ADJUDICA CONTRATO DE CONCESIÓN PARA LA EJECUCIÓN, CONSERVACIÓN Y EXPLOTACIÓN DE LA OBRA PÚBLICA FISCAL DENOMINADA "CONCESIÓN PARA EL MEJORAMIENTO Y CONSERVACIÓN DE LA RUTA 43 DE LA REGIÓN DE COQUIMBO"

    Núm. 151.- Santiago, 6 de marzo de 2013.- Vistos:
    - El artículo 87 del DFL MOP N° 850, de 1997, que fija el texto refundido, coordinado y sistematizado de la Ley N° 15.840, de 1964, Orgánica del Ministerio de Obras Públicas y del DFL N° 206, de 1960, Ley de Caminos, y sus modificaciones.
    - El DS MOP N° 900, de 1996, que fija el texto refundido, coordinado y sistematizado del DFL MOP N° 164, de 1991, Ley de Concesiones de Obras Públicas, y sus modificaciones.
    - El DS MOP N° 956, de 1997, Reglamento de la Ley de Concesiones de Obras Públicas, y sus modificaciones.
    - El oficio Gab. Pres. N° 1.841, de fecha 3 de noviembre de 2011, de su Excelencia el Presidente de la República, mediante el cual aprueba la ejecución de la obra pública fiscal denominada "Concesión para el Mejoramiento y Conservación de la Ruta 43 de la Región de Coquimbo", a través del sistema de concesiones.
    - El oficio Ord. N° 1.427, de fecha 27 de octubre de 2011, del señor Ministro de Hacienda, mediante el cual aprueba las Bases de Licitación y el Prospecto de Inversión de la obra pública fiscal denominada "Concesión para el Mejoramiento y Conservación de la Ruta 43 de la Región de Coquimbo", a ejecutar por el sistema de concesiones.
    - La publicación del llamado a Precalificación para el "Programa de Concesión de Mejoramiento, Rehabilitación y Conservación de Redes Viales Regionales", efectuada en el Diario Oficial con fecha 14 de junio de 2007.
    - La publicación del llamado a Precalificación para el "Programa de Concesión de Mejoramiento, Rehabilitación y Conservación de Redes Viales Regionales", efectuada en el diario El Mercurio con fecha 17 de junio de 2007.
    - La resolución DV (exenta) N° 5.332, de 26 de septiembre de 2012, que modifica resolución DV (exenta) N° 2.713, de fecha 1 de julio de 2008, actualizando el Registro Especial Internacional de Precalificación para el "Programa de Concesión de Mejoramiento, Rehabilitación y Conservación de Redes Viales Regionales", del cual forma parte el proyecto "Concesión para el Mejoramiento y Conservación de la Ruta 43 de la Región de Coquimbo".
    - La publicación del llamado a licitación pública internacional del proyecto denominado "Concesión para el Mejoramiento y Conservación de la Ruta 43 de la Región de Coquimbo", efectuada en el Diario Oficial con fecha 11 de noviembre de 2011.
    - La publicación del llamado a licitación pública internacional del proyecto denominado "Concesión para el Mejoramiento y Conservación de la Ruta 43 de la Región de Coquimbo", efectuada en el diario El Mercurio con fecha 11 de noviembre de 2011.
    - La resolución DGOP N° 39, de 7 de marzo de 2012, que revoca resolución que indica y aprueba las Bases de Licitación de la obra pública fiscal denominada: "Concesión para el Mejoramiento y Conservación de la Ruta 43 de la Región de Coquimbo", a ejecutar por el sistema de concesiones.
    - La resolución DGOP N° 94, de 17 de mayo de 2012, que aprueba Circular Aclaratoria N° 1 de las Bases de Licitación de la obra pública fiscal denominada "Concesión para el Mejoramiento y Conservación de la Ruta 43 de la Región de Coquimbo", a ejecutar por el sistema de concesiones.
    - La resolución DGOP N° 139, de 25 de julio de 2012, que aprueba Circular Aclaratoria N° 2 de las Bases de Licitación de la obra pública fiscal denominada "Concesión para el Mejoramiento y Conservación de la Ruta 43 de la Región de Coquimbo", a ejecutar por el sistema de concesiones.
    - La resolución DGOP N° 198, de 4 de octubre de 2012, que revoca resoluciones DGOP que indica y aprueba Circulares Aclaratorias N° 3, N° 5 y N° 6 de las Bases de Licitación de la obra pública fiscal denominada "Concesión para el Mejoramiento y Conservación de la Ruta 43 de la Región de Coquimbo", a ejecutar por el sistema de concesiones.
    - La resolución DGOP (exenta) N° 4.191, de 12 de septiembre de 2012, que aprueba Circular Aclaratoria N° 4 de las Bases de Licitación de la obra pública fiscal denominada "Concesión para el Mejoramiento y Conservación de la Ruta 43 de la Región de Coquimbo", a ejecutar por el sistema de concesiones.
    - La resolución DGOP N° 199, de 8 de octubre de 2012, que aprueba Circular Aclaratoria N° 7 de las Bases de Licitación de la obra pública fiscal denominada "Concesión para el Mejoramiento y Conservación de la Ruta 43 de la Región de Coquimbo", a ejecutar por el sistema de concesiones.
    - El Acta de Recepción de Ofertas y Apertura de las Ofertas Técnicas de la licitación de la obra pública fiscal denominada "Concesión para el Mejoramiento y Conservación de la Ruta 43 de la Región de Coquimbo", de fecha 19 de octubre de 2012.
    - El Acta de Evaluación de las Ofertas Técnicas de la licitación de la obra pública fiscal denominada "Concesión para el Mejoramiento y Conservación de la Ruta 43 de la Región de Coquimbo", de fecha 25 de octubre de 2012.
    - El Acta de Apertura de las Ofertas Económicas de la licitación de la obra pública fiscal denominada "Concesión para el Mejoramiento y Conservación de la Ruta 43 de la Región de Coquimbo", de fecha 26 de octubre de 2012.
    - El Acta de Evaluación de las Ofertas Económicas de la licitación de la obra pública fiscal denominada "Concesión para el Mejoramiento y Conservación de la Ruta 43 de la Región de Coquimbo", de fecha 31 de octubre de 2012.
    - El Acta de Adjudicación de la obra pública fiscal denominada "Concesión para el Mejoramiento y Conservación de la Ruta 43 de la Región de Coquimbo" a ejecutar por el sistema de concesiones, de fecha 23 de noviembre de 2012, suscrita por el Director General de Obras Públicas.
    - La resolución N° 1.600, de 2008, de la Contraloría General de la República, que fija normas sobre exención del trámite de toma de razón.

    Decreto:

    1.- Adjudícase el contrato de concesión para la ejecución, reparación, conservación y explotación de la obra pública fiscal denominada "Concesión para el Mejoramiento y Conservación de la Ruta 43 de la Región de Coquimbo", al grupo licitante "Sacyr Concesiones", conformado por las sociedades Sacyr Concesiones Chile S.A. y Sacyr Chile S.A. Dicha obra pública se ubica en la Región de Coquimbo y su trazado se emplaza sobre la Ruta 43, la cual constituye la principal y más directa ruta que une a las ciudades de Ovalle y Coquimbo.
    2.- Declárase que forman parte integrante del presente decreto supremo de Adjudicación de la concesión de la obra pública fiscal denominada "Concesión para el Mejoramiento y Conservación de la Ruta 43 de la Región de Coquimbo", las Bases de Licitación aprobadas por resolución DGOP N° 39, de fecha 7 de marzo de 2012, y las Circulares Aclaratorias N° 1 aprobada por resolución DGOP N° 94, de fecha 17 de mayo de 2012; N° 2 aprobada por resolución DGOP N° 139, de fecha 25 de julio de 2012; N° 3, N° 5 y N° 6, todas aprobadas por resolución DGOP N° 198, de fecha 4 de octubre de 2012; N° 4 aprobada por resolución DGOP (exenta) N° 4.191, de fecha 12 de septiembre de 2012, y N° 7 aprobada por resolución DGOP N° 199, de fecha 8 de octubre de 2012, y las Ofertas Técnica y Económica, presentadas por el grupo licitante adjudicatario denominado "Sacyr Concesiones", en la forma aprobada por el Ministerio de Obras Públicas.
    3.- En caso de discrepancia en la interpretación del contrato de concesión, primará lo dispuesto en las Bases de Licitación y sus Circulares Aclaratorias, por sobre lo establecido en la oferta presentada por el adjudicatario de la concesión, salvo el caso en que ésta contenga aspectos superiores a lo exigido en las Bases de Licitación y sus Circulares Aclaratorias, lo que será calificado por el Director General de Obras Públicas.
    4.- Forman parte del contrato de concesión las disposiciones pertinentes de los siguientes cuerpos legales:

a)  El DS MOP N° 900, de 1996, que fija el texto refundido, coordinado y sistematizado del DFL MOP N° 164, de 1991, Ley de Concesiones de Obras Públicas, y sus modificaciones.
b)  El DS MOP N° 956, de 1997, Reglamento de la Ley de Concesiones de Obras Públicas, y sus modificaciones.
c)  El DFL MOP N° 850, de 1997, que fija el texto refundido, coordinado y sistematizado de la Ley N° 15.840, de 1964, Orgánica del Ministerio de Obras Públicas, y del DFL N° 206, de 1960, Ley de Caminos, y sus modificaciones.

