecha
de publicación en el Diario Oficial del presente
Decreto Supremo de Adjudicación del contrato de
concesión, y ciñéndose en todo lo demás a lo
dispuesto en el artículo 2º del DS MOP Nº 900, de
1996.
x) Contratar los seguros de Responsabilidad Civil por
Daños a Terceros y por Catástrofe de acuerdo a lo
señalado en 1.8.16 y 1.8.17, respectivamente, sin
perjuicio de lo indicado en 1.8.15, todos
artículos de las Bases de Licitación.
xi) La Sociedad Concesionaria deberá constituir las
garantías de construcción y de explotación en los
plazos y con los requisitos indicados en los
artículos 1.8.1.1 y 1.8.1.2 de las Bases de
Licitación, pudiendo ser tomadores de las
garantías el Adjudicatario o la Sociedad
Concesionaria. El MOP podrá hacer efectivas, total
o parcialmente, dichas garantías a través de
Resolución fundada del DGOP, atendida la entidad y
naturaleza del incumplimiento del contrato y, en
particular, en los casos indicados en el artículo
1.8.1 de las Bases de Licitación. En caso que el
MOP hiciera efectiva la garantía, ésta deberá
reconstituirse o completarse, según proceda, en el
plazo de 15 días a contar de la fecha en que se
hizo efectiva.
xii) De conformidad con lo establecido en los artículos
1.9.2.17 y 1.10.11 de las Bases de Licitación, el
Concesionario deberá mantener a disposición de los
usuarios, en todo momento, un Libro de Sugerencias
y Reclamos.
xiii) Durante las Etapas de Construcción y Explotación
del proyecto, y en conformidad con lo establecido
en el artículo 1.10.5 de las Bases de Licitación,
los costos de consumo de electricidad para la
iluminación de las obras definidas en los Estudios
Referenciales, así como las señaladas en las Bases
de Licitación y el agua de riego para las áreas
verdes (césped y especies arbóreas) que se
encuentren dentro del Área de Concesión, serán de
entero cargo, costo y responsabilidad del
Concesionario.
xiv) De conformidad con lo establecido en el artículo
2.7 de las Bases de Licitación, durante las Etapas
de Construcción y Explotación del proyecto, el
Concesionario deberá asumir la responsabilidad de
protección del medio ambiente y el cumplimiento de
los aspectos territoriales como una variable más
de su gestión, implementando las medidas
necesarias que aseguren un exitoso manejo
ambiental y territorial del proyecto.
Derechos:
i) Explotar las obras a contar de la autorización de
la primera Puesta en Servicio Provisoria de las
obras, hasta el término de la concesión, todo ello
de conformidad a lo señalado en los artículos
1.9.2.7 y 1.10 de las Bases de Licitación.
ii) Cobrar tarifas a los usuarios de la vía
concesionada por concepto de Derecho de Paso,
conforme a lo establecido en los artículos 1.13 y
1.14 de las Bases de Licitación.
Para estos efectos, según lo estipulado en el
artículo 1.13.1 de las Bases de Licitación, la
Sociedad Concesionaria deberá clasificar los
vehículos de acuerdo a lo señalado en la siguiente
Tabla:

En la eventualidad que el Ministerio de Obras
Públicas modifique sus criterios de clasificación
de vehículos para efecto del cobro de tarifas, la
Sociedad Concesionaria deberá acogerse a la nueva
clasificación, manteniendo las restantes
condiciones establecidas en las Bases de
Licitación. Los cambios señalados se refieren a
clasificaciones asociadas a tipos de vehículos y
no a tarifas asociadas, y no darán derecho a la
Sociedad Concesionaria a alegar indemnizaciones o
compensaciones de ningún tipo por este concepto.
