I. Reemplázase la cartografía de referencia y datum contenidos en el DS (SS.FF.AA.) Nº 201, de 29 de julio de 2010, que modificó el DS (M) Nº 359 de 1994 y DS (M) Nº 350 de 1996, que fijaron las Áreas Apropiadas para el Ejercicio de la Acuicultura en la XI Región de Aysén del General Carlos Ibáñez del Campo y sus posteriores modificaciones contenidas en los DS (M) Nº 100 de 1995, DS (M) Nº 27 de 2004, DS (M) Nº 252 de 2009, D.E. (SS.FF.AA.) Nº 1.393 de 2011 y D.Ex. (SS.FF.AA.) Nº 2.348 de 2011, todos del Ministerio de Defensa Nacional, y traspásense dichas áreas al nuevo plano geográfico de referencia XI-04-SSP y XI-05-SSP, escala 1:50.000, referido al datum WGS-84, editado por la Subsecretaría de Pesca, revisado y aprobado por el Servicio Hidrográfico y Oceanográfico de la Armada de Chile, que forman parte integrante del presente decreto, de la siguiente forma:
A. EN EL "ÁREA DE ISLA MIDHURST A ISLA DRING"
a.1. Traspásense los sectores "Surweste de Isla
Melchor", "Norweste Isla Victoria", "Entre Isla
Melchor e Isla Victoria (Canal Carrera del
Chivato)", "Noreste Isla Dring" y "Saco Estero
Bután", referidos en la Carta SHOA Nº 8200,
escala 1:250.000, 2ª edición 1984 c/c 1989,
datum local al Plano XI-04-SSP, en datum WGS-
84.
a.2. Reemplácese el sector "Surweste de Isla
Melchor", por lo siguiente:

a.3. Reemplácese el sector "Norweste Isla Victoria",
por lo siguiente:

a.4. Reemplácese el sector "Entre Isla Melchor e
Isla Victoria (Canal Carrera del Chivato)", por
lo siguiente:

a.5. Reemplácese el sector "Noreste Isla Dring", por
lo siguiente:

a.6. Reemplácese el sector "Saco Estero Bután", por
lo siguiente:

B. EN EL "ÁREA RADA VALLENAR"
b.1. Traspásense los sectores "Isla Tres Dedos",
"Isla Isquiliac" e "Isla Lemu", referidos en la
Carta SHOA Nº 8646, escala 1:40.000, 1ª edición
2001, datum local al Plano XI-04-SSP, en datum
WGS-84.
b.2. Reemplácese el sector "Isla Tres Dedos", por lo
siguiente:

b.3. Reemplácese el sector "Isla Isquiliac", por lo
siguiente:

b.4. Reemplácese el sector "Isla Lemu", por lo
siguiente:

C. EN EL "ÁREA PUERTO YATES", "ÁREA CANALES PULLUCHE-CHACABUCO Y ADYACENTES" Y "ÁREA BAHÍAS DARWIN Y ANNA PINK"
c.1. Traspásense los sectores "Isla Isquiliac" e
"Islas Garrido y Rivero", referidos en la Carta
SHOA Nº 8632, escala 1:20.000, 1ª edición 1984,
datum SAD-69 al Plano XI-05-SSP, en datum WGS-
84.
c.2. Traspásense los sectores "Este Isla Garrido",
"Este Canal Williams", "Surweste Isla Garrido"
e "Isla Clemente", referidos en la Carta SHOA
Nº 8640, escala 1:50.000, 1ª edición 1985,
datum SAD-69 al Plano XI-05-SSP, en datum WGS-
84.
c.3. Traspásense los sectores "Surweste Isla
Isquiliac", "Weste Isla Garrido", "Este Isla
Garrido" y "Norte de Isla Clemente", referidos
en la Carta SHOA Nº 8700, escala 1:150.000, 1ª
edición 1986, datum local al Plano XI-05-SSP,
en datum WGS-84.
c.4. Reemplácese el sector "Isla Isquiliac" (carta
SHOA 8632) y "Surweste Isla Isquiliac" (carta
SHOA 8700), por lo siguiente:

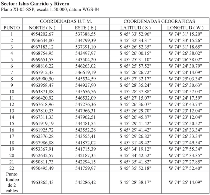
c.5. Reemplácese el sector "Islas Garrido y Rivero"
(carta SHOA 8632), "Weste Isla Garrido" (carta
SHOA 8700) y "Este Isla Garrido" (carta SHOA
8640) y "Este Isla Garrido" (SHOA 8700), por lo
siguiente:

c.6. Reemplácese el sector "Surweste Isla Garrido"
(carta SHOA 8640), por lo siguiente:

c.7. Reemplácese el sector "Este Canal Williams"
(carta SHOA 8640), por lo siguiente:

c.8. Reemplácese el sector "Isla Clemente" (carta
SHOA 8640), por lo siguiente:

c.9. Reemplácese el sector "Norte Isla Clemente"
(carta SHOA 8700), por lo siguiente:

II. La cartografía de referencia utilizada en la fijación de las Áreas Apropiadas para el Ejercicio de la Acuicultura en la XI Región de Aysén del General Carlos Ibáñez del Campo, establecida en el DS (SS.FF.AA.) Nº 201 de 2010, del Ministerio de Defensa Nacional, permanece vigente en todas aquellas áreas y sectores que no se traspasaron a los Planos XI-04-SSP y XI-05-SSP, de la Subsecretaría de Pesca.