ESTABLECE LOS OTROS INDICADORES DE CALIDAD EDUCATIVA A QUE SE REFIERE EL ARTÍCULO 3º, LETRA A), DE LA LEY Nº 20.529, QUE ESTABLECE EL SISTEMA NACIONAL DE ASEGURAMIENTO DE LA CALIDAD DE LA EDUCACIÓN PARVULARIA, BÁSICA Y MEDIA Y SU FISCALIZACIÓN
Núm. 381.- Santiago, 10 de julio de 2013.- Considerando:
Que, en conformidad a lo dispuesto en el artículo 3º, letra a), de la ley Nº 20.529, el Sistema Nacional de Aseguramiento de la Calidad de la Educación Parvularia, Básica y Media considerará estándares de aprendizaje de los alumnos, otros indicadores de calidad y estándares indicativos de desempeño de los establecimientos educacionales y sus sostenedores;
Que el artículo 17, inciso segundo, de la ley Nº 20.529, dispone que los otros indicadores de calidad educativa deberán considerar, entre otros, resultados, resguardar el derecho a la educación y la libertad de enseñanza y los principios establecidos en el artículo 3º de la ley Nº 20.370, General de Educación;
Que la misma disposición establece que los criterios de evaluación deben ser válidos, confiables, objetivos y transparentes;
Que los otros indicadores de calidad educativa tienen una enorme importancia para el adecuado funcionamiento del Sistema Nacional de Aseguramiento de la Calidad de la Educación Parvularia, Básica y Media, entre otros motivos, porque las evaluaciones que dan origen a la ordenación de los establecimientos educacionales se realizarán en base a los estándares de aprendizaje y al grado de cumplimiento de estos indicadores, según corresponda, y tanto dicha ordenación como los resultados que arrojen los otros indicadores de calidad educativa, deberán ser ampliamente difundidos por la Agencia de Calidad de la Educación;
Que, asimismo, para la evaluación de desempeño que deberá realizar la Agencia de Calidad de la Educación, conforme a lo dispuesto en los artículos 12 y siguientes de la ley Nº 20.529, que tiene por objeto fortalecer las capacidades institucionales y de autoevaluación de los establecimientos educacionales, orientar sus planes de mejoramiento educativo y promover la mejora continua de la calidad de la educación que ofrecen, se deberán considerar, entre otros, los mencionados indicadores de calidad educativa;
Que el artículo segundo transitorio de la ley Nº 20.529, dispone que el Ministerio de Educación tendrá un plazo de tres años, contado desde la entrada en vigencia de dicha ley, para presentar los estándares de aprendizaje, indicativos de desempeño y otros indicadores de calidad educativa al Consejo Nacional de Educación;
Que el Consejo Nacional de Educación, a través del Acuerdo Nº 31, de 12 de junio de 2013, aprobó la propuesta de otros indicadores de calidad presentada por el Ministerio de Educación;
Que el artículo 7º, inciso primero, de la ley Nº 20.529, dispone que corresponderá al Presidente de la República, cada seis años, por decreto supremo dictado por intermedio del Ministerio de Educación, previo informe del Consejo Nacional de Educación, establecer, entre otras materias, los otros indicadores de calidad a que se refiere el artículo 3º, letra a), de dicha ley, y
Visto: Lo dispuesto en los artículos 32 Nº 6 y 35 de la Constitución Política de la República de Chile; en la ley Nº 18.956, que reestructura el Ministerio de Educación Pública; en la ley Nº 20.529, que establece el Sistema Nacional de Aseguramiento de la Calidad de la Educación Parvularia, Básica y Media y su fiscalización; en el decreto con fuerza de ley Nº 2, de 2009, del Ministerio de Educación, que fija el texto refundido, coordinado y sistematizado de la ley Nº 20.370, con las normas no derogadas del decreto con fuerza de ley Nº 1, de 2005, del Ministerio de Educación; en el Acuerdo Nº 31, de 12 de junio de 2013, del Consejo Nacional de Educación, y en la resolución Nº 1.600, de 2008, de la Contraloría General de la República.
Decreto:
Artículo único: Establécense los otros indicadores de calidad a que se refiere el artículo 3º, letra a), de la ley Nº 20.529, cuyo texto se contiene en el Anexo que se acompaña al presente decreto, que se entiende formar parte del mismo y que se publicará conjuntamente en el Diario Oficial.

IMPORTANTE
En el presente documento se utilizan de manera inclusiva términos como "el docente", "el estudiante", "el profesor", "el alumno", "el compañero" y sus respectivos plurales (así como otras palabras equivalentes en el contexto educativo) para referirse a hombres y mujeres.
Esta opción obedece a que no existe acuerdo universal respecto de cómo aludir conjuntamente a ambos sexos en el idioma español, salvo usando "o/a", "los/las" y otras similares, y ese tipo de fórmulas supone una saturación gráfica que puede dificultar la comprensión de la lectura.
OTROS INDICADORES DE CALIDAD EDUCATIVA
Este documento presenta los Otros Indicadores de Calidad Educativa. La selección y elaboración de estos indicadores se inscribe dentro de las exigencias del nuevo marco normativo que rige el sistema educacional en Chile, el cual se define en la Ley General de Educación (ley Nº 20.370) promulgada el año 2009, y en la ley que establece el Sistema Nacional de Aseguramiento de la Calidad de la Educación Parvularia, Básica y Media y su fiscalización (ley Nº 20.529), promulgada el año 2011.
1. MARCO LEGAL
La Ley General de Educación fija el deber del Estado de propender a asegurar una educación de calidad, procurando que esta sea impartida a todos los estudiantes del país, tanto en el ámbito público como en el privado. Para el cumplimiento de este deber, estas leyes establecen el Sistema Nacional de Aseguramiento de la Calidad de la Educación, que contempla un conjunto de medidas orientadas al mejoramiento continuo de los aprendizajes de los estudiantes, dentro de las cuales se incluye la medición de los Otros Indicadores de Calidad.
Exigencias legales de los Otros Indicadores de Calidad Educativa
A continuación se detallan las exigencias legales, establecidas en la Ley General de Educación (LGE) y en la ley del Sistema Nacional de Aseguramiento de la Calidad (SNAC), para la elaboración de los Otros Indicadores de Calidad Educativa:
a) Evaluados mediante instrumentos estandarizados
El Sistema considera la evaluación del grado de
cumplimiento de los Otros Indicadores de Calidad
Educativa mediante instrumentos y procedimientos
estandarizados, válidos, confiables, objetivos y
transparentes (ley SNAC, Art. 11).
b) De aplicación obligatoria
La ley establece que la evaluación de los Otros
Indicadores de Calidad deberá aplicarse a todos los
establecimientos educacionales con Reconocimiento
Oficial del Estado (ley SNAC, Art. 11).
c) Respetar principios fundamentales
Los Otros Indicadores de Calidad Educativa deben
considerar, entre otros, el resguardo del derecho a
la educación y la libertad de enseñanza (ley SNAC,
Art. 17), y los principios de universalidad y
educación permanente, calidad de la educación,
equidad del sistema educativo, autonomía, diversidad,
responsabilidad, participación, flexibilidad,
transparencia, integración, sustentabilidad e
interculturalidad (LGE, Art. 3º).
d) Vigencia
Los Otros Indicadores de Calidad que se establezcan
tendrán una vigencia de seis años. Por el solo
ministerio de la ley, estos se entenderán renovados
por igual período de tiempo, en caso de que
transcurridos los seis años no se haya dictado un
decreto que los modifique (ley SNAC, Art. 7º).
e) Informados a la comunidad
La ley establece que la Agencia dará a conocer los
resultados de la medición de los Otros Indicadores
de Calidad Educativa, difundiéndolos ampliamente al
Ministerio de Educación, a los padres y apoderados
y a la comunidad educativa en general. La información
provista será relevante, de fácil comprensión y
comparable en el tiempo (ley SNAC, Art. 20). Asimismo,
el Sistema de Aseguramiento de la Calidad de la
Educación considera sistemas de información pública
referidos, entre otros, al resultado de las
evaluaciones de logro de los Otros Indicadores de
Calidad (ley SNAC, Art. 3º).
f) Considerados en la Ordenación de los establecimientos
La Agencia de Calidad ordenará, mediante resolución
fundada, a todos los establecimientos educacionales
reconocidos por el Estado de acuerdo al grado de
cumplimiento de los Otros Indicadores de Calidad
Educativa y de los Estándares de Aprendizaje de los
estudiantes (ley SNAC, Art. 17). A su vez, la ley
determina que esta Ordenación de los establecimientos
deberá ser realizada anualmente y considerará el
grado de cumplimiento de los Otros Indicadores de
Calidad en tres mediciones consecutivas válidas,
en el caso de que estas sean anuales, y dos
mediciones consecutivas válidas, en el caso de que
se realicen cada dos años o más (ley SNAC, Art. 18).
g) Ponderación de los Otros Indicadores de Calidad
En la Ordenación de los establecimientos educacionales,
la distribución de los resultados de los alumnos
en relación con los Estándares de Aprendizaje no
debe tener una ponderación menor al 67% (ley SNAC,
Art. 18). Por lo tanto, los Otros Indicadores de
Calidad no deberán tener una ponderación superior
al 33% del total. Por otra parte, la ley estipula
que los Otros Indicadores de Calidad no deben
considerarse para el revocamiento del Reconocimiento
Oficial de los establecimientos educacionales.
