ADJUDICA CONTRATO DE CONCESIÓN PARA LA EJECUCIÓN, REPARACIÓN, CONSERVACIÓN Y EXPLOTACIÓN DE LA OBRA PÚBLICA FISCAL DENOMINADA "AERÓDROMO LA FLORIDA DE LA SERENA, IV REGIÓN DE COQUIMBO"

    Núm. 290.- Santiago, 21 de septiembre de 2012.- Vistos:

-    El artículo 87° del DFL MOP N° 850, de 1997, que fija el texto refundido, coordinado y sistematizado de la Ley N° 15.840 de 1964, Orgánica del Ministerio de Obras Públicas, y del DFL N° 206, de 1960, Ley de Caminos, y sus modificaciones.
-    El DS MOP N° 900, de 1996, que fija el texto refundido, coordinado y sistematizado del DFL MOP N° 164, de 1991, Ley de Concesiones de Obras Públicas, y sus modificaciones.
-    El DS MOP N° 956, de 1997, Reglamento de la Ley de Concesiones de Obras Públicas, y sus modificaciones.
-    El Oficio Gab. Pres. N° 2.268, de fecha 21 de diciembre de 2011, de Su Excelencia el Presidente de la República, mediante el cual aprueba la ejecución de la obra pública fiscal denominada "Aeropuerto La Florida de La Serena" a través del Sistema de Concesiones.
-    El Oficio D.PL.OF. "O" N° 04/A/2/1952/7931 de fecha 14 de diciembre de 2011, del señor Director General de Aeronáutica Civil, mediante el cual aprueba las Bases de Licitación para la ejecución de la obra pública fiscal denominada "Aeródromo La Florida de La Serena" a través del Sistema de Concesiones.
-    El Oficio Ord. N° 1.836, de fecha 20 de diciembre de 2011, del señor Ministro de Hacienda, mediante el cual aprueba el Prospecto de Inversión y las Bases de Licitación del proyecto de concesión denominado "Aeropuerto La Florida de La Serena", a ejecutar por el Sistema de Concesiones.
-    El Convenio de Mandato entre la Dirección General de Aeronáutica Civil y el Ministerio de Obras Públicas, suscrito con fecha 12 de diciembre de 2011, y aprobado mediante resolución DGAC (exenta) N° 1.419, de fecha 22 de diciembre de 2011.
-    La publicación del Llamado a Precalificación para inscribirse en el Registro Especial Internacional para participar en las licitaciones de los proyectos correspondientes al "Programa de Relicitaciones de Concesiones de Infraestructura Aeroportuaria", del cual forma parte el proyecto "Aeródromo La Florida de La Serena, IV Región de Coquimbo", efectuada en el diario El Mercurio con fecha 7 de enero de 2007.
-    La publicación del Llamado a Precalificación para inscribirse en el Registro Especial Internacional para participar en las licitaciones de los proyectos correspondientes al "Programa de Relicitaciones de Concesiones de Infraestructura Aeroportuaria", del cual forma parte el proyecto "Aeródromo La Florida de La Serena, IV Región de Coquimbo", efectuada en el Diario Oficial con fecha 9 de enero de 2007.
-    La resolución DGOP (exenta) N° 2.736, de fecha 15 de junio de 2009, que Acepta solicitud Modificación de Inscripción y precalifica en el Registro Especial Internacional para el "Programa de Relicitaciones de Concesiones de Infraestructura Aeroportuaria" al Interesado "Agencias Universales S.A.".
-    La publicación del Llamado a Licitación Pública Internacional del proyecto de Concesión "Aeródromo La Florida de La Serena, IV Región de Coquimbo", efectuada en el Diario Oficial con fecha 29 de diciembre de 2011.
-    La publicación del Llamado a Licitación Pública Internacional del proyecto de Concesión "Aeródromo La Florida de La Serena, IV Región de Coquimbo", efectuada en el diario El Mercurio con fecha 29 de diciembre de 2011.
-    La publicación del Llamado a Licitación Pública Internacional del proyecto de Concesión Aeródromo La Florida de La Serena, IV Región de Coquimbo", efectuada en el diario El Día de La Serena con fecha 29 de diciembre de 2011.
-    La resolución DGOP N° 58, de fecha 9 de abril de 2012, que revoca resolución que indica y aprueba Bases de Licitación de la obra pública fiscal denominada "Aeródromo La Florida de La Serena, IV Región de Coquimbo", a ejecutar por el Sistema de Concesiones, y su Circular Aclaratoria N° 1.
-    La resolución DGOP N° 85, de fecha 10 de mayo de 2012, que Aprueba Circular Aclaratoria N° 2 de las Bases de Licitación de la obra pública fiscal denominada "Aeródromo La Florida de La Serena, IV Región de Coquimbo", a ejecutar por el Sistema de Concesiones.
-    La resolución DGOP N° 112, de fecha 8 de junio de 2012, que Aprueba Circular Aclaratoria N° 3, de las Bases de Licitación de la obra pública fiscal denominada "Aeródromo La Florida de La Serena, IV Región de Coquimbo", a ejecutar por el Sistema de Concesiones.
-    La resolución DGOP (exenta) N° 2.708, de fecha 14 de junio de 2012, que Aprueba Circular Aclaratoria N° 4 de las Bases de Licitación de la obra pública fiscal denominada "Aeródromo La Florida de La Serena, IV Región de Coquimbo", a ejecutar por el Sistema de Concesiones.
-    El Acta de Recepción de Ofertas y Apertura de las Ofertas Técnicas de la Licitación de fecha 28 de junio de 2012.
-    El oficio Ord. N° 796, de fecha 11 de julio de 2012, mediante el cual el Director General de Obras Públicas solicitó a los Licitantes y Grupo Licitante las aclaraciones que se indicaron, y la Carta de Respuesta del Licitante "Agencias Universales S.A.", ingresada en la oficina de partes ubicada en calle Merced N° 753, entrepiso, con fecha 17 de julio de 2012.
-    El Acta de Evaluación de las Ofertas Técnicas de fecha 18 de julio de 2012.
-    El Acta de Apertura de las Ofertas Económicas de fecha 19 de julio de 2012.
-    El Acta de Calificación de las Ofertas Económicas de fecha 23 de julio de 2012.
-    El Informe de la Dirección General de Aeronáutica Civil de fecha 31 de julio de 2012 contenido en el oficio Of. D.P. Ord. N° 04/A/2/1438/5089.
-    El Acta de Adjudicación del Director General de Obras Públicas de fecha 21 de agosto de 2012.
-    La resolución N° 1.600, de 2008, de la Contraloría General de la República, que fija normas sobre exención del trámite de toma de razón.

