ADJUDICA CONTRATO DE CONCESIÓN PARA LA EJECUCIÓN, CONSERVACIÓN Y EXPLOTACIÓN DE LA OBRA PÚBLICA FISCAL DENOMINADA "CONCESIÓN RUTA 5 NORTE. TRAMO: LA SERENA VALLENAR"
Núm. 98.- Santiago, 26 de enero de 2012.- Vistos:
- El artículo 87 del DFL MOP Nº 850, de 1997, que fija el texto refundido, coordinado y sistematizado de la Ley Nº 15.840, de 1964, Orgánica del Ministerio de Obras Públicas y del DFL Nº 206, de 1960, Ley de Caminos, y sus modificaciones.
- El DS MOP Nº 900, de 1996, que fija el texto refundido, coordinado y sistematizado del DFL MOP Nº 164, de 1991, Ley de Concesiones de Obras Públicas, y sus modificaciones.
- El DS MOP Nº 956, de 1997, Reglamento de la Ley de Concesiones de Obras Públicas, y sus modificaciones.
- El oficio Gab. Pres. Nº 1.163 de 27 de agosto de 2009, de su Excelencia la Presidenta de la República, mediante el cual se aprueba la ejecución de la obra pública fiscal denominada "Concesión Ruta 5 Norte. Tramo: La Serena - Vallenar", a través del Sistema de Concesiones.
- El oficio ord. Nº 957, de 21 de agosto de 2009, del señor Ministro de Hacienda, mediante el cual se aprueban las Bases de Licitación y el Prospecto de Inversión del Proyecto "Concesión Ruta 5 Norte. Tramo: La Serena - Vallenar" a ejecutar por el Sistema de Concesiones.
- La resolución DGOP N° 140 de 30 de agosto de 2010, que revoca resoluciones que indica y aprueba las Bases de Licitación de la obra pública fiscal denominada "Concesión Ruta 5 Norte. Tramo: La Serena - Vallenar" y sus circulares aclaratorias Nos 1, 2, 3, 4, 5 y 6.
- Las resoluciones DGOP Nº 160 de 28 de septiembre; Nº 167 de 7 de octubre; y exenta Nº 3.487 de 8 de octubre, todas del año 2010, mediante las cuales se aprueban, respectivamente, las circulares aclaratorias Nos 7, 8 y 9 de las Bases de Licitación de la obra pública fiscal denominada "Concesión Ruta 5 Norte. Tramo: La Serena - Vallenar".
- El DS MOP N° 224 de 6 de junio de 2011, que adjudica el Contrato de Concesión para la ejecución, conservación y explotación de la obra pública fiscal denominada "Concesión Ruta 5 Norte. Tramo: La Serena - Vallenar", tomado de razón por Contraloría General de la República el 19 de agosto de 2011 y publicado en el Diario Oficial el 3 de septiembre del mismo año.
- El DS MOP Nº 333 de 3 de noviembre de 2011, que declara incumplimiento de obligaciones que indica y deja sin efecto adjudicación del Contrato de Concesión para la ejecución, conservación y explotación de la obra pública fiscal denominada "Concesión Ruta 5 Norte. Tramo: La Serena - Vallenar", tomado de razón por Contraloría General de la República el 11 de noviembre de 2011 y publicado en el Diario Oficial el 18 de noviembre del mismo año.
- La Convocatoria a Licitación Privada para la "Concesión Ruta 5 Norte. Tramo: La Serena - Vallenar", comunicada a los grupos licitantes "Ruta Elqui Huasco", "OHL Concesiones" y "Consorcio Vial Chile" y al licitante "Sacyr Concesiones Chile S.A.", a través de los oficios ord. DGOP Nos 1.401, 1.403, 1.404 y 1.402, respectivamente, todos de 18 de noviembre de 2011, y su modificación contenida en oficio ord. DGOP N° 1.508 de 9 de diciembre de 2011.
- El Acta de Recepción y Apertura de Antecedentes Generales y Recepción de Oferta Económica de la Licitación Privada de fecha 13 de diciembre de 2011.
- El Acta de Verificación de Antecedentes Generales, de fecha 15 de diciembre de 2011.
- El Acta de Apertura de Ofertas Económicas, de fecha 20 de diciembre de 2011.
- El Acta de Calificación de las Ofertas Económicas, de fecha 22 de diciembre de 2011.
- El Acta de Adjudicación del Director General de Obras Públicas, de fecha 6 de enero de 2012; y
- La resolución Nº 1.600 de 2008, de la Contraloría General de la República que Fija Normas sobre Exención del Trámite de Toma de Razón.
Decreto:
1. Adjudícase el Contrato de Concesión para la ejecución, reparación, conservación, operación y explotación de la obra pública fiscal denominada "Concesión Ruta 5 Norte. Tramo: La Serena - Vallenar", que se emplaza en la IV y III Regiones de Coquimbo y Atacama, respectivamente, abarcando las comunas de La Serena, La Higuera y Vallenar, al Licitante "Sacyr Concesiones Chile S.A.".
2. Declárase que forman parte integrante del presente decreto supremo de Adjudicación para la concesión de la obra pública fiscal denominada "Concesión Ruta 5 Norte. Tramo: La Serena - Vallenar": las Bases de Licitación y las circulares aclaratorias Nos 1, 2, 3, 4, 5 y 6 aprobadas por resolución DGOP Nº 140 de 30 de agosto; la Circular Aclaratoria Nº 7 aprobada por resolución DGOP Nº 160 de 28 de septiembre; la Circular Aclaratoria N° 8 aprobada por resolución DGOP Nº 167 de 7 de octubre; y la Circular Aclaratoria N° 9 aprobada por resolución DGOP exenta Nº 3.487 de 8 de octubre, todas del año 2010; la Convocatoria a Licitación Privada comunicada al Licitante "Sacyr Concesiones Chile S.A.", a través de oficio ord. DGOP Nº 1.402 de 18 de noviembre de 2011 y su modificación contenida en oficio ord. DGOP Nº 1.508 de 9 de diciembre de 2011; su Oferta Técnica presentada en la Licitación Pública original, en los términos dispuestos en dicha convocatoria; y los Antecedentes Generales y Oferta Económica presentados por el Licitante "Sacyr Concesiones Chile S.A." en la Licitación Privada, en la forma aprobada por el MOP.
3. En caso de discrepancia en la interpretación del Contrato de Concesión, primará lo dispuesto en las Bases de Licitación y sus Circulares Aclaratorias, por sobre lo establecido en la Oferta presentada por el Adjudicatario de la Concesión, salvo el caso en que ésta contenga aspectos superiores a lo exigido en las Bases de Licitación y sus Circulares Aclaratorias, lo que será calificado por el Director General de Obras Públicas.
4. Forman parte del Contrato de Concesión las disposiciones pertinentes de los siguientes cuerpos legales:
a) El decreto supremo MOP Nº 900, de 1996, que fija el texto refundido,
coordinado y sistematizado del DFL MOP Nº 164, de 1991, Ley de
Concesiones de Obras Públicas y sus modificaciones.
b) El decreto supremo MOP Nº 956, de 1997, Reglamento de la Ley de
Concesiones de Obras Públicas y sus modificaciones.
c) El DFL MOP Nº 850, de 1997, que fija el texto refundido, coordinado y
sistematizado de la ley Nº 15.840, de 1964, Orgánica del Ministerio de
Obras Públicas y del DFL Nº 206, de 1960, Ley de Caminos y sus
modificaciones.
En todo caso, ante cualquier discrepancia en la interpretación de los
documentos que conforman las Bases de Licitación y la normativa vigente
que sea aplicable al Contrato de Concesión, primará lo dispuesto en
dicha normativa.
5. Forman parte integrante del Contrato de Concesión, la Convocatoria a Licitación Privada comunicada a "Sacyr Concesiones Chile S.A.", a través de oficio ord. DGOP Nº 1.402 de 18 de noviembre de 2011 y su modificación contenida en oficio ord. DGOP Nº 1.508 de 9 de diciembre de 2011, y los siguientes documentos indicados en los artículos 1.4.1 y 1.4.3 de las Bases de Licitación:
. Documento Nº 2 Bases Administrativas.
. Documento Nº 3 Bases Técnicas.
. Documento Nº 4 Bases Económicas.
. Documento Nº 5 Circulares Aclaratorias emitidas por el Director
General de Obras Públicas.
. Documento Nº 6 Manual de Planes de Manejo Ambiental para Obras
Concesionadas, versión 5.01, elaborado por el
Ministerio de Obras Públicas.
. Documento N° 7 Manual de Manejo de Áreas Verdes para Proyectos
Concesionados, versión 2.01, elaborado por el
Ministerio de Obras Públicas.
