ADJUDICA CONTRATO DE CONCESIÓN PARA LA EJECUCIÓN, REPARACIÓN, CONSERVACIÓN Y EXPLOTACIÓN DE LA OBRA PÚBLICA FISCAL DENOMINADA "HOSPITAL FÉLIX BULNES"
     
    Núm. 153.- Santiago, 27 de febrero de 2014.- Vistos:
     
-    El artículo 87 del DFL MOP Nº 850 de 1997, que fija el texto refundido, coordinado y sistematizado de la Ley Nº 15.840 de 1964, Orgánica del Ministerio de Obras Públicas y del DFL Nº 206 de 1960, Ley de Caminos, y sus modificaciones.
-    El DS MOP Nº 900 de 1996, que fija el texto refundido, coordinado y sistematizado del DFL MOP Nº 164 de 1991, Ley de Concesiones de Obras Públicas, y sus modificaciones.
-    El DS MOP Nº 956 de 1997, Reglamento de la Ley de Concesiones de Obras Públicas, y sus modificaciones.
-    El oficio Gab. Pres. Ord. Nº 1658 de 19 de noviembre de 2013 mediante el cual su Excelencia el Presidente de la República, aprueba la ejecución de la obra pública fiscal denominada "Hospital Félix Bulnes", a través del sistema de concesiones.
-    El oficio Ord. Nº 778 de 20 de junio de 2011, mediante el cual el señor Ministro de Hacienda aprueba formato tipo de Bases de Licitación para "Concesiones de Establecimientos de Salud", a ejecutar a través del sistema de concesiones.
-    El oficio Ord. Nº A15/432 de 8 de febrero de 2011, mediante el cual el señor Ministro de Salud (S) aprueba formato tipo de Bases de Licitación para "Concesiones de Establecimientos de Salud", a ejecutar a través del sistema de concesiones, aprobación que ratifica mediante oficio Ord. Nº C47/3677, de 22 de noviembre de 2011.
-    El oficio Ord. Nº 2618 de 21 de noviembre de 2013, mediante el cual el señor Ministro de Hacienda aprueba los Anexos Complementarios de las Bases de Licitación, para la concesión del "Hospital Félix Bulnes".
-    El oficio Ord. C4/Nº 3230 de 12 de noviembre de 2013, mediante el cual el señor Ministro de Salud (S) aprueba los Anexos Complementarios de las Bases de Licitación Tipo para "Concesiones de Establecimientos de Salud" correspondientes al proyecto de concesión "Hospital Félix Bulnes".
-    El oficio Ord. Nº 2298 de 15 de noviembre de 2013, mediante el cual el Director del Servicio de Salud Metropolitano Occidente aprueba los Anexos Complementarios de las Bases de Licitación Tipo para "Concesiones de Establecimientos de Salud" correspondientes al proyecto de concesión "Hospital Félix Bulnes".
-    El Convenio de Mandato de 30 de noviembre de 2009, suscrito entre el Ministerio de Salud, la Subsecretaría de Redes Asistenciales, el Servicio de Salud Metropolitano Norte, el Servicio de Salud Metropolitano Sur Oriente, el Servicio de Salud Metropolitano Oriente, el Servicio de Salud Metropolitano Occidente, y el Ministerio de Obras Públicas, aprobado por el Ministerio de Salud mediante decreto exento Nº 01 de 13 de enero de 2010, modificado este último por decreto exento Nº23 de 10 de febrero de 2011; por la Subsecretaría de Redes Asistenciales mediante resolución exenta Nº 1.292 de 21 de diciembre de 2012; y por el Servicio de Salud Metropolitano Occidente mediante resolución Nº 3.472 de 31 de diciembre de 2009.
-    La publicación del llamado a precalificación para inscribirse en el Registro Especial Internacional del "Programa de Concesiones de Establecimientos de Salud", efectuada en el Diario Oficial con fecha 29 de diciembre de 2012.
-    La publicación del llamado a precalificación para inscribirse en el Registro Especial Internacional del "Programa de Concesiones de Establecimientos de Salud", efectuada en el diario La Tercera con fecha 31 de diciembre de 2012.
-    La modificación del llamado a precalificación para inscribirse en el Registro Especial Internacional del "Programa de Concesiones de Establecimientos de Salud", publicado en el Diario Oficial con fecha 21 de enero de 2013.
-    La resolución DGOP (exenta) Nº1.576 de 18 de abril de 2013, que acepta Solicitud de Inscripción, ingresada con fecha 12 de febrero de 2013, y precalifica en el Registro Especial Internacional del "Programa de Concesiones de Establecimientos de Salud", al interesado "Astaldi Concessioni S.R.L. Agencia en Chile".
-    La resolución DGOP Nº 265 de 1 de diciembre de 2011 que aprueba formato tipo de Bases de Licitación para "Concesiones de Establecimientos de Salud", a ejecutar a través del sistema de concesiones de obras públicas.
-    La resolución DGOP Nº 159 de 10 de agosto de 2012 que modifica formato tipo de Bases de Licitación para "Concesiones de Establecimientos de Salud", a ejecutar a través del sistema de concesiones de obras públicas.
-    La resolución DGOP Nº 184 de 6 de septiembre de 2012 que modifica formato tipo de Bases de Licitación para "Concesiones de Establecimientos de Salud", a ejecutar a través del sistema de concesiones de obras públicas.
-    La resolución DGOP Nº 149 de 25 de septiembre de 2013 que modifica formato tipo de Bases de Licitación para "Concesiones de Establecimientos de Salud", a ejecutar a través del sistema de concesiones de obras públicas.
-    La resolución exenta DGOP Nº 4.736 de fecha 22 de noviembre de 2013 que aprueba "Anexos Complementarios de Bases Administrativas, Técnicas y Económicas y de los Anexos que se indican, del formato tipo de Bases de Licitación para "Concesiones de Establecimientos de Salud" correspondientes a la concesión de la obra pública fiscal denominada "Hospital Félix Bulnes".
-    La resolución exenta DGOP Nº 5.525 de fecha 31 de diciembre de 2013 que aprueba Circular Aclaratoria Nº 1 de los "Anexos Complementarios de Bases Administrativas, Técnicas y Económicas y de los Anexos que se indican, del formato tipo de Bases de Licitación para "Concesiones de Establecimientos de Salud" correspondientes a la concesión de la obra pública fiscal denominada "Hospital Félix Bulnes"".
-    La resolución exenta DGOP Nº 170 de fecha 14 de enero de 2014 que aprueba Circular Aclaratoria Nº 2 de los "Anexos Complementarios de Bases Administrativas, Técnicas y Económicas y de los Anexos que se indican, del formato tipo de Bases de Licitación para "Concesiones de Establecimientos de Salud" correspondientes a la concesión de la obra pública fiscal denominada "Hospital Félix Bulnes"".
-    La resolución exenta DGOP Nº175 de fecha 15 de enero de 2014 que aprueba Circular Aclaratoria Nº3 que responde consultas de los Licitantes o Grupos Licitantes, correspondientes a la concesión de la obra pública fiscal denominada "Hospital Félix Bulnes".
-    La resolución exenta DGOP Nº 200 de fecha 20 de enero de 2014 que aprueba Circular Aclaratoria Nº 4 que modifica Anexo Complementario de las Bases Administrativas y de las Bases Técnicas, del formato tipo de Bases de Licitación para "Concesiones de Establecimientos de Salud", correspondientes a la concesión de la obra pública fiscal denominada "Hospital Félix Bulnes".
-    El Acta de Recepción de Ofertas y Apertura de las Ofertas Técnicas de la licitación de la obra pública fiscal denominada "Hospital Félix Bulnes" de 30 de enero de 2014.
-    El oficio Ord. DGOP Nº 177 de 10 de febrero de 2014, mediante el cual la Sra. Directora General de Obras Públicas solicita al Licitante y Grupos Licitantes, las aclaraciones que indica a sus respectivas Ofertas; y la carta de respuesta del Licitante "Astaldi Concessioni S.R.L. Agencia en Chile", ingresada en la Oficina de Partes ubicada en calle Merced Nº753, entrepiso, con fecha 11 de febrero de 2014.
-    El Acta de Evaluación de Ofertas Técnicas de la licitación de la obra pública fiscal denominada "Hospital Félix Bulnes" de 11 de febrero de 2014.
-    El Acta de Apertura de las Ofertas Económicas de la licitación de la obra pública fiscal denominada "Hospital Félix Bulnes" de 12 de febrero de 2014.
-    El Acta de Calificación de las Ofertas Económicas de la licitación de la obra pública fiscal denominada "Hospital Félix Bulnes" de 12 de febrero de 2014.
-    El Acta de Adjudicación de la obra pública fiscal denominada "Hospital Félix Bulnes" suscrita por la Sra. Directora General de Obras Públicas con fecha 17 de febrero de 2014.
-    La resolución Nº 1.600 de 2008 de la Contraloría General de la República que fija Normas Sobre Exención del Trámite de Toma de Razón.
     