Específicamente, en el artículo 31 de la ley SNAC,
se indica que si después de cuatro años -contados
desde la comunicación de la Agencia a los padres y
apoderados y al Consejo Escolar acerca de la Ordenación
del establecimiento en la categoría de Desempeño
Insuficiente-, este se mantiene en la misma categoría,
considerando como único factor el grado de cumplimiento
de los Estándares de Aprendizaje, la Agencia, dentro
del primer semestre, certificará dicha circunstancia.
Con el solo mérito del certificado el establecimiento
educacional perderá, de pleno derecho, el reconocimiento
oficial al término del respectivo año escolar.
h) El Sistema apoya y busca que los Otros Indicadores de
Calidad sean logrados
La ley establece que el Sistema considerará políticas,
mecanismos e instrumentos para apoyar a los integrantes
de la comunidad educativa y a los establecimientos
educacionales en el logro tanto de los Otros Indicadores
de Calidad Educativa como de los Estándares de
Aprendizaje (ley SNAC, Art. 3º).
Los Otros Indicadores de Calidad y la Ordenación de los establecimientos
Según lo determinado por la ley, la Agencia de Calidad debe utilizar los Otros Indicadores de Calidad como insumo para la Ordenación de los establecimientos (ley SNAC, Art. 17). A continuación se detalla lo que establece la ley con respecto a este proceso:
a) Debe responsabilizar e identificar necesidades de apoyo
La finalidad de la Ordenación es responsabilizar a
los establecimientos y sus sostenedores del
cumplimiento de los aprendizajes de los estudiantes
y del logro de los Otros Indicadores de Calidad
Educativa. Asimismo, se establece que la Ordenación
tiene, entre otros, el objetivo de identificar,
cuando corresponda, las necesidades de apoyo que
pudieran tener los establecimientos para cumplir
adecuadamente con estos requerimientos (ley SNAC,
Art. 3º).
b) Debe considerar resultados de aprendizaje, los Otros
Indicadores de Calidad y características de los
estudiantes
La Agencia deberá considerar los resultados de
aprendizaje de todas las áreas evaluadas censalmente
en las mediciones nacionales, la distribución de los resultados de los estudiantes en relación a los Estándares de Aprendizaje, el grado de cumplimiento de los Otros Indicadores de Calidad Educativa, así como las características de los alumnos del establecimiento educacional, incluidas, entre otras, su vulnerabilidad y, cuando proceda, indicadores de progreso y/o de valor agregado. "Con todo, gradualmente, la Ordenación de los establecimientos propenderá a ser realizada de manera independiente de las características socioeconómicas de los alumnos y alumnas, en la medida que el Sistema corrija las diferencias en su desempeño atribuibles a dichas características" (ley SNAC, Art. 17).
c) Debe realizarse anualmente y de manera independiente
para básica y media
Los establecimientos educacionales que impartan
educación básica y media serán ordenados por cada
nivel de enseñanza en forma independiente (ley SNAC,
Art. 18). Esta Ordenación no será aplicable a los
establecimientos de educación parvularia y a los
establecimientos de educación especial
(ley SNAC, Art. 21).
d) Debe ser elaborada mediante un procedimiento técnico
El procedimiento técnico con el que se ponderará el
cumplimiento de los Estándares de Aprendizaje y de
los Otros Indicadores de Calidad para efectos de
la Ordenación será determinado por la Agencia de
Calidad (ley SNAC, Art. 18).
e) Debe establecer cuatro categorías
Como resultado de esta Ordenación, los
establecimientos educacionales serán clasificados
en cuatro categorías:
. Establecimientos Educacionales de Desempeño Alto
. Establecimientos Educacionales de Desempeño Medio
. Establecimientos Educacionales de Desempeño Medio-Bajo
. Establecimientos Educacionales de Desempeño Insuficiente
f) Debe reemplazar las categorías de la ley SEP
Los establecimientos adscritos al régimen de Subvención
Escolar Preferencial serán ordenados por la Agencia
de Calidad de la Educación en alguna de las categorías
que crea el Sistema Nacional de Aseguramiento de
la Calidad de la Educación (ley SNAC, Art. 112, 4).
La clasificación en las categorías indicadas en el
actual artículo 9º de la Ley de Subvención Escolar
Preferencial se entenderá equivalente a la Ordenación
en las categorías establecidas en el artículo 17
de la ley SNAC, de acuerdo a la siguiente tabla:

(Ley SNAC, Art. undécimo transitorio)
Este proceso de Ordenación tiene efectos concretos para los establecimientos, los cuales se detallan a continuación:
a) Resultados públicos
La primera consecuencia de la Ordenación es su
carácter público. Los resultados de la Ordenación
serán ampliamente difundidos (ley SNAC, Art. 20),
lo cual debiera generar efectos en los padres y
apoderados, entre ellos, un mayor empoderamiento
con respecto a la calidad de la educación que reciben
sus pupilos.
b) Determina la frecuencia de las visitas de la Agencia
En relación a todas las categorías de clasificación
de los establecimientos educacionales, la Agencia de
Calidad tendrá un plan anual de visitas evaluativas
(ley SNAC, Art. 22). El propósito de estas visitas
será la realización de las evaluaciones indicativas
de desempeño.
En relación con la periodicidad de las visitas
evaluativas, este plan anual considerará mayor
frecuencia para aquellos establecimientos educacionales
que hayan sido calificados en las categorías de
desempeño más desfavorables: Desempeño Medio-Bajo
y Desempeño Insuficiente.
c) Incorporación al registro ATE
Los establecimientos educacionales ordenados en la
categoría de Desempeño Alto con su respectivo
sostenedor, podrán incorporarse al Registro de
Personas o de Entidades de Apoyo Técnico Pedagógico
(ATE) administrado por el Ministerio de Educación
(ley SNAC, Art. 24). En este registro se eliminará
a todo establecimiento que no sea ordenado como de
Desempeño Alto.
d) Medidas especiales para los establecimientos
educacionales de Desempeño Insuficiente
- Apoyos
Los establecimientos en la categoría de desempeño
insuficiente deberán recibir apoyo técnico-pedagógico
(del Ministerio de Educación o de una persona o
entidad del Registro Público de Personas o de
Entidades Pedagógicas y Técnicas de Apoyo del Ministerio
de Educación) que deberá brindarse a lo menos hasta
que el establecimiento abandone dicha categoría,
por un plazo máximo de 4 años. Aquellos
establecimientos que tras este período sean ordenados
en esta misma categoría y que no logren ubicarse en
una categoría superior, pero que exhiban una mejora
significativa, deberán continuar recibiendo apoyo
hasta por un año más (ley SNAC, Art. 29).
- Deber de informar a padres y apoderados
En el caso de aquellos establecimientos que estando
en la situación recién descrita no muestren una
mejora significativa luego de tres años de haber
sido ordenados como de Desempeño Insuficiente,
la Agencia deberá informar nuevamente a los padres
y apoderados de dichos establecimientos educacionales
sobre la situación en que estos se encuentran. La
comunicación se enviará por carta certificada, y
contendrá información relevante sobre los treinta
establecimientos educacionales más cercanos que
estén ordenados en categorías superiores. Asimismo,
se les otorgarán facilidades de transporte para que
los alumnos accedan a establecimientos educacionales
que estén ordenados en categorías superiores
(ley SNAC, Art. 30).
- Revocamiento de Reconocimiento Oficial
Finalmente, si después de cuatro años, contados desde
la primera comunicación, el establecimiento
educacional se mantiene en la categoría de Desempeño
Insuficiente, considerando como único factor el grado
de cumplimiento de los Estándares de Aprendizaje,
la Agencia, dentro del primer semestre, certificará
dicha circunstancia. Con el solo mérito del
certificado, el establecimiento educacional perderá,
de pleno derecho, el reconocimiento oficial al término
del respectivo año escolar (ley SNAC, Art. 31).
- Nombramiento de administrador provisional
Cuando el establecimiento educacional se mantenga en
la categoría de Desempeño Insuficiente por cuatro
años consecutivos y exista riesgo de afectar la
continuidad del año escolar, el Superintendente de
Educación podrá nombrar un administrador provisional
para el establecimiento (ley SNAC, Art. 89, letra a).
El administrador provisional tendrá facultades para
reestructurar un establecimiento educacional que se
encuentre en esas condiciones siempre que se trate de
establecimientos educacionales administrados por
municipalidades, sea directamente o por sus
corporaciones municipales, y que no existan
establecimientos cercanos que impartan el mismo nivel
educativo, ordenados en mejor categoría y que cuenten
con vacantes (ley SNAC, Art. 94).
Para estos efectos, se entiende por establecimientos
cercanos aquellos que se encuentren en la misma
comuna y cuyo sostenedor sea una municipalidad, una
corporación municipal u otra entidad creada por
ley, o los establecimientos particulares
subvencionados que acepten gratuitamente a esos
alumnos sin proceso de selección entre 1º y 6º año
de educación básica (ley SNAC, Art. 95).
2. MARCO CONCEPTUAL
En la elección de estos indicadores se ha considerado la definición de calidad de la educación descrita en el apartado de los principios de la educación en el texto de la Ley General de Educación: "La educación debe propender a asegurar que todos los alumnos y alumnas, independientemente de sus condiciones y circunstancias, alcancen los objetivos generales y los estándares de aprendizaje que se definan en la forma que establezca la ley" (LGE, Art. 3º). Los indicadores evalúan de manera integral el logro de los objetivos generales de la educación estipulados en la LGE. En la práctica, los Objetivos Generales se entienden como un marco de expectativas compartidas de la formación escolar, que determinan las acciones que deben emprender los establecimientos, a fin de obtener los resultados esperados.
