APRUEBA REGLAMENTO PARA LA ELABORACIÓN DE LOS PLANES DE GESTIÓN ANUAL DE LAS EMPRESAS PORTUARIAS ESTATALES CREADAS POR LA LEY N° 19.542 Y DEROGA DECRETO N° 104, DE 2001, DE LOS MINISTERIOS DE TRANSPORTES Y TELECOMUNICACIONES Y DE HACIENDA
Núm. 96.- Santiago, 11 de abril de 2011.- Visto: Lo dispuesto en el artículo 32 N° 6 de la Constitución Política de la República; la Ley N° 19.542, que moderniza el sector portuario estatal; el decreto supremo N° 104, de 2001, de los Ministerios de Transportes y Telecomunicaciones y de Hacienda, que reglamenta la elaboración de los planes de gestión anual de las Empresas Portuarias Estatales; el decreto supremo N° 19, de 2001, modificado por el decreto supremo N° 60, de 2007, del Ministerio Secretaría General de la Presidencia, que delega en los Ministros de Estado la facultad de firmar bajo la fórmula "Por orden del Presidente de la República"; la resolución N° 1.600, de 2008, de la Contraloría General de la República, que fija normas sobre exención del trámite de toma de razón; el Ord. N° 328, de 2009, del Director Ejecutivo (S) del Comité Sistema de Empresas (SEP); el Ord. N° 433, de 2010, de la Directora de Presupuestos del Ministerio de Hacienda, y la demás normativa aplicable.
Considerando:
1.- Que el artículo 50 de la Ley N° 19.542, en adelante e indistintamente la ley, dispuso que el Presidente de la República dictará el Reglamento que establecerá las normas y procedimientos que regulen la elaboración, modificación, presentación y aprobación del "Plan de Gestión Anual" de las empresas portuarias estatales, el que se aprobará por decreto conjunto de los Ministerios de Transportes y Telecomunicaciones y de Hacienda;
2.- Que, de conformidad con el artículo 53 de la misma ley, el "Plan de Gestión Anual" es el instrumento en que se establecen los compromisos de gestión que el directorio de cada empresa portuaria estatal contrae para un período de doce meses, tales como niveles de ingresos y egresos, cantidad de naves, volúmenes y tipo de carga por movilizar, así como sus indicadores operacionales;
3.- Que existe la convicción, en la industria portuaria pública, en cuanto a que los indicadores actualmente establecidos para la confección de los respectivos Planes de Gestión Anual deben ser actualizados y flexibilizados, con el fin de hacerlos más apropiados para medir el desempeño y gestión de los directorios de las citadas empresas portuarias, y adaptarlos a las concesiones portuarias en su caso, por cuyo motivo se ha propuesto modificar, incorporar y/o suprimir algunos de los actuales indicadores; y
4.- Que, en atención a lo expresado en los anteriores Considerandos, se estima adecuado y oportuno reemplazar el actual Reglamento para la Elaboración de los Planes de Gestión Anual de las Empresas Portuarias Estatales, por el que a continuación se establece.
Decreto:
Apruébase el presente Reglamento para la elaboración de los Planes de Gestión Anual de las empresas portuarias estatales creadas por la ley N° 19.542:
TÍTULO I
Definiciones
Artículo 1°: El Plan de Gestión Anual, en adelante e indistintamente PGA, tiene como finalidad promover la calidad y eficiencia en la gestión estratégica, operacional y económica de las empresas portuarias estatales, en adelante e indistintamente las empresas, así como mejorar continuamente la calidad de la prestación de los servicios portuarios.
Artículo 2°: Para efectos del presente decreto, se entenderá por:
a) Formulación de Presupuesto Anual: propuesta formal de presupuesto que la administración de cada empresa portuaria envía, previo acuerdo del directorio respectivo, al Ministerio de Hacienda, con copia al Comité Sistema de Empresas (SEP).
b) Función Creciente: aquella en que una gestión óptima genera valores mayores para el respectivo indicador.