    Decreto:
     
1.-  Adjudícase el contrato de concesión para la ejecución, reparación, conservación y explotación de la obra pública fiscal denominada "Hospital Félix Bulnes" ubicada en la Región Metropolitana de Santiago, al Licitante "Astaldi Concessioni S.R.L. Agencia en Chile".
2.-  Declárase que forman parte integrante del presente decreto supremo de Adjudicación para la concesión de la obra pública fiscal denominada "Hospital Félix Bulnes", el formato tipo de Bases de Licitación para "Concesiones de Establecimientos de Salud", aprobado por resolución DGOP Nº 265 de 1 de diciembre de 2011; las resoluciones DGOP Nºs. 159 y 184, de 10 de agosto y 6 de septiembre, respectivamente, ambas de 2012, y la resolución DGOP Nº 149 de 25 de septiembre de 2013, que modifican el formato tipo de Bases de Licitación para "Concesiones de Establecimientos de Salud"; los "Anexos Complementarios de Bases Administrativas, Técnicas y Económicas y de los Anexos que se indican, del formato tipo de Bases de Licitación para "Concesiones de Establecimientos de Salud" correspondientes a la concesión de la obra pública fiscal denominada "Hospital Félix Bulnes"", aprobados mediante resolución DGOP (exenta) Nº 4.736 de fecha 22 de noviembre de 2013; la circular aclaratoria Nº 1, aprobada mediante resolución DGOP (exenta) Nº5.525 de 31 de diciembre de 2013; las circulares aclaratorias Nº 2 y Nº 3, aprobadas respectivamente por resoluciones DGOP (exentas) Nºs. 170 y 175, de 14 y 15 de enero, ambas de 2014; y la circular aclaratoria Nº 4, aprobada mediante resolución DGOP (exenta) Nº 200 de 20 de enero de 2014; y las Ofertas Técnica y Económica presentadas por el Licitante adjudicatario "Astaldi Concessioni S.R.L. Agencia en Chile", en la forma aprobada por el MOP.
3.-  De acuerdo a lo establecido en los artículos 1.1, 2.1 y 3 de las Bases de Licitación, las Bases Administrativas, Técnicas y Económicas son complementadas y especificadas en cada caso con un Anexo Complementario, el cual para todos los efectos forma parte de las mismas, como una unidad jurídica única e indivisible, en el cual se definen y regulan respectivamente todos los aspectos administrativos, técnicos y económicos específicos del Contrato de Concesión de Obra Pública, lo que es debidamente indicado en los artículos pertinentes. Dicho documento se denomina Anexo Complementario de las Bases Administrativas, Técnicas o Económicas, según corresponda.