De acuerdo a los Objetivos Generales planteados en la LGE, la educación debe orientarse no solo al ámbito del conocimiento y la cultura, sino también a que los estudiantes logren un pleno desarrollo personal y social, en los ámbitos moral, espiritual, intelectual, afectivo y físico; a que desarrollen una autoestima positiva y confianza en sí mismos; a que actúen de acuerdo con valores y normas de convivencia cívica y pacífica; que conozcan sus derechos y responsabilidades; que asuman compromisos consigo mismo y con los otros; que desarrollen planes de vida y proyectos personales; que reconozcan y respeten la diversidad cultural, religiosa y étnica y las diferencias entre las personas, así como la igualdad de derechos entre hombres y mujeres, y desarrollen capacidades de empatía con los otros; que trabajen individualmente y en equipo, con esfuerzo, perseverancia, responsabilidad y tolerancia a la frustración; y que adquieran hábitos de vida activa y saludable. Asimismo, la ley señala que estas metas deben cumplirse en condiciones de equidad, de modo que todos los estudiantes cuenten con las mismas oportunidades para alcanzar estos objetivos.
Los Objetivos Generales de la Educación buscan el desarrollo pleno de las personas como un bien en sí mismo, formar buenos ciudadanos y mejorar sus oportunidades en la vida. Al respecto, la LGE define que "la educación es el proceso de aprendizaje permanente que abarca las distintas etapas de la vida de las personas y que tiene como finalidad alcanzar su desarrollo espiritual, ético, moral, afectivo, intelectual, artístico y físico, mediante la transmisión y el cultivo de valores, conocimientos y destrezas. Se enmarca en el respeto y valoración de los derechos humanos y de las libertades fundamentales, de la diversidad multicultural y de la paz, y de nuestra identidad nacional, capacitando a las personas para conducir su vida en forma plena, para convivir y participar en forma responsable, tolerante, solidaria, democrática y activa en la comunidad, y para trabajar y contribuir al desarrollo del país" (LGE, Art. 2º). Por tanto, los Otros Indicadores de Calidad consideran tanto aspectos del desarrollo personal como aspectos que benefician a la sociedad en su conjunto.
3. REQUISITOS QUE DEBEN CUMPLIR LOS OTROS INDICADORES DE CALIDAD EDUCATIVA
La selección de los Otros Indicadores de Calidad se ajusta al marco legal definido en el acápite anterior. Adicionalmente, deben cumplir con otros requisitos de construcción establecidos durante el proceso de elaboración de los indicadores. Los criterios y requisitos se resumen en el cuadro Nº 1.
Cuadro Nº 1. Criterios y requisitos de los Otros Indicadores de Calidad Educativa

Según la ley, los Otros Indicadores de Calidad Educativa deben contribuir al resguardo del derecho a la educación y la libertad de enseñanza, explícitamente establece que: "Los otros indicadores de calidad educativa deberán considerar, entre otros, resultados, resguardar el derecho a la educación y la libertad de enseñanza..." (ley SNAC, Art. 17).
En segundo término, la ley también establece que los indicadores seleccionados deben respetar los principios de la educación que se disponen en la LGE, explícitamente estipula que: "Los otros indicadores de calidad deberán considerar los principios establecidos en el artículo 3º de la ley Nº 20.370 General de Educación..." (ley SNAC, Art. 17). Los principios de la educación, dispuestos en la LGE, son: Universalidad y educación permanente, calidad de la educación, equidad del sistema educativo, autonomía, diversidad, responsabilidad, participación, flexibilidad, transparencia, integración, sustentabilidad y, por último, interculturalidad.
Los Otros Indicadores de Calidad Educativa deben cumplir a su vez requisitos metodológicos, es decir, deben presentar características técnicas que permitan su utilización en la Ordenación de los establecimientos. Esto se asegura mediante el uso de técnicas de construcción apropiadas y consistentes con los resultados que se espera obtener; el uso de fuentes de información confiables y oportunas; y el establecimiento de sistemas de control de la calidad técnica. En este sentido, la ley explícitamente define que las mediciones deben realizarse "mediante instrumentos y procedimientos estandarizados, válidos, confiables, objetivos y transparentes" (ley SNAC, Art. 11).
Por último, los indicadores deben movilizar a los establecimientos para que logren entregar una educación de calidad y se debe evitar que su medición genere efectos indeseados. A su vez, corresponde que sean modificables por las prácticas de gestión escolar, de modo que a los establecimientos se les pueda asignar responsabilidad por los resultados obtenidos. Y obviamente deben guardar coherencia con el resto de las políticas promovidas por el Ministerio de Educación y así impedir contradicciones y duplicación de funciones.
DEFINICIÓN
Se entenderá por Otros Indicadores de Calidad Educativa a un conjunto determinado de índices estadísticos que entregan información acerca de los resultados obtenidos por un establecimiento educacional, en relación al logro de los Objetivos Generales de la Educación Escolar, complementariamente al logro de los Estándares de Aprendizaje.
Otros Indicadores de Calidad Educativa
Los Otros Indicadores de Calidad Educativa y las dimensiones que lo conforman son:
Autoestima académica y motivación escolar
DEFINICIÓN
El indicador de autoestima académica y motivación escolar considera, por una parte, la autopercepción y la autovaloración de los estudiantes en relación a su capacidad de aprender y, por otra parte, las percepciones y actitudes que tienen los estudiantes hacia el aprendizaje y el logro académico.
Autopercepción y autovaloración académica: Incluye tanto las percepciones de los estudiantes frente a sus aptitudes, habilidades y posibilidades de superarse, como la valoración que hacen sobre sus atributos y habilidades en el ámbito académico.
Motivación escolar: Incluye las percepciones de los estudiantes respecto de su interés y disposición al aprendizaje, sus expectativas académicas y motivación al logro, y sus actitudes frente a las dificultades y la frustración en el estudio.
CONSTRUCCIÓN DEL INDICADOR
La metodología de construcción del indicador de autoestima académica y motivación escolar incluye dos etapas: La recolección de datos y el proceso de cálculo del indicador.
1. Recolección de datos
La construcción del indicador de autoestima académica y motivación escolar se basa en la información recogida de los cuestionarios SIMCE de estudiantes. Estos cuestionarios son autorreportados y se aplican en conjunto con la evaluación del SIMCE. Anualmente, los cuestionarios son revisados y ajustados para asegurar la confiabilidad y validez del instrumento para distintas poblaciones1, resguardando en el proceso su comparabilidad.
2. Cálculo del indicador
El indicador de autoestima académica y motivación escolar, al igual que los Otros Indicadores, se calcula de modo separado para el ciclo de enseñanza media y para el ciclo de enseñanza básica dado que la Ordenación también se realiza de forma independiente para cada ciclo.
El cálculo del indicador de autoestima académica y motivación escolar consta de los siguientes pasos:
2.1 Selección de preguntas para el cálculo del indicador
Se analizan las bases de datos para excluir del pool de ítems las preguntas con tasas de respuesta inferiores a un determinado porcentaje2 del total de cuestionarios contestados para asegurar la confiabilidad y validez del instrumento. El conjunto de preguntas consideradas aptas se utiliza en el siguiente paso de construcción.
2.2 Direccionamiento y reescalamiento de las preguntas del cuestionario
Se ajustan los puntajes de los ítems de manera que todos apunten en la misma dirección, independiente de la forma en la que fueron formulados.
Posteriormente se reescalan todas las respuestas en el rango de 0 a 100. Este procedimiento se aplica al pool de ítems potenciales del indicador de autoestima académica y motivación escolar, de modo que los resultados finales se encuentren en la misma escala que el resto de los Otros Indicadores de Calidad. Los valores intermedios de la escala dependerán del número de alternativas de respuesta de cada pregunta. Por ejemplo, una pregunta en base a escala Likert de nivel de acuerdo con un rango de cinco, tendrá asignado 0, 25, 50, 75 y 100 a cada alternativa de respuesta.
---------------------------------------------------------
1 Se debe asegurar la confiabilidad y validez para las distintas poblaciones: según vulnerabilidad, ruralidad, género y dependencia.
2 Este porcentaje es determinado por la Agencia de Calidad según criterios técnicos establecidos en un protocolo.
La forma genérica en que se reescala cada respuesta se describe en la fórmula Nº13, donde, dado un determinado puntaje x para un ítem i, se le resta el mínimo valor que puede tomar este, y se divide por su rango (max xi - min xi) para dejarlo entre cero y uno. Luego, se multiplica por 100 para mantener el rango definido para los Otros Indicadores de Calidad.
Fórmula Nº 1. Reescalamiento al rango 0 a 100
2.3 Análisis Factorial
Para seleccionar las preguntas definitivas del cuestionario en cada dimensión, se realiza un análisis factorial de las preguntas que permita confirmar su inclusión en las dimensiones previamente definidas. En el cuadro Nº 1 se presentan las dimensiones del indicador de autoestima académica y motivación escolar.
Cuadro Nº 1. Operacionalización del indicador según sus dimensiones: cuestionario de estudiantes
2.4 Cálculo del indicador por estudiante
Se promedian las preguntas que, de acuerdo a los resultados del análisis factorial, conforman cada dimensión. El cálculo se realiza a nivel de grado4. Las etapas para su cálculo son las siguientes (ver cuadro Nº 2):
i. Se promedian5 las respuestas de cada estudiante a
nivel de factor.
ii. Se promedian los factores de cada estudiante a nivel
de dimensión -autopercepción y autovaloración
académica, motivación escolar-.
iii. Se promedian los resultados obtenidos a nivel de
dimensión para calcular el puntaje individual en el
indicador.