    En todo caso, ante cualquier discrepancia en la interpretación de los documentos que conforman las Bases de Licitación y la normativa vigente que sea aplicable al contrato de concesión, primará lo dispuesto en dicha normativa, según lo dispuesto en el artículo 1.1 de las Bases de Licitación.
    El concesionario deberá cumplir con todas las leyes, decretos y reglamentos de la República de Chile, vigentes a la fecha de la firma del contrato, que se relacionan con la materia y con todas aquellas normas que se dicten durante su vigencia, de acuerdo a lo establecido en el artículo 4.2 de las Bases de Licitación.
    5.- De acuerdo a lo señalado en el artículo 2.1.1 de las Bases de Licitación, los documentos que rigen la licitación son:

1.  El llamado a licitación.
2.  Las Bases de Licitación y sus anexos.
3.  Las Circulares Aclaratorias emitidas por el Director General de Obras Públicas.
4.  Las normas jurídicas a que se refiere el artículo 1.1 de las Bases de Licitación.
5.  La resolución exenta N° 87, de fecha 2 de agosto de 2010, de la Corema Región de Coquimbo, que contiene la Resolución de Calificación Ambiental del proyecto "Construcción Defensas Fluviales Estero Culebrón, Sector Puente La Vega, Puente La Laguna y Tramo Intermedio, Región de Coquimbo", con los alcances previstos en los artículos 5.9.2 y 5.9.4 de las Bases de Licitación.
6.  Manual de Planes de Manejo Ambiental para Obras Concesionadas, elaborado por el MOP, última versión.
7.  Manual de Manejo de Áreas Verdes para Proyectos Concesionados, elaborado por el MOP, última versión.

    El documento individualizado con el numeral 5 del párrafo precedente, regirá siempre que las obras a ejecutar en el sector del Puente La Vega, Puente La Laguna y el tramo intermedio conserven el trazado y las características con las que fueron sometidas al Sistema de Evaluación de Impacto Ambiental (SEIA), a juicio de la autoridad ambiental competente.
    De acuerdo a lo señalado en el artículo 2.1.3 de las Bases de Licitación, los estudios referenciales entregados a los licitantes y grupos licitantes son los siguientes:

1.  "Mejoramiento, Rehabilitación y Conservación de la Red Vial IV Región".
2.  "Anteproyecto: Construcción Av. Las Torres, Coquimbo, Región de Coquimbo".
3.  "Intersección de la Av. La Cantera con el By Pass Pan de Azúcar".
4.  Medición de IRI, ahuellamiento y macrotextura, realizado por el Laboratorio Nacional de Vialidad en el año 2010, de todos los caminos a concesionar.
5.  Planos de expropiación de los terrenos definidos en los estudios referenciales, elaborados por el MOP.

    Dichos estudios fueron aceptados totalmente por el grupo licitante adjudicatario en su oferta técnica.

    6.- El inicio del plazo de la concesión se contará a partir de la fecha de publicación en el Diario Oficial del presente decreto supremo de adjudicación, de acuerdo a lo establecido en el artículo 2.5.1 de las Bases de Licitación.
    7.- La concesión, de acuerdo a lo establecido en los artículos 2.5.2, 10.5.1, 11.1.1 y 11.1.2, todos de las Bases de Licitación, se extinguirá el mes "m" en que se cumpla la siguiente relación:

    .

Donde:

VPIm  :    Valor presente de los ingresos obtenidos por
            la sociedad concesionaria (en UF), a través de
            la recaudación de los peajes a usuarios,
            calculado en el mes "m" de concesión, contado
            desde la fecha de la puesta de servicio
            provisoria de la obra (el mes en que se
            autoriza la puesta en servicio provisoria de
            la obra es el mes 1) y actualizado al mes
            anterior de la puesta en servicio provisoria.
ITC    :    Ingresos totales de la concesión que el grupo
            licitante adjudicatario postuló, en su oferta
            económica, obtener de la concesión de acuerdo
            al artículo 2.2.8 de las Bases de Licitación,
            calculado en valor presente, expresado en
            unidades de fomento y sin decimales.
∆MS    :    Montos que el MOP deba imputar al ITC, de
            acuerdo a lo establecido en el artículo 6.4 y
            sus artículos subordinados de las Bases de
            Licitación, por concepto de sobrecostos por
            modificaciones de servicios y canales. Estos
            pagos serán convertidos a UF en la fecha de
            facturación.
∆BA    :    Montos que el MOP deba imputar al ITC, de
            acuerdo a lo establecido en el artículo 5.9.8
            de las Bases de Licitación, por concepto de
            sobrecostos por impactos acústicos. Estos
            pagos serán convertidos a UF en la fecha de
            facturación.
∆AP    :    Monto que el MOP decida imputar al VPm, en
            caso de producirse ahorros por modificaciones
            al anteproyecto, propuestas por la sociedad
            concesionaria o por el MOP, en virtud de lo
            establecido en los artículos 8.5.6.2 y 8.5.6.3
            de las Bases de Licitación.
∆MA    :    Monto que el MOP deba imputar al ITC de
            acuerdo a lo establecido en el artículo 5.9.1
            de las Bases de Licitación por concepto de
            sobrecostos ambientales. Estos pagos serán
            convertidos a UF en la fecha de facturación.

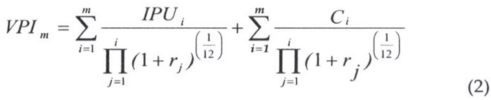
    El valor de VPIm se calculará mensualmente de acuerdo a la siguiente expresión:

    .

Donde:

    .

Donde:

VPIm  :    valor presente de los ingresos obtenidos por
            la sociedad concesionaria (en UF), a través de
            la recaudación de los peajes a usuarios,
            calculado en el mes "m" de concesión, contado
            desde la fecha de la puesta de servicio
            provisoria de la obra (el mes en que se
            autoriza la puesta en servicio provisoria de
            la obra es el mes 1) y actualizado al mes
            anterior de la puesta en servicio provisoria.
IPUi  :    ingresos mensuales por recaudación de peajes o
            tarifas cobradas a los usuarios en unidades de
            fomento (UF) en el mes "i" de concesión,
            contado desde el mes de la puesta de servicio
            provisoria de la obra, sobre la base de la
            información señalada en el numeral xii del
            artículo 5.12.9 de las Bases de Licitación.
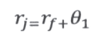
Rf    :    tasa fija, que para efectos del presente
            cálculo corresponde a 0,03 (3,0% real anual).
01    :    premio por riesgo, que para efectos del
            presente cálculo corresponde a 0,04 (4% real
            anual).
Ci    :    es el cargo mensual en el mes "i" de la etapa
            de explotación, expresada en unidades de
            fomento, de acuerdo a lo previsto en el
            artículo 9.6.4 de las Bases de Licitación.