Según lo señalado en el artículo 1.13.2 de las
Bases de Licitación, se define la Tarifa Base
Máxima (T0) como la tarifa máxima que está
autorizada a cobrar la Sociedad Concesionaria en
un Sistema de Cobro por Derecho de Paso, a los
Vehículos Tipo 2 según tabla precedente, que pasen
por los Puntos de Cobro en los sectores definidos
en el artículo 1.3 de las Bases de Licitación, que
cuenten con Puesta en Servicio Provisoria de
acuerdo a lo indicado en el artículo 1.9.2.7 de
las Bases de Licitación. Los Valores de la Tarifa
Base Máxima, en pesos chilenos al 31 de diciembre
del 2009, se definen de acuerdo a lo indicado en
la siguiente Tabla:

El valor de la Tarifa Base Máxima T0 se reajustará
a partir del 1º de enero de cada año de
explotación o cada vez que se compruebe una
inflación acumulada desde la última revisión
tarifaria igual o superior al 15%. En este último
caso la Tarifa Base Máxima se reajustará en un
valor igual a dicha inflación acumulada. Para el
cálculo de la Tarifa Base Máxima reajustada se
usará la siguiente expresión:
donde,
t : Año calendario de explotación contabilizado desde el
1º de enero del año de la Puesta en Servicio
Provisoria del primer sector en entrar en
explotación de la concesión.
To : Tarifa Base Máxima indicada en la Tabla: Valores de
Tarifa Máxima (T0), expresada en pesos chilenos al
31 de diciembre de 2009.
Tt : Es la Tarifa Base Máxima reajustada para el año t de
Explotación de la Concesión en pesos ($).
Tt-1: Es la Tarifa Base Máxima determinada para el período
inmediatamente anterior al año t, con dos decimales
y sin aplicar el fraccionamiento.
IPCo: Corresponde a la variación del Índice de Precios al
Consumidor cobertura nacional entre el 1º de enero
del año 2010 y el 31 de diciembre del año anterior
al comienzo de la Explotación de la Concesión, en
fracción, publicado por el Instituto Nacional de
Estadísticas (INE).
IPCt-1: Para valores de t mayores que 1, es la variación del
Índice de Precios al Consumidor cobertura nacional
entre la fecha del IPC considerada para el último
reajuste y el 30 de noviembre del año t-1 de
Explotación de la Concesión, en fracción, publicado
por el Instituto Nacional de Estadísticas (INE). En
caso que dicho indicador deje de existir como índice
relevante de reajustabilidad de costos, se aplicará
el mecanismo que lo reemplace.
RRt-1: Es el Reajuste Máximo Real anual de las Tarifas, que
podrá aplicar la Sociedad Concesionaria, sólo a
partir del 1º de enero de cada año calendario, de
acuerdo a lo siguiente:
Para estos efectos, la Sociedad Concesionaria con,
a lo menos, 20 días de anticipación al término de
cada año calendario de explotación, informará al
MOP, mediante carta certificada ingresada en la
Oficina de Partes de la DGOP, el reajuste anual,
indicando la tarifa que aplicará en el próximo
período.
De conformidad con 1.13.3 y con el fin de
facilitar el cobro de peajes a los usuarios, se
aplicará un fraccionamiento tarifario, que
consiste en ajustar la tarifa calculada de acuerdo
a lo establecido en 1.13.2 y 1.13.5, todos
artículos de las Bases de Licitación, cada $50, al
alza o a la baja y opera de la siguiente manera:
. Si el remanente por sobre las centenas de
pesos del valor de la tarifa reajustada es
menor a $50, el fraccionamiento se hará a la
baja si dicho remanente se encuentra entre $1
y $24, y se hará al alza si dicho remanente
se encuentra entre $25 y $49.
. Si el remanente por sobre las centenas de
pesos del valor de la tarifa reajustada es
mayor a $50, el fraccionamiento se hará a la
baja si dicho remanente se encuentra entre
$51 y $74, y se hará al alza si dicho
remanente se encuentra entre $75 y $99.
Según lo dispuesto en el artículo 1.13.5 de las
Bases de Licitación, para efectos del cobro de
tarifas en las Plazas de Peaje Troncales definidas
en la Tabla: Valores de Tarifa Máxima (T0), se
deberá considerar el Factor de Tarifas para cada
tipo de Vehículos que se indica en la Tabla
siguiente:
De conformidad con lo señalado en 1.13.6, la
tarifa máxima a cobrar al usuario en cada uno de
los sectores definidos en el artículo 1.3, será la
resultante de aplicar los factores señalados en
1.13.5 a la tarifa a aplicar a cada sector del
proyecto según lo señalado en el artículo 1.13.2,
todos artículos de las Bases de Licitación, de
acuerdo a lo indicado en la siguiente fórmula:

donde,
Tc : Tarifa a cobrar al usuario en cada uno de los
sectores definidos en el artículo 1.3 de las Bases
de Licitación.