    Decreto:

    1.- Adjudícase el Contrato de Concesión para la ejecución, reparación, conservación y explotación de la obra pública fiscal denominada "Aeródromo La Florida de La Serena, IV Región de Coquimbo", ubicada a 6 km. al Este del centro de la ciudad de La Serena, en la provincia de Elqui, Cuarta Región de Coquimbo, al Licitante "Agencias Universales S.A.".
    2.- Declárase que forman parte integrante del presente decreto supremo de Adjudicación de la Concesión de la obra pública fiscal denominada "Aeródromo La Florida de La Serena, IV Región de Coquimbo", las Bases de Licitación y su circular aclaratoria N° 1, aprobadas por resolución DGOP N° 58, de fecha 9 de abril; la circular aclaratoria N° 2, aprobada por resolución DGOP N° 85, de fecha 10 de mayo; la circular aclaratoria N° 3, aprobada por resolución DGOP N° 112, de fecha 8 de junio; y la circular aclaratoria N° 4, aprobada por resolución DGOP (exenta) N° 2.708, de fecha 14 de junio, todas del año 2012; y las Ofertas Técnica y Económica, presentadas por el Licitante Adjudicatario "Agencias Universales S.A.", en la forma aprobada por el Ministerio de Obras Públicas.
    3.- En caso de discrepancia en la interpretación del Contrato de Concesión, primará lo dispuesto en las Bases de Licitación, sus Circulares Aclaratorias y en el Anteproyecto Referencial entregado por el Ministerio de Obras Públicas, por sobre lo establecido en la Oferta presentada por el Adjudicatario de la Concesión, salvo el caso en que ésta contenga aspectos superiores a lo exigido en las Bases de Licitación y sus circulares aclaratorias, lo que será calificado por el Director General de Obras Públicas.
    4.- Forman parte del Contrato de Concesión, las disposiciones pertinentes de los siguientes cuerpos legales:

a)  El DS MOP N° 900, de 1996, que fija el texto refundido, coordinado y sistematizado del DFL MOP N° 164, de 1991, Ley de Concesiones de Obras Públicas, y sus modificaciones.
b)  El DS MOP N° 956, de 1997, Reglamento de la Ley de Concesiones de Obras Públicas, y sus modificaciones.
c)  El DFL MOP N° 850, de 1997, que fija el texto refundido, coordinado y sistematizado de la Ley N° 15.840, de 1964, Orgánica del Ministerio de Obras Públicas, y del DFL N° 206, de 1960, Ley de Caminos, y sus modificaciones.
d)  La Ley N° 16.752, de 1968, Orgánica de la Dirección General de Aeronáutica Civil, y sus modificaciones, así como sus normas complementarias.

    El concesionario deberá cumplir con todas las leyes, decretos y reglamentos de la República de Chile vigentes a la fecha de la firma del Contrato de Concesión, que se relacionan con él y con todos aquellos que se dicten durante su vigencia de acuerdo a lo establecido en el artículo 1.7.7.1 de las Bases de Licitación.
    En todo caso, ante cualquier discrepancia en la interpretación de los documentos que conforman las Bases de Licitación y la normativa vigente que sea aplicable al Contrato de Concesión, primará lo dispuesto de dicha normativa, según lo dispuesto en el artículo 1.2.1 de las Bases de Licitación.
    5.- Forman parte integrante del Contrato de Concesión los siguientes documentos individualizados en los artículos 1.4.2 y 1.4.4 de las Bases de Licitación:

- Doc. N° 1:    Llamado a Licitación por Concesión.
- Doc. N° 2:    Bases Administrativas.
- Doc. N° 3:    Bases Técnicas.
- Doc. N° 4:    Bases Económicas.
- Doc. N° 5:    Circulares Aclaratorias emitidas por el
                Director General de Obras Públicas.
- Doc. N° 6:    Manual de Planes de Manejo Ambiental para
                Obras Concesionadas, elaborado por el
                Ministerio de Obras Públicas (última
                edición).
- Doc. N° 7:    Manual de Manejo de Áreas Verdes para
                Proyectos Concesionados, elaborado por el
                Ministerio de Obras Públicas (última
                edición).
- Doc. N° 8:    Aspectos Mínimos a Considerar en la
                Elaboración del Reglamento de Servicio de
                la Obra y Manual de Operaciones para la
                Concesión, elaborado por el Ministerio de
                Obras Públicas (última edición).
- Doc. N° 9:    Plan de Mantenimiento de la Infraestructura
                Horizontal, confeccionado por la Dirección
                de Aeropuertos del Ministerio de Obras
                Públicas, diciembre de 2011.
-    Anteproyecto Referencial "Ampliación y Mejoramiento Aeródromo La Florida de La Serena", elaborado por la Dirección de Aeropuertos del Ministerio de Obras Públicas y aceptado totalmente por el Licitante Adjudicatario.

    6.- El inicio del plazo de la concesión se contará desde la fecha de publicación en el Diario Oficial del presente decreto supremo de Adjudicación, de acuerdo a lo establecido en el artículo 1.7.5 de las Bases de Licitación.
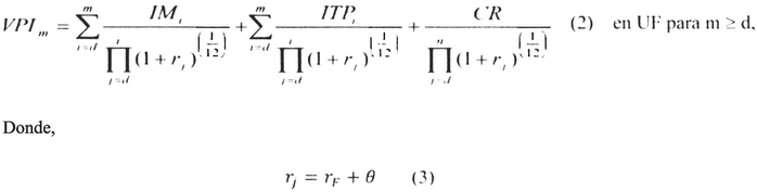
    7.- La concesión, de acuerdo a lo establecido en los artículos 1.7.6, 1.7.6.1 y 1.7.6.2 de las Bases de Licitación, se extinguirá al cabo de treinta y seis (36) meses contados desde el primer mes "m" en que se cumpla la siguiente relación:

    .

    Donde el término ITC corresponde al monto de Ingresos Totales de la Concesión, solicitado por el Licitante Adjudicatario en su Oferta Económica, según se indica en el artículo 3.2 de las Bases de Licitación, por un valor de UF 120.798 (ciento veinte mil setecientas noventa y ocho unidades de fomento), y el término VPIm corresponde al Valor Presente de los Ingresos de la Sociedad Concesionaria en (UF), calculado en el mes "m" de concesión.
    El valor VPIm se calculará mensualmente de acuerdo a la siguiente expresión:

    .

IMi:    Ingresos mensuales por concepto de tarifa por
        pasajeros embarcados (en UF) en el mes "i" de
        concesión, contado desde el inicio del plazo de la
        concesión, sobre la base de la información
        señalada en el artículo 1.8.2 N° 5 letra h) de la
        Bases de Licitación.
ITPi:    Pagos a la Sociedad Concesionaria por compensación
        por pérdida de ingresos por tarifa por pasajero
        embarcado durante el mes "i" de concesión contado
        desde el inicio de la concesión, expresados en UF,
        de acuerdo a lo indicado en el artículo 1.12 de
        las Bases de Licitación.
CR:      Saldo de la Cuenta de Reserva para "Inversiones
        Menores" señalada en 1.10.14, en caso de existir,
        al completarse el 90% del monto ITC solicitado por
        el Licitante Adjudicatario en su Oferta Económica,
        según lo establecido en 3.1 y 3.2 o, bien, al
        momento en que se produzca la calificación del
        Director General de Obras Públicas referida a la
        cláusula de extinción señalada en 1.13.1.5, en
        caso que esto suceda, todos artículos de las Bases
        de Licitación.
d:      Mes en el cual se autoriza la Puesta en Servicio
        Provisoria de las Instalaciones Existentes o Fase
        1 señalada en el artículo 1.9.7 letra a) de las
        Bases de Licitación, contado desde el inicio de la
        concesión.
n:      Mes en que el Ministerio de Obras Públicas paga a
        la Sociedad Concesionaria el monto IND por
        concepto de extinción anticipada de la concesión,
        de acuerdo a lo señalado en 1.13.1.5 o mes en el
        que se complete al menos el 90% del monto de ITC
        solicitado por el Licitante Adjudicatario en su
        Oferta Económica, según lo establecido en 3.1 y
        3.2, todos artículos de las Bases de Licitación,
        lo que suceda primero.
rF:      Tasa Fija, que para efectos del presente cálculo
        corresponde a 0,03 (3% real anual).
O:      Premio por riesgo, que para efectos del presente
        cálculo corresponde a 0.04% (4% real anual).