. Documento Nº 8 Catastros de Arrendatarios y/o Allegados residentes en
propiedades del Programa de Expropiación de la
Concesión Proyecto Ruta 5 Norte: La Serena –
Vallenar. Comuna de Vallenar mayo de 2008, Comuna de
Vallenar junio de 2009, Comuna de La Serena junio de
2009, Comuna de La Higuera junio de 2009. Catastro de
Hogares Residentes. Proyecto de Concesión
Mejoramiento de la Ruta 5 Norte Sector Vallenar –
Caldera. Comuna de Vallenar Sector Incahuasi. III
Región. Mayo 2008.
. Documento Nº 9 Declaración de Impacto Ambiental del Proyecto por
Concesión Mejoramiento de la Ruta 5 Norte, Sector
Domeyko - Vallenar, III Región, Km. 613,300 –
660,000. Tramo 2a. Septiembre de 2007. Adenda Nº 1 y
Adenda Nº 2 de la DIA Mejoramiento de la Ruta 5
Norte, Sector Domeyko - Vallenar, III Región, Km.
613,300 - 660,000. Tramo 2a.
. Documento Nº 10 Resolución exenta Nº 62, Corema III Región de
Atacama, de fecha 8 de febrero de 2008 que Califica
favorablemente el proyecto "Mejoramiento de la Ruta 5
Norte, Sector Domeyko – V Valenar, III Región, Km.
613,300 - 660,000. Tramo 2a".
. Documento Nº 11 Declaración de Impacto Ambiental del Proyecto por
Concesión Mejoramiento de la Ruta 5 Norte, Tramo:
Sector Río Elqui - Límite Urbano Norte (Km. 473,500 –
Km. 485,200). IV Región. Noviembre de 2009.
. Documento Nº 12 Declaración de Impacto Ambiental del Proyecto por
Concesión Mejoramiento de la Ruta 5 Norte, Tramo:
Inicio Límite Urbano Norte - Límite Regional (Km.
485,200 - Km. 559,600). IV Región. Septiembre de
2009, y sus Adendas Nº 1, N° 2 y N° 3.
. Documento Nº 13 Declaración de Impacto Ambiental del Proyecto por
Concesión Mejoramiento de la Ruta 5 Norte, Tramo:
Límite Regional - Domeyko (Km. 559,600 - Km.
613,300). III Región. Octubre de 2009.
. Documento Nº 14 Resolución exenta Nº 72 de la Comisión Regional del
Medio Ambiente IV Región de Coquimbo, de fecha 15 de
junio de 2010, que califica favorablemente el
proyecto "Ruta 5 Norte, Sector Límite Urbano Norte
La Serena - Límite Regional, IV Región (Km. 485,200
- Km. 559,600)".
. Estudios Referenciales aceptados totalmente por el Licitante Adjudicatario en su Oferta Técnica denominados:
- "Mejoramiento de la Ruta 5 Norte, Sector La Serena - Domeyko, III y IV Región. Tramo 1: La Serena - Límite Regional. Estudio de Ingeniería.".
- "Mejoramiento de la Ruta 5 Norte, Sector La Serena - Domeyko, III y IV Región. Tramo 2: Límite Regional - Domeyko. Estudio de Ingeniería.".
- "Plano Referencial de Áreas de Expropiaciones.".
- "Mejoramiento de la Ruta 5 Norte, Sector Domeyko - Caldera y de Ruta C-46, Sector Vallenar - Huasco, III Región. Tramo 2.a: Domeyko - Chehueque. Estudio de Ingeniería.". Los antecedentes que se refieran al área ubicada al norte del Dm 660.000 no forman parte de la concesión.
6. El inicio del plazo de la concesión se contará a partir de la fecha de publicación en el Diario Oficial del presente decreto supremo de Adjudicación, de acuerdo a lo establecido en el artículo 1.7.5 de las Bases de Licitación.
7. La concesión, de acuerdo a lo establecido en los artículos 1.7.6, 1.7.6.1 y 1.7.6.2 de las Bases de Licitación, se extinguirá el mes "m" en que se cumpla la siguiente relación:

Donde el término ITC corresponde al valor de los Ingresos Totales de la Concesión, que en este caso, dado que el Licitante Adjudicatario optó por el Tramo A de licitación, es de UF 7.185.000 (siete millones ciento ochenta y cinco mil unidades de fomento), de acuerdo a lo señalado en la letra B. "Oferta Económica", del punto 1, de la Convocatoria a Licitación Privada; y VPIm corresponde al Valor Presente de los Ingresos de la Sociedad Concesionaria (expresados en UF), calculado en el mes "m" de concesión, contado desde la fecha de Puesta en Servicio Provisoria de las obras del primer tramo señalada en el artículo 1.9.2.7 de las Bases de Licitación (el mes donde se autoriza la Puesta en Servicio Provisoria de las obras es m=1) y actualizado al mes anterior al de la Puesta en Servicio Provisoria de las obras del primer tramo.
El VPIm se calculará mensualmente de acuerdo a la siguiente expresión:

IMi : Ingresos mensuales por recaudación de peajes o tarifas
(expresados en UF) en el mes "i" de explotación, sobre la base
de la información señalada en el artículo 1.8.6.2, letra f), de
las Bases de Licitación.
IMGi : Pagos a la Sociedad Concesionaria por concepto de Ingresos Mínimos
Garantizados (expresados en UF), de acuerdo a lo indicado en el
artículo 1.12.7.1 de las Bases de Licitación, que se hubieren pagado
en el mes "i" de explotación.
rF : Tasa Fija, que para efectos del presente cálculo corresponde a 0,04
(4,0% real anual).
01 : Premio por riesgo, que para efectos del presente cálculo corresponde
a 0,05 (5% real anual).
02 : Premio por riesgo, que para efectos del presente cálculo corresponde
a 0,02 (2% real anual).
d : Mes en el cual se aprueba la Puesta en Servicio Provisoria de la
Totalidad de las Obras señalada en el artículo 1.10.1 de las Bases
de Licitación, contado desde el inicio de la concesión.
CSl : Pagos de la Sociedad Concesionaria por sobre las UF 250.000
(doscientas cincuenta mil unidades de fomento), en el mes "l" de la
etapa de construcción (expresados en UF a la fecha de facturación), a
las empresas de servicios por concepto de Cambios de Servicios y que
son incorporados al valor del VPI de acuerdo a lo establecido en el
artículo 1.8.19 de las Bases de Licitación.
Con todo, si transcurridos 420 meses contados desde el inicio del
plazo de la concesión señalado en 1.7.5, esto es, desde la
publicación en el Diario Oficial del presente decreto supremo de
Adjudicación, no se hubiere cumplido la ecuación (1) señalada en el
presente numeral, la concesión se extinguirá por cumplimiento del
plazo máximo, de acuerdo a lo señalado en 1.7.6 y 1.11.2.2, todos
artículos de las Bases de Licitación.
8. De acuerdo a lo señalado en el artículo 1.8.7 de las Bases de Licitación, el MOP entregará al Concesionario la infraestructura preexistente que se encuentre en la faja vial y en la cual se deberán ejecutar las obras mínimas definidas en los Estudios Referenciales y en las Bases de Licitación, las cuales deberán ser mantenidas y conservadas conforme a lo señalado en los documentos que conforman el Contrato de Concesión. La Sociedad Concesionaria recibirá dicha infraestructura en el estado en que se encuentre en el momento de la entrega del terreno y será responsabilidad de la misma mantener los niveles, exigencias y estándares exigidos en los documentos que conforman el Contrato de Concesión.
9. El Concesionario, de acuerdo a lo establecido en los artículos 1.9.1.1 y 1.9.1.2 de las Bases de Licitación, deberá elaborar los Proyectos de Ingeniería de Detalle de todas las obras incluidas en las Bases de Licitación y en los Estudios Referenciales aceptados por el Licitante Adjudicatario en su Oferta Técnica, conforme a los estándares establecidos en dichos estudios, las Bases de Licitación y demás documentos que forman parte del Contrato de Concesión. Las obras no podrán ejecutarse en tanto dichos Proyectos de Ingeniería de Detalle no se encuentren aprobados por el Inspector Fiscal.
10. De acuerdo a lo establecido en 1.9 y 1.9.2.6, el inicio de la Etapa de Construcción de las Obras se contabilizará a partir del inicio del Plazo de Concesión, indicado en 1.7.5, y finalizará una vez autorizada la Puesta en Servicio Provisoria de la totalidad de las obras señalada en 1.10.1, todos artículos de las Bases de Licitación.
Una vez iniciada la Etapa de Construcción, el Concesionario deberá emitir declaraciones de avance para cada uno de los tramos definidos en 1.3. Dichas declaraciones deberán cumplir, al menos, con los porcentajes de avance requeridos y entregarse en los plazos máximos indicados en 1.9.2.6, ambos artículos de las Bases de Licitación, contados desde la publicación del presente decreto de Adjudicación del Contrato de Concesión en el Diario Oficial.