    Cada vez que en el Contrato de Concesión de Obra Pública se utilice la expresión "Bases de Licitación", se entenderá por éstas: las Bases, sean Administrativas, Técnicas o Económicas, sus Anexos Complementarios, sean de las Bases Administrativas, de las Bases Técnicas o de las Bases Económicas, y los anexos individualizados en el numeral vi) del artículo 1.3.2 de las Bases de Licitación y sus respectivos anexos complementarios.

4.-  En caso de discrepancia en la interpretación del contrato de concesión, primará lo dispuesto en las Bases de Licitación y en sus Circulares Aclaratorias, por sobre lo establecido en la Oferta presentada por el Adjudicatario de la concesión, salvo el caso en que ésta contenga aspectos superiores a lo exigido en las Bases de Licitación y sus Circulares Aclaratorias, lo que será calificado por el Director General de Obras Públicas.
5.-  Forman parte del Contrato de Concesión las disposiciones pertinentes de los siguientes cuerpos legales:
     
    a)  El decreto supremo MOP Nº 900 de 1996, que fija el texto refundido, coordinado y sistematizado del DFL MOP Nº 164 de 1991, Ley de Concesiones de Obras Públicas, y sus modificaciones.
    b)  El decreto supremo MOP Nº 956 de 1997, Reglamento de la Ley de Concesiones de Obras Públicas, y sus modificaciones.
    c)  El DFL MOP Nº 850 de 1997, que fija el texto refundido, coordinado y sistematizado de la Ley Nº15.840 de 1964, Orgánica del Ministerio de Obras Públicas y del DFL Nº 206 de 1960, Ley de Caminos, y sus modificaciones.
     
    El Concesionario deberá cumplir con todas las leyes, decretos y reglamentos de la República de Chile vigentes a la fecha de la firma del Contrato, que se relacionan con él y con todos aquellos que se dicten durante su vigencia, de acuerdo a lo establecido en el artículo 1.7.1 de las Bases de Licitación.

    En todo caso, ante cualquier discrepancia en la interpretación de los documentos que conforman el Contrato de Concesión de Obra Pública y la normativa vigente que sea aplicable, primará lo dispuesto en esta última, a menos que los documentos del contrato establezcan exigencias o estándares superiores, de acuerdo a lo establecido en el artículo 1.2.1 de las Bases de Licitación.

6.-  Los documentos que conforman las Bases de Licitación, de acuerdo a lo establecido en el artículo 1.3.2 de las mismas, son los siguientes:
     
    i)    Llamado a Licitación por Concesión;
    ii)  Bases Administrativas y su Anexo Complementario A.1;
    iii)  Bases Técnicas y su Anexo Complementario A.2;
    iv)  Bases Económicas y su Anexo Complementario A.3;
    v)    Circulares Aclaratorias emitidas por el Director General de Obras Públicas;
    vi)  Anexos B, C, D, E, F, G, H e I y sus Anexos Complementarios, cuando corresponda;
    vii)  Manual de Planes de Manejo Ambiental para Obras Concesionadas elaborado por el MOP (versión vigente);
    viii) Manual de Manejo de Áreas Verdes para Proyectos Concesionados elaborado por el MOP (versión vigente);
    ix)  Plano del área de concesión de noviembre de 2013; y
    x)    Antecedentes legales del terreno.
     
7.-  El inicio del plazo de la concesión se contará a partir de la fecha de publicación en el Diario Oficial del presente decreto supremo de Adjudicación, de acuerdo a lo establecido en el artículo 1.6.5 de las Bases de Licitación.

    La concesión, de acuerdo a lo establecido en el artículo 1.6.6 de las Bases de Licitación, finaliza 30 (treinta) semestres corridos, contados desde la Autorización de Pagos de Subsidios establecida en el artículo 1.10.4 de las Bases de Licitación.

8.-  El proyecto, de acuerdo a lo establecido en el artículo 1.2.3 de las Bases de Licitación, comprende un establecimiento hospitalario de alta complejidad, en el que se entregará Atención Hospitalaria (Cerrada) y Atención Ambulatoria (Abierta), contará con una capacidad de 523 camas, y se ubicará en la Región Metropolitana, en la ciudad de Santiago, comuna de Cerro Navia, calle Mapocho 7432. Los límites del terreno de emplazamiento son los siguientes:
     
    -    Calle Galvarino y distintos propietarios por el poniente,
    -    Terreno Vecino y calle Mapocho por el norte,
    -    Terrenos Vecinos y calle Huelén por el oriente,
    -    Diversos propietarios de Población Dalmacia por el sur.
     
    El proyecto del Hospital Félix Bulnes comprende el desarrollo del Proyecto Definitivo, la construcción de las obras definidas en dicho Proyecto Definitivo, la provisión de Mobiliario Clínico y No Clínico, Equipamiento Médico, Equipamiento Industrial y mobiliario asociado a la infraestructura, y la explotación de Servicios Básicos y Especiales Obligatorios señalados en el artículo 2.6 letras a) y b) de las Bases de Licitación. Con todo, el Concesionario no estará autorizado para prestar servicios clínicos.

    Las obras mínimas a ejecutar, de conformidad al artículo 2.3 de las Bases de Licitación, serán las siguientes:
     
    -    Construcción de los edificios y áreas descritas en el artículo 1.2.3 de las Bases de Licitación.
    -    Demoliciones de todas las estructuras existentes y retiro de escombros, de acuerdo a lo indicado en el artículo 2.3 de las Bases de Licitación.
    -    Otras obras definidas en el Proyecto Definitivo, de acuerdo a lo establecido en el artículo 2.4.1 de las Bases de Licitación.
     
    Una vez iniciada la Etapa de Explotación, el Concesionario deberá prestar los Servicios Básicos, Especiales Obligatorios y Complementarios, de acuerdo a lo indicado en el artículo 1.10 de las Bases de Licitación.