    Si transcurridos ciento veinte (120) meses, contados desde el inicio del plazo de la concesión establecido en el artículo 1.7.5 de las Bases de Licitación, esto es, desde la fecha de publicación en el Diario Oficial del presente decreto supremo de Adjudicación de la Concesión, no se hubieren cumplido los treinta y seis (36) meses contados desde el primer mes "m" en que se cumpla la relación (1) del presente numeral, la concesión se extinguirá por cumplimiento del plazo máximo, de acuerdo a lo señalado en los artículos 1.7.6.2 y 1.13.1.2 de las Bases de Licitación.
    8.- De acuerdo a lo señalado en el artículo 1.8.10 de las Bases de Licitación, el Ministerio de Obras Públicas, a más tardar al inicio de la Fase 1 señalada en el artículo 1.9.7 letra a) de las Bases de Licitación, entregará al Adjudicatario de la concesión o, bien, a la Sociedad Concesionaria, según sea el caso, la infraestructura, instalaciones y/o equipamiento preexistente en el estado en que se encuentre. Este acto se efectuará mediante anotación del Inspector Fiscal en el Libro de Construcción de la Obra.
    Desde ese momento el Concesionario será responsable de mantener y conservar, según los estándares establecidos en las Bases de Licitación, todas las obras, infraestructura, equipamiento y áreas verdes que se encuentren o utilicen en el área de la concesión.
    Para apoyar este traspaso de la infraestructura, instalaciones y/o equipamiento y a modo de referencia, el Inspector Fiscal hará entrega al Adjudicatario o, bien, al Concesionario, según sea el caso, mediante anotación en el Libro de Obra correspondiente, de un Inventario de la Infraestructura Preexistente en el área de la concesión.
    9.- El Concesionario, de acuerdo a lo dispuesto en los artículos 1.9.1 y 1.9.2 de las Bases de Licitación, deberá realizar los Proyectos de Ingeniería Definitiva de todas las obras incluidas en las Bases de Licitación, de manera que se ajusten a los estándares técnicos establecidos en el Anteproyecto Referencial entregado por el Ministerio de Obras Públicas, en las Bases de Licitación y en los demás documentos que forman parte del Contrato de Concesión, debiendo tener en cuenta las pautas y normas vigentes de la Dirección de Aeropuertos del Ministerio de Obras Públicas y de la Dirección General de Aeronáutica Civil. Las obras correspondientes no podrán ejecutarse en tanto dichos proyectos de ingeniería no se encuentren aprobados por el Inspector Fiscal. Será exclusivamente responsabilidad del Concesionario velar por el correcto desarrollo de los proyectos de cada una de las especialidades.
    10.- De acuerdo a lo establecido en el artículo 1.9.10 de las Bases de Licitación, durante el tiempo que dure la ejecución de las obras, el Concesionario será el responsable de mantener a su entero cargo y costo, operables todas las actividades y servicios que se realizan en las actuales instalaciones del Aeródromo, en particular, los servicios aeronáuticos y no aeronáuticos obligatorios que se encuentren operando en las actuales instalaciones, y que pudieran verse afectadas por la construcción de las obras, con al menos el nivel de servicio actual del Aeródromo. Tales servicios no podrán interrumpirse salvo una autorización expresa por parte del Director General de Obras Públicas ante una solicitud fundada de parte del Concesionario.
    Para el funcionamiento de estos servicios, el Concesionario deberá dar cumplimiento al Reglamento de Servicio de la Obra, al Manual de Operación y a los Mecanismos de Asignación del Sistema de Embarque y Desembarque, Counters y Oficinas de Apoyo a Counters u otros que se encuentren vigentes durante el último período de explotación del anterior Contrato de Concesión de obra pública para las actuales instalaciones del Aeródromo dentro del Área de Concesión.
    Adicionalmente, el Concesionario, para el mantenimiento del servicio de las actuales instalaciones, deberá realizar y habilitar todas las obras provisorias que se requieran una vez que los proyectos respectivos sean aprobados por el Inspector Fiscal.
    Para facilitar la operatividad normal del Aeródromo, contará con el Comité de Gestión de la Concesión del Aeródromo La Florida de La Serena señalado en el artículo 1.8.15 de las Bases de Licitación.
    Mientras no entren en vigencia el nuevo Reglamento de Servicio de la Obra, el nuevo Manual de Operación y los nuevos Mecanismos de Asignación, conforme lo señalado en 1.10.4 y 2.9.3, todos artículos de las Bases de Licitación, regirán el Reglamento de Servicio de la Obra, Manual de Operación y Mecanismos de Asignación del Sistema de Embarque y Desembarque, Counters y Oficinas de Apoyo a Counters, que el Ministerio de Obras Públicas entregará a través del Inspector Fiscal, mediante anotación en el Libro de Obra respectivo, a más tardar, a los veinte (20) días de iniciado el plazo de concesión, y que para todos los efectos se entenderán plenamente vigentes para las actuales instalaciones del Aeródromo La Florida La Serena dentro del Área de Concesión. En caso de discrepancias entre lo establecido en los documentos señalados en el párrafo precedente de este numeral y las Bases de Licitación, primará lo dispuesto en estas últimas. Asimismo, en todo aspecto no previsto en dichos documentos, tendrá plena aplicación lo establecido en las Bases de Licitación. Todo lo anterior según lo establecido en el artículo 1.10.10 punto A.10 de dichas Bases.
    11.- De acuerdo a lo establecido en el artículo 1.10 de las Bases de Licitación, la Etapa de Explotación comenzará junto a la puesta en Servicio Provisoria de las Instalaciones Existentes o Fase 1, señalada en el artículo 1.9.7 letra a) de las Bases de Licitación. Esta etapa comprende lo siguiente:
a)  La prestación del Servicio Básico para el que fue construida la obra, dentro del Área de Concesión definida en el artículo 2.4 de las Bases de Licitación. Se entiende por Servicio Básico:
    a.1.  La conservación y aseo de la obra, manteniéndola
          en óptimas condiciones de uso.
          Las labores de conservación que son de exclusiva
          responsabilidad, cargo y costo del Concesionario
          corresponden a:
          i)  La conservación preventiva y correctiva de
                la infraestructura, instalaciones y
                equipamiento, nuevo y preexistente, que se
                entrega al Concesionario para su operación
                y explotación.
          ii)  La conservación rutinaria y preventiva de
                la infraestructura horizontal asociada al
                Área de Movimiento de Aviones, respecto de
                la cual el Concesionario no está facultado
                a operar ni tiene derecho a explotar.
          Todo lo anterior, según se explicita en las
          Bases de Licitación y en el Plano "Área de
          Concesión".
          Las labores de aseo se refieren al aseo
          permanente del Área de Concesión (se excluye el
          Área de Movimiento de Aviones del Air Side).
    a.2.  La prestación y explotación de los Servicios
          Aeronáuticos y No Aeronáuticos de acuerdo a lo
          señalado en los artículos 1.10.9.1, 1.10.9.2,
          1.10.9.3.1, 1.10.10 y 1.10.11 de las Bases de
          Licitación y a lo presentado por el Licitante
          Adjudicatario en su Oferta.
b)  El cobro de la Tarifa por Pasajero Embarcado, el que se materializará a través de un pago de la Dirección General de Aeronáutica Civil a la Sociedad Concesionaria, conforme a lo establecido en el artículo 1.14.1 de las Bases de Licitación.
c)  El cobro de tarifas a los usuarios de los servicios aeronáuticos y no aeronáuticos.
d)  La ejecución de las obras que deben construirse una vez que la obra haya sido puesta en servicio.
e)  El uso y goce sobre bienes nacionales de uso público o fiscales, en los que se desarrolle la obra entregada en concesión, de acuerdo a lo expresado en las letras precedentes de este numeral.
f)  El uso y goce sobre bienes nacionales de uso público o fiscales destinados a áreas de servicio conforme a lo estipulado en el artículo 32° de la Ley de Concesiones.