11. De acuerdo a lo dispuesto en el artículo 2.2.1 de las Bases de Licitación, los Proyectos de Ingeniería de Detalle que debe confeccionar la Sociedad Concesionaria, deberán cumplir los estándares técnicos contenidos en las Bases Técnicas y en los Estudios Referenciales, así como también en la normativa vigente, los Instructivos de los Departamentos de Gestión Vial, de Estudios Viales, de Puentes, y de Seguridad Vial de la Dirección de Vialidad, debiendo considerar entre otros, los siguientes documentos:
. Manual de Carreteras de la Dirección de Vialidad del MOP, en su versión
vigente, incluidas todas sus actualizaciones al momento de realizar el
proyecto de ingeniería. Volúmenes 2 al 9.
. Para el diseño de Puentes y Estructuras Afines, regirán los Estándares y
Normas indicados en el Tópico 3.1000 del MC-V3, en su edición vigente al
momento de desarrollar los Proyectos de Ingeniería de Detalle y las
disposiciones de AASHTO LRFD Bridges Design Specifications.
. Normas Chilenas del Instituto Nacional de Normalización (INN).
. Manual de Señalización de Tránsito del Ministerio de Transportes y
Telecomunicaciones, en su edición vigente al momento de desarrollar los
Proyectos de Ingeniería de Detalle.
. Especificaciones Técnicas Generales de Construcción de la Dirección de
Vialidad del MOP.
. Guía AASHTO para Diseño Estructural de Pavimentos, en su edición
vigente.
. Normas de la Superintendencia de Electricidad y Combustibles (SEC).
. Ley y Ordenanza General de Urbanismo y Construcciones y los Instrumentos
de Planificación Territorial vigentes (Planes Reguladores Comunales e
Intercomunales), correspondientes al territorio de emplazamiento del
proyecto.
. Las Bases de Licitación y sus Circulares Aclaratorias.
Además, el MOP podrá, durante el desarrollo del estudio, solicitar al
Concesionario precisar, acotar y/o corregir la información de los
estudios, con el objetivo de que se cumplan las condiciones de
suficiencia para definir adecuadamente las obras objeto de la Concesión,
debiendo el Concesionario desarrollar a su entero cargo y costo los
estudios que sean necesarios.
12. De acuerdo a lo establecido en los artículos 2.3 y 2.3.1 de las Bases de
Licitación, la Sociedad Concesionaria deberá ejecutar todas las obras
que resulten de los Proyectos de Ingeniería de Detalle aprobados por el
Inspector Fiscal, debiendo construir, a su entero cargo, costo y
responsabilidad, entre otras obras, las siguientes:
i) Doble calzada y ampliación a segundas calzadas en todos aquellos
tramos y longitudes que se señalan en los Estudios Referenciales
indicados en el artículo 1.4.3 de las Bases de Licitación, conforme a
los Proyectos de Ingeniería de Detalle aprobados por el Inspector
Fiscal. Además, el Concesionario deberá proyectar y construir el
empalme con la Concesión
de Ruta 5 Norte Tramo Vallenar - Caldera en el Dm 660.000 aproximado
(empalme con la concesión de "Ruta 5 Norte. Tramo Vallenar-Caldera").
Todo lo anterior de acuerdo a lo dispuesto en el artículo 2.3.1.1 de
las Bases de Licitación.
ii) Las intersecciones a desnivel, de acuerdo a lo dispuesto en el
artículo 2.3.1.2 de las Bases de Licitación.
iii) Los puntos retornos y pistas de viraje central en la mediana, de
acuerdo a lo dispuesto en el artículo 2.3.1.3 de las Bases de
Licitación.
iv) Los puentes, pasos superiores de ferrocarril, estructuras de enlace,
pasos interprediales y estructuras de paso sin conexión a la Ruta 5
Norte, de acuerdo a lo dispuesto en el artículo 2.3.1.4 de las Bases
de Licitación.
v) Las pasarelas peatonales, de acuerdo a lo dispuesto en el artículo
2.3.1.5 de las Bases de Licitación.
vi) Las calles de servicio de acuerdo a lo dispuesto en 2.3.1.6,
incluyendo la construcción de todos los accesos públicos y
particulares a las calles de servicio señalados en los Estudios
Referenciales indicados en 1.4.3, de acuerdo a los estándares
definidos en 2.3.1.7.1, todos artículos de las Bases de Licitación.
vii) Las intersecciones y accesos a nivel señalados en 2.3.1.7.1, las a
ceras peatonales señaladas en 2.3.1.7.2, los paraderos de buses
señalados en 2.3.1.7.3, la plaza de pesaje señalada en 2.3.1.7.5 y un
paseo peatonal en el puente fiscal existente de acuerdo a lo señalado
en 2.3.1.7.6, todos artículos de las Bases de Licitación.
viii) Delimitar totalmente el área de concesión de acuerdo a lo dispuesto en
2.3.1.8 de las Bases de Licitación.
ix) Obras de señalización, demarcación y seguridad vial, según las obras
definitivas señaladas en 2.3, lo que será sometido a consideración del
Inspector Fiscal, previo a su implementación. La Sociedad
Concesionaria deberá implementar y mantener, a su entero cargo y
costo, la señalización, demarcación y elementos de seguridad vial de
toda la vía concesionada, y la de los caminos transversales que son
afectados, de acuerdo a lo dispuesto en 2.3.1.9, ambos artículos de
las Bases de Licitación.
x) Obras de iluminación según las obras definitivas así como en algunos
sectores de la doble calzada de la Ruta 5 Norte, en las intersecciones
a desnivel (enlaces y/o atraviesos), en las zonas de pasarelas
peatonales, en las áreas de atención de emergencia, de descanso y
aparcamientos, plazas de peajes, plaza de pesaje, sector urbano de La
Serena (Dm 473.500 al Dm 482.500), puntos de retornos, entre otros, de
acuerdo a las normas, criterios, disposiciones, reglamentaciones y
requerimientos establecidos en 2.2.2.13, según lo dispuesto en
2.3.1.10, ambos artículos de las Bases de Licitación.
xi) La ejecución del replanteo de los ejes del proyecto, de las trazas que
definirán el área a expropiar necesarias para la construcción del
proyecto, y de todas aquellas obras que constituyan trazados nuevos o
ampliaciones de la calzada existente, de acuerdo a lo dispuesto en el
artículo 2.3.1.11 de las Bases de Licitación.
xii) Despejar y retirar de las áreas entregadas por el MOP para la
ejecución y mantención de las obras, todo lo que exista sobre el
terreno, sea o no factible de ser recuperado para un posterior uso,
demoliendo y retirando todas las construcciones, instalaciones,
plantaciones y, en general, los elementos de cualquier especie, que
puedan interferir en la construcción
de la obra de acuerdo a lo señalado en el artículo 2.3.1.12 de las
Bases de Licitación.
xiii) Si para la ejecución de la obra resultara indispensable constituir o
modificar servidumbres existentes, el Concesionario deberá
constituirlas o restablecerlas a su cargo y costo, conforme a lo
dispuesto en el artículo 16 del decreto supremo MOP Nº 900 de 1996, en
un plazo que no interfiera con el desarrollo normal de la ejecución de
las obras y que en ningún caso será mayor a la fecha de la Puesta en
Servicio Provisoria del sector correspondiente. Todos los costos
asociados a permisos de accesos a terreno y a constitución y/o
modificación de servidumbres serán de entero cargo de la Sociedad
Concesionaria, de acuerdo a lo dispuesto en el artículo 2.3.1.13 de
las Bases de Licitación.
xiv) Mantener, reparar y rehabilitar toda la infraestructura existente en
la faja fiscal comprendida en la Ruta 5 entre el Dm 473.500 y el
empalme con la concesión de "Ruta 5 Norte. Tramo Vallenar - Caldera"
(Dm 660.000 balizado correspondiente a los planos de diseño en planta
de los Estudios Referenciales), desde el momento de la entrega de
terreno, de acuerdo a lo dispuesto en 2.3.1.14 de las Bases de
Licitación.
xv) Las obras necesarias en Ruta 5 Norte que permitan materializar las
obras de mejoramiento y reposición de la calzada existente
establecidas en los Estudios Referenciales indicados en 1.4.3, que
contempla entre otros aspectos: la construcción de pavimentos nuevos
por rectificaciones del trazado en planta y/o alzado, obras de fresado
y recapado asfáltico, obras de recapado asfáltico, sellos asfálticos y
la ampliación de las
bermas existentes, en los tramos y longitudes de camino que se señalan
en dichos Estudios, conforme a los proyectos de Ingeniería de Detalle
aprobados por el Inspector Fiscal, de acuerdo a lo dispuesto en
2.3.1.14.1, ambos artículos de las Bases de Licitación.