Tt : Tarifa determinada para cada sector según Tabla
"Valores de Tarifa Base Máxima (T0)".
F : Factor por tipo de vehículo, de acuerdo a lo
indicado en el artículo 1.13.5 de las Bases de
Licitación.
De conformidad con 1.13.4 de las Bases de
Licitación, cada 2 años la Sociedad Concesionaria
podrá proponer de manera justificada, una revisión
del sistema de reajuste de las tarifas
establecidas en 1.13.2 y del sistema de cobro
establecido en 1.14, todos artículos de las Bases
de Licitación, como también de la relocalización
de los puntos de cobro, lo cual podrá ser aceptado
o rechazado por el MOP, con Visto Bueno del
Ministro de Hacienda.
Adicionalmente, el Concesionario tendrá derecho a
realizar una gestión tarifaria de acuerdo a las
condiciones señaladas en el artículo 1.13.7 de las
Bases de Licitación.
iii) Percibir un Ingreso Mínimo Garantizado por el
Estado, de acuerdo a lo dispuesto en el artículo
1.12.7.1 de las Bases de Licitación, siempre y
cuando la Sociedad Concesionaria no renuncie a
dicho mecanismo según lo indicado en el artículo
1.12.2.1.4 de las Bases de Licitación.
Para efectos de este mecanismo de Ingreso Mínimo
Garantizado, se establece como primer año
calendario de explotación, aquel que comienza el
1º de enero del año en que se hubiere autorizado
la Puesta en Servicio Definitiva de las obras.
Para los efectos del cálculo del pago de parte del
Estado, para el primer año calendario de
explotación de la Concesión, en el caso que
considere menos de 12 meses de explotación dentro
de dicho año calendario, contados desde la Puesta
en Servicio Definitiva de las obras, el Ingreso
Mínimo Garantizado será por la proporción (a razón
de 1/12 veces el Ymin,t por mes) de los meses que
efectivamente operó la Concesión. Para estos
efectos sólo se considerarán los meses calendarios
completos en que se explotó la concesión.
Los Ingresos Mínimos Garantizados por el Estado se
indican en la siguiente Tabla:

En el caso que la concesión se extinga por alguna
de las causas señaladas en el artículo 1.11.2 de
las Bases de Licitación antes del plazo de
cobertura de los Ingresos Mínimos Garantizados, la
Sociedad Concesionaria no tendrá derecho a
percibirlos a contar de la fecha de extinción de
la concesión.
iv) El Concesionario podrá proponer Servicios
Complementarios en cualquier instante dentro del
período de la Concesión, estando obligado a
proporcionarlos una vez que sean aceptados por el
Inspector Fiscal, de acuerdo a lo señalado en el
artículo 1.10.9.3 de las Bases de Licitación.
v) El Concesionario estará autorizado para ofrecer a
título oneroso a los usuarios interesados, Tags o
Transponders, los cuales formarán parte de los
Bienes afectos a la Concesión, de acuerdo a lo
dispuesto en el artículo 1.14.1.1.4 de las Bases
de Licitación.
18.- El Concesionario deberá constituir las garantías por construcción y explotación de las obras, conforme a lo establecido en los artículos 1.8.1.1 y 1.8.1.2 de las Bases de Licitación, respectivamente. Las citadas garantías deberán cumplir lo siguiente:
. GARANTÍA DE CONSTRUCCIÓN
Dentro del plazo de 70 días contados desde el inicio del plazo de la concesión y de la Etapa de Construcción, señalado en el artículo 1.7.5 de las Bases de Licitación, el Adjudicatario o la Sociedad Concesionaria según sea el caso, deberá entregar la Garantía de Construcción, la cual podrá estar constituida por diez boletas de garantía bancarias, de igual monto, o bien, por una póliza de seguro de garantía de ejecución inmediata para concesiones de obras públicas según lo dispuesto en el artículo 1.8.1.3 de las Bases de Licitación. La garantía de construcción deberá ser pagadera a la vista, emitida en Santiago de Chile por un Banco o Compañía de Seguros de la plaza, según corresponda, a nombre del Director General de Obras Públicas. La glosa de dichas boletas será: "Para garantizar el cumplimiento de las obligaciones durante la Etapa de Construcción de la Obra Pública Fiscal denominada Concesión Autopista Concepción - Cabrero". El valor total de las boletas de garantía de construcción corresponderá a UF 320.000 (trescientas veinte mil Unidades de Fomento).