    12.- El Concesionario deberá realizar todas las obras necesarias para prestar el nivel de servicio exigido en los documentos que conforman el Contrato de Concesión. A continuación, se presenta una enumeración no taxativa de las obras a ejecutar por el Concesionario, conforme lo señalado en el artículo 2.5 de las Bases de Licitación:
a)  Ampliación y mejoramiento del Edificio Terminal de Pasajeros. La superficie actual del edificio existente es de aproximadamente 3.200 m2. Como resultado de la ejecución del proyecto, el edificio alcanzará una superficie total aproximada de 4.500 m2. En lo principal, incluye lo siguiente:
    .    Adquisición, provisión e instalación de un nuevo
          sistema de cinta transportadora de equipaje
          facturado y dos (2) carruseles de arribo en forma
          de L, en reemplazo de las existentes;
    .    Nuevo ascensor, en reemplazo del existente;
    .    Nuevos revestimientos de piso, muros y cielo en
          todo el terminal;
    .    Reemplazo total de la cubierta de techumbre
          existente, considerando como estándar mínimo las
          especificaciones de la techumbre de la ampliación
          del edificio contenidas en el Anteproyecto
          Referencial.
b)  Nuevo Edificio Logístico para la Dirección General de Aeronáutica Civil. Incluye oficinas, baños, bodegas, taller, estacionamientos, sistema de agua potable, alcantarillado y electricidad.
c)  Ampliación de la cabina de la Torre de Control, que incluye la modificación de la terraza existente así como del acceso a la torre. Se debe considerar la habilitación de un área dentro de las dependencias aeronáuticas, según lo señalado en el Anteproyecto Referencial, para continuar proporcionando el Servicio de Control de Tránsito Aéreo, coordinado con la Dirección General de Aeronáutica Civil la instalación y traslado de equipos respectivos.
d)  Mejoramiento del actual acceso al Aeródromo, el que empalma a un costado del camino a Vicuña (Ruta 41) y nueva vía alternativa de circulación interior. Incluye obras de pavimentación, sistema de drenaje y saneamiento y señalética de la vialidad de acceso al Área Terminal de Pasajeros.
e)  Ampliación y redistribución de las áreas de estacionamientos.
f)  Nuevas instalaciones para la Subestación Eléctrica de la Concesionaria.
g)  Construcción y equipamiento de nueva Planta de Acumulación y Distribución de Agua para red de incendio y agua potable, en reemplazo de las instalaciones existentes que permanecerán sin alteraciones en su actual ubicación y sin funcionar una vez que entren en operación las nuevas.
h)  Adquisición, provisión e instalación de dos (2) bombas nuevas para la actual Planta Elevadora de Aguas Servidas, en reemplazo de las existentes.
i)  Nueva red de agua potable hasta las instalaciones del Edificio Terminal de Pasajeros, edificio logístico, sala de basura, red de riego y red de extinción de incendio.
j)  Sistema de extinción de incendio, para edificio terminal e instalaciones exteriores, y un sistema de protección de incendio para el edificio terminal y la torre de control.
k)  Habilitación de instalaciones para zona de estar del personal de losa.
l)  Nuevo camino desde el Cuartel SEI hasta la Plataforma de Estacionamiento de Aviación Comercial. Incluye pavimentación, sistema de drenaje, ayudas visuales, demarcación e iluminación.
m)  Ampliación de la Plataforma de Estacionamiento de Aviación Comercial. Incluye pavimentación, sistema de drenaje, ayudas visuales, demarcación, iluminación y la extensión de la calle aeronáutica.
o)  Mejoramiento de rodajes Bravo y Charlie. Incluye ensanche pavimentado, iluminación, sistema de drenaje, ayudas visuales y demarcación.
p)  Nueva torre de iluminación para las obras de ampliación de la Plataforma de Estacionamiento de Aviación Comercial, y nuevas torres de iluminación para la ampliación de estacionamientos públicos y camino de acceso al Aeródromo.
q)  Demolición, reubicación o reinstalación de aquellas obras existentes para dar cabida a las nuevas obras del proyecto.
r)  Otras obras y/o trabajos complementarios: paisajismo y riego, nueva sala de residuos sólidos para el área terminal, cerco perimetral y cerco de seguridad del Aeródromo, entre otras.