    Con todo, el plazo máximo de la concesión no podrá ser superior a trescientos sesenta (360) meses contados desde la fecha de inicio de la concesión. Si transcurrido dicho plazo máximo no se hubiere cumplido la ecuación (1) señalada en el presente número, la concesión se extinguirá por cumplimiento de dicho plazo máximo.
    8.- De acuerdo lo señalado en el artículo 6.2.1 de las Bases de Licitación, el MOP entregará al concesionario la faja vial afecta a la concesión con toda la infraestructura preexistente que se encuentre en ella. Dicha infraestructura comprende los inmuebles o bienes raíces, así como los bienes inmuebles por adherencia y destinación que se encuentren en la faja fiscal que forman parte del área de concesión con anterioridad a la fecha de publicación del presente decreto supremo de adjudicación de la concesión en el Diario Oficial, que no haya sido construida por el concesionario, pero que debe ser conservada y mejorada por éste durante la vigencia del contrato de concesión. La sociedad concesionaria recibirá la infraestructura en el estado en que se encuentre en el momento de la entrega del terreno y será responsabilidad de la misma mantenerla, asegurando, durante la etapa de construcción, el buen estado de sus elementos o activos viales en condiciones de seguridad, operatividad y transitabilidad. Tanto en esta faja como en los terrenos expropiados, en conformidad a lo previsto en el artículo 6.2.3 de las Bases de Licitación, el concesionario deberá ejecutar las obras definidas en el proyecto de ingeniería definitiva (PID), y deberá llevar a cabo las acciones de rehabilitación que le permitan dar cumplimiento a los estándares de resultado establecidos en las Bases de Licitación.
    9.- El concesionario, de acuerdo a lo establecido en los artículos 8.5.1 y 8.5.4 de las Bases de Licitación, deberá desarrollar el proyecto de ingeniería definitiva tanto para las obras de mejoramiento obligatorias de cada tramo que se incluyen en el anexo 4 de las Bases de Licitación y que aparecen detalladas en el anteproyecto de la concesión, como para las que constituyen rehabilitaciones iniciales que defina el concesionario para dar cumplimiento a los estándares previstos en el anexo 5 de las Bases de Licitación. Para ello deberá ajustarse a las normas y especificaciones referidas en el artículo 5.6 de las Bases de Licitación. El nivel de ingeniería definitiva exigido se corresponde con el nivel de los llamados estudios definitivos en el volumen 2 del Manual de Carreteras. El concesionario es el único responsable de los anteproyectos y estudios contenidos en su oferta técnica, y de aquellos desarrollados a nivel de ingeniería definitiva.
    10.- De acuerdo a lo señalado en 8.1, la etapa de construcción se iniciará simultáneamente con la concesión, en la ocasión establecida en 2.5.1, ambos artículos de las Bases de Licitación, y tendrá un plazo máximo de cuarenta (40) meses contados desde esa fecha.
    De acuerdo a lo establecido en el artículo 8.3.1 de las Bases de Licitación, en un plazo no mayor a ciento cincuenta (150) días, contados a partir del inicio de la concesión, la sociedad concesionaria deberá someter a la aprobación del inspector fiscal un PEC (programa para la etapa de construcción) donde se detalle y programe la ejecución y control de todas las obras de mejoramiento, rehabilitación inicial y conservación durante la etapa de construcción; con la cronología -inicio u ocasión, duraciones y precedencias- de todas las tareas, actividades, hitos y entregas previstos para el desarrollo de la etapa de construcción.
    Conforme lo señalado en el artículo 8.2.1 de las Bases de Licitación, el concesionario determinará en el PEC las fechas de los hitos de avance físico de la obra, del 10%, 50% y 75%, materia del artículo 8.2.2 de las Bases de Licitación, y la fecha de la resolución que autoriza la PSP (puesta en servicio provisoria) de la obra, respetando el plazo máximo establecido para la etapa en el artículo 8.1 de las Bases de Licitación. Una vez fijadas las fechas correspondientes a dichos hitos, su cumplimiento será obligatorio, salvo en las circunstancias descritas en el artículo 8.3.4 y sus artículos subordinados, todos de las Bases de Licitación.
    11.- De acuerdo a lo establecido en el artículo 5.6.1 de las Bases de Licitación, los proyectos de ingeniería que desarrolle el concesionario se ajustarán, en lo que a procedimientos se refiere, a lo establecido en la versión del Volumen 2 del Manual de Carreteras que esté vigente a la fecha de la presentación del proyecto de ingeniería respectivo.
    En lo relativo al diseño vial, serán aplicables las instrucciones y criterios de diseño contenidas en la versión del Volumen 3 del Manual de Carreteras, que esté vigente a la fecha de entrega del PIDA, definido en el artículo 8.5.2 de las Bases de Licitación, del tramo o sector que es objeto de la entrega, con las excepciones a éste previstas en el anexo 4 de las Bases de Licitación.
    Las normas y requerimientos del Manual de Carreteras, relativos a la seguridad vial, contenidos en su Volumen 6, y a las especificaciones, muestreo, ensaye y control de las obras contenidas en su Volumen 8, serán exigibles, y también lo serán las especificaciones técnicas de construcción contenidas en su Volumen 5 y las de mantenimiento de su Volumen 7.
    De acuerdo a lo establecido en el artículo 5.6.2 de las Bases de Licitación, las recomendaciones, normas técnicas y especificaciones que el concesionario deberá tener presente, para la elaboración de los proyectos de ingeniería definitiva, en las formas y en los casos previstos en las Bases de Licitación, corresponden a los siguientes:

1.  Volúmenes 2 al 9 del Manual de Carreteras de la Dirección de Vialidad del MOP.
2.  Para el diseño de puentes y estructuras afines, regirán los estándares y normas indicadas en el Capítulo 3.1000 del MC-V3 y los instructivos de la Dirección de Vialidad dictados en materia de puentes y estructuras afines, en su versión vigente a la fecha de presentación del PIDA.
3.  Para el diseño de pavimentos regirán los criterios señalados en el Capítulo 3.600 del MC-V3 y los instructivos dictados por la Dirección de Vialidad en esta materia, en ambos casos, vigentes a la fecha de presentación del PIDA.
4.  Normas Oficiales del Instituto Nacional de Normalización (INN).
5.  Manual de Señalización de Tránsito del Ministerio de Transportes y Telecomunicaciones.
6.  Normas de la Superintendencia de Electricidad y Combustibles (SEC).
7.  Especificaciones técnicas generales y particulares aplicables a las empresas sanitarias.
8.  Los instrumentos de planificación territorial vigentes (planes reguladores comunales e intercomunales) correspondientes al territorio de emplazamiento del proyecto.
9.  Manual de Manejo de Áreas Verdes para Proyectos Concesionados, elaborado por el MOP.
10.  Manual de Requerimientos Mínimos para la Preparación de los Antecedentes de Expropiaciones, según Bases de Licitación, elaborado por el MOP, en su versión vigente a la fecha de elaboración de los proyectos de expropiación.
11.  Manual de Planes de Manejo Ambiental para Obras Concesionadas del MOP.
12.  Instructivo de Pesaje Móvil en Rutas Concesionadas del MOP.
13.  Reglamento de instalaciones domiciliarias de agua potable y alcantarillado.
14.  Manual de Vallas Camineras, elaborado por el MOP en su versión vigente a la fecha de presentación de la propuesta de vallas camineras a la aprobación del inspector fiscal.

    12.- De acuerdo a lo establecido en el artículo 3.3 de las Bases de Licitación, durante la etapa de construcción el concesionario deberá realizar las obras de mejoramiento obligatorias que se especifican en el anexo 4 de las Bases de Licitación, y todas las labores de rehabilitación y conservación, definidas por el concesionario, que sean necesarias para llevar los caminos, objeto de la concesión, al cumplimiento del estándar del servicio de conectividad exigido, proceso que se ha denominado de puesta a punto. A modo ejemplar y sin que esta enumeración sea taxativa, las principales obras a realizar durante esta etapa son las siguientes:

.    ampliación a segunda calzada entre Ovalle y Pan de Azúcar, incluyendo el sector de la cuesta Las Cardas,
.    un enlace desnivelado en el cruce con la Ruta D-51 El Peñón - Andacollo,
.    habilitación de retornos iluminados aproximadamente cada cinco kilómetros para garantizar la conectividad local,
.    un by pass en el sector de Pan de Azúcar,
.    una nueva conexión hacia La Serena por Avenida Las Torres en Coquimbo,
.    aceras, ciclovía, obras de paisajismo y mejoramiento de los pavimentos en sector Pan de Azúcar,
.    pasarela peatonal, calle local, aceras y paisajismo en el sector poblado de Recoleta, un cruce a desnivel en el sector de La Cantera, y
.    seis (6) nuevos puentes y un cruce a desnivel con la línea férrea.