xvi) Obras de mejoramiento y ampliación de las bermas existentes,
uniformando el ancho de las bermas de la calzada existente a un mínimo
de 2,5 m para la berma exterior y de 1,0 m para la berma interior, a
lo largo de todo el proyecto, de acuerdo a lo señalado en los Estudios
Referenciales indicados en 1.4.3, conforme a los proyectos de
Ingeniería de Detalle aprobados por el Inspector Fiscal, de acuerdo a
lo dispuesto en 2.3.1.14.2, ambos artículos de las Bases de
Licitación.
xvii) Efectuar labores de mantenimiento de diversa índole en los puentes,
pasos de ferrocarril y estructuras existentes en la Ruta 5 Norte,
Tramo: La Serena - Vallenar, según sea su condición actual, entre las
cuales se pueden destacar: cambio de barandas, reemplazo de la carpeta
de rodado, reparación de juntas de dilatación, reemplazo de
cantoneras, reparaciones de estribos y cepas, reparación de
socavaciones, limpieza y pintura de vigas y barandas metálicas,
reparaciones de nidos de piedra y de hormigones defectuosos, sellado
de junturas y grietas, construcción, reparación o reemplazo de las
losas de acceso, etc. Se deberá realizar un diagnóstico actualizado de
cada uno de los puentes y estructuras existentes en la concesión. Todo
lo anterior de conformidad a lo dispuesto en el artículo 2.3.1.14.3 de
las Bases de Licitación.
xviii) Realizar obras de ampliación, construcción, rehabilitación y limpieza
de todo el sistema de drenaje y saneamiento existente a lo largo de la
Ruta 5 Norte Tramo: La Serena - Vallenar, directamente vinculado al
funcionamiento de la obra, dentro del área de concesión de acuerdo a
lo dispuesto en el artículo 2.3.1.14.4 de las Bases de Licitación.
xix) Revisión, rehabilitación o reemplazo de todo o parte del sistema de
iluminación vinculado a la vialidad expresa y local que se encuentre
en mal estado de conservación, de acuerdo a lo dispuesto en el
artículo 2.3.1.14.5, de las Bases de Licitación.
xx) Realizar un Catastro de la totalidad de los accesos existentes a lo
largo de todo el trazado del proyecto y ejecutar a su entero cargo y
costo los accesos que resulten del Catastro, de acuerdo a lo
establecido en el artículo 2.3.1.14.6 de las Bases de Licitación.
xxi) Las obras de desvíos de tránsito necesarias para realizar las obras de
la concesión de acuerdo a lo dispuesto en 2.3.1.15, conforme a lo
señalado en 2.2.2.8, ambos artículos de las Bases de Licitación.
xxii) Reparar o construir todas las obras necesarias de defensas fluviales
de acuerdo a lo dispuesto en 2.3.1.16, conforme a lo señalado en
2.2.2.9, ambos artículos de las Bases de Licitación.
xxiii) Realizar todas las obras de modificación de servicios necesarias para
ejecutar las obras de la concesión de acuerdo a lo dispuesto en
2.3.1.17, conforme a lo señalado en 1.8.19 y 2.2.2.10, todos artículos
de las Bases de Licitación.
xxiv) Construir todas las obras de modificación de canales necesarias para
realizar las obras de la concesión de acuerdo a lo dispuesto en
2.3.1.18, conforme a lo señalado en 2.2.2.11, ambos artículos de las
Bases de Licitación.
xxv) Construir las obras de paisajismo, que resulten de los proyectos en
las áreas que se señalan en 2.2.2.12, de acuerdo a lo dispuesto en
2.3.1.19, ambos artículos de las Bases de Licitación.
xxvi) Construir y mantener los pasos de ganado y guanacos de acuerdo a lo
dispuesto en 2.3.1.20, cuya cantidad y características se indican en
2.2.2.18, ambos artículos de las Bases de Licitación.
xxvii) Poner a disposición del MOP, a más tardar 30 días después de requerido
por el Inspector Fiscal a través del Libro de Obras, un lugar de
Depósito de Bienes Fiscales, para el acopio de los bienes que hayan
sido calificados como recuperables por éste, de acuerdo a lo dispuesto
en el artículo 2.3.2 de las Bases de Licitación.
xxviii)Construir los Servicios Especiales Obligatorios que se indican en los
artículos 2.3.3.1, 2.3.3.2 y 2.3.3.3 de las Bases de Licitación, en
reas especiales diseñadas y construidas por la Sociedad
Concesionaria, incluidas dentro del Área de Concesión, cumpliendo con
las condiciones mínimas establecidas en las Bases de Licitación. El o
los proyectos asociados a los servicios obligatorios deben ser
elaborados por el Concesionario y aprobados por el Inspector Fiscal.
Lo anterior de acuerdo a lo dispuesto en el artículo 2.3.3, de las
Bases de Licitación.
xxix) Adoptar un sistema de cobro por Derecho de Paso cuya tecnología de
cobro puede ser Manual, Automática, Telepeaje o una combinación de
éstas. La Sociedad Concesionaria podrá ubicar plazas de peajes
roncales bidireccionales, a lo ancho de la vía de acuerdo a lo
dispuesto en el artículo 1.13.8 de las Bases de Licitación.
13. Conforme a lo señalado en el artículo 1.4.2 de las Bases de Licitación, el Presupuesto Oficial Estimado de la Obra es de UF 7.900.000 (siete millones novecientas mil unidades de fomento). Este valor es referencial y considera el valor nominal de las obras del Contrato de Concesión, incluyendo los gastos generales y utilidades, pagos de la Sociedad Concesionaria durante la Etapa de Construcción y los costos para la elaboración del proyecto definitivo. No se incluye el impuesto al valor agregado (IVA).
14. De acuerdo a lo dispuesto en 1.10, la Etapa de Explotación de la obra comenzará junto con la autorización de la primera Puesta en Servicio Provisoria de las obras, de acuerdo a lo señalado en 1.9.2.7 y 1.10.1, todos artículos de las Bases de Licitación. Esta etapa comprende lo siguiente:
a) De conformidad con lo dispuesto en 2.4.1, la Sociedad Concesionaria
deberá cumplir con todos aquellos aspectos que permitan una óptima
calidad del servicio prestado, debiendo cumplir los requerimientos
mínimos, para aspectos tales como la administración de la concesión, de
acuerdo a lo indicado en 2.4.5; la planificación para la mantención
integral de las obras de la concesión, como son los pavimentos,
estructuras, señales, demarcación, aspectos de seguridad vial, etc.,
según 2.4.2, 2.4.3 y 2.4.4; la Gestión Ambiental establecida en 2.7.2;
el Servicio a los Usuarios establecido en 2.4.6; la operación del
Sistema de Gestión de Tráfico señalado en 2.4.7; la Información
Estadística durante la Explotación e Informes según lo señalado en
2.4.8; y, los ensayes de calidad de materiales establecidos en 2.4.9,
todos artículos de las Bases de Licitación, así como otros aspectos que
pueda ofrecer la Sociedad Concesionaria.
b) Servicios Especiales Obligatorios: De acuerdo a lo dispuesto en
1.10.9.1, el Concesionario estará obligado, desde la Puesta en Servicio
Provisoria de los tramos indicados en 1.3 hasta la extinción de la
Concesión, a proporcionar en forma gratuita a los usuarios de la vía,
los Servicios Especiales Obligatorios que se indican en 2.3.3, que
serán instalados en bienes nacionales de uso público o terrenos de
propiedad fiscal, los que podrán ser expropiados expresamente para
ello o adquiridos de conformidad con lo señalado en 1.8.8, todos
artículos de las Bases de Licitación.
c) Servicios Complementarios: De acuerdo a lo dispuesto en 1.10.9.2, el
Concesionario podrá proponerlos en cualquier instante dentro del
período de la concesión establecido en 1.7.6, ambos artículos de las
Bases de Licitación. En el caso que éstos sean aceptados por el
Inspector Fiscal, la Sociedad Concesionaria estará obligada a
proporcionar dichos servicios, los cuales deberán instalarse en bienes
nacionales de uso público, terrenos de propiedad fiscal o en terrenos
privados que sean adquiridos por la Sociedad Concesionaria para el
Fisco con este fin. La adquisición de bienes para estos efectos, así
como las instalaciones que se hagan sobre los mismos, serán de
exclusivo cargo, costo y responsabilidad del Concesionario. En caso que
la Sociedad Concesionaria no pueda adquirir los terrenos necesarios
para materializar los Servicios Complementarios propuestos por ésta,
deberá presentar al Inspector Fiscal los antecedentes de expropiación
correspondientes, conforme a lo establecido en el artículo 2.2.2.15 de
las Bases de Licitación.
d) La realización de las mediciones y controles que se estipulan en 2.4.8,
en conformidad a lo dispuesto en 1.10.7, ambos artículos de las Bases
de Licitación.