    Conforme lo señalado en el artículo 1.4.3 de las Bases de Licitación, el Presupuesto Oficial Estimado de la Obra es de UF 174.000 (ciento setenta y cuatro mil unidades de fomento), cantidad que no incluye Impuesto al Valor Agregado. Este valor es referencial y considera el valor nominal de las obras del Contrato de Concesión, incluyendo todos los costos del proyecto, gastos generales y utilidades, pagos de la Sociedad Concesionaria durante la Etapa de Construcción y los costos para la elaboración de los Proyectos de Ingeniería Definitiva.
    13.- Conforme lo señalado en el artículo 1.14.4 de las Bases de Licitación, para efectos de lo dispuesto en el DL N° 825, de 1974, y sus modificaciones posteriores, y en especial el artículo N° 16, letras c) y h), en el Contrato de Concesión se imputará un 80% de los ingresos totales de la explotación para pagar el precio del servicio de construcción y el 20% restante de dichos ingresos para pagar el precio del servicio de conservación, reparación y explotación, salvo el período comprendido entre la Puesta en Servicio Provisoria de las Instalaciones Existentes o Fase 1 y el inicio de las obras, señalados en los artículos 1.9.7 letra a) y 1.9.3 de las Bases de Licitación, respectivamente, en donde se imputará el 100% de dichos ingresos para pagar el servicio de conservación, reparación y explotación. Como ingresos de explotación el Concesionario percibirá los pagos de la Dirección General de Aeronáutica Civil por concepto de Tarifa por Pasajero Embarcado y los ingresos por la explotación de los Servicios Aeronáuticos y No Aeronáuticos contemplados en las Bases de Licitación.
    En los aspectos relativos a la declaración y pago del Impuesto a la Renta, el Concesionario se deberá regir por lo dispuesto en el DL N° 824, de 1974, y sus modificaciones, especialmente por las introducidas por la ley N° 19.460, de 1996, y las demás normas que correspondan.
    14.- Las obligaciones y derechos del Licitante Adjudicatario o bien de la Sociedad Concesionaria, según sea el caso, son las establecidas en los cuerpos legales citados en el presente decreto supremo y la normativa legal vigente que le sea aplicable, en las Bases de Licitación y sus Circulares Aclaratorias, y en las Ofertas Técnica y Económica presentadas por el Licitante Adjudicatario "Agencias Universales S.A.", en la forma aprobada por el Ministerio de Obras Públicas.
    Sin perjuicio de lo anterior, y en forma no taxativa, se indican las siguientes obligaciones y los siguientes derechos:

OBLIGACIONES:

I.  Constituir legalmente la sociedad prometida en la Oferta, de acuerdo a lo establecido en el artículo 1.7.3 de las Bases de Licitación, dentro del plazo máximo de sesenta (60) días corridos, contados desde la publicación en el Diario Oficial del presente decreto supremo de Adjudicación del Contrato de Concesión. Asimismo, y dentro del mismo plazo, el Adjudicatario de la concesión procederá a suscribir ante Notario cuatro (4) transcripciones del presente decreto, en señal de aceptación de su contenido, debiendo protocolizar ante el mismo Notario uno (1) de los ejemplares, según lo exigido en el artículo 1.7.4 de las Bases de Licitación.
II.  Al otorgarse la escritura pública de constitución de la Sociedad Concesionaria se deberá suscribir íntegramente el capital de la sociedad, que no podrá ser inferior a $960.000.000 (novecientos sesenta millones de pesos) y pagarse, a lo menos, la suma de $480.000.000 (cuatrocientos ochenta millones de pesos), debiendo individualizar con su correspondiente porcentaje, a todas las personas naturales o jurídicas que suscribirán el 100% de dicho capital. El saldo de capital deberá pagarse en el plazo máximo de doce (12) meses contados desde la fecha de la escritura pública de constitución de la sociedad. El capital pagado deberá acreditarse mediante certificado bancario. Todo lo anterior de conformidad a lo dispuesto en el artículo 1.7.3 de las Bases de Licitación.
III. La Sociedad Concesionaria, dentro del plazo de sesenta (60) días contados desde su constitución, deberá haber solicitado su inscripción en el Registro correspondiente de la Superintendencia de Valores y Seguros, de acuerdo a la normativa vigente, lo que deberá acreditar con el certificado respectivo, de conformidad a lo dispuesto en el artículo 1.7.3 de las Bases de Licitación.
IV.  De conformidad con lo establecido en el artículo 1.7.7.2 de las Bases de Licitación, el Concesionario será siempre responsable del cumplimiento cabal, íntegro y oportuno del Contrato de Concesión, de la correcta ejecución de los proyectos y de las obras, de la operación de la concesión, así como del cumplimiento de los niveles de servicio y estándares técnicos establecidos en las Bases de Licitación para las diferentes etapas y condiciones de la concesión, durante toda su vigencia y del cumplimiento de todas las obligaciones establecidas en el Contrato de Concesión, sin perjuicio de las funciones de dirección y control que corresponden al Ministerio de Obras Públicas.
V.  De acuerdo a lo señalado en el artículo 1.8.11.1 de las Bases de Licitación y conforme lo establecido en el artículo 10° de la ley N° 19.300, de 1994, "Sobre Bases Generales del Medio Ambiente", modificado por la ley N° 20.417, y el artículo 3° del DS N° 95, de 2001, "Reglamento del Sistema de Evaluación de Impacto Ambiental", el proyecto objeto de la presente concesión no debe ingresar al Sistema de Evaluación de Impacto Ambiental.
    No obstante lo anterior, las medidas y/o exigencias establecidas en las Bases de Licitación constituyen el conjunto de obligaciones, compromisos y medidas ambientales mínimas obligatorias a cumplir por parte del Adjudicatario o de la Sociedad Concesionaria, según sea el caso, durante las Etapas de Construcción y Explotación de la concesión.
    Una vez constituida la Sociedad Concesionaria de acuerdo a lo señalado en el artículo 1.7.3 de las Bases de Licitación, ésta será la única responsable ante la autoridad ambiental competente y cualquier otra autoridad pública del cumplimiento de la normativa ambiental vigente.
    La implementación de las medidas y/o exigencias establecidas en las Bases de Licitación, será de exclusiva responsabilidad, cargo y costo de la Sociedad Concesionaria, no pudiendo, en caso alguno, eximirse de esta obligación, debiendo dar cumplimiento a la normativa ambiental vigente.
    En caso que el Adjudicatario o la Sociedad Concesionaria, según sea el caso, proponga cualquier alternativa de modificación del proyecto o requiera obtener la autorización para la explotación de empréstitos, plantas de producción de materiales, nuevas obras o cualquier otra actividad asociada al proyecto objeto de la presente concesión, conforme a lo establecido en las Bases de Licitación, deberá evaluar la necesidad de ingresar al Sistema de Evaluación de Impacto Ambiental a través de una Declaración o un Estudio de Impacto Ambiental, según corresponda, de acuerdo a lo indicado en la ley N° 19.300, de 1994, "Bases Generales del Medio Ambiente" y el Reglamento del Sistema de Evaluación de Impacto Ambiental, con sus respectivas modificaciones. En caso que proceda dicho ingreso, la elaboración de la Declaración o Estudio de Impacto Ambiental, según corresponda, su tramitación y el cumplimiento de todas las medidas y/o exigencias que emanen de la(s) respectiva(s) resolución(es) de Calificación Ambiental serán de exclusiva responsabilidad, cargo y costo del Licitante Adjudicatario o bien de la Sociedad Concesionaria, según corresponda, en calidad de titular de la respectiva Declaración o Estudio de Impacto Ambiental.
VI.  Conforme lo establecido en el artículo 1.8.16 de las Bases de Licitación, el Adjudicatario o bien la Sociedad Concesionaria, según sea el caso, deberá someterse a un Período de Marcha Blanca para tomar conocimiento del funcionamiento de las instalaciones existentes.
    El período de Marcha Blanca comenzará el día siguiente a la publicación en el Diario Oficial del presente decreto supremo de Adjudicación de la Concesión, y culminará el día anterior a la fecha de Puesta en Servicio Provisoria de las Instalaciones Existentes o Fase 1 señalada en el artículo 1.9.7 letra a) de las Bases de Licitación.
    Las actividades y/o requisitos mínimos que debe cumplir el Adjudicatario o bien el Concesionario, según sea el caso, durante este período de Marcha Blanca son los siguientes:
    1.  Someterse y participar activamente, de acuerdo a
          las instrucciones del Inspector Fiscal, a un
          programa de talleres de inducción y/o
          capacitación que será impartido por el
          Concesionario en ejercicio, respecto de la
          operación de las instalaciones existentes y
          servicios de la concesión.
    2.  Presentar para la aprobación del Inspector
          Fiscal:
          a)  Un procedimiento para llevar y mantener
              actualizado el Registro de Bienes Afectos a
              la concesión.
          b)  Un Plan de Conservación de las Instalaciones
              Existentes que regirá desde la Puesta en
              Servicio Provisoria de las Instalaciones
              Existentes o Fase 1 hasta la Puesta en
              Servicio Provisoria de la Totalidad de las
              Obras o Fase 2.