Cuadro Nº 2. Cálculo del indicador por estudiante
----
------------------------------------------------------
------------------------------------------------------3 Esta fórmula genérica de reescalamiento puede variar según el avance de las técnicas de análisis de cuestionarios, siempre y cuando se resguarde la comparabilidad y la comunicabilidad del índice.
4 Para el cálculo del indicador se considerará a todos los estudiantes que contestan los cuestionarios SIMCE. Por tanto, en caso que se agreguen nuevas pruebas y/o grados de rendición, el indicador incluirá a los estudiantes correspondientes.
5 Los promedios descritos en este paso corresponden a promedios simples.
2.5 Cálculo del indicador por grado
Para el cálculo del indicador de autoestima académica y motivación escolar por grado, como lo describe la fórmula Nº 2, se suman los puntajes obtenidos en el indicador por cada estudiante y luego se divide por el total de estudiantes que contestaron el cuestionario SIMCE del grado.
Fórmula Nº 2. Cálculo del indicador por grado
Para asegurar la confiabilidad, este indicador sólo se calcula cuando se ha contestado más de un determinado porcentaje de los cuestionarios de estudiantes que rinden la prueba SIMCE por grado, el cual es definido según los criterios técnicos protocolizados por la Agencia de Calidad.
2.6 Cálculo del indicador por ciclo del establecimiento
Para calcular el indicador de autoestima académica y motivación escolar por ciclo, es necesario agregar los resultados del indicador por grado. Al realizar esta agregación se calcula un promedio ponderado en función de los estudiantes que han rendido el SIMCE en cada grado con el fin de que el indicador final refleje debidamente la distribución de los estudiantes.
Los detalles sobre cómo será ponderado y agregado este indicador para calcular el índice de Ordenación de los establecimientos corresponde a la metodología de ordenación elaborada por la Agencia de Calidad.
Clima de convivencia escolar
DEFINICIÓN
El indicador de clima de convivencia escolar considera las percepciones y las actitudes que tienen los estudiantes, docentes, y padres y apoderados con respecto a la presencia de un ambiente de respeto, organizado y seguro en el establecimiento.
Ambiente de respeto: considera las percepciones y las actitudes que tienen los estudiantes, docentes, y padres y apoderados en relación al trato respetuoso entre los miembros de la comunidad educativa, la valoración de la diversidad y la ausencia de discriminación que existe en el establecimiento. Además, considera las percepciones respecto al cuidado del establecimiento y el respeto al entorno de parte de los estudiantes.
Ambiente organizado: considera las percepciones que tienen los estudiantes, docentes, y padres y apoderados sobre la existencia de normas claras, conocidas, exigidas y respetadas por todos, y el predominio de mecanismos constructivos de resolución de conflictos. Además, considera las actitudes que tienen los estudiantes frente a las normas de convivencia y su transgresión.
Ambiente seguro: considera las percepciones que tienen los estudiantes, docentes, y padres y apoderados en relación al grado de seguridad y de violencia física y psicológica al interior del establecimiento, así como a la existencia de mecanismos de prevención y de acción ante esta. Además, considera las actitudes que tienen los estudiantes frente al acoso escolar y a los factores que afecten su integridad física o psicológica.
CONSTRUCCIÓN DEL INDICADOR
La metodología de construcción del indicador de clima de convivencia escolar incluye dos etapas: la recolección de datos y el proceso de cálculo del indicador.
1. Recolección de datos
La construcción del indicador de clima de convivencia escolar se basa en la información recogida de los cuestionarios SIMCE de estudiantes, de docentes y de padres y apoderados. Estos cuestionarios son autorreportados y se aplican en conjunto con la evaluación del SIMCE. Anualmente los cuestionarios son revisados y ajustados para asegurar la confiabilidad y validez del instrumento para distintas poblaciones6, resguardando en el proceso su comparabilidad.
2. Cálculo del indicador
El proceso de cálculo del indicador de clima de convivencia escolar por ciclo del establecimiento consta de los siguientes pasos:
2.1 Selección de preguntas para el cálculo del indicador
Se analizan las bases de datos para excluir del pool de ítems las preguntas con tasas de respuesta inferiores a un determinado porcentaje7 del total de cuestionarios contestados para asegurar la confiabilidad y validez del instrumento. El conjunto de preguntas consideradas aptas se utiliza en el siguiente paso de construcción.
2.2 Direccionamiento y reescalamiento de las preguntas del cuestionario
Se ajustan los puntajes de los ítems de manera que todos apunten en la misma dirección, independiente de la forma en la que fueron formulados.
Posteriormente se reescalan todas las respuestas en el rango de 0 a 100. Este procedimiento se aplica al pool de ítems potenciales del indicador de clima de convivencia escolar, de modo que los resultados finales se encuentren en la misma escala que el resto de los Otros Indicadores de Calidad. Los valores intermedios de la escala dependerán del número de alternativas de respuesta de cada pregunta. Por ejemplo, una pregunta en base a escala Likert de nivel de acuerdo con un rango de cinco, tendrá asignado 0, 25, 50, 75 y 100 a cada alternativa de respuesta.
La forma genérica en que se reescala cada respuesta se describe en la fórmula Nº 18, donde dado un determinado puntaje x para un ítem i, se le resta el mínimo valor que puede tomar este, y se divide por su rango (max xi - min xi) para dejarlo entre cero y uno. Luego, se multiplica por 100 para mantener el rango definido para los Otros Indicadores de Calidad.
Fórmula Nº 1. Reescalamiento al rango 0 a 100
2.3 Análisis Factorial
Para seleccionar las preguntas definitivas del cuestionario en cada dimensión, se realiza un análisis factorial de las preguntas que permita confirmar su inclusión en las dimensiones previamente definidas. En los cuadros Nº 1, Nº 2 y Nº 3 se presentan las dimensiones del indicador de clima de convivencia escolar, según se trate de respuestas de estudiantes, de docentes o de padres y apoderados.
Cuadro Nº 1. Operacionalización del indicador según sus dimensiones: cuestionarios de estudiantes
----
-------------------------------------------------
-------------------------------------------------6 Se debe asegurar la confiabilidad y validez para las distintas poblaciones: según vulnerabilidad, ruralidad, género y dependencia.
7 Este porcentaje es determinado por la Agencia de Calidad, según criterios técnicos establecidos en un protocolo.
8 Esta fórmula genérica de reescalamiento puede variar según el avance de las técnicas de análisis de cuestionarios, siempre y cuando se resguarde la comparabilidad y la comunicabilidad del índice.
Cuadro Nº 2. Operacionalización del indicador según sus dimensiones: cuestionarios de docentes
Cuadro Nº 3. Operacionalización del indicador según sus dimensiones: cuestionarios de padres y apoderados
2.4 Cálculo del indicador para estudiantes, docentes, padres y apoderados
Se promedian las preguntas que, de acuerdo a los resultados del análisis factorial, conforman cada dimensión. El cálculo se realiza a nivel de grado, diferenciando los resultados de los cuestionarios de los estudiantes, de los docentes y de los de padres y apoderados9.
Las etapas para su cálculo son las siguientes (ver cuadro Nº 4):
i. Se promedian10 las respuestas de cada estudiante,
docente, y padres y apoderados a nivel de factor.
ii. Se promedian los factores de cada estudiante,
docente, y padres y apoderados a nivel de
dimensión -ambiente de respeto, ambiente organizado,
ambiente seguro-.
iii. Se promedian los resultados obtenidos a nivel de
dimensiones para calcular el puntaje individual
en el indicador.
Cuadro Nº 4. Cálculo del indicador para estudiantes11
Por lo tanto, para el cálculo del indicador de clima de convivencia escolar, en el caso de los estudiantes se suman los puntajes obtenidos en el indicador por cada uno y luego se divide por el total de estudiantes que contestaron el cuestionario SIMCE del grado, tal como lo describe la fórmula Nº 2.
-----------------------------------------------------------
9 En caso que se agreguen nuevas pruebas y/o grados de rendición, el indicador incluirá las respuestas de los cuestionarios de estudiantes, docentes, y padres y apoderados, correspondientes.
10 Los promedios descritos en este paso corresponden a promedios simples.
11 Los cuestionarios de docentes y padres y apoderados siguen esta misma lógica.
Fórmula Nº 2. Cálculo del indicador para estudiantes
Este procedimiento es equivalente para el cálculo del indicador para docentes y para padres y apoderados, tal como se describe en las fórmulas Nº 3 y Nº 4, respectivamente.
Fórmula Nº 3. Cálculo del indicador para docentes
Fórmula Nº 4. Cálculo del indicador para padres y apoderados
2.5 Cálculo del indicador por grado
Para el cálculo del indicador de clima de convivencia escolar por grado, se requiere agregar las respuestas de estudiantes con las de docentes y con las de padres y apoderados ponderados de manera diferenciada, tal como se observan en la fórmula Nº 5.
Fórmula Nº 5. Agregación de resultados de estudiantes, docentes, y padres y apoderados
Para asegurar la confiabilidad, este indicador sólo se calcula cuando se ha respondido más de un determinado porcentaje de los cuestionarios de estudiantes que rinden la prueba SIMCE por grado o de sus respectivos padres y apoderados. Este porcentaje es definido por la Agencia de Calidad según criterios técnicos estipulados en un protocolo.