    13.- Conforme a lo señalado en el artículo 2.1.2 de las Bases de Licitación, el presupuesto oficial estimado de la obra es de UF 5.100.000 (cinco millones cien mil unidades de fomento). Este valor es referencial y considera el valor nominal de las obras de mejoramiento y rehabilitación, incluyendo los gastos generales y utilidades, la elaboración del proyecto de ingeniería definitiva y pagos de la sociedad concesionaria durante la etapa de construcción. No se incluye el Impuesto al Valor Agregado (IVA).
    14.- Conforme a lo establecido en el artículo 9.1.1 de las Bases de Licitación, la etapa de explotación, tal como ésta aparece definida en el numeral 47 del artículo 1.2 de las Bases de Licitación, comenzará a partir de la autorización de la puesta en servicio provisoria y se prolongará hasta la fecha de término de la concesión. Durante este período, el concesionario deberá dar cumplimiento a todas las obligaciones previstas para esta etapa en las Bases de Licitación, la Ley de Concesiones de Obras Públicas, su reglamento y demás normas legales.
    Según lo indicado en el artículo 9.1.3 de las Bases de Licitación, las obligaciones del concesionario, relativas a la prestación del servicio de conectividad vial de esta concesión, definida en el numeral 19 del artículo 1.2 de las Bases de Licitación, han sido orientadas hacia la obtención de resultados más que hacia los procedimientos, materiales, modelos o tecnologías utilizadas para alcanzarlos. Para ello, se han establecido estándares de resultado que representan, en conjunto, el estándar del servicio de conectividad vial de la concesión.
    En tal sentido, el MOP transfiere a la sociedad concesionaria, durante la etapa de explotación, la responsabilidad de realizar todas las acciones de conservación que estime necesarias, en el lugar y el momento que considere pertinentes y en la forma en que la buena práctica le indique, para cumplir con las exigencias establecidas en el anexo 5 y con las demás obligaciones previstas en las Bases de Licitación.
    El concesionario deberá diseñar y ejecutar tales acciones de acuerdo a las normas y procedimientos establecidos en el artículo 5.6 de las Bases de Licitación. Sin embargo, el concesionario podrá utilizar modelos, materiales, procedimientos o tecnologías no contempladas en los manuales del precitado artículo, siempre que cumpla con lo prescrito en el artículo 9.2.17 de las Bases de Licitación.
    A mayor abundamiento, y para todos los efectos del presente contrato, en especial para cualquier apreciación económica ulterior, se entiende que las obras y acciones fueron evaluadas y avaluadas por el grupo licitante, en su calidad de oferente y antecesor legal del concesionario, al momento de realizar la oferta, de modo que no procederán reclamaciones posteriores tendientes a obtener compensaciones o indemnizaciones por mayores costos derivados de la ejecución de estas medidas, acciones u obras de cualquier naturaleza o envergadura.
    El servicio de conectividad vial debe ser provisto por el concesionario de manera ininterrumpida en toda el área de la concesión, con las excepciones expresamente previstas en las Bases de Licitación. Esta exigencia determina el carácter principalmente preventivo que deberán tener las medidas, labores y acciones que el concesionario decida programar y realizar durante esta etapa, sin perjuicio de aquellas de carácter reactivo, destinadas a subsanar deterioros imprevisibles y situaciones de emergencia. Conforme lo establecido en el artículo 9.2.1 de las Bases de Licitación, dicha obligación es regulada, en las Bases de Licitación, mediante los estándares de resultado previstos en el anexo 5 y las demás disposiciones que preceptúan la etapa de explotación. Los estándares de resultado proveen indicadores de resultado asociados a unidades de constatación, valores límite o umbrales, períodos de contabilización y, en ciertos casos, plazos de restauración e intervalos máximos para reportar al MOP el estado de sus indicadores.
    El concesionario está obligado a informar al MOP acerca del estado y los cambios de estado de los indicadores de resultado, previamente determinado por el concesionario mediante una inspección de estado, de acuerdo a la definición del numeral 59 del artículo 1.2, según lo establecido en el artículo 9.2.2.2, ambos de las Bases de Licitación.
    15.- De conformidad con lo dispuesto en el artículo 9.1.2 de las Bases de Licitación, la sociedad concesionaria deberá solicitar y obtener la autorización de la puesta en servicio definitiva dentro del plazo máximo de seis (6) meses contados desde la autorización de la puesta en servicio provisoria.
    16.- Conforme a lo señalado en el artículo 5.3.2 de las Bases de Licitación, en los aspectos relativos a la declaración y pago del Impuesto al Valor Agregado (IVA), para efectos de lo dispuesto en el DL N° 825, de 1974, y sus modificaciones posteriores, y en especial lo previsto en los literales c) y h) del artículo 16 de dicho cuerpo normativo, en este contrato de concesión se imputará un porcentaje "Pconstrucción" de los ingresos totales de explotación para pagar el precio del servicio de construcción y un porcentaje "Pexplotación" de los ingresos totales de explotación para pagar el precio del servicio de conservación de los caminos.

    Donde:

    Pconstrucción = 86% - 85%*S

    Pexplotación = 100% - Pconstrucción

S  :    Factor de subsidio presentado por el grupo
        licitante de acuerdo a lo señalado en el artículo
        2.2.8 de las Bases de Licitación, el cual
        equivale a 0,589, de acuerdo a su oferta
        económica.

    De acuerdo a lo establecido en el artículo 5.3.3 de las Bases de Licitación, en los aspectos relativos a la declaración y pago del Impuesto a la Renta, el concesionario se deberá regir por lo dispuesto en el DL N° 824, de 1974, y sus modificaciones, especialmente por las introducidas por la ley N° 19.460, de 1996, y las demás normas que correspondan.
    17.- Las obligaciones y derechos del adjudicatario, o bien, de la sociedad concesionaria, según sea el caso, son los establecidos en los cuerpos legales citados en el presente decreto supremo y la normativa legal vigente que le sea aplicable, en las Bases de Licitación, en sus Circulares Aclaratorias y en la Oferta Técnica y Económica presentada por el grupo licitante denominado "Sacyr Concesiones" en la forma aprobada por el MOP.
    Sin perjuicio de lo anterior y en forma no taxativa, se indican los siguientes:

Obligaciones

i)  Constituir legalmente la sociedad anónima, de nacionalidad chilena, prometida en su oferta técnica, de acuerdo a lo establecido en el artículo 4.1.1 de las Bases de Licitación, dentro del plazo de sesenta (60) días, contados desde la fecha de publicación en el Diario Oficial del presente decreto supremo de adjudicación del contrato de concesión. Asimismo, y dentro del mismo plazo, el adjudicatario procederá a suscribir ante notario cuatro (4) transcripciones del presente decreto supremo de adjudicación, en señal de aceptación de su contenido, debiendo protocolizar ante el mismo notario una de ellas, según lo exigido en el artículo 2.4.2 de las Bases de Licitación.
ii)  Al otorgarse la escritura de constitución de la sociedad concesionaria, se deberá suscribir íntegramente el capital de la sociedad, el que no podrá ser inferior a la suma de $20.000.000.000 (veinte mil millones de pesos) y pagarse, a lo menos, la suma de $5.000.000.000 (cinco mil millones de pesos), debiendo individualizar con su correspondiente porcentaje, a todas las personas naturales o jurídicas que suscribirán el 100% de dicho capital. El saldo del capital deberá pagarse en el plazo máximo de doce (12) meses contados desde la fecha de la escritura pública de constitución de la sociedad. El pago del capital deberá acreditarse mediante certificado bancario. Todo lo anterior de conformidad con lo dispuesto en el numeral 5. del artículo 4.1.1 de las Bases de Licitación.
iii) La sociedad concesionaria deberá, dentro del plazo de sesenta (60) días contados desde su constitución, haber solicitado su inscripción en el registro correspondiente de la Superintendencia de Valores y Seguros de acuerdo a la normativa vigente, lo que deberá acreditar con el certificado respectivo, de conformidad a lo señalado en el artículo 4.1.2 de las Bases de Licitación.
iv)  De acuerdo a lo dispuesto en el artículo 4.3 de las Bases de Licitación, el concesionario será siempre responsable del cumplimiento cabal, íntegro y oportuno del contrato de concesión, de la correcta ejecución de los proyectos y de las obras, de la operación de la concesión, así como del cumplimiento del estándar del servicio de conectividad establecido en las Bases de Licitación para las diferentes etapas y condiciones de la concesión, durante toda su vigencia, y del cumplimiento de todas las obligaciones establecidas en el contrato de concesión, sin perjuicio de las funciones de dirección y control que corresponden al Ministerio de Obras Públicas.
v)  De acuerdo a lo establecido en el artículo 3.7 de las Bases de Licitación, es obligación esencial del concesionario la gestión del objeto de la concesión, esto es, de la obra pública fiscal "Concesión de Mejoramiento y Conservación de la Ruta 43 de la Región de Coquimbo", la que tiene como objetivo la prestación ininterrumpida del servicio de conectividad en el nivel de servicio exigido por los estándares de resultado previstos en el anexo 5 de las Bases de Licitación.
    Sin perjuicio de dicha obligación esencial, las partes elevan a la categoría de esencial las siguientes obligaciones del concesionario:

    1.  Desarrollar los procesos de diseño de ingeniería
          básica y de detalle descritos en las Bases de
          Licitación y que una vez aprobados serán los
          proyectos de ingeniería definitiva, en
          conformidad a lo dispuesto en el artículo 8.5 y
          sus artículos subordinados de las Bases de
          Licitación.
    2.  Construir las obras de acuerdo a las normas,
          especificaciones técnicas y plazos establecidos
          en las Bases de Licitación, en especial en su
          artículo 8 y artículos subordinados de las Bases
          de Licitación y en los proyectos de ingeniería
          definitiva.
    3.  Proveer todo el equipamiento necesario para
          cumplir con las especificaciones, normas y
          estándares establecidos en las Bases de
          Licitación, así como las instalaciones y los
          productos informáticos exigidos en ellas, en
          especial el sistema informático de
          contabilización y control a que se refiere el
          artículo 5.11 y sus artículos subordinados.
    4.  Habilitar todas las áreas destinadas a la
          prestación de los servicios básicos, especiales
          obligatorios y complementarios en la forma y
          plazo establecidos en las Bases de Licitación.
    5.  Realizar todas las acciones de conservación que
          fuesen necesarias para dar cumplimiento oportuno
          y cabal a las exigencias establecidas en las
          Bases de Licitación, particularmente a aquellas
          formuladas en el anexo 5 de las Bases de
          Licitación, en la forma de estándares de
          resultado, tanto respecto de la infraestructura
          preexistente como de la que se construya dentro
          del área de concesión.
    6.  Informar al MOP, de manera veraz, oportuna y
          eficaz, acerca de la prestación del servicio de
          conectividad mediante el sistema informático de
          contabilización y control, en la forma y
          oportunidad establecida en el artículo 9 y sus
          artículos subordinados de las Bases de
          Licitación.

vi)  De acuerdo a lo establecido en el artículo 5.9.1 de las Bases de Licitación, a contar de la fecha de constitución de la sociedad concesionaria y mientras dure la concesión, la sociedad concesionaria será la única responsable, ante la autoridad ambiental y cualquier otra autoridad pública, del cumplimiento de las obligaciones y exigencias ambientales que se deriven de sus proyectos o actividades, actuando como único titular, así también será responsable de la conservación, durante todo el plazo de la concesión, de toda medida u obra que deba implementarse o construirse a consecuencia de las exigencias ambientales establecidas en la RCA a que se refiere el artículo 5.9.2 de las Bases de Licitación y en las RCA que se obtengan durante todo el plazo de la concesión, así como de las demás previstas en las Bases de Licitación.
    Conforme lo señalado en el artículo 5.9.2 de las Bases de Licitación, el MOP sometió al SEIA la Declaración de Impacto Ambiental (DIA) denominada "Construcción Defensas Fluviales Estero Culebrón, Sector Puente La Vega, Puente La Laguna y Tramo Intermedio, Región de Coquimbo", la cual obtuvo su calificación ambiental favorable mediante la resolución exenta N° 87, de fecha 2 de agosto de 2010, de la Corema Región de Coquimbo. Esta resolución, de acuerdo a lo dispuesto en el artículo 2.1.1 de las Bases de Licitación, forma parte de los documentos que rigen la licitación, siempre que las obras a ejecutar en el sector del Puente La Vega, Puente La Laguna y el tramo intermedio conserven el trazado y las características con las que fueron sometidas al Sistema de Evaluación de Impacto Ambiental (SEIA), a juicio de la autoridad ambiental competente.
    Conforme lo establecido en el artículo 5.9.3 de las Bases de Licitación, mediante la suscripción del presente decreto supremo de adjudicación, la sociedad concesionaria acepta el cambio de titularidad del proyecto de DIA, siendo responsable del cumplimiento de las obligaciones ambientales impuestas al proyecto y del cumplimiento de la normativa vigente.
vii) De conformidad a lo previsto en el artículo 5.11 de las Bases de Licitación, el concesionario deberá diseñar y construir un sistema informático de contabilización y control (SICC) que será parte del sistema formal de comunicaciones y cuyas características de diseño, operación y explotación son materia de los artículos 5.11.1, 5.11.2 y 5.11.3 y de sus artículos subordinados de las Bases de Licitación. Este sistema, que el concesionario deberá poner oportunamente en servicio, explotar, mantener y actualizar, deberá contabilizar la prestación del servicio de conectividad de acuerdo a lo establecido en 9.2.8.4 y sus artículos subordinados y poner dicha contabilización a disposición permanente de las partes, en los términos previstos en 5.11.2.2, todos artículos de las Bases de Licitación.
viii) De acuerdo a lo indicado en el artículo 10.3.1 de las Bases de Licitación, la sociedad concesionaria pagará al Estado las siguientes cantidades por concepto de adquisición o expropiaciones:

    a)  Para los terrenos definidos en los planos a que
          se refiere en el numeral 5 del artículo 2.1.3 de
          las Bases de Licitación, la sociedad
          concesionaria deberá pagar la suma de
          trescientos cuarenta y cinco mil unidades de
          fomento (UF 345.000) por concepto de
          desembolsos, gastos o expensas originadas con
          motivo de las expropiaciones o de la adquisición
          de terrenos para el Estado. El pago de esta
          cantidad deberá ser realizado en dos (2) cuotas
          anuales de ciento setenta y dos mil quinientas
          unidades de fomento (UF 172.500) cada una,
          mediante vale vista emitido a nombre del DGOP.
          La primera cuota deberá pagarse a más tardar a
          los noventa (90) días contados desde la fecha de
          publicación en el Diario Oficial del presente
          decreto supremo de adjudicación de la concesión.
          La siguiente cuota deberá pagarse a más tardar
          un año después del pago de la primera cuota.
    b)  Para las expropiaciones de los terrenos
          adicionales a los definidos en los planos a que
          se refiere el numeral 5 del artículo 2.1.3 de
          las Bases de Licitación, pero que son necesarios
          para la ejecución de las obras señaladas en el
          anexo 4 de las mismas Bases, el concesionario
          deberá pagar al MOP la suma de cien mil unidades
          de fomento (UF 100.000) por concepto de
          desembolsos y gastos que se originen con motivo
          de tales expropiaciones.
          En caso que el valor total de indemnización
          definitiva establecida en el proceso de
          expropiaciones resultante, correspondiente a los
          terrenos a que se refiere el presente literal,
          sea inferior a las cien mil unidades de fomento
          (UF 100.000), el concesionario pagará al MOP
          sólo la cantidad resultante.
          Si el monto total de indemnización definitiva
          establecida en el proceso de expropiaciones
          resultante, es superior a las cien mil unidades
          de fomento (UF 100.000), el concesionario deberá
          pagar al MOP una cantidad adicional a las cien
          mil unidades de fomento (UF 100.000) señaladas
          en el párrafo precedente, el que se calcula de
          acuerdo a lo siguiente:

          i.  Si el monto total de la indemnización
              definitiva resulta superior a cien mil
              unidades de fomento (UF 100.000) y menor a
              doscientas mil unidades
              de fomento (UF 200.000), la sociedad
              concesionaria deberá pagar al MOP el 60% de
              la diferencia entre el monto total de
              indemnización definitiva y cien mil
              unidades de fomento (UF 100.000).
          ii.  Si el monto total de la indemnización
              definitiva resulta superior o igual a
              doscientas mil unidades de fomento (UF
              200.000) y menor a trescientas mil unidades
              de fomento (UF 300.000), la sociedad
              concesionaria deberá pagar al MOP sesenta
              mil unidades de fomento (UF 60.000) más el
              30% de la diferencia entre el monto total
              de indemnización provisoria y doscientas
              mil unidades de fomento (UF 200.000).
          iii. Si el monto total de la indemnización
              definitiva resulta superior o igual a
              trescientas mil unidades de fomento (UF
              300.000), la sociedad concesionaria deberá
              pagar al MOP ciento veinte mil unidades de
              fomento (UF 120.000).