    3.  Entregar para la aprobación del Inspector Fiscal:
          la Garantía de Explotación para la Fase 1, según
          lo señalado en 1.8.3.2 letra a); el Sistema de
          Reclamos y Sugerencias de los Usuarios señalado
          en 1.9.18; y acompañar todos los documentos
          exigidos en las Bases de Licitación para la Fase
          1, tales como: Pólizas de Seguro de
          Responsabilidad Civil por Daños a Terceros y de
          Seguro por Catástrofe según lo señalado en 1.8.7
          letra c) y 1.8.8 letra c), respectivamente; todos
          artículos de las Bases de Licitación.
    4.  Efectuar las correcciones requeridas por el
          Ministerio de Obras Públicas a las propuestas de
          pólizas de seguro para las Etapas de Construcción
          y de Explotación, y contratar las pólizas de
          seguro conforme al texto aprobado por el
          Ministerio de Obras Públicas con la anticipación
          debida para poder entregarlas al Ministerio de
          Obras Públicas en los plazos previstos en los
          artículos 1.8.7 y 1.8.8 de las Bases de
          Licitación.
VII. La Sociedad Concesionaria deberá construir, conservar y explotar las obras descritas en las Bases de Licitación, en el Anteproyecto Referencial entregado por el Ministerio de Obras Públicas y demás documentos que forman parte del Contrato de Concesión, en la forma, modo y plazos señalados en dichos documentos.
VIII. La prestación y explotación de los Servicios Aeronáuticos y No Aeronáuticos de acuerdo a lo señalado en los artículos 1.10.9, 1.10.10 y 1.10.13 de las Bases de Licitación.
    De acuerdo a lo señalado en el artículo 1.10.10 punto A.10 de las Bases de Licitación, será obligación del Adjudicatario o del Concesionario, según corresponda, efectuar la licitación de los Servicios Aeronáuticos y No Aeronáuticos obligatorios regulados en 1.10.9, conforme con lo dispuesto en el punto C.2 del 1.10.10, ambos artículos de las Bases de Licitación. Dichos servicios deberán encontrarse en condiciones de iniciar su prestación y explotación, dentro del plazo máximo de noventa (90) días contados desde el inicio del plazo de la concesión indicado en el artículo 1.7.5 de las Bases de Licitación.
IX.  Cuidar el Área de Concesión, sus Obras y Equipamiento afectos a la Concesión según lo señalado en el artículo 1.10.12 de las Bases de Licitación.
X.  De conformidad con el artículo 1.10.14 de las Bases de Licitación, a más tardar sesenta (60) días antes de la solicitud de autorización de la Puesta en Servicio Provisoria de la Totalidad de las Obras o Fase 2, el Concesionario deberá generar una Cuenta de Reserva para las Inversiones Menores por un monto único y total de UF 10.000 (diez mil unidades de fomento), cantidad que no incluye Impuesto al Valor Agregado, y que podrá enterarse hasta un máximo de cuatro (4) cuotas anuales de UF 2.500 (dos mil quinientas unidades de fomento) cada una. Dicha cuenta deberá abrirse, al menos, con la cantidad de UF 2.500 (dos mil quinientas unidades de fomento), correspondiente a la primera cuota. La(s) restante(s) cuota(s) deberá(n) incorporarse a la cuenta a más tardar el último día hábil del mes de enero de cada siguiente período.
XI.  De conformidad con lo señalado en el artículo 1.14.2 de las Bases de Licitación, la Sociedad Concesionaria deberá realizar Pagos Anuales al Ministerio de Obras Públicas por concepto de Administración y Control del Contrato de Concesión.
    .    Para el período comprendido entre el inicio del
          plazo de la concesión señalado en el artículo
          1.7.5 de las Bases de Licitación y la Puesta en
          Servicio Provisoria de la Totalidad de las Obras
          o Fase 2, la Sociedad Concesionaria deberá pagar
          la suma de UF 20.000 (veinte mil unidades de
          fomento) en dos (2) cuotas de UF 10.000 (diez mil
          unidades de fomento) cada una. La primera cuota
          deberá ser pagada el último día hábil del mes en
          que se autorice la Puesta en Servicio Provisoria
          de las Instalaciones Existentes o Fase 1 señalada
          en el artículo 1.10.1 letra A) de las Bases de
          Licitación, mientras que la segunda cuota deberá
          ser pagada el último día hábil del decimosegundo
          mes siguiente a dicha autorización de Puesta en
          Servicio Provisoria.
    .    Adicionalmente, desde el inicio del plazo de la
          concesión señalado en el artículo 1.7.5 de las
          Bases de Licitación y hasta la extinción de la
          concesión, la Sociedad Concesionaria deberá pagar
          anualmente, la suma de UF 2.300 (dos mil
          trescientas unidades de fomento). La primera
          cuota deberá ser pagada el último día hábil del
          mes en que se autorice la Puesta en Servicio
          Provisoria de las Instalaciones Existentes o Fase
          1 señalada en el artículo 1.10.1 letra A) de las
          Bases de Licitación, mientras que los restantes
          pagos deberán efectuarse el último día hábil del
          mes de enero de cada año. La última cuota deberá
          ser pagada el último día hábil del mes de enero
          del año en que se producirá la extinción de la
          Concesión, la cual será proporcional a la
          cantidad de meses que transcurran en dicho año
          hasta el término del plazo de la concesión, y
          será calculada a razón de UF 192 (ciento noventa
          y dos unidades de fomento) al mes.
XII. Contratar los seguros de Responsabilidad Civil por daños a Terceros y por Catástrofe de acuerdo a lo señalado en los artículos 1.8.7 y 1.8.8, respectivamente, de las Bases de Licitación.