c) Función Decreciente: aquella en que una gestión óptima genera valores menores para el respectivo indicador.
d) Ingresos por "Up Front": en procesos de licitación de frentes de atraque de empresas portuarias estatales, corresponden a montos fijados por los respectivos directorios de éstas, en forma previa a dichos procesos licitatorios, que deben pagarse a la empresa licitante al momento de la firma del contrato de concesión. Tales montos se consignan en las correspondientes bases de licitación.
e) TEU: acrónimo correspondiente a la expresión "Twenty-feet Equivalent Unit", unidad de medida utilizada a nivel internacional, expresada en contenedores de 20 pies de largo, en base a la equivalencia entre éstos y aquellos de 40 pies de largo, de acuerdo a la proporción que representan en el total de contenedores transferidos.
TÍTULO II
Del Plan de Gestión Anual y sus Indicadores
Artículo 3°: Las metas y compromisos que contemple la propuesta de Plan de Gestión Anual elaborado por cada empresa deberán estar en concordancia con su Formulación de Presupuesto Anual referido en el artículo 11° de la Ley N° 18.196, el Plan Maestro, el Plan Estratégico y el Calendario Referencial de Inversiones respectivo, y el Contrato de Concesión portuaria cuando corresponda, así como con los planes estratégicos para el sistema portuario estatal que establezca el Ministerio de Transportes y Telecomunicaciones de conformidad al artículo 50 de la Ley N° 19.542.
Artículo 4°: Los indicadores de gestión y su ponderación estarán vinculados a la actividad de las empresas portuarias estatales para cada ejercicio anual, y serán los que se definen a continuación, bajo el título "Indicadores":
Variables a considerar:
1) APPE: Activos no corrientes, propiedad, plantas y equipos, neto.
2) AIE: Amortización de Intangibles del Ejercicio.
3) DEA: Depreciación y amortización del Ejercicio, que estén incluidas en el resultado operacional.
4) GBP: Gasto en Bienes y Servicios Presupuestado, correspondiente al subtítulo 23 de la Formulación de Presupuesto Anual.
5) GBR: Gasto en Bienes y Servicios Real, correspondiente al subtítulo 23 del presupuesto aprobado por el Ministerio de Hacienda.
6) GPP: Gasto en Personal Presupuestado, correspondiente al subtítulo 21 de la Formulación de Presupuesto Anual.
7) GPR: Gasto en Personal Real, correspondiente al subtítulo 21 del presupuesto aprobado por el Ministerio de Hacienda.
8) ID: Ingresos por Desempate.
9) IMC: Ingresos por Muellaje a la Carga.
10) IMN: Ingresos por Muellaje a la Nave.
11) IOR: Ingreso Operacional Real de Caja.
12) IP: Ingreso Presupuestado de Caja.
13) IUF: Ingresos por "Up Front".
14) MEH: Metros Eslora Hora.
15) GO: Ganancia procedente de operaciones continuadas.
16) TNA: Total de Naves Atendidas.
17) CF: Costos Financieros.
18) IG: Impuesto a las Ganancias.
19) GT: Gastos Totales del Estados de Resultados.
20) IT: Ingresos totales por actividades ordinarias.
Indicadores:
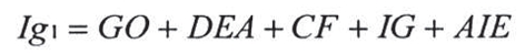
EBITDA (Ig1): Resultará de aplicar la fórmula que agrega a la ganancia procedente de operaciones continuadas tanto la depreciación, la amortización de intangibles, los costos financieros y el impuesto a la ganancia del respectivo ejercicio, a saber:
Para la medición de este indicador se usará la información contenida en la Ficha Estadística Codificada Uniforme (FECU) al 31 de diciembre de cada año, enviada a la Superintendencia de Valores y Seguros.
EBITDA depurado (Ig2): Resultará de aplicar la fórmula que agrega a la ganancia procedente de operaciones continuadas tanto la depreciación, la amortización de intangibles, los costos financieros y el impuesto a la ganancia del respectivo ejercicio, restándole los ingresos por concepto de "Up Front" e ingresos por desempate si los hubiere, esto es:

Para la medición de este indicador se usará la información contenida en la FECU al 31 de diciembre de cada año, enviada a la Superintendencia de Valores y Seguros.
Renta de Activos (Ig3): Resultará de dividir los ingresos totales por actividades normales, menos el valor absoluto de los gastos totales, por el monto total de los activos fijos netos, a saber:

Para la medición de este indicador se usará la información contenida en la FECU al 31 de diciembre de cada año, enviada a la Superintendencia de Valores y Seguros.
Ingresos de la Operación (Ig4): Medirá la desviación de ingresos operacionales de caja versus lo presupuestado en la Formulación de Presupuesto Anual de caja presentado por la empresa, y se calculará por medio de la desviación porcentual del comportamiento real versus el presupuestado de los ingresos operacionales. Para estos efectos la desviación porcentual resultará de restar 1 al cuociente entre el comportamiento real y el presupuestado, esto es:

El SEP establecerá cada año, y para cada una de las empresas, una tabla con los valores del indicador respecto de los cuales se calculará el grado de cumplimiento del mismo.
Gastos de la Operación (Ig5): Medirá la desviación de egresos operacionales de caja versus lo presupuestado en la Formulación de Presupuesto Anual de caja presentado por la empresa, y se calculará sumando los valores absolutos de las desviaciones porcentuales del comportamiento real versus el presupuestado de gastos en bienes y servicios y de los gastos en personal. Para estos efectos la desviación porcentual resultará de restar 1 al cuociente entre el comportamiento real y el presupuestado, esto es:

El SEP establecerá cada año, y para cada una de las empresas, una tabla con los valores del indicador respecto de los cuales se calculará el grado de cumplimiento del mismo.
Eficiencia de RRHH (Ig6): Medirá porcentualmente la eficiencia del gasto en personal respecto de los ingresos generados por concepto de muellaje a la nave y muellaje a la carga. Se evaluará aplicando los siguientes factores:

Para la medición de este indicador se usará la información contenida en la FECU al 31 de diciembre de cada año, enviada a la Superintendencia de Valores y Seguros.
Gestión de Inversión (Ig7): Medirá el grado de avance en la ejecución de los proyectos de inversión, comparando el avance real con el avance presupuestado en el cronograma de obras. Se calculará aplicando la fórmula que considera los Costos del Proyecto de Inversión, que corresponde a las obras facturadas, más la provisión de lo realizado en el mes de diciembre y no facturado (respaldo por hitos), menos el reverso de la provisión del mes anterior. El avance que se determine se comparará con el avance presupuestado a la fecha y se calculará con la siguiente fórmula:

Tasa de Ocupación de Frentes de Atraque (Ig8): Medirá el grado de utilización que se da a los frentes de atraque, sean éstos concesionados o multioperados, y se calculará con la siguiente fórmula:

Transferencia del Área de Depósito (Ig9): Medirá la tasa de ocupación de los terrenos de respaldo de los frentes de atraque de los puertos, sean éstos concesionados o multioperados, y se calculará con la siguiente fórmula:

Tiempo de Espera (Ig10): Medirá la espera de las naves que llegan a puerto, y se calculará con la siguiente fórmula:

Control de Concesión y de Calidad de Servicio (Ig11): Medirá el grado de cumplimiento del contrato de concesión, a través de uno o más de los siguientes indicadores:
a) Pagos, Informes e Inversiones (PII), para lo cual se identificarán y propondrán los ítem de pagos, informes e inversiones del concesionario para determinar su oportunidad y grado de cumplimiento.
b) Calidad del servicio (CS), para lo cual se identificarán y propondrán los ítem de reclamos de usuarios (tarifas, esperas, siniestros), así como también los ítem de certificación de calidad y/o seguridad portuaria.
c) Desarrollo portuario (DP), para lo cual se identificarán y propondrán los ítem de desarrollo portuario que se implementen con o por el concesionario, en sistemas logísticos inteligentes, comunidades portuarias u otros.
d) Medición de la aprobación del programa anual de control de concesión (PACC), que incluye todos los aspectos que por contrato de concesión deba verificar la empresa, así como el cumplimiento de dicho programa. Se medirá analizando los registros y documentos que dan cuenta de las acciones de control realizadas, definiendo el porcentaje de acciones realizadas dentro de los plazos, dicho porcentaje será el cumplimiento del indicador.
Indicadores de Gestión Estratégica (Ig12): Este(os) indicador(es) medirá(n) el cumplimiento de la(s) meta(s) estratégica(s) de la empresa portuaria respectiva.
El o los Indicadores de Gestión Estratégica podrán considerar metas relativas al cumplimiento del Calendario Referencial de Inversiones y Desarrollo del Plan Maestro del puerto, licitaciones de nuevas concesiones, elaboración de proyectos estratégicos para el desarrollo del puerto, ejecución de proyectos de inversión relevantes, control del cumplimiento del o los contratos de concesión y otros de similar naturaleza que revistan carácter estratégico para la empresa.
Artículo 5°: Los conceptos financieros que se utilicen en el cálculo de los indicadores señalados en el artículo precedente serán los que utiliza y norma la Superintendencia de Valores y Seguros.
TÍTULO III
De la presentación y aprobación del Plan de Gestión Anual
Artículo 6°: El Plan de Gestión Anual deberá proponerse por la empresa respectiva, una vez al año, y será acordado en sesión de directorio de la empresa. El Plan de Gestión Anual se presentará al Comité Sistema de Empresas (SEP), con copia al Ministerio de Transportes y Telecomunicaciones, en un plazo no superior a la fecha que el Ministerio de Hacienda disponga anualmente para el envío de la Formulación de Presupuesto Anual elaborada según lo dispone el artículo 11° de la ley N° 18.196. De no presentarse el Plan dentro de dicho plazo, el SEP podrá proponer, fundadamente, los indicadores y metas para la(s) empresa(s) que se encuentre(n) en dicha situación.
Artículo 7°: Las empresas con contratos de concesión portuaria en sistema de monooperación, podrán proponer, adicionalmente, otros indicadores de Control de Contrato de Concesión y Calidad de Servicio (Ig11) e indicadores de Gestión Estratégica (Ig12).
Artículo 8°: Para la presentación del Plan de Gestión Anual, cada empresa portuaria deberá establecer un valor y la ponderación asignada para cada uno de los indicadores que proponga, seleccionados de entre los que indica el artículo 4° del presente decreto. La determinación de dichos valores deberá ser debidamente fundada en informes técnicos y estadísticos.
Las empresas podrán proponer asignar a cada indicador iguales o distintas ponderaciones. No obstante, el Ministerio de Transportes y Telecomunicaciones, con informe del SEP, podrá modificar dichos indicadores, así como sus valores y ponderaciones.
Artículo 9°: El SEP revisará las propuestas conjuntamente con las empresas portuarias y propondrá al Ministerio de Transportes y Telecomunicaciones, a través de un informe del Director Ejecutivo, los indicadores, sus valores y sus ponderaciones para cada una de las empresas portuarias. Dicho informe deberá entregarse al referido Ministerio dentro de los 15 días hábiles siguientes a la fecha que el Ministerio de Hacienda disponga para el envío de la Formulación de Presupuesto Anual del año respectivo, a que alude el artículo 6° del presente Reglamento.
En caso de no cumplirse con el plazo establecido en el inciso anterior, el Ministerio de Transportes y Telecomunicaciones se basará en la propuesta enviada previamente por las empresas portuarias, según lo dispone el artículo 6° del presente Reglamento.
El Ministerio de Transportes y Telecomunicaciones aprobará mediante el acto administrativo que corresponda el Plan de Gestión Anual en una fecha anterior al 1 de enero del año siguiente al que corresponda hacer la presentación.
Artículo 10°: El Plan de Gestión Anual aprobado por el Ministerio de Transportes y Telecomunicaciones comprenderá un período de un año contado desde su entrada en vigencia, esto es, desde el 1 de enero al 31 de diciembre del año siguiente a aquel en que corresponde hacer su presentación.
TÍTULO IV
De las modificaciones al Plan de Gestión Anual
Artículo 11°: Podrán efectuarse modificaciones al Plan de Gestión Anual en los casos siguientes:
a) Por haberse modificado el Calendario Referencial de Inversiones, el Plan Maestro o la Planificación Estratégica de la respectiva empresa portuaria;