15. De acuerdo a lo dispuesto en 1.10.2, la Sociedad Concesionaria deberá solicitar la autorización de la Puesta en Servicio Definitiva de la Totalidad de las Obras, dentro del plazo máximo de seis meses contados desde la autorización de Puesta en Servicio Provisoria de la Totalidad de las Obras señalada en 1.10.1, y cuando hayan sido aprobados los planos de construcción definitivos y las memorias explicativas a que se refiere en 1.9.2.12, todos artículos de las Bases de Licitación.
16. De acuerdo a lo establecido en el artículo 1.12.4 de las Bases de Licitación, para efectos de lo dispuesto en el DL Nº 825, de 1974, y sus modificaciones posteriores, y en especial el artículo Nº 16 letras c) y h), en el Contrato de Concesión se imputará un 80% de los ingresos totales de explotación para pagar el precio del servicio de construcción y el 20% restante de los ingresos totales de explotación para pagar el precio del servicio de conservación, reparación y explotación.
En los aspectos relativos a la declaración y pago del impuesto a la renta, el Concesionario se deberá regir por lo dispuesto en el DL Nº 824, de 1974, y sus modificaciones, especialmente por las introducidas por la ley Nº 19.460, de 1996, y las demás normas que correspondan.
17. Las obligaciones y derechos del adjudicatario o bien de la Sociedad Concesionaria, según sea el caso, son los establecidos en los cuerpos legales citados en el presente decreto supremo y la normativa legal vigente que le sea aplicable, en las Bases de Licitación y sus Circulares Aclaratorias, en la Convocatoria a Licitación Privada comunicada al Licitante "Sacyr Concesiones Chile S.A.", en su Oferta Técnica presentada en la Licitación Pública original, en los términos dispuestos en dicha convocatoria y en los Antecedentes Generales y Oferta Económica presentados por el Licitante "Sacyr Concesiones Chile S.A." en la Licitación Privada, en la forma aprobada por el MOP.
Sin perjuicio de lo anterior, y en forma no taxativa, se indican las siguientes obligaciones y derechos:
Obligaciones:
i) Constituir legalmente la Sociedad Concesionaria prometida en la
Licitación Privada, conforme lo dispuesto en la letra A. "Antecedentes
Generales", del punto 1, de la Convocatoria a Licitación Privada, dentro
del plazo máximo de 60 días corridos, contados desde la fecha de
publicación en el Diario Oficial del presente decreto supremo de
Adjudicación del Contrato de Concesión. Asimismo, y dentro del mismo
plazo, el adjudicatario deberá suscribir ante Notario cuatro (4)
transcripciones del presente decreto supremo de Adjudicación, en señal de
aceptación de su contenido, debiendo protocolizar ante el mismo Notario
uno de sus ejemplares, según lo exigido en el artículo 1.7.4 de las Bases
de Licitación.
ii) Al otorgarse la escritura pública de constitución de la Sociedad
Concesionaria se deberá suscribir íntegramente el capital de la sociedad,
que no podrá ser inferior a la suma de $30.000.000.000 (treinta mil
millones de pesos) y pagarse, a lo menos, la suma de $12.000.000.000
(doce mil millones de pesos). El saldo del capital deberá pagarse en el
plazo máximo de 24 meses contados desde la fecha de la escritura pública
de constitución de la sociedad, todo ello en conformidad con lo dispuesto
en el artículo 1.7.3 de las Bases de Licitación. El pago del capital
deberá acreditarse mediante certificado bancario.
iii) Solicitar, dentro del plazo máximo de 60 días contados desde su
constitución, su inscripción en el Registro correspondiente de la
Superintendencia de Valores y Seguros, de acuerdo a la normativa vigente,
lo que deberá acreditar con el certificado respectivo.
iv) De acuerdo a lo dispuesto en el artículo 1.7.7.2, la Sociedad
Concesionaria será siempre responsable del cumplimiento cabal, íntegro y
oportuno del Contrato de concesión, de la correcta ejecución de los
proyectos y de las obras, de la operación de la concesión, así como del
cumplimiento de los niveles de servicio y estándares técnicos
establecidos en las Bases de Licitación para las diferentes etapas y
condiciones de la concesión, durante toda su vigencia, y del cumplimiento
de todas las obligaciones establecidas en el Contrato de Concesión, sin
perjuicio de las funciones de dirección y control que corresponden al
Ministerio de Obras Públicas.
v) Construir, conservar y explotar las obras descritas en los documentos que
forman parte del Contrato de Concesión, en la forma, modo y plazos
indicados en dichos documentos.
vi) De acuerdo a lo dispuesto en el artículo 1.8.10.1 de las Bases de
Licitación, el MOP hizo entrega al Licitante Adjudicatario, de cuatro
Declaraciones de Impacto Ambiental, con sus respectivas adendas, así como
de las resoluciones de Calificación Ambiental emitidas por la autoridad
ambiental competente, antecedentes que corresponden a los Documentos Nos
9, 10, 11, 12, 13 y 14 indicados en el artículo 1.4.1 de las Bases de
Licitación y según el detalle que en dicho artículo se establece. Todos
estos documentos forman parte del Contrato de Concesión y constituyen,
junto a las establecidas en las Bases de Licitación, el conjunto de
obligaciones, compromisos y medidas ambientales obligatorias que debe
cumplir la Sociedad Concesionaria, tanto en la Etapa de Construcción como
en la de Explotación.
La implementación de las medidas y/o exigencias establecidas en las
Declaraciones de Impacto Ambiental, sus Adendas, en las resoluciones de
Calificación Ambiental señaladas en el artículo 1.4.1, y en las Bases de
Licitación, será de exclusiva responsabilidad, cargo y costo de la
Sociedad Concesionaria, debiendo dar cumplimiento a toda la normativa
ambiental vigente.
Una vez constituida la Sociedad Concesionaria, todas las medidas,
exigencias o condiciones definidas por la autoridad ambiental competente,
incluidas en las resoluciones de Calificación Ambiental, se entenderá que
forman parte integral del contenido del presente decreto supremo de
Adjudicación de la Concesión. La Sociedad Concesionaria será la Titular
de las resoluciones de Calificación Ambiental y la única responsable ante
la autoridad ambiental y cualquier otra autoridad pública del
cumplimiento de las obligaciones y exigencias ambientales que se impongan
a este proyecto.
Una vez constituida legalmente la Sociedad Concesionaria se procederá al
cambio de titular de acuerdo a la normativa ambiental vigente y conforme
a las instrucciones que, para tales efectos, se encuentren vigentes o
dicte la autoridad ambiental competente.
vii) Pagar al Estado, de acuerdo a lo dispuesto en 1.8.9, la cantidad de UF
450.000 (cuatrocientas cincuenta mil unidades de fomento) por concepto de
desembolsos, gastos o expensas que se originen con motivo de las
expropiaciones o adquisiciones de los terrenos identificados en el Plano
Referencial de Áreas de Expropiaciones señalado en 1.4.3 y que forman
parte del Contrato de Concesión. Esta cantidad se encuentra incluida, en
el Presupuesto Oficial Estimado indicado en 1.4.2. Todos artículos de las
Bases de Licitación.
El pago de esta cantidad deberá ser realizado mediante vale vista emitido
a nombre del DGOP, en dos cuotas, la primera de las cuales será por un
monto de UF 250.000 (doscientas cincuenta mil unidades de fomento) y la
segunda por un monto de UF 200.000 (doscientas mil unidades de fomento).
Los pagos deberán efectuarse dentro del plazo de 90 y 210 días,
respectivamente, ambos plazos contados desde la fecha de publicación en
el Diario Oficial del presente decreto supremo de Adjudicación de la
concesión.
viii)De conformidad con lo dispuesto en el artículo 1.12.2.1 de las Bases de
Licitación, la Sociedad Concesionaria deberá efectuar además los
siguientes pagos:
. Por concepto de administración y control del Contrato de Concesión,
de acuerdo a lo indicado en 1.12.2.1.1, el Concesionario deberá pagar
durante la Etapa de Construcción definida en 1.9.2, ambos artículos
de las Bases de Licitación, la suma de UF 100.000 (cien mil unidades
de fomento) en tres cuotas iguales de UF 30.000 (treinta mil unidades
de fomento) y una última cuota de UF 10.000 (diez mil unidades de
fomento).