2.6 Cálculo del indicador por ciclo del establecimiento
Para calcular el indicador de clima de convivencia escolar por ciclo, es necesario agregar los resultados del indicador por grado. Al realizar esta agregación se calcula un promedio ponderado en función de los estudiantes que han rendido el SIMCE en cada grado con el fin de que el indicador final refleje debidamente la distribución de los estudiantes.
Los detalles sobre cómo será ponderado y agregado este indicador para calcular el índice de Ordenación de los establecimientos corresponde a la metodología de Ordenación elaborada por la Agencia de Calidad.
Participación y formación ciudadana
DEFINICIÓN
El indicador de participación y formación ciudadana considera las actitudes de los estudiantes frente a su establecimiento; las percepciones de estudiantes, y padres y apoderados sobre el grado en que la institución fomenta la participación y el compromiso de los miembros de la comunidad educativa; y las percepciones de los estudiantes sobre el grado en que se promueve la vida democrática.
Se consideran las siguientes dimensiones:
Sentido de pertenencia: considera la identificación de los estudiantes con el establecimiento y el orgullo que sienten de pertenecer a él. Se evalúa el grado en que los estudiantes se identifican con el Proyecto Educativo promovido por el establecimiento, se consideran parte de la comunidad escolar y se sienten orgullosos de los logros obtenidos por la institución.
Participación: considera las percepciones de los estudiantes, padres y apoderados sobre las oportunidades de encuentro y espacios de colaboración promovidos por el establecimiento, el grado de compromiso e involucramiento de los miembros de la comunidad educativa en ambas instancias, la comunicación que existe desde el establecimiento hacia los padres y apoderados, y la recepción de inquietudes y sugerencias de parte del equipo directivo y docente.
Vida democrática: considera las percepciones que tienen los estudiantes sobre el grado en que el establecimiento fomenta el desarrollo de habilidades y actitudes necesarias para la vida en democracia. Se incluye la expresión de opiniones, el debate fundamentado y reflexivo, la valoración y respeto hacia las opiniones de los otros, la deliberación como mecanismo para encontrar soluciones, la participación, y la organización de procesos de representación y votación democrática.
CONSTRUCCIÓN DEL INDICADOR
La metodología de construcción del indicador de participación y formación ciudadana incluye dos etapas: la recolección de datos y el proceso de cálculo del indicador.
1. Recolección de datos
La construcción del indicador de participación y formación ciudadana se basa en la información recogida de los cuestionarios SIMCE de estudiantes, y de padres y apoderados. Estos cuestionarios son autorreportados y se aplican en conjunto con la evaluación del SIMCE. Anualmente, los cuestionarios son revisados y ajustados para asegurar la confiabilidad y validez del instrumento para distintas poblaciones12, resguardando en el proceso su comparabilidad.
2. Cálculo del indicador
El proceso de cálculo del indicador de participación y formación ciudadana por ciclo del establecimiento, consta de los siguientes pasos:
-------------------------------------------------------
12 Se debe asegurar la confiabilidad y validez para las distintas poblaciones: según vulnerabilidad, ruralidad, género y dependencia.
2.1 Selección de preguntas para el cálculo del indicador
Se analizan las bases de datos para excluir del pool de ítems las preguntas con tasas de respuesta inferiores a un determinado porcentaje13 del total de cuestionarios contestados para asegurar confiabilidad y validez del instrumento. El conjunto de preguntas consideradas aptas se utiliza en el siguiente paso de construcción.
2.2 Direccionamiento y reescalamiento de las preguntas del cuestionario
Se ajustan los puntajes de los ítems de manera que todos apunten en la misma dirección, independiente de la forma en la que fueron formulados.
Posteriormente se reescalan todas las respuestas en el rango de 0 a 100. Este procedimiento se aplica al pool de ítems potenciales del indicador de participación y formación ciudadana, de modo que los resultados finales se encuentren en la misma escala que el resto de los Otros Indicadores de Calidad. Los valores intermedios de la escala dependerán del número de alternativas de respuesta de cada pregunta. Por ejemplo, una pregunta en base a escala Likert de nivel de acuerdo con un rango de cinco, tendrá asignado 0, 25, 50, 75 y 100 a cada alternativa de respuesta.
La forma genérica en que se reescala cada respuesta se describe en la fórmula Nº 114, donde, dado un determinado puntaje x para un ítem i, se le resta el mínimo valor que puede tomar este, y se divide por su rango (max xi - min xi) para dejarlo entre cero y uno. Luego, se multiplica por 100 para mantener el rango definido para los Otros Indicadores de Calidad.
Fórmula Nº 1. Reescalamiento al rango 0 a 100
2.3 Análisis Factorial
Para seleccionar las preguntas definitivas del cuestionario en cada dimensión, se realiza un análisis factorial de las preguntas que permita confirmar su inclusión en las dimensiones previamente definidas. En los cuadros Nº 1 y Nº 2 se presentan las dimensiones del indicador de participación y formación ciudadana, según se trate de respuestas de estudiantes o de padres y apoderados.
Cuadro Nº 1. Operacionalización del indicador según sus dimensiones: cuestionarios de estudiantes
Cuadro Nº 2. Operacionalización del indicador según sus dimensiones: cuestionarios de padres y apoderados
----
--
--13 Este porcentaje es determinado por la Agencia de Calidad, según los criterios técnicos establecidos en un protocolo.
14 Esta fórmula genérica de reescalamiento puede variar según el avance de las técnicas de análisis de cuestionarios, siempre y cuando se resguarde la comparabilidad y la comunicabilidad del índice.
2.4 Cálculo del indicador para estudiantes, padres y apoderados
Se promedian las preguntas que, de acuerdo a los resultados del análisis factorial, conforman cada dimensión. El cálculo se realiza a nivel de grado, diferenciando los resultados de los cuestionarios de los estudiantes, de aquellos de los de padres y apoderados15.
Las etapas para su cálculo son las siguientes (ver cuadro Nº 3).
i. Se promedian16 las respuestas de cada estudiante, y padre y apoderado a nivel de factor.
ii. Se promedian los factores de cada estudiante, padre y apoderado a nivel de dimensión -sentido de pertenencia, participación, vida democrática-.
iii. Se promedian los resultados obtenidos a nivel de dimensiones para calcular el puntaje individual en el indicador.
Cuadro Nº 3. Cálculo del indicador para estudiantes17
Por lo tanto, para el cálculo del indicador de participación y formación ciudadana en el caso de los estudiantes se suman los puntajes obtenidos en el indicador por cada estudiante y luego se divide por el total de estudiantes que contestaron el cuestionario SIMCE del grado, tal como lo describe la fórmula Nº 2.
Fórmula Nº 2. Cálculo del indicador para estudiantes
Este procedimiento es equivalente para el cálculo del indicador para padres y apoderados, tal como se describe en la fórmula Nº 3.
Fórmula Nº 3. Cálculo del indicador para padres y apoderados

----------------------------------------------------
15 En caso que se agreguen nuevas pruebas y/o grados de rendición, el indicador incluirá las respuestas de los cuestionarios de estudiantes, y padres y apoderados, correspondientes.
16 Los promedios descritos en este paso corresponden a promedios simples.
17 Los cuestionarios de padres y apoderados siguen esta misma lógica.
2.5 Cálculo del indicador por grado
Para el cálculo del indicador de participación y formación ciudadana por grado, se requiere agregar las respuestas de estudiantes con las de padres y apoderados, ponderadas por partes iguales, tal como se observan en la fórmula Nº 4.
Fórmula Nº 4. Agregación de resultados de estudiantes y padres y apoderados
Para asegurar la confiabilidad, este indicador sólo se calcula cuando se ha contestado más de un determinado porcentaje de los cuestionarios de estudiantes que rinden la prueba SIMCE por grado o de sus respectivos padres y apoderados. Este porcentaje es definido por la Agencia de Calidad según criterios técnicos estipulados en un protocolo.
2.6 Cálculo del indicador por ciclo del establecimiento
Para calcular el indicador de participación y formación ciudadana por ciclo, es necesario agregar los resultados del indicador por grado. Al realizar esta agregación se calcula un promedio ponderado en función de los estudiantes que han rendido SIMCE en cada grado con el fin de que el indicador final refleje debidamente la distribución de los estudiantes.
Los detalles sobre cómo será ponderado y agregado este indicador para calcular el índice de Ordenación de los establecimientos, corresponde a la metodología de Ordenación elaborada por la Agencia de Calidad.
Hábitos de vida saludable
DEFINICIÓN
El indicador de hábitos de vida saludable evalúa las actitudes y conductas autodeclaradas de los estudiantes en relación a la vida saludable y sus percepciones sobre el grado en que el establecimiento promueve hábitos beneficiosos para la salud.
Se consideran las siguientes dimensiones:
Hábitos alimenticios: considera las actitudes y las conductas autodeclaradas de los estudiantes hacia la alimentación. A su vez, considera sus percepciones sobre el grado en que el establecimiento promueve hábitos de alimentación sana.
Hábitos de vida activa: considera las actitudes y las conductas autodeclaradas de los estudiantes hacia un estilo de vida activo. A su vez, considera sus percepciones sobre el grado en que el establecimiento fomenta la actividad física.
Hábitos de autocuidado: considera las actitudes y las conductas autodeclaradas de los estudiantes ante la sexualidad, el consumo de tabaco, alcohol y drogas. A su vez, considera sus percepciones sobre el grado en que el establecimiento previene conductas de riesgo y promueve conductas de autocuidado e higiene.