          Los montos fijados como indemnización provisoria
          serán pagados mediante pagos parciales del
          concesionario al MOP, cada uno de los cuales se
          deberá realizar en un plazo máximo de sesenta
          (60) días contados desde que el inspector fiscal
          le notifique por medio del LDC (Libro Digital
          del Contrato) el valor pericial respectivo de
          uno o más lotes que forman parte de los terrenos
          adicionales a los previstos en el estudio
          referencial, pero necesarios para construir las
          obras a que se refiere el anexo 4 de las Bases
          de Licitación.
          Una vez que se haya fijado el monto de
          indemnización definitivo de las expropiaciones a
          que se refiere este literal, la sociedad
          concesionaria deberá pagar la diferencia entre
          éste y el valor de la indemnización provisional,
          en UF determinada a la fecha del pago de la
          indemnización definitiva, en un plazo no
          superior a sesenta (60) días desde que sea
          notificada por el inspector fiscal por medio del
          LDC.

ix)  De conformidad con lo señalado en el artículo 10.3.2 de las Bases de Licitación, el concesionario deberá pagar durante la etapa de construcción, por concepto de elaboración de los estudios referenciales desarrollados a nivel de anteproyecto a que se refiere el artículo 2.1.3 de las Bases de Licitación, la suma de cuarenta y cinco mil unidades de fomento (UF 45.000), en tres cuotas iguales de quince mil unidades de fomento (UF 15.000) anuales y sucesivas pagaderas el último día hábil del mes de marzo de cada año, de acuerdo al procedimiento establecido en el artículo 10.4 de las Bases de Licitación. La primera cuota deberá ser pagada el año calendario siguiente al de la fecha de publicación en el Diario Oficial del presente decreto supremo de adjudicación del contrato de concesión.
    El concesionario deberá pagar, por concepto de administración y control del contrato durante la etapa de construcción, la suma de noventa y seis mil unidades de fomento (UF 96.000), en tres cuotas iguales de treinta y dos mil unidades de fomento (UF 32.000) anuales y sucesivas, pagaderas el último día hábil del mes de marzo de cada año, de acuerdo al procedimiento establecido en el artículo 10.4 de las Bases de Licitación. La primera cuota deberá ser pagada el año calendario siguiente al de la fecha de publicación en el Diario Oficial del presente decreto supremo de adjudicación del contrato de concesión.
    El concesionario deberá pagar por concepto de administración y control del contrato durante la etapa de explotación, la suma de ocho mil unidades de fomento (UF 8.000) anuales y sucesivas, pagaderas durante los quince (15) primeros días del mes de marzo de cada año, a partir del año siguiente al de la autorización de puesta en servicio provisoria de la obra. Conjuntamente con el pago de la primera cuota, el concesionario deberá pagar un monto equivalente a la proporción del año anterior (incluido el mes en que se autorice la PSP), si así procediere. Para tales efectos, las cantidades a pagar serán calculadas a razón de seiscientas sesenta y siete unidades de fomento (UF 667) al mes.
x)  De conformidad a lo señalado en el artículo 10.3.3 de las Bases de Licitación, el concesionario deberá pagar al Estado, durante toda la etapa de explotación, el costo anual de reducción de conectividad (CARC) definido en el artículo 9.2.3.2 de las Bases de Licitación, a más tardar el 9 de julio del año siguiente al año en que se realizaron las acciones de conservación preventivas que dieron origen a este pago, en la forma indicada en el artículo 10.4.1 de las Bases de Licitación.
xi)  Contratar los seguros de responsabilidad civil por daños a terceros y por catástrofe de acuerdo a lo señalado en los artículos 5.4.2 y 5.4.3, respectivamente, de las Bases de Licitación.
xii) El concesionario deberá constituir las garantías de construcción y de explotación indicadas en los artículos 5.1.2 y 5.1.3 de las Bases de Licitación, respectivamente, pudiendo ser tomadores de las garantías el adjudicatario o la sociedad concesionaria, según corresponda. El MOP podrá hacer efectivas, total o parcialmente, dichas garantías a través de resolución fundada del DGOP, atendida la entidad y naturaleza del incumplimiento del contrato y, en particular, en los casos señalados en el artículo 5.1.1 de las Bases de Licitación. En caso que el MOP hiciera efectiva la garantía, ésta deberá reconstituirse o completarse, según proceda, en el plazo de quince (15) días a contar de la fecha en que se hizo efectiva.
xiii) De conformidad con lo establecido en el artículo 5.12.5 de las Bases de Licitación, la sociedad concesionaria deberá mantener en todo momento a disposición de los usuarios, un sistema de sugerencias, consultas y reclamos vía web, de forma que los usuarios puedan realizar consultas, sugerencias o reclamos con relación a cualquier aspecto de la concesión. Para ello el concesionario deberá contar con la aprobación del inspector fiscal, a más tardar a los ciento veinte (120) días contados desde el inicio de la concesión, de un sistema de ingreso, gestión y análisis de las consultas, sugerencias y reclamos de sus usuarios, que regirá durante toda la etapa de construcción y de explotación de la concesión.
xiv) De conformidad con lo establecido en el artículo 6.1.2 de las Bases de Licitación, los costos de consumo de electricidad para los sistemas de iluminación existentes o construidos por la sociedad concesionaria dentro del área de concesión y el agua de riego para las áreas verdes, que se encuentren dentro del área de concesión, serán de cargo del concesionario, durante las etapas de construcción y explotación. La sociedad concesionaria, a su entero cargo, costo y responsabilidad, deberá efectuar los trámites necesarios para realizar el traspaso de los pagos de dichos consumos a dicha sociedad concesionaria. Para ello, la sociedad concesionaria deberá independizar los medidores del caso y hacerse cargo de la gestión, ejecución y costos correspondientes.
xv)  De conformidad con lo establecido en el artículo 5.9 de las Bases de Licitación, el concesionario será responsable, durante toda la vigencia del contrato, de la adopción de medidas apropiadas de conservación y protección del medio ambiente como variable relevante de su gestión, debiendo implementar todas las acciones necesarias para asegurar un óptimo manejo ambiental y territorial de la concesión y dar cumplimiento a la normativa legal vigente y a las Bases de Licitación. Para ello deberá cumplir con las obligaciones y asumir las responsabilidades que son materia del artículo 5.9 y de los artículos subordinados 5.9.1 al 5.9.8, todos de las Bases de Licitación.
    Asimismo y de acuerdo con lo establecido en el artículo 5.10 de las Bases de Licitación, la sociedad concesionaria deberá elaborar un Plan de Gestión Sustentable para la etapa de construcción y otro para la etapa de explotación de la concesión. Ambos planes deberán contener, como mínimo, las medidas establecidas en el anexo 8 de las Bases de Licitación.

Derechos

i)  De conformidad a lo dispuesto en el artículo 8.8.1 de las Bases de Licitación, la autorización de PSP dará al concesionario derecho a la explotación de la concesión.
ii)  El concesionario estará autorizado a iniciar el cobro de peaje a usuarios en la plaza de peaje, a contar de la fecha de autorización de la puesta en servicio provisoria de la obra, de acuerdo a lo establecido en el artículo 10.1 de las Bases de Licitación.
    Para estos efectos, según lo estipulado en el artículo 10.1.2 de las Bases de Licitación, la sociedad concesionaria deberá clasificar los vehículos según el cuadro siguiente:

    Cuadro: Clasificación según tipo de vehículo

    .

    El MOP podrá modificar la clasificación de vehículos indicada en el cuadro anterior, manteniendo las restantes condiciones establecidas en las Bases de Licitación.
    De conformidad con lo establecido en el artículo 10.1.3 de las Bases de Licitación, la sociedad concesionaria tendrá el derecho a cobrar a los usuarios que circulen por la plaza de peaje, la tarifa máxima asociada a los vehículos tipo 2, de dos mil pesos ($2.000) expresado en pesos chilenos al 31 de diciembre de 2010.
    De conformidad con lo establecido en el artículo 10.1.4 de las Bases de Licitación, para efectos del cobro a los distintos tipos de vehículos, la sociedad concesionaria deberá considerar el factor de tarifas para cada tipo de vehículo que se indica en el cuadro siguiente:

    Cuadro: Factor de tarifas para cada tipo de vehículo

    .