    El Hospital Félix Bulnes se construirá en un 100% en una sola etapa conforme al Proyecto Definitivo establecido en el artículo 2.4 de las Bases de Licitación.

9.-  Conforme lo señalado en el artículo 1.3.1 de las Bases de Licitación, el Presupuesto Oficial Estimado de la Obra es de UF 5.300.000 (cinco millones trescientas mil Unidades de Fomento). Este valor es referencial y considera el valor nominal de las obras del Contrato de Concesión, incluyendo los gastos generales y utilidades, pagos de la Sociedad Concesionaria durante la Etapa de Construcción y los costos para la elaboración del Proyecto Definitivo. No se incluye el Impuesto al Valor Agregado (IVA).
10.- De acuerdo a lo señalado en el artículo 1.9.1 de las Bases de Licitación, el Ministerio de Salud o el Servicio de Salud Metropolitano Occidente, a través del Inspector Fiscal, hará entrega al Adjudicatario o a la Sociedad Concesionaria, según corresponda, de los terrenos para el emplazamiento del Establecimiento de Salud "Hospital Félix Bulnes", dentro del plazo de 30 días, contados desde el inicio del plazo de la concesión establecido en el artículo 1.6.5 de las mismas.
11.- Según lo establecido en el artículo 1.9 de las Bases de Licitación, la Etapa de Construcción de la concesión se iniciará junto con el inicio del plazo de la concesión establecido en el artículo 1.6.5 de las Bases de Licitación y finalizará una vez autorizada la Puesta en Servicio Provisoria de la totalidad de las Obras. En esta etapa el Concesionario deberá:
     
    a)  Durante el período de Proyecto Definitivo, desarrollar las actividades que se establecen en el artículo 2.4 de las Bases de Licitación.
    b)  Obtener la Resolución de Calificación Ambiental para el Establecimiento de Salud "Hospital Félix Bulnes", de acuerdo a lo señalado en el artículo 1.8.10.1 de las Bases de Licitación.
    c)  Ejecutar la totalidad de las Obras consideradas en el Proyecto Definitivo, aprobado por el Inspector Fiscal, de acuerdo a los estándares y plazos exigidos en las Bases de Licitación y equipar el Establecimiento de Salud "Hospital Félix Bulnes" de acuerdo a lo establecido en las Bases Técnicas.
    d)  Diseñar e implementar un sistema de modelación BIM o un sistema similar, aprobado por el Inspector Fiscal, de acuerdo a las condiciones establecidas en el artículo 1.9 de las Bases de Licitación.
    e)  Realizar las demás actividades que se establecen en las Bases Técnicas.
     
12.- De conformidad a lo establecido en el artículo 2.4.1 de las Bases de Licitación, la Sociedad Concesionaria será responsable de ejecutar a su entero cargo, costo y responsabilidad la totalidad del Proyecto Definitivo que sea necesario para la correcta ejecución de las obras correspondientes al Establecimiento de Salud "Hospital Félix Bulnes", el que deberá ser sometido a la revisión del Inspector Fiscal hasta su completa aprobación.

    Serán aplicables para el desarrollo del Proyecto Definitivo y la construcción de las obras, de acuerdo a la legislación nacional vigente, toda la normativa técnica y ambiental vigente y en especial las señaladas en el artículo 2.1 de las Bases de Licitación. Asimismo, en la prestación de los servicios de la concesión, se deberá dar cumplimiento a la legislación nacional vigente, a toda normativa sectorial y ambiental vigente, y en especial las señaladas en el mismo artículo.

13.- De acuerdo a lo dispuesto en el artículo 2.4.1 de las Bases de Licitación, el Concesionario podrá iniciar obras una vez se tenga aprobada la entrega final del Proyecto Definitivo y cumpla con todas las disposiciones establecidas en el artículo 1.9.1 de las Bases de Licitación. No obstante lo anterior, el Inspector Fiscal podrá aprobar el desarrollo del Proyecto Definitivo por etapas siempre y cuando ellas sean autosuficientes, en cuyo caso el Inspector Fiscal podrá autorizar la ejecución de las obras correspondientes.

    Iniciada la construcción, de acuerdo a lo establecido en el artículo 1.9.6 de las Bases de Licitación, el Concesionario deberá emitir declaraciones de avance, las cuales deberán cumplir, al menos, con los porcentajes de avance requeridos y entregarse en los plazos máximos indicados en dicho artículo.

14.- De acuerdo a lo establecido en el artículo 54 del Reglamento de la Ley de Concesiones, la Etapa de Explotación se iniciará una vez aprobada la Puesta en Servicio Provisoria de las Obras del Establecimiento de Salud "Hospital Félix Bulnes".

    Durante la Etapa de Explotación de la obra, de acuerdo a lo dispuesto en el artículo 1.10 de las Bases de Licitación, la Sociedad Concesionaria está obligada a prestar los servicios indicados en el artículo 2.6 de las Bases de Licitación, en las condiciones establecidas en el Anexo B "Etapa de Explotación. Servicios Básicos, Especiales Obligatorios y Complementarios" de dichas Bases, los que se indican a continuación:
     
    a)  Servicios Básicos
     
    a.1 Servicios No Clínicos de Apoyo.
   