El plazo de vigencia de la garantía será de al menos 18 meses.
Cuando la Sociedad Concesionaria solicite iniciar anticipadamente las obras, el Inspector Fiscal, en el evento que acepte dicha solicitud, deberá fijar el plazo para la entrega de esta garantía, plazo que no podrá exceder de 10 días contados desde la aceptación de la solicitud, y en todo caso, antes del inicio anticipado de las obras.
Una vez que haya sido autorizada por el Inspector Fiscal la Puesta en Servicio Provisoria de las Obras correspondiente al Sector A indicada en el artículo 1.9.2.7 de las Bases de Licitación, la garantía de construcción antes mencionada podrá ser disminuida a un valor total de UF 200.000 (doscientas mil Unidades de Fomento), cuyo plazo de vigencia será de al menos 18 meses, contados desde la fecha de entrega, debiendo contar para ello con la autorización expresa del Inspector Fiscal.
Todas las boletas de garantía de construcción deberán permanecer vigentes durante todo el período de construcción de la obra, más 6 meses, debiendo ser renovadas a lo menos 90 días antes de su fecha de vencimiento, sin perjuicio que el Concesionario hubiere entregado la Boleta de Garantía Bancaria de Explotación, según lo indicado en el artículo 1.8.1.2 de las Bases de Licitación.
La garantía de construcción de la obra será devuelta a la Sociedad Concesionaria una vez otorgada la autorización de Puesta en Servicio Provisoria de la totalidad de las obras y siempre que se haya entregado la totalidad de la garantía de explotación a conformidad del MOP, y de acuerdo a lo señalado en el Reglamento de la Ley de Concesiones. Cumplido todo lo anterior, el MOP devolverá la garantía de construcción en un plazo máximo de 30 días.
. GARANTÍA DE EXPLOTACIÓN
Conjuntamente a la solicitud de autorización de Puesta en Servicio Provisoria Parcial y Total de cualquiera de los sectores según lo dispuesto en el artículo 1.9.2.7, el Concesionario deberá constituir una garantía de explotación de acuerdo a las condiciones establecidas en el artículo 1.8.1.2 de las Bases de Licitación.
Esta garantía podrá ser constituida por 10 (diez) boletas de garantía bancaria de igual monto, o bien por una póliza de seguro de garantía de ejecución inmediata para concesiones de obras públicas según lo dispuesto en el artículo 1.8.1.3 de las Bases de Licitación, pagaderas a la vista, emitida en Santiago de Chile por un Banco o Compañía de Seguros de la plaza, según corresponda, a nombre del Director General de Obras Públicas y con la siguiente glosa o materia asegurada: "Para garantizar el cumplimiento de las obligaciones durante la Etapa de Explotación de la Obra Pública Fiscal denominada Concesión Autopista Concepción - Cabrero".
El monto establecido para la Garantía de Explotación, dependiendo del Sector al cual se solicita la Puesta en Servicio Provisoria, se indica en la Tabla siguiente:

Por su parte, conjuntamente a la solicitud de Puesta en Servicio Provisoria de la totalidad de las obras, según lo dispuesto en el artículo 1.9.2.7, el Concesionario deberá reemplazar las boletas antes indicadas, por otras boletas de garantía de explotación, de acuerdo a las condiciones establecidas en el artículo 1.8.1.2 de las Bases de Licitación, por un valor total de UF 150.000 (ciento cincuenta mil Unidades de Fomento).