    De acuerdo a lo establecido en el artículo 10.1.5 de las Bases de Licitación, el valor de la tarifa máxima, establecido en el artículo 10.1.3 de las Bases de Licitación, asociada a los vehículos tipo 2, se reajustará a partir del 1° de enero de cada año de explotación, o cada vez que se compruebe una inflación acumulada, desde la última revisión tarifaria, igual o superior al quince por ciento (15%), según IPC. En este último, caso la tarifa máxima se reajustará en un valor igual a dicha inflación acumulada, a partir del mes siguiente a aquel en el que se haya alcanzado este valor. Para el cálculo de la tarifa máxima reajustada se usará la siguiente expresión:

    .

Donde:

t    :  año calendario de explotación contabilizado desde
        el 1° de enero del año de la puesta en servicio
        provisoria de la obra.
To    :  tarifa base máxima indicada en el artículo 10.1.3
        de las Bases de Licitación.
Tt    :  es la tarifa máxima, según corresponda,
        reajustada para el año t de explotación de la
        concesión en pesos ($).
Tt-1  :  es la tarifa máxima determinada para el período
        inmediatamente anterior, redondeada en dos
        decimales, antes de haberle aplicado el
        fraccionamiento tarifario definido en el artículo
        10.1.7 de las Bases de Licitación.
∆IPC0 :  corresponde a la variación del Índice de Precios
        al Consumidor entre el 1° de enero del año 2011 y
        el 31 de diciembre del año anterior a la
        autorización de la puesta en servicio provisoria
        de la obra, en fracción, publicado por el
        Instituto Nacional de Estadísticas (INE).
∆IPCt-1: para valores de t mayor que 1, es la variación
        del Índice de Precios al Consumidor entre la
        fecha considerada para el cálculo del último
        reajuste y el 30 de noviembre del año t-1 de
        explotación de la concesión, en fracción,
        publicado por el Instituto Nacional de
        Estadísticas (INE). En caso que dicho indicador
        deje de existir como índice relevante de
        reajustabilidad de costos, se aplicará el
        mecanismo que lo reemplace.

    Para estos efectos, la sociedad concesionaria someterá a la aprobación del inspector fiscal con, a lo menos, veinte (20) días de anticipación al término de cada año calendario de operación, mediante carta ingresada a la oficina de partes de la DGOP, el reajuste anual, indicando la tarifa a usuarios que aplicará en el próximo período. El inspector fiscal responderá por la aceptación o rechazo en un plazo no mayor a diez (10) días.
    De acuerdo a lo señalado en el artículo 10.1.6 de las Bases de Licitación, la tarifa máxima (Tk) a cobrar al usuario tipo k definido en el Cuadro: "Clasificación según tipo de vehículo" será la resultante de multiplicar el factor (Fk) señalado en el Cuadro: "Factor de tarifas para cada tipo de vehículo" por la tarifa Tt para los vehículos tipo 2 (Tt) definida en el artículo 10.1.5 de las Bases de Licitación.

    Tk = Tt * Fk

Donde:

Tk  :    tarifa máxima a cobrar al usuario tipo k del
          Cuadro: "Clasificación según tipo de vehículo".
Tt  :    tarifa máxima determinada de acuerdo a lo
          señalado en el artículo 10.1.3 y ajustada de
          acuerdo a lo indicado en el artículo 10.1.5,
          ambos de las Bases de Licitación.
Fk  :    factor para el tipo de vehículo k, de acuerdo a
          lo indicado en el artículo 10.1.4 de las Bases
          de Licitación.

    De conformidad a lo indicado en el artículo 10.1.7 de las Bases de Licitación y con el fin de facilitar el cobro de peajes a los usuarios, se aplicará un fraccionamiento tarifario que consiste en ajustar la tarifa (Tk) calculada de acuerdo a lo establecido en el artículo 10.1.6 de las Bases de Licitación, cada $50 al alza o a la baja, y opera de la siguiente manera:

    .    Si el remanente por sobre las centenas de pesos
          del valor de la tarifa a cobrar al usuario,
          estimada de acuerdo al artículo 10.1.6 de las
          Bases de Licitación, es menor a $50, el
          fraccionamiento se hará a la baja si dicho
          remanente se encuentra entre $1 y $24, y se hará
          al alza si dicho remanente se encuentra entre
          $25 y $49.
    .    Si el remanente por sobre las centenas de pesos
          del valor de la tarifa a cobrar al usuario,
          estimada de acuerdo al artículo 10.1.6 de las
          Bases de Licitación, es mayor a $50, el
          fraccionamiento se hará a la baja si dicho
          remanente se encuentra entre $51 y $74, y se
          hará al alza si dicho remanente se encuentra
          entre $75 y $99.

    Adicionalmente, el concesionario tendrá derecho a realizar una gestión tarifaria de acuerdo a las condiciones señaladas en el artículo 10.1.8 de las Bases de Licitación.
iii) De acuerdo a lo señalado en el artículo 10.2.1 de las Bases de Licitación y a la oferta económica presentada por el grupo licitante adjudicatario, el Estado pagará a la sociedad concesionaria un subsidio fijo a la inversión, con el objeto de aportar al financiamiento de las obras de construcción que son necesarias para el mejoramiento y rehabilitaciones iniciales de los caminos objeto de la concesión.
    Las cuotas del subsidio fijo a la inversión serán calculadas a partir de la multiplicación del valor del factor del subsidio "S" que el grupo licitante presentó en su oferta económica, cuyo valor corresponde a 0,589, por quinientas mil unidades de fomento (UF 500.000), redondeado a su entero superior más cercano para el caso de fracción superior o igual a cinco décimas y, para el caso contrario, redondeado al entero inferior más cercano cuando la fracción sea menor a cinco décimas, resultando los montos definidos en el Cuadro: "Cuotas de subsidios a la inversión".
    Este monto se pagará en pesos, para lo cual se considerará el valor de la unidad de fomento del último día hábil del mes anterior al pago. El procedimiento de pago se detalla en el artículo 10.4.2 de las Bases de Licitación.

    .

iv)  De acuerdo a lo establecido en el artículo 10.2.2 de las Bases de Licitación, el Estado pagará a la sociedad concesionaria, cuando corresponda, un incentivo monetario anual, cuyo monto máximo trimestral será de diez mil unidades de fomento (UF 10.000) por el concepto de desempeño operacional del concesionario durante la etapa de explotación. Este incentivo monetario está directamente relacionado con el valor alcanzado para el índice del servicio prestado (ISP) durante el trimestre "t" de explotación, en el año n. Para que este incentivo sea efectivo, la sociedad concesionaria debe alcanzar un valor para el ISP mayor a 0,9500.

    18.- Las garantías que deberá entregar el concesionario por construcción y explotación de las obras, conforme a lo establecido en los artículos 5.1.2 y 5.1.3 de las Bases de Licitación, se indican a continuación:

    Garantía de Construcción

    Dentro de los noventa (90) días siguientes a la fecha del inicio de la concesión, el adjudicatario o el concesionario, en su caso, deberá entregar la garantía de construcción en reemplazo de la garantía de seriedad de la oferta, la cual deberá estar constituida por diez (10) boletas de garantía bancarias o por una póliza de seguro de garantía de ejecución inmediata para concesiones de obras públicas, según lo dispuesto en el artículo 5.1.4 de las Bases de Licitación. Las boletas de garantía bancarias deberán ser pagaderas a la vista, emitidas en Santiago de Chile por un banco de la plaza, a nombre del Director General de Obras Públicas. La glosa o materia asegurada debe ser: "para garantizar al MOP el íntegro, fiel y oportuno cumplimiento de las obligaciones durante la etapa de construcción de la obra pública fiscal Concesión para el Mejoramiento y Conservación de la Ruta 43 de la Región de Coquimbo". El monto total de las garantías será de doscientas veinte mil unidades de fomento (UF 220.000).
    La garantía de seriedad de la oferta será devuelta dentro de los quince (15) días posteriores a la recepción, por el MOP, de la garantía de construcción, siempre y cuando el concesionario haya cumplido con todas las formalidades exigidas en las Bases de Licitación, de acuerdo con lo dispuesto en la Ley de Concesiones de Obras Públicas y su Reglamento.
    Una vez que el concesionario acredite la ejecución del 10%, 50% o 75% de las obras, de acuerdo a lo previsto en el artículo 8.2.2 de las Bases de Licitación, la garantía de construcción podrá ser reemplazada por diez (10) boletas de garantía bancaria de igual monto, o bien, por una póliza de seguro de garantía de ejecución inmediata para concesiones de obras públicas, según lo dispuesto en el artículo 5.1.4 de las Bases de Licitación, cuyo plazo de vigencia será la diferencia entre el plazo máximo de construcción y el tiempo transcurrido hasta la correspondiente declaración de avance, más ocho (8) meses, y deberán mantener las demás condiciones establecidas en el artículo 5.1.2 de las Bases de Licitación. Los montos de garantía de construcción a entregar por la sociedad concesionaria en reemplazo de las garantías vigentes, una vez que se verifiquen los respectivos porcentajes de avance de la ejecución de las obras, serán los que se establecen en el cuadro siguiente:

    Cuadro: Garantía de construcción

    .