        Estos servicios son:
        a.1.1) Aseo y Limpieza General, de acuerdo a lo establecido
                en el artículo 1.1 del Anexo B de las Bases de Licitación.
        a.1.2) Gestión Integral de Residuos Hospitalarios, de acuerdo
                a lo establecido en el artículo 1.1 del Anexo B de
                las Bases de Licitación.
        a.1.3) Control Sanitario de Vectores, de acuerdo a lo establecido
                en el artículo 1.1 del Anexo B de las Bases de Licitación.
        a.1.4) Gestión de Ropería, de acuerdo a lo establecido en el
                artículo 1.1 del Anexo B de las Bases de Licitación.
        a.1.5) Alimentación de Pacientes y Funcionarios, de acuerdo a
                lo establecido en el artículo 1.1 del Anexo B de las
                Bases de Licitación.

    a.2 Mantenimiento y Operación de la Infraestructura, Instalaciones, Equipamiento Industrial y Mobiliario asociado a la infraestructura, de acuerdo a lo establecido en el artículo 1.2 del Anexo B de las Bases de Licitación.
    a.3 Administración y Mantenimiento de Mobiliario No Clínico, de acuerdo a lo establecido en el artículo 1.3 del Anexo B de las Bases de Licitación.
    a.4 Adquisición y Reposición de Mobiliario No Clínico, de acuerdo a lo establecido en el artículo 1.4 del Anexo B de las Bases de Licitación.
     
    b)  Servicios Especiales Obligatorios
     
    b.1 Cafetería, de acuerdo a lo establecido en el artículo 2 del Anexo B de las Bases de Licitación.
    b.2 Seguridad y Vigilancia, de acuerdo a lo establecido en el artículo 2 del Anexo B de las Bases de Licitación.
    b.3 Estacionamiento de Funcionarios y Visitas, de acuerdo a lo establecido en el artículo 2 del Anexo B de las Bases de Licitación.
    b.4 Administración y Mantenimiento de Equipamiento Médico y Mobiliario Clínico, de acuerdo a lo establecido en el artículo 2 del Anexo B de las Bases de Licitación.
    b.5 Adquisición y Reposición de Equipamiento Médico y Mobiliario Clínico, de acuerdo a lo establecido en el artículo 2 del Anexo B de las Bases de Licitación.
    b.6 Sistemas de Información e Infraestructura Tecnológica, de acuerdo a lo establecido en el artículo 2 del Anexo B de las Bases de Licitación.
    b.8 Traslado, de acuerdo a lo establecido en el artículo 2 del Anexo B de las Bases de Licitación.
     
    Además, la Sociedad Concesionaria podrá prestar los siguientes servicios, en las condiciones establecidas en el Anexo B de las Bases de Licitación:
     
    c) Servicios Complementarios
     
    c.1 Alimentación a público en general.
    c.2 Estacionamientos para público en general.
    c.3 Instalación y explotación de Máquinas Dispensadoras.
    c.4 Área Multiservicios (óptica, artículos para enfermos, fotocopias, cajeros automáticos, florerías, cyber café, etc.).
     
15.- De conformidad con lo dispuesto en el artículo 1.10.5 de las Bases de Licitación, la Sociedad Concesionaria deberá solicitar la autorización de Puesta en Servicio Definitiva, dentro del plazo máximo de 1 (un) año a contar de la autorización de la Puesta en Servicio Provisoria de la totalidad de las obras, señalada en el artículo 1.10.3 de las Bases de Licitación, y cuando hayan sido aprobados los planos de construcción y las memorias explicativas a que se refiere el artículo 1.9.8 de las Bases de Licitación.
16.- Conforme a lo señalado en el artículo 1.12.4 de las Bases de Licitación, para efectos de lo dispuesto en el DL Nº 825 de 1974 y sus modificaciones posteriores, y en especial el artículo Nº 16, letras c) y h), en el Contrato de Concesión el Subsidio Fijo a la Construcción pagará el servicio de construcción, el Subsidio Fijo por concepto de adquisición y reposición de Mobiliario No Clínico pagará el Servicio de adquisición y reposición de Mobiliario No Clínico, en la Etapa de Construcción y Explotación, según corresponda, y el Subsidio Fijo por concepto de adquisición y reposición de Equipamiento Médico y Mobiliario Clínico pagará el Servicio de adquisición y reposición de Equipamiento Médico y Mobiliario Clínico, en caso que proceda, en la Etapa de Construcción y Explotación, según corresponda, así como se imputará el 100% de los ingresos totales de explotación para pagar el precio del servicio de conservación, reparación y explotación. Los ingresos de explotación corresponderán a los percibidos por concepto de pagos del Subsidio Fijo a la Operación (SFO) y del Subsidio Variable.

    En los aspectos relativos a la declaración y pago del Impuesto a la Renta, el Concesionario se deberá regir por lo dispuesto en el DL Nº 824 de 1974 y sus modificaciones, especialmente por las introducidas por la Ley Nº 19.460 de 1996 y las demás normas que correspondan.

17.- Las obligaciones y derechos del Adjudicatario o bien de la Sociedad Concesionaria, según sea el caso, son las establecidas en los cuerpos legales citados en el presente decreto supremo y en la normativa legal vigente que le sea aplicable, en las Bases de Licitación, en sus Circulares Aclaratorias y en las Ofertas Técnica y Económica presentadas por el Licitante adjudicatario "Astaldi Concessioni S.R.L. Agencia en Chile", en la forma aprobada por el MOP.

    Sin perjuicio de lo anterior, y en forma no taxativa, se indican las siguientes:
     
    OBLIGACIONES:
     