DERECHOS:

I.  Explotar las obras a contar de la autorización de Puesta en Servicio Provisoria de las Instalaciones Existentes o Fase 1 hasta el término de la concesión, todo ello de conformidad a lo señalado en los artículos 1.9.7 y 1.10 de las Bases de Licitación.
II.  Cobrar tarifas a los usuarios por los Servicios Aeronáuticos y No Aeronáuticos en conformidad a lo señalado en los artículos 1.10 letra c) y 1.10.9 de las Bases de Licitación.
III. Percibir de la Dirección General de Aeronáutica Civil un pago mensual por concepto de Tarifa por Pasajero Embarcado, de acuerdo al procedimiento establecido en el artículo 1.14.1 de las Bases de Licitación.
    Para tales efectos, de acuerdo a lo solicitado por el Adjudicatario de la concesión en su Oferta Económica, respecto del monto de ITC, el valor de la tarifa que la Dirección General de Aeronáutica Civil pagará al Concesionario, expresada en pesos al 31 de diciembre de 2010, asciende a la cantidad de $1.826 (mil ochocientos veintiséis pesos) por cada pasajero embarcado en el Aeródromo La Florida de La Serena.
    Considerando lo anterior, la Dirección General de Aeronáutica Civil pagará a la Sociedad Concesionaria por cada mes vencido, el monto equivalente a la multiplicación de la cantidad de pasajeros embarcados en el mes correspondiente por el valor de la Tarifa por Pasajero Embarcado, reajustada de acuerdo a lo que se indica a continuación:
    i)  Desde la autorización de Puesta en Servicio
          Provisoria de las Instalaciones Existentes o Fase
          1 y hasta la Puesta en Servicio Provisoria de la
          Totalidad de las Obras o Fase 2, el Concesionario
          recibirá el 50% de la tarifa antes señalada,
          debidamente reajustada;
    ii)  Desde la autorización de Puesta en Servicio
          Provisoria de la Totalidad de las Obras o Fase 2
          y hasta el término de la concesión, el
          Concesionario recibirá el 100% de la tarifa antes
          señalada, debidamente reajustada.
    La Tarifa por Pasajero Embarcado se reajustará según la variación del Índice de Precios al Consumidor, de acuerdo a lo estipulado en 1.14.5.1 y en concordancia a lo establecido en 1.14.5.2, ambos artículos de las Bases de Licitación.
    La fórmula de reajuste de la Tarifa por Pasajero Embarcado podrá ser objeto de revisión, a solicitud del Concesionario, en conformidad a lo señalado en el artículo 1.14.5.3 de las Bases de Licitación.

    15.- Las garantías que deberá entregar el Concesionario por construcción y explotación de las obras, conforme a lo establecido en los artículos 1.8.3.1 y 1.8.3.2 de las Bases de Licitación, se indican a continuación:

GARANTÍA DE CONSTRUCCIÓN:

    A más tardar quince (15) días antes del inicio de las obras, la Sociedad Concesionaria deberá entregar la Garantía de Construcción, la cual deberá estar vigente durante toda la construcción de las obras y podrá estar constituida por cuatro (4) boletas de garantía bancaria, todas de igual monto, o bien, por una póliza de seguro de garantía de ejecución inmediata para concesiones de obras públicas según lo dispuesto en el artículo 1.8.3.3 de las Bases de Licitación.
    La Garantía de Construcción deberá ser emitida en la ciudad de Santiago de Chile por un Banco o una Compañía de Seguros de la plaza, según corresponda, a nombre del Director General de Obras Públicas y su glosa o materia asegurada deberá ser la siguiente: "Para garantizar el cumplimiento de las obligaciones durante la Etapa de Construcción de la obra pública fiscal denominada «Aeródromo La Florida de La Serena, IV Región de Coquimbo»".
    Dicha garantía deberá ser pagadera a la vista, por un monto total de UF 9.000 (nueve mil unidades de fomento).
    En caso de constituir la Garantía de Construcción mediante boletas de garantía bancaria, el plazo de vigencia para cada una de ellas será, al menos, de dieciséis (16) meses contados desde la fecha de inicio de la construcción de las obras. En su defecto, si la constitución de la Garantía de Construcción es a través de una póliza de seguro de garantía de ejecución inmediata para concesiones de obras públicas según lo dispuesto en el artículo 1.8.3.3 de las Bases de Licitación, el plazo de vigencia deberá ser el mismo señalado anteriormente para las boletas de garantía bancaria. En todo caso, la Garantía de Construcción deberá estar vigente hasta la Puesta en Servicio Provisoria de la Totalidad de las Obras o Fase 2 señalada en el artículo 1.9.7 letra b) de las Bases de Licitación, más tres (3) meses, sin perjuicio que el Concesionario hubiere entregado la Garantía de Explotación de la totalidad de las obras de la concesión señalada en la letra b) del artículo 1.8.3.2 de las Bases de Licitación.
    Otorgada la autorización de Puesta en Servicio Provisoria de la Totalidad de las Obras o Fase 2, y una vez que hayan sido entregados los documentos exigidos por el Contrato de Concesión para finalizar la Etapa de Construcción, según lo dispuesto en el Reglamento de la Ley de Concesiones y en el artículo 1.10.1 letra b.3) de las Bases de Licitación, el Ministerio de Obras Públicas devolverá la Garantía de Construcción, siempre que se haya recibido la totalidad de la Garantía de Explotación de la Fase 2 a entera conformidad del Ministerio de Obras Públicas, de acuerdo al procedimiento establecido en el artículo 1.8.3.2 letra b) de las Bases de Licitación.

GARANTÍA DE EXPLOTACIÓN:

    a) Garantía de Explotación de las Instalaciones Existentes o Fase 1.
    A más tardar treinta (30) días antes de la Puesta en Servicio Provisoria de las Instalaciones Existentes o Fase 1, señalada en el artículo 1.9.7 letra a) de las Bases de Licitación, el Concesionario deberá entregar para la aprobación del Ministerio de Obras Públicas la Garantía de Explotación de dicha Fase.
    Esta garantía podrá estar constituida por cuatro (4) boletas de garantía bancarias, todas de igual monto, o bien, por una póliza de seguro de garantía de ejecución inmediata para concesiones de obras públicas según lo dispuesto en el artículo 1.8.3.3 de las Bases de Licitación.
    La Garantía de Explotación de las Instalaciones Existentes o Fase 1, deberá ser emitida en la ciudad de Santiago de Chile por un Banco o por una Compañía de Seguros de la plaza, según corresponda, a nombre del Director General de Obras Públicas y su glosa o materia asegurada deberá ser la siguiente: "Para garantizar el cumplimiento de las obligaciones durante la Etapa de Explotación de las Instalaciones Existentes o Fase 1 de la obra pública fiscal denominada «Aeródromo La Florida de La Serena, IV Región de Coquimbo»".
    Dicha garantía deberá ser pagadera a la vista, por un monto total de UF 4.500 (cuatro mil quinientas unidades de fomento).
    En caso de constituir la Garantía de Explotación de las Instalaciones Existentes o Fase 1 mediante boletas de garantía bancaria, el plazo de vigencia para cada una de ellas será de veinticuatro (24) meses como mínimo. En su defecto, si la constitución de la Garantía de Explotación es a través de una póliza de seguro de garantía de ejecución inmediata para concesiones de obras públicas según lo dispuesto en el artículo 1.8.3.3 de las Bases de Licitación, el plazo de vigencia deberá ser el mismo señalado anteriormente para las boletas de garantía bancarias. En todo caso, dicha garantía deberá estar siempre vigente hasta la Autorización de Puesta en Servicio Provisoria de la Totalidad de las Obras o Fase 2, de acuerdo a lo señalado en el artículo 1.10.1 letra B) de las Bases de Licitación.
    La Garantía de Explotación de las Instalaciones Existentes o Fase 1 deberá encontrarse aprobada por el Ministerio de Obras Públicas, previamente a la Puesta en Servicio Provisoria de las Instalaciones Existentes o Fase 1, para lo cual el Concesionario estará obligado a efectuar las correcciones que fueren requeridas por el Inspector Fiscal en forma previa a la fecha señalada en el artículo 1.9.7 letra a) de las Bases de Licitación.
    La Garantía de Explotación de la Fase 1 será devuelta en el plazo de treinta (30) días, contados desde la fecha en que se autorice la Puesta en Servicio Provisoria de la Totalidad de las Obras o Fase 2.