    En caso de ser necesaria la renovación de una o más garantías, las nuevas garantías deberán ser entregadas al MOP con una anticipación mínima de noventa (90) días anteriores a la fecha de vencimiento de la que se reemplaza. Las garantías de construcción que sean reemplazadas, de acuerdo a lo establecido precedentemente, serán devueltas a la sociedad concesionaria dentro del plazo de treinta (30) días contados desde la fecha de ingreso de las nuevas garantías, una vez que la sociedad concesionaria haya cumplido con todas las exigencias señaladas en las Bases de Licitación.
    Las garantías de construcción deberán permanecer vigentes mientras dure la etapa de construcción más seis (6) meses, de manera que garanticen las obligaciones de la etapa de construcción de la obra.
    Las garantías de construcción serán devueltas al concesionario dentro de los treinta (30) días siguientes al vencimiento del plazo de vigencia señalado en el párrafo anterior, siempre que: no hayan sido hechas efectivas por el MOP, no hayan demandas de terceros contra el MOP derivadas de incumplimientos o deudas del concesionario y siempre que el concesionario haya entregado previamente la garantía de la etapa de explotación respectiva, a conformidad del MOP.

    Garantía de Explotación

    Según lo dispuesto en el artículo 5.1.3 de las Bases de Licitación, en la misma fecha en que sea solicitada la puesta en servicio provisoria de la obra y como condición para la autorización de dicha PSP, el concesionario entregará al MOP la garantía de explotación.
    La garantía de la etapa de explotación deberá estar constituida por diez (10) boletas de garantía bancarias, pagaderas a la vista, emitidas en Santiago de Chile por un banco de la plaza, de igual monto, o bien, por una póliza de seguro de garantía de ejecución inmediata para concesiones de obras públicas, según lo dispuesto en el artículo 5.1.4 de las Bases de Licitación, en ambos casos, extendida a nombre del Director General de Obras Públicas. El monto total de las garantías será de ciento veinte mil unidades de fomento (UF 120.000). La glosa de las garantías de explotación debe ser: "para garantizar al MOP el fiel, íntegro y oportuno cumplimiento de las obligaciones durante la etapa de explotación de la obra pública fiscal: Concesión para el Mejoramiento y Conservación de la Ruta 43 de la Región de Coquimbo".
    La garantía deberá tener un plazo de vigencia igual al período máximo de explotación establecido en el artículo 2.5.2 de las Bases de Licitación, más doce (12) meses. No obstante, el concesionario dentro de los cuarenta y cinco (45) días previos a la solicitud de puesta en servicio provisoria, podrá solicitar autorización al DGOP para entregar garantías, cuya vigencia sea menor, con un plazo no inferior a cinco (5) años y renovarlas doce (12) meses antes de su término de vigencia. Dentro de los treinta (30) días posteriores a la fecha de recepción en la oficina de partes de la DGOP de dicha solicitud, el DGOP comunicará por escrito su decisión de rechazo o aceptación. Para el caso de garantías con menor vigencia, el plazo de la última garantía será lo que reste del período de explotación más doce (12) meses.
    El MOP no otorgará la autorización de puesta en servicio provisoria de la obra si no se da cumplimiento a la obligación de entregar la garantía de la etapa de explotación.
    La sociedad concesionaria deberá entregar una garantía de explotación adicional, que tendrá como finalidad asegurar el cumplimiento de las condiciones con las que el Estado recibirá el área de la concesión, establecidas en el artículo 11.1.6 de las Bases de Licitación. Dicha garantía será entregada dentro del mes siguiente al mes "m" de concesión cuando se verifique que el monto VPIm, que se define en el artículo 10.5.1 de las Bases de Licitación, ha alcanzado un porcentaje igual al 90% del valor de ITC explicitado en el mismo artículo o doce (12) meses antes del plazo máximo de la concesión a que se refiere el artículo 2.5.2 de las Bases de Licitación, lo que primero ocurra, mediante tres o más boletas de garantía bancaria de igual monto, emitidas en Santiago de Chile por un banco de la plaza, a nombre del Director General de Obras Públicas, pagaderas a la vista, o bien, por una póliza de seguro de garantía de ejecución inmediata para concesiones de obras públicas, según lo dispuesto en el artículo 5.1.4 de las Bases de Licitación. El plazo de vigencia de esta garantía adicional será el mayor plazo entre tres (3) años y el período que medie entre la entrega de la misma y el plazo máximo de término de la concesión. El valor total de esta garantía será de ciento veinte mil unidades de fomento (UF 120.000). La glosa de esta garantía de explotación adicional será: "para garantizar al MOP el cumplimiento de las condiciones con las que el Estado recibirá la obra concesionada al término del contrato "Concesión para el Mejoramiento y Conservación de la Ruta 43 de la Región de Coquimbo"".
    Las garantías de la explotación serán devueltas en el plazo de quince (15) días, contados desde que el inspector fiscal de la explotación certifique que el concesionario ha cumplido todas las obligaciones contraídas con el MOP.
    La garantía de explotación adicional será devuelta por el MOP dentro del plazo de quince (15) días siguientes al término de vigencia de la misma.

    19.- Conforme a lo señalado en el artículo 10.7 de las Bases de Licitación, el concesionario y el MOP realizarán los pagos que correspondan, en virtud del contrato de concesión, en los plazos señalados en las Bases de Licitación, en especial de acuerdo al procedimiento de cálculo y liquidación de los pagos indicados en los artículos 10.2 y 10.3 de las Bases de Licitación. En caso que se produzcan atrasos, dichos pagos devengarán un interés real diario equivalente, en base a trescientos sesenta y cinco (365) días, a la tasa de interés corriente para operaciones reajustables en moneda nacional a menos de un año, vigente a la fecha del pago efectivo, lo que debe entenderse sin perjuicio de la aplicación de las multas que correspondan. No obstante lo anterior, el atraso de los pagos que la sociedad concesionaria tenga que realizar al MOP dará derecho a este último al cobro de las correspondientes garantías, conforme a lo señalado en el artículo 5.1.1 numeral 11 de las Bases de Licitación.
    20.- Las multas que procedan, se aplicarán conforme a lo estipulado en las Bases de Licitación y sus Circulares Aclaratorias y a lo dispuesto en el DS MOP N° 900, de 1996, que fija el texto refundido, coordinado y sistematizado del DFL MOP N° 164, de 1991, Ley de Concesiones de Obras Públicas, y sus modificaciones, y en el DS MOP N° 956, de 1997, Reglamento de la Ley de Concesiones, y sus modificaciones.
    21.- La Dirección General de Obras Públicas será el Servicio del Ministerio de Obras Públicas que fiscalizará el contrato de concesión en sus diversos aspectos y etapas.

    Anótese, tómese razón y publíquese.- SEBASTIÁN PIÑERA ECHENIQUE, Presidente de la República.- Loreto Silva Rojas, Ministra de Obras Públicas.- Felipe Larraín Bascuñán, Ministro de Hacienda.
    Lo que transcribo a Ud. para su conocimiento.- Saluda atte. a Ud., Patricia Contreras Alvarado, Subsecretaria de Obras Públicas Subrogante.