    i)  Constituir legalmente la sociedad anónima de nacionalidad chilena, prometida en su Oferta Técnica, de acuerdo a lo establecido en el artículo 1.6.3 de las Bases de Licitación, dentro del plazo de 60 días contados desde la fecha de la publicación en el Diario Oficial del presente decreto supremo de Adjudicación del Contrato de Concesión. Asimismo, y dentro del mismo plazo, el Adjudicatario deberá suscribir ante Notario tres transcripciones del presente decreto supremo de Adjudicación, en señal de aceptación de su contenido, debiendo protocolizar ante el mismo Notario uno de sus ejemplares, según lo exigido en el artículo 1.6.4 de las Bases de Licitación.
    ii)  Al otorgarse la escritura pública de constitución de la Sociedad Concesionaria se deberá suscribir íntegramente el capital social, que no podrá ser inferior a la suma de $15.000.000.000 (quince mil millones de pesos) y pagar, a lo menos, la suma de $5.000.000.000 (cinco mil millones de pesos) debiendo individualizar, con su correspondiente porcentaje, a todas las personas naturales o jurídicas que suscriban el 100% de dicho capital. El saldo del capital deberá pagarse en el plazo de 12 meses contado desde la fecha de la escritura pública de la constitución de la sociedad. El capital pagado deberá acreditarse mediante certificado bancario, según lo exigido en el artículo 1.6.3 de las Bases de Licitación.
    iii) En el plazo de 60 días contados desde su constitución, la Sociedad Concesionaria deberá haber solicitado su inscripción en el Registro correspondiente de la Superintendencia de Valores y Seguros, de acuerdo a la normativa vigente, lo que se acreditará con el correspondiente certificado. Concluido el proceso de inscripción en dicho Registro, la Sociedad Concesionaria deberá, dentro de los 5 días siguientes, presentar al Inspector Fiscal un Certificado en el que conste haberse practicado dicha inscripción, todo ello conforme a lo señalado en el artículo 1.6.3 de las Bases de Licitación.
    iv)  La Sociedad Concesionaria deberá construir, reparar, conservar y explotar las obras descritas en los documentos que forman parte del contrato de concesión, en la forma, modo y plazos indicados en dichos documentos. En conformidad al artículo 1.7.2 de las Bases de Licitación, el Concesionario será siempre responsable del cumplimiento cabal, íntegro y oportuno del contrato de concesión, de la correcta ejecución de los proyectos y de las obras, y del cumplimiento de todas las obligaciones establecidas en el Contrato de Concesión, sin perjuicio de las funciones de dirección y control que corresponden al Ministerio de Obras Públicas. Asimismo, el Concesionario será siempre responsable del cumplimiento de los niveles de servicio y estándares técnicos establecidos en las Bases de Licitación para las diferentes etapas y condiciones de la concesión, durante toda su vigencia.
    v)  De acuerdo a lo señalado en el artículo 1.8.10.1 de las Bases de Licitación, la Sociedad Concesionaria deberá ingresar al SEIA, un Estudio o Declaración de Impacto Ambiental del Establecimiento de Salud "Hospital Félix Bulnes", salvo que no fuera procedente de acuerdo al pronunciamiento del Servicio de Evaluación Ambiental respectivo, según corresponda, o de los servicios o actividades complementarias que lo requieran, y se aplicará lo establecido en dicho artículo.

          La implementación de las medidas y/o exigencias establecidas en las Declaraciones o Estudios de Impacto Ambiental, según corresponda, sus Adendas y en las Resoluciones de Calificación Ambiental que procedan, así como en las Bases de Licitación, será de exclusiva responsabilidad, cargo y costo de la Sociedad Concesionaria, debiendo dar cumplimiento a toda la normativa ambiental vigente.
    vi)  De acuerdo a lo dispuesto en el artículo 1.10.4 de las Bases de Licitación, una vez autorizada la Puesta en Servicio Provisoria, se establece un periodo de Marcha Blanca durante el cual la Sociedad Concesionaria deberá ejecutar las actividades de "Capacitación del personal del Establecimiento de Salud" y de "Funcionamiento Piloto".

          El Inspector Fiscal certificará el término del período de Marcha Blanca y con el mérito de esta certificación nace la obligación para la Sociedad Concesionaria de prestar en forma permanente todos los servicios exigidos en las Bases de Licitación.
    vii) De conformidad con lo señalado en el artículo 1.12.1 de las Bases de Licitación, la Sociedad Concesionaria deberá realizar los siguientes pagos:
     
          . El Concesionario deberá pagar al MOP por concepto de
            Administración y Control del Contrato de Concesión, de
            acuerdo a lo indicado en 1.12.1.1, durante la Etapa de
            Construcción definida en 1.9, ambos artículos de las
            Bases de Licitación, la suma de UF 240.000 (doscientas
            cuarenta mil Unidades de Fomento), pagada en cuatro cuotas
            de UF 60.000 (sesenta mil Unidades de Fomento) cada una.
            La primera cuota deberá ser pagada dentro del plazo de 90
            días contados desde la fecha de publicación en el Diario
            Oficial del presente decreto supremo de Adjudicación de la
            Concesión. Las tres cuotas restantes deberán ser pagadas
            anual y sucesivamente, a más tardar, el último día hábil
            del mes de enero de cada año calendario, a partir del año
            siguiente en que se pagó la primera cuota.

            En tanto, durante la Etapa de Explotación, definida en el
            artículo 1.10 de las Bases de Licitación, la suma a pagar
            por este concepto será de UF 25.000 (veinticinco mil
            Unidades de Fomento). Dicho monto corresponde al valor de
            las cuotas anuales y sucesivas que serán pagadas, a más
            tardar, el último día hábil del mes de enero de cada año
            calendario. Este pago comenzará a partir del primer mes
            de enero siguiente a la autorización de la Puesta en Servicio
            Provisoria de la totalidad de las obras.