    b) Garantía de Explotación de la Totalidad de las Obras o Fase 2.
    Conjuntamente con la solicitud al Director General de Obras Públicas de Autorización de Puesta en Servicio Provisoria de la Totalidad de las Obras, señalada en el artículo 1.10.1 letra B) de las Bases de Licitación, el Concesionario entregará al Ministerio de Obras Públicas la Garantía de Explotación de la Totalidad de las Obras o Fase 2 de la concesión.
    Dicha garantía podrá estar constituida por cuatro (4) boletas de garantía bancarias, todas de igual monto, o bien, por una póliza de seguro de garantía de ejecución inmediata para concesiones de obras públicas según lo dispuesto en el artículo 1.8.3.3 de las Bases de Licitación.
    La Garantía de Explotación de la Totalidad de las Obras o Fase 2, deberá ser emitida en la ciudad de Santiago de Chile por un Banco o una Compañía de Seguros de la plaza, según corresponda, a nombre del Director General de Obras Públicas, y su glosa o materia asegurada deberá ser la siguiente: "Para garantizar el cumplimiento de las obligaciones durante la Etapa de Explotación de la Totalidad de las Obras o Fase 2 de la obra pública fiscal denominada "Aeródromo La Florida de La Serena, IV Región de Coquimbo"".
    Dicha garantía deberá ser pagadera a la vista, por un monto total de UF 16.300 (dieciséis mil trescientas unidades de fomento).
    En caso de constituir la Garantía de Explotación de la Totalidad de las Obras o Fase 2 mediante boletas de garantía bancarias, éstas tendrán una vigencia igual al período de explotación más doce (12) meses como mínimo; no obstante, el Concesionario podrá optar por entregar boletas de garantía cuya vigencia sea menor, con un plazo no inferior a tres (3) años, y renovarlas noventa (90) días antes de su término de vigencia, siempre que ello sea aceptado por el Director General de Obras Públicas, y cada documento sea entregado antes del vencimiento del anterior. Para ello, el Concesionario deberá solicitar por escrito al Director General de Obras Públicas la autorización requerida. Dentro de los treinta (30) días posteriores a la fecha de recepción en la Oficina de Partes de la Dirección General de Obras Públicas de dicha solicitud, el Director General de Obras Públicas comunicará por escrito su decisión de rechazo o aceptación de la solicitud. En este último caso el plazo de las últimas boletas de garantía será el que reste del período de explotación más doce (12) meses.
    En su defecto, si la constitución de la Garantía de Explotación es a través de una póliza de seguro de garantía de ejecución inmediata para concesiones de obras públicas según lo dispuesto en el artículo 1.8.3.3 de las Bases de Licitación, el plazo de vigencia deberá ser el mismo señalado anteriormente para las boletas de garantía bancarias.
    La Sociedad Concesionaria deberá entregar una Garantía de Explotación Adicional que tendrá como finalidad asegurar el cumplimiento de las condiciones en que el Estado recibirá la concesión, las que se indican en el artículo 1.13.2 de las Bases de Licitación. Dicha garantía será entregada cuando hayan transcurrido veinticuatro (24) meses desde que se cumpla la relación (1) señalada en 1.7.6 o cuando falten doce (12) meses para la extinción del Contrato según el Plazo Máximo de la Concesión indicado en 1.7.6.2, ambos artículos de las Bases de Licitación, lo que ocurra primero. Dicha garantía podrá estar constituida por cuatro (4) o más boletas de garantía bancarias, del mismo monto, o bien, por una póliza de seguro de garantía de ejecución inmediata para concesiones de obras públicas según lo dispuesto en el artículo 1.8.3.3 de las Bases de Licitación. Deberá ser emitida en la ciudad de Santiago de Chile por un Banco o una Compañía de Seguros de la plaza, según corresponda, a nombre del Director General de Obras Públicas, pagadera a la vista, por un monto total de UF 16.300 (dieciséis mil trescientas unidades de fomento). El plazo de vigencia de esta garantía adicional será de tres (3) años.
    Cualquiera sea la Garantía de Explotación, ésta deberá ser pagadera a la vista.
    La Garantía de Explotación será devuelta en el plazo de treinta (30) días contado desde que el Inspector Fiscal certifique que el Concesionario ha cumplido todas las obligaciones contraídas con el Ministerio de Obras Públicas. La Garantía de Explotación Adicional será devuelta por el Ministerio de Obras Públicas dentro del plazo de treinta (30) días siguientes al término de vigencia de la misma.

    16.- Conforme lo señalado en el artículo 1.14.6 de las Bases de Licitación, la Sociedad Concesionaria y el Estado realizarán los pagos que correspondan en virtud del Contrato de Concesión, en los plazos señalados en las Bases de Licitación. En caso que se produzcan retrasos, dichos pagos devengarán un interés real diario equivalente, en base a trescientos sesenta y cinco (365) días, a la tasa de interés corriente para operaciones reajustables en moneda nacional a menos de un (1) año, vigente a la fecha del pago efectivo, lo que debe entenderse sin perjuicio de la aplicación de las multas que correspondan. No obstante lo anterior, el retraso injustificado de los pagos que la Sociedad Concesionaria tenga que realizar al Estado dará derecho a éste al cobro de la correspondiente garantía, conforme lo señalado en el artículo 1.8.3 letra j) de las Bases de Licitación.

    17.- Las multas que procedan se aplicarán conforme a lo estipulado en las Bases de Licitación y sus Circulares Aclaratorias; y a lo dispuesto en el DS MOP N° 900, de 1996, que fija el texto refundido, coordinado y sistematizado del DFL MOP N° 164, de 1991, Ley de Concesiones de Obras Públicas, y sus modificaciones, y en el DS MOP N° 956, de 1997, Reglamento de la Ley de Concesiones, y sus modificaciones.

    18.- La Dirección General de Obras Públicas será el servicio del Ministerio de Obras Públicas que fiscalizará el Contrato de Concesión en sus diversos aspectos.

    Anótese, tómese razón y publíquese.- SEBASTIÁN PIÑERA ECHENIQUE, Presidente de la República.- Laurence Golborne Riveros, Ministro de Obras Públicas.- Felipe Larraín Bascuñán, Ministro de Hacienda.
    Lo que transcribo a Ud. para su conocimiento.- Saluda atte. a Ud., Lucas Palacios Covarrubias, Subsecretario de Obras Públicas.