1º: Modifícase el recinto portuario del Puerto de Iquique, de acuerdo a lo solicitado por la Empresa Portuaria Iquique en los documentos citados en el Visto, que se anexan y que forman parte integrante del presente decreto, en el siguiente sentido:
Exclúyase el sector correspondiente a la Caleta Guardiamarina Riquelme comprendida dentro del polígono identificado por los siguientes punto G'IJKLMNG
Inclúyanse las áreas marítimas comprendidas en el polígono VABCDEFGHIJKLMNÑOPQRSTUV
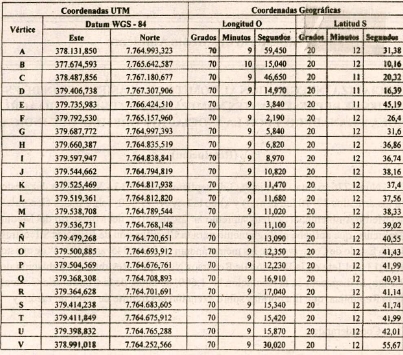
2º: Establécese en consecuencia, como recinto portuario del Puerto de Iquique, dependiente de la Empresa Portuaria Iquique, las áreas marítimas y terrestres comprendidas dentro del polígono identificado por las siguientes coordenadas según se indica en el plano EPI-RP-02-2013 de la Empresa Portuaria Iquique, protocolizado bajo el Nº 99 repertorio Nº 3328 con fecha 31 de julio de 2013, en la Notaría Pública de Iquique de don Carlos Vila Molina:
Polígono ABCDEFGHIJKLMNÑOPQRSTUVA

3º: Déjanse sin efecto los decretos supremos Nos 41 de 1998, 45 de 1999, 107 de 2000 y 86 de 2005, todos del Ministerio de Transportes y Telecomunicaciones, Subsecretaría de Transportes.
4º: El presente decreto comenzará a regir a contar de la fecha d su publicación en el Diario Oficial de la República.