CONSTRUCCIÓN DEL INDICADOR
La metodología de construcción del indicador de hábitos de vida saludable incluye dos etapas: la recolección de datos y el proceso de cálculo del indicador.
1. Recolección de datos
La construcción del indicador de hábitos de vida saludable se basa en la información recogida de los cuestionarios SIMCE de estudiantes. Estos cuestionarios son autorreportados y se aplican en conjunto con la evaluación del SIMCE. Anualmente, los cuestionarios son revisados y ajustados para asegurar la confiabilidad y validez del instrumento para distintas poblaciones18, resguardando en el proceso su comparabilidad.
2. Cálculo del indicador
El proceso de cálculo del indicador de hábitos de vida saludable por ciclo del establecimiento consta de los siguientes pasos:
2.1 Selección de preguntas para el cálculo del indicador
Se analizan las bases de datos para excluir del pool de ítems las preguntas con tasas de respuesta inferiores a un determinado porcentaje19 del total de cuestionarios contestados para asegurar la confiabilidad y validez del instrumento. El conjunto de preguntas consideradas aptas se utiliza en el siguiente paso de construcción.
2.2 Direccionamiento y reescalamiento de las preguntas del cuestionario
Se ajustan los puntajes de los ítems de manera que todos apunten en la misma dirección, independiente de la forma en la que fueron formulados. Por ejemplo, en el caso de una pregunta formulada en sentido negativo se invierte la puntuación de la escala para ajustarla a las preguntas formuladas en sentido positivo.
Posteriormente se reescalan todas las respuestas en el rango de 0 a 100. Este procedimiento se aplica al pool de ítems potenciales del indicador de hábitos de vida saludable, de modo que los resultados finales se encuentren en la misma escala que el resto de los Otros Indicadores de Calidad. Los valores intermedios de la escala dependerán del número de alternativas de respuesta de cada pregunta. Por ejemplo, una pregunta en base a una escala Likert de nivel de acuerdo con un rango de cinco, tendrá asignado 0, 25, 50, 75 y 100 a cada alternativa de respuesta.
La forma genérica en que se reescala cada respuesta se describe en la fórmula Nº 120, donde, dado un determinado puntaje x para un ítem i, se le resta el mínimo valor que puede tomar este, y se divide por su rango (max xi - min xi) para dejarlo entre cero y uno. Luego, se multiplica por 100 para mantener el rango definido para los Otros Indicadores de Calidad.
Fórmula Nº 1. Reescalamiento al rango 0 a 100
2.3 Análisis Factorial
Para seleccionar las preguntas definitivas del cuestionario en cada dimensión, se realiza un análisis factorial de las preguntas que permita confirmar su inclusión en las dimensiones definidas previamente. En el cuadro Nº 1 se presentan las dimensiones del indicador de hábitos de vida saludable.
-----------------------------------------------------------
18 Se debe asegurar la confiabilidad y validez para las distintas poblaciones: según vulnerabilidad, ruralidad, género y dependencia.
19 Este porcentaje es determinado por la Agencia de Calidad, según criterios técnicos establecidos en un protocolo.
20 Esta fórmula genérica de reescalamiento puede variar según el avance de las técnicas de análisis de cuestionarios, siempre y cuando se resguarde la comparabilidad y la comunicabilidad del índice.
Cuadro Nº 1. Operacionalización del indicador según sus dimensiones: cuestionarios de estudiantes
2.4 Cálculo del indicador por estudiante
Se promedian las preguntas que, de acuerdo a los resultados del análisis factorial, conforman cada dimensión. El cálculo se realiza a nivel de grado21. Las etapas descritas en el cuadro Nº 2 son las siguientes:
i. Se promedian22 las respuestas de cada estudiante a
nivel de factor.
ii. Se promedian los factores de cada estudiante a nivel
de dimensión -hábitos alimentarios, hábitos de vida
activa, hábitos de autocuidado-.
iii. Se promedian los resultados obtenidos a nivel de
dimensiones para calcular el puntaje individual en
el indicador.
Cuadro Nº 2. Cálculo del indicador por grado
2.5 Cálculo del indicador por grado
Para el cálculo del indicador de hábitos de vida saludable por grado, como lo describe la fórmula Nº 2, se suman los puntajes obtenidos en el indicador por cada alumno y luego se divide por el total de estudiantes que contestaron el cuestionario SIMCE del grado.
Fórmula Nº 2. Cálculo del indicador por grado
Para asegurar la confiabilidad, este indicador sólo se calcula cuando se ha contestado más de un determinado porcentaje de los cuestionarios de estudiantes que rinden la prueba SIMCE por grado, el cual es definido según los criterios técnicos protocolizados por la Agencia de Calidad.
------------------------------------------------------
21 En caso que se agreguen nuevas pruebas y/o grados de rendición, el indicador incluirá las respuestas de los nuevos cuestionarios de estudiantes.
22 Los promedios descritos en este paso corresponden a promedios simples.
2.6 Cálculo del indicador por ciclo del establecimiento
Para calcular el indicador de hábitos de vida saludable por ciclo, es necesario agregar los resultados del indicador por grado. Al realizar esta agregación se calcula un promedio ponderado en función de los estudiantes que han rendido el SIMCE en cada grado con el fin de que el indicador final refleje debidamente la distribución de los estudiantes.
Los detalles sobre cómo será ponderado y agregado este indicador para calcular el índice de Ordenación de los establecimientos corresponde a la metodología de Ordenación elaborada por la Agencia de Calidad.
Asistencia Escolar
DEFINICIÓN
El indicador de asistencia escolar considera la distribución de los estudiantes según cuatro categorías elaboradas en base al número de días que un estudiante asiste a clases, en relación al total de jornadas escolares oficiales de un año. Se distinguen:
Asistencia destacada: corresponde a la alcanzada por los estudiantes que asisten a un 97% o más del total de jornadas escolares oficiales de un año.
Asistencia normal: corresponde a la alcanzada por los estudiantes que asisten a más de un 90% del total de las jornadas escolares oficiales de un año y a menos de un 97% de estas.
Inasistencia reiterada: corresponde a la alcanzada por los estudiantes que asisten a más de un 85% del total de las jornadas escolares oficiales de un año y a un 90% o menos del total de jornadas escolares oficiales de un año.
Inasistencia grave: corresponde a la alcanzada por los estudiantes que asisten a sólo un 85% o menos del total de jornadas escolares oficiales de un año.
En esta definición se considera inasistencia toda ausencia, justificada o injustificada, de un estudiante a su establecimiento educacional.
CONSTRUCCIÓN DEL INDICADOR
La metodología de construcción del indicador de asistencia escolar incluye dos etapas: la recolección de datos y el proceso de cálculo del indicador.
1. Recolección de datos
La construcción del indicador de asistencia escolar se basa en la información recogida en el Acta de Registro de Calificaciones Finales y Promoción Escolar, que corresponde al reporte oficial de asistencia de los estudiantes matriculados en cada establecimiento según el Sistema de Información General de Estudiantes (SIGE); u otro sistema de registro fijado por el Ministerio de Educación que sea válido, confiable y abarque todos los establecimientos del país.
2. Cálculo del indicador
El proceso de cálculo del indicador de asistencia escolar por ciclo del establecimiento consta de los siguientes pasos:
2.1 Cálculo del indicador por estudiante
Para calcular el indicador de asistencia escolar primero es necesario calcular la tasa de asistencia anual de cada estudiante que corresponde a la razón entre el número de días asistidos y la cantidad de días totales del año escolar. En este cálculo se incluyen solamente los estudiantes que rinden las pruebas SIMCE. A partir de este resultado se le asigna un puntaje a cada estudiante con el cual es clasificado en una de las cuatro categorías de asistencia anteriormente descritas: Asistencia destacada, asistencia regular, inasistencia reiterada e inasistencia grave.
Con el fin de mantener la escala utilizada para los otros indicadores, los puntajes asignados van de 0 a 100 puntos. Los alumnos pertenecientes a la categoría inasistencia grave reciben cero puntos, los con inasistencia reiterada reciben 30 puntos, los con asistencia normal 70 puntos y los con asistencia destacada 100 puntos.
En la tabla Nº 1 se mencionan estas cuatro categorías, según los porcentajes de asistencia correspondiente, además del puntaje asignado a cada estudiante por categoría.
Tabla Nº 1. Categorías según porcentaje de asistencia por estudiante y puntajes asociados
2.2 Cálculo del indicador por grado
Para el cálculo del indicador de asistencia por grado, tal como describe la fórmula Nº 1, se suman los puntajes de cada estudiante y luego se divide por el total de estudiantes del grado. Es decir, se saca un promedio de los puntajes de los estudiantes que rinden las pruebas SIMCE en un determinado grado.
Fórmula Nº 1. Agregación por estudiante
2.3 Cálculo del indicador por ciclo del establecimiento
Para calcular el indicador de asistencia escolar por ciclo es necesario agregar el indicador de asistencia escolar por grado. Al realizar esta agregación se calcula un promedio ponderado en función de los estudiantes que han rendido el SIMCE en cada grado con el fin de que el indicador final refleje debidamente la distribución de los estudiantes.
Los detalles sobre cómo será ponderado y agregado este indicador para calcular el índice de Ordenación de los establecimientos corresponde a la metodología de Ordenación elaborada por la Agencia de Calidad.