          . En conformidad a lo señalado en el artículo 1.12.1.2 de las
            Bases de Licitación, el Concesionario deberá pagar
            mensualmente los montos que correspondan por concepto de
            servicios de consumo en el Establecimiento de Salud "Hospital
            Félix Bulnes", según lo establecido en el artículo 1.10.9 de
            las Bases de Licitación, de acuerdo a los plazos indicados
            en el mismo artículo.
          . En conformidad a lo señalado en el artículo 1.12.1.3 de las
            Bases de Licitación, el Concesionario deberá pagar al
            Servicio de Salud Metropolitano Occidente, el 100% del saldo
            del "Fondo de Reserva" para actividades no contempladas en
            los planes y/o en los programas, para el Establecimiento de
            Salud "Hospital Félix Bulnes", si es que éste mantiene un
            saldo, de acuerdo al último informe solicitado, según se
            establece en el artículo 1.10.1.1 de las Bases de Licitación.
            Estas cantidades serán pagadas en la forma establecida en
            el artículo 1.12.8 de las Bases de Licitación.
          . En conformidad a lo señalado en el artículo 1.12.1.4 de las
            Bases de Licitación, de acuerdo al Mecanismo de Distribución
            de Riesgo Financiero regulado en el artículo 1.12.10 de las
            Bases de Licitación aceptado por el Licitante Adjudicatario
            de la concesión en su Oferta Económica, el Concesionario o
            a aquel a quien éste haya cedido o transferido a cualquier
            título los flujos correspondientes al Subsidio Fijo a la
            Construcción (SFC), al Subsidio Fijo por concepto de
            adquisición y reposición de Mobiliario No Clínico durante
            la Etapa de Construcción (SFMNC) y al Subsidio Fijo por
            concepto de adquisición y reposición de Equipamiento Médico
            y Mobiliario Clínico durante la Etapa de Construcción (SFEM),
            este último si corresponde de acuerdo a lo establecido en
            el artículo 1.12.2.8 de las Bases de Licitación, deberá
            pagar el monto (T) al Ministerio de Salud, en la eventualidad
            que  corresponda. Dicho pago deberá ser realizado en un
            plazo máximo de 210 días contados desde la fecha de
            adjudicación de la licitación señalada en el artículo 1.12.10
            antes mencionado y en la forma establecida en el artículo
            1.12.8, ambos de las Bases de Licitación.
          . En conformidad a lo señalado en el artículo 1.12.1.5 de las
            Bases de Licitación, el Concesionario deberá pagar al Servicio
            de Salud Metropolitano Occidente, el 100% del saldo del
            "Fondo de Reserva de Equipamiento Médico y Mobiliario
            Clínico" para el Establecimiento de Salud "Hospital Félix
            Bulnes", si es que éste mantiene un saldo, de acuerdo al
            último informe solicitado, según se establece en el artículo
            1.10.1.2 de las Bases de Licitación. Estas cantidades serán
            pagadas en la forma establecida en el artículo 1.12.8 de
            las Bases de Licitación.
          . De acuerdo a lo estipulado en el artículo 1.12.1.6 de las
            Bases de Licitación, el Concesionario deberá pagar al Servicio
            de Salud Metropolitano Occidente, el 100% del saldo del "Fondo
            de Ejecución de Inversiones en Mobiliario No Clínico" para
            el Establecimiento de Salud "Hospital Félix Bulnes", si es
            que éste mantiene un saldo, de acuerdo al último informe
            solicitado, según se establece en el artículo 1.12.2.7 de
            las Bases de Licitación. Estas cantidades serán pagadas en
            la forma establecida en el artículo 1.12.8 de las Bases de
            Licitación.
          . De acuerdo a lo estipulado en el artículo 1.12.1.7 de las
            Bases de Licitación, el Concesionario deberá pagar al Servicio
            de Salud Metropolitano Occidente, el 100% del saldo del
            "Fondo de Ejecución de Inversiones e Imprevistos en
            Equipamiento Médico y Mobiliario Clínico" para el
            Establecimiento de Salud "Hospital Félix Bulnes", si es que
            éste mantiene un saldo, de acuerdo al último informe
            solicitado, según se establece en el artículo 1.12.2.8 de
            las Bases de Licitación. Estas cantidades serán pagadas en
            la forma establecida en el artículo 1.12.8 de las Bases de
            Licitación.
          . En conformidad a lo señalado en el artículo 1.12.1.8 de las
            Bases de Licitación, la Sociedad Concesionaria deberá
            disponer del monto máximo de UF 50.000 (cincuenta mil
            Unidades de Fomento), a partir del plazo de 100 días contados
            desde el inicio del plazo de la concesión establecido en el
            artículo 1.6.5 de las Bases de Licitación, con el objetivo
            de contar con un Programa Integral de Gestión del Cambio,
            elaborado e implementado por el Servicio de Salud Metropolitano
            Occidente. El monto asociado a la implementación de este
            Programa está incluido en el Subsidio Fijo a la Construcción
            (SFC) establecido en el artículo 1.12.2.1 de las Bases
            de Licitación.

            Una vez que se realicen las actividades previstas, si se
            determina en la contabilización final que la suma de los
            montos totales pagados por la Sociedad Concesionaria fuere
            inferior al monto máximo señalado en este apartado, ésta
            deberá pagar al Servicio de Salud Metropolitano Occidente
            la diferencia resultante en un plazo máximo de 30 (treinta)
            días contados desde la correspondiente notificación del
            Inspector Fiscal, en la forma establecida en el artículo
            1.12.8 de las Bases de Licitación.

          . De acuerdo a lo estipulado en el artículo 1.12.1.9 de las
            Bases de Licitación, la Sociedad Concesionaria deberá
            disponer del monto máximo de UF 5.000 (cinco mil Unidades de
            Fomento), dentro del plazo de 1.200 días contados desde el
            inicio del plazo de la concesión establecido en el artículo
            1.6.5 de las Bases de Licitación, con el objetivo de contar
            con un Programa de Traslado e Instalación de Equipamiento
            Médico, elaborado e implementado por el Servicio de Salud
            Metropolitano Occidente. El monto asociado a la implementación
            de este Programa está incluido en el Subsidio Fijo a la
            Construcción (SFC) establecido en el artículo 1.12.2.1 de las
            Bases de Licitación.

            Sin perjuicio de lo anterior, la Sociedad Concesionaria será
            responsable a su entero cargo y costo de todas las obras
            civiles e instalaciones eléctricas, sanitarias, climatización,
            y de cualquier otra especialidad, que procedan conforme lo
            establezca el Proyecto Definitivo, necesarias para la
            instalación del Equipamiento Médico que se traslade.