La primera cuota deberá pagarse dentro de un plazo máximo de 120 días
contados desde la fecha de publicación en el Diario Oficial del
presente decreto supremo de Adjudicación del Contrato de Concesión,
mediante vale vista emitido a nombre del DGOP. Las tres cuotas
restantes deberán pagarse anual y sucesivamente, el último día hábil
del mes de enero siguiente al pago de la cuota anterior.
Durante la Etapa de Explotación la suma a pagar por este concepto
será de UF 10.500 (diez mil quinientas unidades de fomento) anuales y
sucesivas pagaderas el último día hábil del mes de enero de cada año.
Para el primer mes de enero del año siguiente a la Puesta en Servicio
Provisoria del primer tramo en obtenerla, el Concesionario deberá
pagar adicionalmente al pago total correspondiente al año en curso,
la proporción del año anterior (incluido el mes en que se autorice la
PSP), si así procediere. Para tales efectos, las cantidades a pagar
serán calculadas a razón de UF 875 (ochocientas setenta y cinco
unidades de fomento) al mes. Estas cantidades serán pagadas el último
día hábil del mes de enero de cada año, para todo el año calendario.
. Por concepto de pago de los Estudios Referenciales: Estudio de
Ingeniería, Declaraciones de Impacto Ambiental, Estudios de Demanda,
Estudio Territorial, Estudio de Expropiaciones y otros gastos
asociados al Proyecto, la Sociedad Concesionaria deberá pagar al MOP
la cantidad de UF 34.500 (treinta y cuatro mil quinientas unidades de
fomento), en conformidad con lo establecido en el artículo 1.12.2.1.2
de las Bases de Licitación.
Este pago deberá ser realizado en una (1) cuota, mediante vale vista
emitido a nombre del DGOP, en el plazo máximo de 120 días a contar de
la fecha de publicación en el Diario Oficial del presente decreto
supremo de Adjudicación del Contrato de Concesión.
. Por concepto de compensaciones sociales, en conformidad con lo
establecido en 1.12.2.1.3, la Sociedad Concesionaria deberá realizar
los pagos de acuerdo a los montos y procedimientos establecidos en
2.7.1.8, ambos artículos de las Bases de Licitación.
. Por concepto de Garantía de Ingresos Mínimos, y en conformidad con lo
establecido en 1.12.2.1.4, la Sociedad Concesionaria deberá pagar al
MOP un total de UF 40.000 (cuarenta mil unidades de fomento). Dicho
monto se deberá pagar en un total de dos (2) cuotas iguales anuales,
cada una por un total de UF 20.000 (veinte mil unidades de fomento),
que deberán ser pagadas durante los 2 primeros años de la Etapa de
Explotación de la Concesión, mientras no renuncie al mecanismo de
Ingresos Mínimos Garantizados.
Dichas cuotas anuales se deberán cancelar el último día hábil del mes
de enero de cada año, a partir del primer año de explotación. Para
efectos de la primera cuota, la Sociedad Concesionaria deberá pagar
con anterioridad a la fecha en que se presente la solicitud de
autorización de la primera Puesta en Servicio Provisoria de las Obras
del tramo correspondiente. Si el Concesionario no realiza dicho pago,
el Inspector Fiscal no autorizará la Puesta en Servicio Provisoria de
las Obras del tramo en cuestión. Dichos pagos deberán realizarse
mediante vale vista emitido a nombre del DGOP.
Los montos pagados por la Sociedad Concesionaria al Estado por
concepto de Garantía de Ingresos Mínimos no están sujetos a reembolso
ni restitución alguna por parte del MOP.
La Sociedad Concesionaria podrá solicitar la renuncia al mecanismo de
Ingresos Mínimos Garantizados por el Estado señalado en 1.12.7.1,
mediante una carta certificada ingresada a la oficina de partes de la
DGOP en un plazo comprendido entre el inicio de Etapa de Construcción
definido en 1.9 hasta 180 días antes de la fecha de pago de la cuota
correspondiente, ambos artículos de las Bases de Licitación.
La renuncia al mecanismo de Ingresos Mínimos Garantizados por el
Estado extingue las obligaciones del Estado y de la Sociedad
Concesionaria respecto del pago de los Ingresos Mínimos y de la
totalidad o el resto de las cuotas de Pago por la Garantía de
Ingresos Mínimos según sea el caso. Dicha renuncia tendrá carácter de
irrevocable.
ix) En conformidad con el artículo 1.12.2.2 de las Bases de Licitación,
para la realización de Obras Artísticas asociadas a la concesión, las que
deberán ser representativas de la cultura de la III y IV Región, la
Sociedad Concesionaria deberá disponer de un monto máximo de UF 20.000
(veinte mil unidades de fomento) con una distribución de UF 10.000 (diez
mil unidades de fomento) para cada Región, dentro del plazo de 30 días
contados desde la fecha de autorización de la Puesta en Servicio
Provisoria de la totalidad de las obras, de acuerdo a lo dispuesto en el
artículo 1.9.2.7 de las Bases de Licitación.
El Inspector Fiscal enviará a la Sociedad Concesionaria, los documentos
de cobro correspondientes, quedando anotación en el Libro de Obras de la
fecha de envío. La Sociedad Concesionaria deberá pagar dicho monto en un
plazo máximo de 30 días contados desde dicha fecha.
En caso que, una vez que se realicen las obras artísticas que se definan,
se determine en la contabilización final que los montos totales pagados
por la Sociedad Concesionaria fuesen inferiores al monto establecido en
el artículo 1.12.2.2, ésta deberá pagar al MOP la diferencia resultante
en un plazo máximo de 30 días contados desde la notificación del
Inspector Fiscal.
La Sociedad Concesionaria deberá mantener las obras artísticas que se
construyan a su entero cargo, costo y responsabilidad, desde su entrega
por parte del Inspector Fiscal hasta el cumplimiento del plazo de
concesión, debiendo realizar las actividades que sean necesarias para
dicho objetivo.
x) Contratar los seguros de Responsabilidad Civil por Daños a Terceros y por
Catástrofe de acuerdo a lo dispuesto en 1.8.15 y 1.8.16, respectivamente,
sin perjuicio de lo indicado en 1.8.14, todos artículos de las Bases de
Licitación.
xi) La Sociedad Concesionaria deberá constituir las garantías de construcción
y de explotación en los plazos y con los requisitos indicados en 1.8.1.1,
1.8.1.2 y 1.8.1.3, pudiendo ser tomadores de las garantías el
Adjudicatario o la Sociedad Concesionaria. El MOP podrá hacer efectivas,
total o parcialmente, dichas garantías a través de resolución fundada del
DGOP, atendida la entidad y naturaleza del incumplimiento del contrato y,
en particular, en los casos indicados en 1.8.1, todos artículos de las
Bases de Licitación. En caso que el MOP hiciera efectiva la garantía,
ésta deberá reconstituirse o completarse, según proceda, en el plazo de
15 días a contar de la fecha en que se hizo efectiva.
xii) El Concesionario deberá mantener a disposición de los usuarios, en todo
momento, un Libro de Sugerencias y Reclamos, conforme lo establecido en
los artículos 1.9.2.17 y 1.10.11 de las Bases de Licitación.
xiii)Durante las Etapas de Construcción y Explotación del proyecto, y en
conformidad con lo establecido en el artículo 1.10.5 de las Bases de
Licitación, los costos de consumo de electricidad para la iluminación de
las obras definidas en los Estudios Referenciales, así como las señaladas
en las Bases de Licitación y el agua de riego para las áreas verdes
(césped y especies arbóreas), que se encuentren dentro del Área de
Concesión, serán de cargo del Concesionario. Éste, a su entero cargo,
costo y responsabilidad, deberá efectuar los trámites necesarios para
realizar el traspaso de los pagos de dichos consumos a su nombre.
xiv) Durante las etapas de Construcción y Explotación del proyecto, y en
conformidad con lo establecido en el artículo 2.7 de las Bases de
Licitación, el Concesionario deberá asumir la responsabilidad de
protección del medio ambiente y el cumplimiento de los aspectos
territoriales como una variable más de su gestión, implementando las
medidas necesarias que aseguren un exitoso manejo ambiental y territorial
del proyecto.
Derechos:
i) Explotar las obras a contar de la autorización de la primera Puesta en
Servicio Provisoria de las obras, hasta el término de la concesión, todo
ello de conformidad a lo dispuesto en los artículos 1.9.2.7 y 1.10 de las
Bases de Licitación.
ii) Cobrar tarifa a los usuarios de la vía concesionada por concepto de
Derecho de Paso, de acuerdo a lo establecido en el artículo 1.13.2 de las
Bases de Licitación.