Permanencia escolarDecreto 171,
EDUCACIÓN
Articulo primero N° 2
D.O. 03.02.2026
EDUCACIÓN
Articulo primero N° 2
D.O. 03.02.2026
DEFINICIÓN
El indicador de Permanencia escolar considera la capacidad de un establecimiento educacional para lograr la continuidad de las trayectorias educativas de sus estudiantes en el sistema de educación formal.
El indicador evalúa el porcentaje de estudiantes por establecimiento que permanece en el sistema escolar durante un año determinado, definiendo a este grupo como aquellas y aquellos estudiantes matriculados, menos los que son desvinculados en un determinado establecimiento.
Para que un estudiante se considere desvinculada(o), se debe cumplir con la siguiente condición:
. Un estudiante se considera desvinculada(o) si, luego de estar matriculado en un establecimiento, no aparece en los registros escolares(1) por dos años consecutivos, no termina un año escolar y no se matricula en todo el año siguiente.
. Se resguarda que la no aparición en los registros escolares no sea atribuible a situaciones que no impliquen desvinculación, tales como fallecimiento, cambio de número de identificador, salida del país, entre otras causas.
Para que la desvinculación de una o un estudiante sea atribuible a un establecimiento se deben cumplir las siguientes condiciones:
. La desvinculación es atribuible solo al último establecimiento en que estuvo matriculado(a).
. La desvinculación es atribuible a un establecimiento solo si ha cursado al menos un año
completo en éste.
CONSTRUCCIÓN DEL INDICADOR
La metodología de construcción del indicador de Permanencia escolar incluye dos etapas: la
CONSTRUCCIÓN DEL INDICADOR
La metodología de construcción del indicador de Permanencia escolar incluye dos etapas: la recolección de datos y el proceso de cálculo del indicador.
1. Recolección de datos
La construcción del indicador de Permanencia escolar se basa en la información anual reportada por el Sistema de Información General de Estudiantes (SIGE) sobre la permanencia de las y los estudiantes en el sistema escolar. Esta plataforma entrega información individual de quienes han cursado o abandonado el sistema escolar durante un determinado año.
Adicionalmente, se debe incluir información que permita el seguimiento de las y los estudiantes. Esta información debe provenir de fuentes confiables y objetivas, ser estandarizada y estar disponible para todos los establecimientos. Algunas posibles fuentes de información son bases de datos del Registro Civil e Identificación que registran estudiantes fallecidos, de la Policía de Investigaciones de Chile con estudiantes que han abandonado el país, y el seguimiento del id provisional del Mineduc, entre otras variables.
2. Cálculo del indicador
El indicador de Permanencia escolar se calcula de modo separado para Educación Básica y para Educación Media, dado que la Ordenación también se realiza de forma independiente para cada nivel educacional.
____________
(1) Los registros escolares incluyen Educación parvularia, Educación básica, Educación media (científico-humanista, técnico-profesional y educación artística), Educación de personas jóvenes y adultas, Escuelas y Aulas hospitalarias y Educación especial.
Para calcular el indicador de Permanencia escolar de cada nivel educacional se deben usar los siguientes criterios:
- El indicador debe calcularse en una escala de 0 a 100 puntos, en la que 100 puntos representan el nivel más alto de permanencia escolar. Al construir la escala se debe resguardar la comparabilidad de ésta con los años anteriores.
- Los análisis estadísticos deben realizarse usando técnicas que permitan obtener resultados válidos y confiables. Estás técnicas serán definidas según los criterios técnicos protocolizados por la Agencia de Calidad, resguardando la comparabilidad con los resultados de años anteriores.
El cálculo del indicador de Permanencia escolar consta de los siguientes pasos:
2.1 Cálculo del indicador por nivel educacional del establecimiento
El indicador de Permanencia escolar se calcula tomando en cuenta a todos los estudiantes de un establecimiento.
Además, el indicador de permanencia se debe calcular para cada nivel educacional del establecimiento, sin necesidad de calcular primero el indicador por curso.
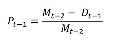
Para calcular el indicador de Permanencia escolar, primero es necesario calcular la tasa de permanencia por nivel educacional del establecimiento. La tasa de permanencia corresponde, como se describe en la Fórmula N° 1, a la proporción de estudiantes que, matriculadas(os) en un determinado establecimiento para un año dado, no se han desvinculado según lo estipulado en las condiciones antes descritas.
Fórmula N° 1. Cálculo de la tasa de Permanencia por nivel educacional del establecimiento(²)
____________________________________________
Pt-1: Tasa de permanecia en el año t-1
Mt-2: Número de estudiantes matriculadas(os) en t-2
Dt-1: Desvinculadas (os) en el año t-1
____________________________________________
2.2 Reescalamiento del indicador
La tasa de Permanencia corresponde al porcentaje de estudiantes que permanecen en un establecimiento; sin embargo, para este indicador la fórmula estandariza los valores originales para alcanzar una dispersión mayor y, de esta forma, discriminar mejor entre establecimientos con distintos niveles de permanencia.
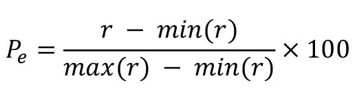
El modo de calcular el indicador se describe en la Fórmula N° 2, donde r corresponde al valor original de permanencia de cada establecimiento, y min(r) y max(r) corresponden al índice de permanencia mínimo y máximo, respectivamente, entre los establecimientos. Ambos valores quedarán fijos el primer año de medición, para permitir la comparabilidad en el tiempo. Así, por ejemplo, un establecimiento con permanencia similar a la tasa mínima del sistema tendrá un indicador cercano a 0, y un establecimiento con la tasa máxima del sistema tendrá un indicador de 100.
____________
(2) El cálculo del indicador de Permanencia escolar tiene un desfase de un año, pues es necesario aguardar un año completo para comprobar si un alumno es efectivamente desvinculado.
Fórmula N° 2 Reescalamiento(3)
____________________________________________

Pe : Indicador de Permanencia escolar reescalada, por nivel educacional de establecimiento
r: Valor original de permanencia de cada establecimiento
min(r): Tasa de permanencia mínima de los establecimientos
max(r): Tasa de permanencia máxima de los establecimientos
____________________________________________
Los detalles sobre cómo será ponderado y agregado este indicador para calcular el índice de Ordenación de los establecimientos, corresponden a la metodología de Ordenación elaborada por la Agencia de Calidad.
Equidad de género en aprendizajesDecreto 171,
EDUCACIÓN
Artículo primero N° 3
D.O. 03.02.2026
EDUCACIÓN
Artículo primero N° 3
D.O. 03.02.2026
DEFINICIÓN
El indicador de Equidad de género en aprendizajes evalúa el logro equitativo de resultados de aprendizaje obtenidos por mujeres y hombres en establecimientos mixtos.
Se estima mediante el cálculo de la brecha entre los promedios que obtienen hombres y mujeres en las pruebas Simce de Lectura y Matemática, considerando la tendencia de la brecha durante los últimos tres años.
CONSTRUCCIÓN DEL INDICADOR
La metodología de construcción del indicador de Equidad de género en aprendizajes incluye dos etapas: la recolección de datos y el proceso de cálculo del indicador.
1. Recolección de datos
La información para la construcción del indicador de equidad de género en aprendizajes se obtiene de los resultados de las pruebas Simce de cada año, para todos los cursos evaluados en las pruebas de Lectura y Matemática.
El indicador se calcula sólo para establecimientos que cumplan con dos condiciones. Primero, que tengan matrícula mixta (hombres y mujeres). Segundo, sólo se consideran los establecimientos que tienen, como mínimo, cuatro casos válidos de hombres y de mujeres en cada prueba Simce considerada(4). Lo anterior se debe a que se requieren al menos cuatro pruebas para hombres y cuatro para mujeres, con el fin de resguardar la confiabilidad de la medición del indicador.
2. Cálculo del indicador
El indicador de equidad de género en aprendizajes se calcula de modo separado para Educación Básica y para Educación Media, pues la Ordenación también se realiza de forma independiente para cada nivel educacional.
Para calcular el indicador de Equidad de género en aprendizajes por nivel educacional del establecimiento, es necesario cuantificar las brechas entre los puntajes que obtienen mujeres y hombres de cada establecimiento en las pruebas Simce de Matemática y Lectura. Se incluyen brechas obtenidas en tres años consecutivos, que se ponderan para considerar si la trayectoria del establecimiento tiende a la disminución o al aumento de las brechas de género.
Para calcular el indicador de Equidad de género en aprendizajes de cada nivel educacional se deben usar los siguientes criterios:
- El indicador debe calcularse en una escala de 0 a 100 puntos, en la que 100 puntos representan la ausencia de brecha en los aprendizajes entre hombres y mujeres. Al construir la escala se debe resguardar la comparabilidad de ésta con los años anteriores.
- Los análisis estadísticos deben realizarse usando técnicas que permitan obtener resultados válidos y confiables. Estas técnicas serán definidas según los criterios técnicos protocolizados por la Agencia de Calidad, resguardando la comparabilidad con los resultados de años anteriores.
____________
(3) Para calcular el mínimo y el máximo se eliminan el 1% de peor distribución y el 1% de mejor distribución, de forma de excluir los casos extremos.
(4) Las pruebas Simce consideradas para este efecto corresponden a evaluaciones rendidas en una asignatura, curso y año determinado.
El cálculo del indicador de Equidad de género, en aprendizajes para cada nivel educacional del establecimiento, consta de los siguientes pasos:
2.1. Cálculo de la brecha ajustada por establecimiento en prueba Simce de Lectura y Matemática por curso para cada año que se utiliza en el indicador.