Toda Garantía que el Concesionario entregue deberá tener un plazo de vigencia igual al máximo período de explotación restante, que corresponderá a la diferencia entre el Plazo Máximo de Concesión indicado en el artículo 1.7.6 de las Bases de Licitación y la respectiva Puesta en Servicio Provisoria, más 12 meses. No obstante, el Concesionario podrá optar por entregar garantías cuya vigencia sea menor, con un plazo no inferior a 18 meses y renovarlas 12 meses antes de su término de vigencia, siempre que ello sea aceptado por el DGOP y cada documento sea entregado antes del vencimiento del anterior. Para ello, el Concesionario deberá solicitar por escrito al DGOP la autorización requerida. Dentro de los 30 días posteriores a la fecha de recepción en la Oficina de Partes de la DGOP de dicha solicitud, el DGOP comunicará por escrito su decisión de rechazo o aceptación. En este último caso el plazo de la última garantía será lo que reste del período de explotación más 12 meses.
El MOP no otorgará la autorización de Puesta en Servicio Provisoria de ninguna de las Fases de la Concesión, mientras no se dé cumplimiento a la obligación de entregar la garantía de explotación previamente aprobada por el Inspector Fiscal.
La Sociedad Concesionaria deberá entregar una Garantía de Explotación Adicional que tendrá por finalidad asegurar el cumplimiento de las condiciones en las que el Estado recibirá la Concesión, estipuladas en el artículo 1.11.3 de Bases de Licitación. Dicha garantía será entregada cuando se cumpla que el valor del VPI supere el 95% del monto del ITC, valorizado según lo indicado en el artículo 1.7.7.1 de las Bases de Licitación o cuando falten 12 meses para la extinción del contrato según el Plazo Máximo de la Concesión indicado en el artículo 1.7.6 de las Bases de Licitación, lo que primero ocurra, mediante 10 boletas de garantía bancarias, de igual monto, o bien por una póliza de seguro de garantía de ejecución inmediata para concesiones de obras públicas según lo dispuesto en el artículo 1.8.1.3 de las Bases de Licitación, emitidas en Santiago de Chile, por un banco o Compañía de Seguros de la plaza, según corresponda, a nombre del DGOP pagaderas a la vista por un valor total de UF 150.000 (ciento cincuenta mil Unidades de Fomento). Esta garantía adicional tendrá una vigencia de 30 meses.
Toda garantía de explotación deberá ser pagadera a la vista.
Las garantías de explotación serán devueltas dentro del plazo de 15 días, contados desde que el Inspector Fiscal certifique que el Concesionario ha cumplido todas las obligaciones contraídas con el MOP.
La garantía de Explotación Adicional será devuelta por el MOP dentro del plazo de 15 días siguientes al término de vigencia de la misma.
19.- Conforme a lo señalado en el artículo 1.12.5 de las Bases de Licitación, el Concesionario y el MOP realizarán los pagos que correspondan en virtud del Contrato de Concesión en los plazos señalados en las Bases de Licitación. En caso que se produzcan retrasos, dichos pagos devengarán un interés real diario equivalente, en base a 365 días, a la tasa de interés corriente para operaciones reajustables en moneda nacional a menos de un año, vigente a la fecha del pago efectivo, lo que debe entenderse sin perjuicio de la aplicación de las multas que correspondan. No obstante lo anterior, el retraso injustificado de los pagos que la Sociedad Concesionaria tenga que realizar al MOP dará derecho a éste, al cobro de la correspondiente boleta de garantía, conforme a lo señalado en el artículo 1.8.1 de las Bases de Licitación.
20.- Las multas que procedan se aplicarán conforme a lo estipulado en las Bases de Licitación y sus Circulares Aclaratorias, y a lo dispuesto en el D. S. MOP Nº 900 de 1996, que fija el texto refundido, coordinado y sistematizado del DFL MOP Nº 164 de 1991, Ley de Concesiones de Obras Públicas y sus modificaciones, y en el D.S. MOP Nº 956 de 1997, Reglamento de la Ley de Concesiones y sus modificaciones.
21.- La Dirección General de Obras Públicas será el Servicio del Ministerio de Obras Públicas que fiscalizará el contrato de concesión en sus diversos aspectos y etapas.
Anótese, tómese razón y publíquese.- SEBASTIÁN PIÑERA ECHENIQUE, Presidente de la República.- Hernán de Solminihac Tampier, Ministro de Obras Públicas.- Felipe Larraín Bascuñán, Ministro de Hacienda.
Lo que transcribo para su conocimiento.- Saluda atte. a Ud., María Loreto Silva Rojas, Subsecretaria de Obras Públicas.