Para estos efectos, según lo estipulado en el artículo 1.13.1 de las
Bases de Licitación, la Sociedad Concesionaria deberá clasificar los
vehículos de acuerdo a lo señalado en la siguiente Tabla:
En la eventualidad que el Ministerio de Obras Públicas modifique sus
criterios de clasificación de vehículos para efectos del cobro de
tarifas, la Sociedad Concesionaria deberá acogerse a la nueva
clasificación manteniendo las restantes condiciones establecidas en las
Bases de Licitación. Esto no dará derecho a la Sociedad Concesionaria a
alegar indemnizaciones o compensaciones de ningún tipo por este concepto.
Según lo dispuesto en 1.13.2 de las Bases de Licitación, la Tarifa Base
Máxima T0 en pesos chilenos de acuerdo a lo indicado en la Tabla: Tarifas
Máximas, a ser aplicada en un Sistema de Cobro por Derecho de Paso que la
Sociedad Concesionaria podrá cobrar como máximo a los vehículos Tipo 2
que pasen por los puntos de cobros en los tramos definidos en 1.3, ambos
artículos de las Bases de Licitación, que cuenten con la Puesta en
Servicio Provisoria de las obras, será definida conforme a lo siguiente:
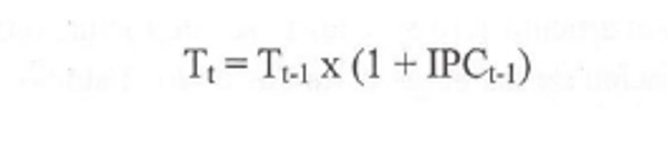
El valor de la tarifa Base Máxima T0 se reajustará a partir del 1º de
enero de cada año de explotación o cada vez que se compruebe una
inflación acumulada desde la última revisión tarifaria igual o superior
al 15%. En este último caso, la Tarifa Base Máxima se reajustará en un
valor igual a dicha inflación acumulada. Para el cálculo de la Tarifa
Base Máxima reajustada se usará la siguiente expresión:
donde,
t : Año calendario de explotación contabilizado desde el 1º de enero
del año de la Puesta en Servicio Provisoria del primer tramo en
entrar en explotación de la concesión.
T0 : Tarifa Base Máxima expresada en pesos chilenos al 31 de diciembre
del 2009.
Tt : Es la Tarifa Base según corresponda reajustada para el año t de
Explotación de la Concesión en pesos ($).
Tt-1 : Es la tarifa determinada para el período inmediatamente anterior,
con dos decimales y sin aplicar el fraccionamiento.
IPC0 : Corresponde a la variación del Índice de Precios al Consumidor
entre el 1º de enero del año 2010 y el 31 de diciembre del año
anterior al comienzo de la Explotación de la Concesión, en
fracción, publicado por el Instituto Nacional de Estadísticas
(INE), con base nacional.
IPCt-1 : Para valores de t mayores que 1, es la variación del Índice de
Precios al Consumidor entre la fecha del IPC considerada para el
último reajuste y el 30 de noviembre del año t-1 de Explotación de
la Concesión, con base nacional, en fracción, publicado por el
Instituto Nacional de Estadísticas (INE). En caso que dicho
indicador deje de existir como índice relevante de reajustabilidad
de costos, se aplicará el mecanismo que lo reemplace.
Para estos efectos, la Sociedad Concesionaria someterá a la aprobación
del Inspector Fiscal con, a lo menos, 20 días de anticipación al término
de cada año calendario de operación, mediante carta, el reajuste anual,
indicando la tarifa que aplicará en el próximo período. El Inspector
Fiscal responderá por la aceptación o rechazo en un plazo no mayor a 10
días.
De conformidad con 1.13.3 y con el fin de facilitar el cobro de peajes a
los usuarios, se aplicará un fraccionamiento tarifario, que consiste en
ajustar la tarifa calculada de acuerdo a lo establecido en 1.13.2, ambos
artículos de las Bases de Licitación, cada $50, al alza o a la baja y
opera de la siguiente manera:
. Si el remanente por sobre las centenas de pesos del valor de la
tarifa reajustada es menor a $50, el fraccionamiento se hará a la
baja si dicho remanente se encuentra entre $1 y $24, y se hará al
alza si dicho remanente se encuentra entre $25 y $49.
. Si el remanente por sobre las centenas de pesos del valor de la
tarifa reajustada es mayor a $50, el fraccionamiento se hará a la
baja si dicho remanente se encuentra entre $51 y $74, y se hará al
alza si dicho remanente se encuentra entre $75 y $99.
Según lo dispuesto en el artículo 1.13.5 de las Bases de Licitación, para
efectos del cobro de tarifas se deberá considerar el Factor de Tarifas
para cada tipo de Vehículos que se indica en la Tabla siguiente:
De conformidad con lo dispuesto en 1.13.6, la tarifa máxima a cobrar al
usuario en cada uno de los tramos definidos en 1.3, será la resultante de
aplicar los factores señalados en 1.13.5, todos artículos de las Bases de
Licitación, a la tarifa a aplicar a cada tramo del proyecto según lo
señalado en la Tabla Tarifas Máximas, de acuerdo a lo indicado en la
siguiente fórmula:
donde,
Tc : Tarifa a cobrar al usuario en cada uno de los tramos definidos en
el artículo 1.3 de las Bases de Licitación.
Tt : Tarifa determinada para cada tramo según Tabla Tarifas Máximas de
acuerdo a lo señalado en el artículo 1.13.2 de las Bases de
Licitación.
F : Factor por tipo de vehículo, de acuerdo a lo indicado en el
artículo 1.13.5 de las Bases de Licitación.
De conformidad a 1.13.4, cada 2 años la Sociedad Concesionaria podrá
proponer de manera justificada, una revisión del sistema de reajuste de
las tarifas establecidas en 1.13.2 y del sistema de cobro establecido en
1.13.8, todos artículos de las Bases de Licitación, como también de la
relocalización de los puntos de cobro, lo cual podrá ser aceptado o
rechazado por el MOP, con VºBº del Ministerio de Hacienda.
Adicionalmente, el Concesionario tendrá derecho a realizar una gestión
tarifaria de acuerdo a las condiciones señaladas en el artículo 1.13.7 de
las Bases de Licitación.
iii) Percibir un Ingreso Mínimo Garantizado ofrecido por el Estado, de acuerdo
a lo dispuesto en el artículo 1.12.7.1 de las Bases de Licitación, cuyo
monto para cada año de explotación de la concesión se indica en la Tabla
siguiente:
Para efectos de este mecanismo de Ingreso Mínimo Garantizado, se
establece como primer año calendario de explotación, aquel que comienza
el 1º de enero del año en que se hubiere autorizado la Puesta en Servicio
Definitiva de la Totalidad de las obras.
Para los efectos del cálculo del pago de parte del Estado, para el primer
año calendario de explotación de la concesión, en el caso que considere
menos de 12 meses de explotación dentro de dicho año calendario, contados
desde la Puesta en Servicio Definitiva de las obras, el Ingreso Mínimo
Garantizado será por la proporción (a razón de 1/12 veces el Ymin,t por
mes) de los meses que efectivamente operó la concesión. Para estos
efectos sólo se considerarán los meses calendarios completos en que se
explotó la concesión.
En el caso que la concesión se extinga antes del plazo de cobertura de
los Ingresos Mínimos Garantizados, por alguna de las causas señaladas en
el artículo 1.11.2 de las Bases de Licitación, la Sociedad Concesionaria,
a contar de la fecha de extinción de la concesión, no tendrá derecho a
percibir dichos Ingresos Mínimos.
iv) El concesionario podrá proponer Servicios Complementarios dentro del
período de concesión, estando obligada a proporcionarlos una vez que sean
aceptados por el Inspector Fiscal, de acuerdo a lo dispuesto en el
artículo 1.10.9.2 de las Bases de Licitación.
18. Las garantías que deberá entregar el Concesionario por construcción y explotación de las obras, conforme a lo establecido en los artículos 1.8.1.1 y 1.8.1.2 de las Bases de Licitación, se indican a continuación:
GARANTÍA DE CONSTRUCCIÓN:
Dentro del plazo de 90 días contados desde el inicio del plazo de la concesión y de la etapa de construcción, señalado en 1.7.5 de las Bases de Licitación, el Adjudicatario o la Sociedad Concesionaria en su caso, deberá entregar la Garantía de Construcción para cada tramo, la cual deberá estar constituida por diez boletas de garantía bancarias, o bien por una póliza de seguro de garantía de ejecución inmediata para concesiones de obras públicas, según lo dispuesto en 1.8.13, ambos artículos de las Bases de Licitación, pagaderas a la vista, emitidas en Santiago de Chile por un banco o compañía de seguros de la plaza, según corresponda, a nombre del Director General de Obras Públicas y cuya glosa y/o materia asegurada deberá ser la siguiente: "Para garantizar el cumplimiento de las obligaciones durante la Etapa de Construcción de la Obra Pública Fiscal denominada "Concesión Ruta 5 Norte. Tramo La Serena - Vallenar"". El valor total de Garantía de Construcción para cada tramo del Proyecto se indica en la Tabla siguiente:
La Garantía de Seriedad de la Oferta será devuelta dentro de los 15 días posteriores a la recepción, por el MOP de la Garantía de Construcción, siempre y cuando el Concesionario haya cumplido con todas las formalidades exigidas en las Bases de Licitación, de acuerdo con lo dispuesto en la Ley de Concesiones de Obras Públicas y su Reglamento.