b) En el caso de producirse modificaciones sustantivas en las condiciones del mercado que sean de notorio y público conocimiento y que signifiquen cambios que afecten gravemente el cumplimiento de las metas establecidas originalmente;
c) Por haberse producido cambios sustanciales en los contratos de concesión portuaria en su caso;
d) Por otros motivos fundados que el Ministerio de Transportes y Telecomunicaciones, con informe del SEP, considere atendibles.
La solicitud de modificación deberá fundarse en un informe técnico, ser aprobada por el directorio de la correspondiente empresa portuaria y entregada por ésta al SEP, con copia al Ministerio de Transportes y Telecomunicaciones, a más tardar el 30 de abril de cada año, salvo que dicho Ministerio, por resolución fundada y previo informe del SEP o del organismo que lo suceda o reemplace, disponga un plazo distinto.
Las modificaciones al Plan de Gestión Anual que se adopten de conformidad al inciso anterior, se sujetarán, en lo pertinente, a las mismas normas que rigen tanto para su elaboración como para su presentación.
Artículo 12°: Las modificaciones al Plan de Gestión Anual producirán todos sus efectos legales una vez que se cumplan en lo pertinente las formalidades y procedimientos que se señalan en el artículo 6° y 11° de este Reglamento.
TÍTULO V
De la evaluación del grado de cumplimiento del Plan de Gestión Anual y del procedimiento para fijar los montos de los ingresos adicionales
Artículo 13°: Para el caso de los indicadores numéricos, cuando se trate de un indicador creciente, la meta será de un valor mayor al establecido, y cuando se trate de un indicador decreciente, será de un valor menor al establecido, y las mediciones de sus respectivos cumplimientos, se harán conforme a lo que se indica a continuación.
Cuando para el cumplimiento de la meta se deban obtener valores crecientes, el grado de cumplimiento se evaluará de la siguiente manera: si el resultado obtenido en el indicador tiene un cumplimiento inferior a un 80%, se considerará que la meta no fue alcanzada. Si el resultado alcanzado es superior o igual al 100%, se entenderá que la meta alcanzada es de un 100%. Por otra parte, los valores reales intermedios alcanzados entre el 80% y la meta, se reconocerá un valor proporcional entre un 0% y un 100%.
Cuando para el cumplimiento de la meta se deban obtener valores decrecientes, el grado de cumplimiento se evaluará de la siguiente manera: si el resultado obtenido en el indicador tiene un cumplimiento superior a un 120%, se considerará que la meta no fue alcanzada. Si el resultado alcanzado es inferior o igual al 100%, se entenderá que la meta alcanzada es de un 100%. Por otra parte, los valores reales intermedios alcanzados entre el 120% y la meta, se reconocerá un valor proporcional entre un 0% y un 100%.
Luego de aplicar los mecanismos de medición señalados precedentemente, se obtendrá el porcentaje de cumplimiento del PGA, mediante la suma simple de los porcentajes de cumplimiento de cada grupo de indicadores y conforme a la ponderación que se le haya otorgado.
Con una fecha anterior al 1 de abril del año siguiente al de la aplicación del Plan de Gestión Anual, una empresa auditora externa a la empresa portuaria, certificará mediante un informe, el grado de cumplimiento de cada uno de los indicadores establecidos en el PGA, el que deberá ser acompañado por la respectiva empresa al Ministerio de Transportes y Telecomunicaciones, con copia al SEP.
Artículo 14°: Una vez finalizado el procedimiento definido en el artículo anterior para cada uno de los indicadores, el Ministerio de Transportes y Telecomunicaciones, con informe del SEP, dictará un decreto, el cual deberá también llevar la firma del Ministro de Hacienda, en que determinará el grado de cumplimiento del Plan de Gestión Anual a que se refiere el artículo 13° y procederá a determinar los montos de los ingresos adicionales que podrá percibir cada uno de los directores, de conformidad a lo establecido en el artículo 52 de la ley N° 19.542, de acuerdo al siguiente mecanismo:
Dieta Percibida por concepto de
asistencia a sesiones en el
Monto a Distribuir = año de vigencia del PGA *
Porcentaje de Cumplimiento del
Plan de Gestión Anual.
Artículo 15°: Derógase el decreto supremo N° 104, de 2001, y déjase sin efecto el decreto supremo N° 126, de 2010, este último sin tramitar, ambos de los Ministerios de Transportes y Telecomunicaciones y de Hacienda, a contar de la publicación del presente decreto en el Diario Oficial.
Artículo transitorio
Artículo único: La evaluación del grado de cumplimiento de los Planes de Gestión Anual correspondientes al año 2012, así como los procesos de presentación, modificación y evaluación del grado de cumplimiento de los Planes de Gestión Anual correspondientes al año 2013 se sujetarán a las disposiciones del decreto supremo N° 104, de 2001, de los Ministerios de Transportes y Telecomunicaciones y de Hacienda.
Anótese, tómese razón, comuníquese y publíquese.- SEBASTIÁN PIÑERA ECHENIQUE, Presidente de la República.- Pedro Pablo Errázuriz Domínguez, Ministro de Transportes y Telecomunicaciones.- Felipe Larraín Bascuñán, Ministro de Hacienda.
Lo que transcribo para su conocimiento.- Saluda a Ud., Juan Carrasco Delgado, Jefe División Administración y Finanzas.