Para la construcción del indicador de Equidad de género en aprendizajes se debe partir por el cálculo directo de la brecha entre puntajes de mujeres y hombres, para cada asignatura y en cada curso en cada uno de los tres años incluidos en el indicador. Para esto, se calculan los promedios obtenidos en la prueba Simce respectiva por las mujeres y los hombres del establecimiento.
La brecha se define como la diferencia entre los resultados promedio obtenidos por mujeres y por hombres, como se especifica en la Fórmula N° 1. Este procedimiento se realiza por separado en las pruebas de Lectura y Matemática para cada curso en el que se evalúan estas asignaturas.
Fórmula N° 1. Brecha de resultados entre mujeres y hombres por asignatura y curso para un año
____________________________________________
Brecha = X - M XH
XM : Promedio en la prueba Simce de las mujeres de un establecimiento.
XH : Promedio en la prueba Simce de los hombres de un establecimiento.
____________________________________________
Posteriormente, para cada año por separado, se calcula la brecha ajustada por cada asignatura y cada curso, lo que implica realizar una corrección a la brecha directa considerando el tamaño de los grupos comparados y la desviación estándar de los puntajes Simce obtenidos por aquellos, como se especifica en la Fórmula N° 2.
Fórmula N° 2. Brecha ajustada de resultados entre mujeres y hombres por asignatura
y curso para un año
____________________________________________

____________________________________________
2.2. Cálculo de la brecha ajustada por curso
Para calcular la brecha ajustada para un determinado curso se deben hacer las agregaciones de las brechas, primero por año y luego por asignatura.
En primer lugar, para cada establecimiento se calcula la brecha ponderada en cada asignatura de un curso, considerando el comportamiento de las brechas de los últimos tres años. Para ello, se ponderan las brechas por año asignando un mayor peso al último, por ser considerado el más relevante en la trayectoria, como se muestra en la Fórmula N° 3. Se debe realizar este proceso por separado para cada curso y prueba del establecimiento.
Fórmula N° 3. Cálculo de brecha ponderada(5)
____________________________________________

Año 3: Última aplicación Simce
Año 2: Año anterior a la última aplicación Simce
Año 1: Dos años anteriores a la última aplicación Simce
____________________________________________
Posteriormente, se calcula la brecha para cada curso agregando las brechas ponderadas obtenidas para Lectura y Matemática en un curso. Para tomar en consideración que en un curso de un establecimiento pueden observarse brechas a favor de hombres o de mujeres, dependiendo de la asignatura. Para obtener la brecha-curso se calcula el promedio simple del valor absoluto de las brechas ponderadas para cada asignatura, como se muestra en la Fórmula N° 4.
Fórmula N° 4. Cálculo de Brecha Curso
____________________________________________

____________________________________________
2.3. Reescalamiento
Para ser consistente con los otros indicadores, se lleva la brecha por curso a una escala de 0 a 100. Para ello se debe invertir la escala, de modo que la ausencia de brecha corresponda a 100 puntos. Además, para que la escala considere la existencia de una brecha de género a nivel nacional, el primer año en que se aplica la metodología de cálculo, se fija el promedio nacional de las brechas de los establecimientos por curso, en 75 puntos, ya que éste constituye un valor suficientemente alto en la escala, para no perjudicar a los establecimientos que se encuentran en la media nacional, pero que transparenta a su vez que aún no se ha logrado la equidad de género en los aprendizajes.
Las fórmulas N° 5 y N° 6 explicitan los pasos para realizar el reescalamiento.
Fórmula N° 5: Primer paso de reescalamiento Equidad de género en aprendizajes(6)
____________________________________________

____________________________________________
Ind_eg_1: Valor obtenido en el primer paso del reescalamiento del Indicador de Equidad de Género en Aprendizajes de un curso de un establecimiento
Min(brecha_curso): Mínimo valor de la brecha curso obtenido a nivel nacional por los establecimientos del curso analizado
Max(brecha_curso): Máximo valor de la brecha curso obtenido a nivel nacional por los establecimientos del curso analizado
____________________________________________
(5) Cuando la prueba se aplica cada dos años, las ponderaciones son proporcionales a las últimas dos mediciones.
(6) Para calcular min(brecha curso), y max(brecha curso) se puede utilizar el percentil 1 y 99 de la brecha, respectivamente, con el objeto de eliminar valores extremos. En la misma línea, valores resultantes menores que cero o mayores que 100 serán truncados a estos límites.
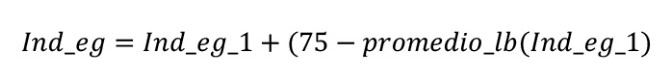
Fórmula N° 6. Segundo paso de reescalamiento Equidad de género en aprendizajes(7)
____________________________________________

Ind_eg: Valor reescalado del Indicador Equidad de Género en Aprendizajes de un curso de un establecimiento
Ind_eg_1: Valor obtenido en el primer paso del reescalamiento del Indicador de Equidad de Género en Aprendizajes de un curso de un establecimiento
Promedio_lb(Ind_eg_1): Promedio de los valores "Ind_eg_1" obtenido a nivel nacional por los establecimientos del curso analizado durante el primer año en que se calcula el indicador y que se establece como línea base (lb) para las futuras comparaciones
____________________________________________
2.4. Cálculo del indicador por nivel educacional del establecimiento
Para calcular el indicador de Equidad de género en aprendizajes por nivel educacional del establecimiento, es necesario agregar este indicador para cada curso que rinde las pruebas Simce de Lectura y Matemática. Al realizar esta agregación se calcula un promedio ponderado en función de quienes han rendido el Simce en cada curso, con el fin de que el indicador final refleje debidamente la distribución de las y los estudiantes del establecimiento.
Los detalles sobre cómo será ponderado y agregado este indicador para calcular el índice de Ordenación de los establecimientos, corresponden a la metodología de Ordenación elaborada por la Agencia de Calidad.
Titulación técnico profesional
DEFINICIÓN
La titulación técnico profesional evalúa la proporción de estudiantes que recibe el título de técnico nivel medio, una vez egresados de la Educación Media Técnico Profesional.
El indicador no contempla a aquellos estudiantes que, habiendo recibido una educación media técnico profesional, no realizan la práctica porque inician estudios de educación superior.
CONSTRUCCIÓN DEL INDICADOR
A continuación se describe la metodología de construcción del indicador de titulación técnico profesional, que incluye el proceso de recolección de información y de cálculo del indicador.
1. Recolección de datos
La construcción de este indicador se basa en la recolección de los datos sobre titulación de estudiantes de formación técnico profesional a cargo de las Secretarías Regionales de Educación.
2. Cálculo del indicador
El indicador de titulación técnico profesional se calcula por establecimiento y se aplica solamente a aquellos que imparten la modalidad técnico profesional. El indicador corresponde a la tasa de titulación técnico profesional ajustada por estudiantes que demoran en titularse y por estudiantes que asisten a la educación superior. A continuación se presenta la tasa de titulación y las modificaciones que dan origen a la tasa ajustada. La fórmula Nº 1 presenta el cálculo de la tasa de titulación técnico profesional, que corresponde a la proporción de los estudiantes egresados en el año t - 1 que se tituló en el año t.
Fórmula Nº 1. Tasa de titulación técnico profesional
La fórmula Nº 2 presenta el cálculo de la tasa ajustada de titulación técnico profesional, que es idéntica a la tasa de titulación excepto en que se suman a los titulados los alumnos que se titularon y egresaron hace dos o tres años y se excluye de los egresados a los alumnos que no se titularon pero asistieron a la educación superior.
Se toma en cuenta a los alumnos que obtienen su título uno o dos años después de egresar para no penalizar a los establecimientos en que sus estudiantes se demoran en acceder a una práctica profesional y para prever casos en que los registros de titulación fueron ingresados de forma tardía por las Secretarías Regionales Ministeriales correspondientes. Por otro lado, al excluir a los estudiantes egresados que no se titularon y que continuaron estudios en educación superior, se busca no penalizar a aquellos establecimientos que tienen estudiantes que en vez de hacer la práctica al momento de egreso, prefieren continuar con estudios superiores.
Fórmula Nº 2. Tasa ajustada de titulación técnico profesional
Para mantener la escala utilizada hasta ahora en la medición de indicadores, la tasa se multiplica por 100, de manera tal que se mantenga en el mismo rango utilizado en los Otros Indicadores.
Caso particular
Es necesario mencionar un caso particular de establecimientos que imparten formación técnico profesional sobre el cual es necesario establecer una metodología especial dado que serían perjudicados por los valores obtenidos mediante un cálculo idéntico al presentado en la fórmula Nº 2.
Este es el caso de los establecimientos de modalidad polivalente, los cuales imparten educación media técnico profesional y educación media científico humanista. Para efectos del indicador, la titulación técnico profesional de un establecimiento polivalente considerará, en el denominador, sólo a los estudiantes egresados de su rama técnico profesional que no hayan proseguido estudios superiores.
Los detalles sobre cómo será ponderado y agregado este indicador para calcular el índice de Ordenación de los establecimientos corresponde a la metodología de Ordenación elaborada por la Agencia de Calidad.
Anótese, tómese razón y publíquese.- SEBASTIÁN PIÑERA ECHENIQUE, Presidente de la República.- Carolina Schmidt Zaldívar, Ministra de Educación.
Lo que transcribo a usted para su conocimiento.- Saluda atentamente a usted, Fernando Rojas Ochagavía, Subsecretario de Educación.