Cuando la Sociedad Concesionaria solicite iniciar anticipadamente las obras, el Inspector Fiscal, en el evento que acepte dicha solicitud, deberá fijar el plazo para la entrega de esta garantía, plazo que no podrá exceder de 10 días contados desde la aceptación de la solicitud y, en todo caso, antes del inicio anticipado de las obras.
Una vez que haya sido acreditada la ejecución del 30%, 50% o 70% de la obra para cada tramo del proyecto, mediante la correspondiente declaración de avance prevista en 1.9.2.6, la garantía de construcción podrá ser reemplazada por diez boletas de garantía bancaria, de igual monto, o bien, por una póliza de seguro de garantía de ejecución inmediata para concesiones de obras públicas según lo dispuesto en 1.8.1.3, debiéndose cumplir con las demás condiciones de acuerdo a lo exigido en el primer párrafo de 1.8.1.1, todos artículos de las Bases de Licitación. El plazo de vigencia de la Garantía de Construcción será la diferencia entre el plazo máximo de construcción y el tiempo transcurrido hasta la correspondiente declaración de avance, más 6 meses. Los montos de Garantía de Construcción a entregar por el concesionario en reemplazo de las garantías vigentes, una vez que se acrediten los porcentajes de avance de la ejecución de las obras, se indican en la Tabla siguiente:
Todas las garantías de construcción deberán permanecer vigentes durante todo el período de construcción de la obra, más 6 meses, debiendo ser renovada a lo menos noventa (90) días antes de su fecha de vencimiento, sin perjuicio que el Concesionario hubiere entregado la Garantía de Explotación, según lo indicado en el artículo 1.8.1.2 de las Bases de Licitación.
La Garantía de Construcción de la obra será devuelta a la Sociedad Concesionaria una vez otorgada la autorización de Puesta en Servicio Provisoria de la totalidad de las obras y siempre que se haya entregado la totalidad de la garantía de explotación a conformidad del MOP, y de acuerdo a lo señalado en el Reglamento de la Ley de Concesiones de Obras Públicas. Cumplido todo lo anterior, el MOP devolverá la garantía de construcción en un plazo máximo de 30 días.
GARANTÍA DE EXPLOTACIÓN:
Previo a la solicitud de Puesta en Servicio Provisoria de cada tramo de la obra definidos en 1.3, y según lo dispuesto en 1.9.2.7, ambos artículos de las Bases de Licitación, el Concesionario deberá entregar al MOP la garantía de explotación de los mismos.
La Garantía de Explotación de cada tramo deberá estar constituida por diez boletas de garantía bancarias pagaderas a la vista, de igual monto, o bien, por una póliza de seguro de garantía de ejecución inmediata para concesiones de obras públicas, de acuerdo a lo dispuesto en el artículo 1.8.1.3 de las Bases de Licitación, pagaderas a la vista, emitidas en Santiago de Chile por un banco o compañía de seguros de la plaza, según corresponda, a nombre del Director General de Obras Públicas. La glosa y/o materia asegurada deberá ser la siguiente: "Para garantizar el cumplimiento de las obligaciones durante la Etapa de Explotación de la Obra Pública Fiscal denominada "Concesión Ruta 5 Norte. Tramo La Serena - Vallenar"". La Garantía de Explotación deberá estar vigente durante todo el período de concesión. El valor total de la Garantía de Explotación para cada tramo del Proyecto se indica en la Tabla siguiente:
Dentro de los 30 días previos a la Puesta en Servicio Provisoria de toda la concesión, el Concesionario podrá reemplazar la Garantía de Explotación vigente por diez boletas de garantía bancarias, o bien, por una póliza de seguro de garantía de ejecución inmediata para concesiones de obras públicas, de igual monto, pagaderas a la vista, por un valor total de UF 310.000 (trescientas diez mil unidades de fomento), las que tendrán un plazo de vigencia igual al máximo período de explotación restante más 12 meses. No obstante, el Concesionario podrá optar por entregar garantías cuya vigencia sea menor, con un plazo no inferior a 5 años y renovarlas 12 meses antes de su término de vigencia, siempre que ello sea aceptado por el DGOP y cada documento sea entregado antes del vencimiento del anterior. Dentro de los 10 días posteriores a la fecha de recepción en la oficina de partes de la DGOP de dicha solicitud, el DGOP comunicará por escrito su decisión de rechazo o aceptación. En este último caso el plazo de la última boleta de garantía será lo que reste del período de explotación más 12 meses.
El MOP no otorgará la autorización de Puesta en Servicio Provisoria del o los tramos señalada en el artículo 1.9.2.7 de las Bases de Licitación, si no se da cumplimiento a la obligación de entregar la Garantía de Explotación del tramo correspondiente, previamente aprobada por el Inspector Fiscal.
La Sociedad Concesionaria deberá entregar una Garantía de Explotación Adicional que tendrá por finalidad asegurar el cumplimiento de las condiciones en las que el Estado recibirá la concesión, estipuladas en 1.11.3. Dicha garantía será entregada cuando se cumpla que el valor del VPIm supere el 95% del monto del ITC, valorizado según lo indicado en 1.7.6.1 o cuando falten 12 meses para la extinción del contrato según el Plazo Máximo de la concesión indicado en 1.7.6.2, lo que primero ocurra, mediante 10 boletas de garantía bancarias, de igual monto, o bien, por una póliza de seguro de ejecución inmediata para concesiones de obras públicas de acuerdo a lo dispuesto en 1.8.1.3, todos artículos de las Bases de Licitación, pagaderas a la vista, emitidas en Santiago de Chile, por un banco o compañía de seguros de la plaza, según corresponda, a nombre del Director General de Obras Públicas, por un valor total de UF 310.000 (trescientas diez mil unidades de fomento). El plazo de vigencia de esta garantía adicional será el mayor plazo entre tres (3) años o el período que medie entre la entrega de la misma y el plazo máximo de término de la concesión.
La(s) Garantía(s) de Explotación será(n) devuelta(s) dentro del plazo de 15 días, contados desde que el Inspector Fiscal certifique que el Concesionario ha cumplido todas las obligaciones contraídas con el MOP.
La Garantía de Explotación Adicional será devuelta por el MOP dentro del plazo de 15 días siguientes al término de vigencia de la misma.
19. Conforme a lo dispuesto en el artículo 1.12.5 de las Bases de Licitación, el Concesionario y el MOP realizarán los pagos que correspondan en virtud del Contrato de Concesión en los plazos señalados en las Bases de Licitación. En caso que se produzcan retrasos, dichos pagos devengarán un interés real diario equivalente, en base a 365 días, a la tasa de interés para operaciones reajustables en moneda nacional a menos de un año, vigente a la fecha del pago efectivo, lo que debe entenderse sin perjuicio de la aplicación de las multas que correspondan. No obstante lo anterior, el retraso injustificado de los pagos que la Sociedad Concesionaria tenga que realizar al MOP, dará derecho a éste al cobro de la correspondiente garantía, conforme a lo señalado en el artículo 1.8.1 letra j) de las Bases de Licitación.
20. Las multas que procedan se aplicarán conforme a lo estipulado en las Bases de Licitación y sus Circulares Aclaratorias; y a lo dispuesto en el DS MOP Nº 900, de 1996, que fija el texto refundido, coordinado y sistematizado del DFL MOP Nº 164, de 1991, Ley de Concesiones de Obras Públicas y sus modificaciones, y en el DS MOP Nº 956, de 1997, Reglamento de la Ley de Concesiones, y sus modificaciones.
21. La Dirección General de Obras Públicas será el Servicio del Ministerio de Obras Públicas que fiscalizará el Contrato de Concesión en sus diversos aspectos.
Anótese, tómese razón y publíquese.- SEBASTIÁN PIÑERA ECHENIQUE, Presidente de la República.- Laurence Golborne Riveros, Ministro de Obras Públicas.- Julio Dittborn Cordua, Ministro de Hacienda (S).
Lo que transcribo a Ud. para su conocimiento.- Saluda atte. a Ud., María Loreto Silva Rojas, Subsecretaria de Obras Públicas.