            Una vez que se realicen las actividades previstas, si se
            determina en la contabilización final que la suma de los
            montos totales pagados por la Sociedad Concesionaria fuere
            inferior al monto máximo señalado en este apartado, ésta
            deberá pagar al Servicio de Salud Metropolitano Occidente
            la diferencia resultante en un plazo máximo de 30 (treinta)
            días contados desde la correspondiente notificación del
            Inspector Fiscal, en la forma establecida en el artículo
            1.12.8 de las Bases de Licitación.
     
    viii) Contratar el Seguro de Responsabilidad Civil por Daños a Terceros, el Seguro por Catástrofe y el Seguro de Equipamiento Médico y Mobiliario Clínico, de acuerdo a lo señalado en los artículos 1.8.12, 1.8.13 y 1.8.14 de las Bases de Licitación, respectivamente, sin perjuicio de lo indicado en el artículo 1.8.11 de las Bases de Licitación.
    ix)  El Concesionario deberá constituir las garantías de construcción y de explotación en los plazos y con los requisitos indicados en los artículos 1.8.3.1 y 1.8.3.2 de las Bases de Licitación, respectivamente, pudiendo ser tomadores de las garantías el Adjudicatario o la Sociedad Concesionaria, según corresponda. El MOP podrá hacer efectivas, total o parcialmente, dichas garantías en los casos de incumplimiento del contrato y, en particular, en los casos indicados en el artículo 1.8.3 de las Bases de Licitación. En caso que el MOP hiciera efectiva la garantía, ésta deberá reconstituirse o completarse, según proceda, en el plazo de 15 días a contar de la fecha en que se hizo efectiva.
    x)    De acuerdo a lo establecido en el artículo 1.9.10 de las Bases de Licitación, la Sociedad Concesionaria será responsable de proyectar, gestionar y construir, a su entero cargo, costo y responsabilidad todas las modificaciones de las obras e instalaciones correspondientes a los servicios húmedos y no húmedos, con sus respectivas conexiones a cada propiedad.
   
          Con todo, se establecen las siguientes condiciones:
     
          . En el evento que dichas modificaciones, superen el monto
            máximo global de UF 50.000 (cincuenta mil Unidades de
            Fomento), la Sociedad Concesionaria deberá pagar dicho
            excedente. En todo caso, el Minsal reembolsará dicho
            excedente dentro de los 90 días contados de la fecha de
            Puesta en Servicio Definitiva de las obras indicada en
            1.10.5, conforme al procedimiento establecido en 1.12.6,
            ambos artículos de las Bases de Licitación.
          . Cuando el monto total pagado por el Concesionario a las
            Empresas de Servicios por concepto de modificaciones de los
            servicios, resulte inferior a las UF 50.000 (cincuenta mil
            Unidades de Fomento), el 80% de la diferencia entre el
            monto total cancelado a dichas empresas y las UF 50.000
            antes señaladas será reinvertida íntegramente en la obra
            de acuerdo a las instrucciones que formule el Inspector
            Fiscal mediante el Libro de Obra.
          . Con el solo objeto de garantizar el normal cumplimiento
            del programa de obras, la Sociedad Concesionaria estará
            siempre obligada a efectuar los pagos que las Empresas de
            Servicios exijan para proceder a su modificación, no
            pudiendo alegar la existencia previa de convenios suscritos
            entre dichas empresas y el MOP, y que se encontraren vigentes.
            En este último caso, el MOP tendrá derecho a ejercer las
            acciones respectivas tendientes a obtener los reembolsos de
            parte de dichas empresas, evento en el cual el Concesionario
            no tendrá derecho alguno a percibir devolución de las sumas
            por este concepto.
          . Los montos a pagar a los propietarios de los servicios
            deberán ser sometidos a la aprobación del Inspector Fiscal,
            quien en un plazo no superior a 60 días desde que el
            Concesionario suministre toda la información relacionada,
            deberá pronunciarse sobre la autorización de dicho pago.
     
            El Concesionario deberá gestionar la ejecución o desarrollar,
            según corresponda, los proyectos a nivel de ingeniería de
            detalle de todas las modificaciones de servicios necesarias
            para materializar las obras del proyecto, incluidas todas
            las instalaciones y conexiones a propiedades que deban ser
            modificadas y/o trasladadas para la ejecución del proyecto,
            hayan sido éstas construidas por los propietarios de dichos
            servicios, o por terceros. La Sociedad Concesionaria deberá
            proporcionar los planos de detalle de las modificaciones,
            memorias, especificaciones técnicas, presupuesto y
            cubicaciones detalladas desglosado por cada ítem, y demás
            información que solicite el Inspector Fiscal.
     
    xi)  De conformidad con lo establecido en el artículo 1.10.6 de las Bases de Licitación, el Concesionario deberá mantener un Sistema de Reclamos y Sugerencias a disposición de los pacientes, funcionarios del Minsal y usuarios de los Servicios Complementarios si los hubiere.
    xii) De conformidad con lo establecido en el artículo 2.9 de las Bases de Licitación, el Concesionario, durante las Etapas de Construcción y Explotación, deberá asumir la responsabilidad de protección del medio ambiente y el cumplimiento de los aspectos territoriales como una variable más de su gestión, implementando las medidas necesarias que aseguren un exitoso manejo ambiental y territorial del proyecto.
     
    DERECHOS:
     
    i)  Explotar las obras del Establecimiento de Salud "Hospital Félix Bulnes", a contar de la autorización de Puesta en Servicio Provisoria, otorgada conforme al artículo 1.10.3 de las Bases de Licitación, y hasta el término de la concesión.
    ii)  De conformidad con lo señalado en el artículo 1.12.2 de las Bases de Licitación, el Ministerio de Salud o el Servicio de Salud Metropolitano Occidente según corresponda, realizará a la Sociedad Concesionaria los siguientes pagos:
     
          . El Ministerio de Salud, de acuerdo a lo indicado en el
            artículo 1.12.2.1 de las Bases de Licitación, pagará
            semestralmente al Concesionario, para el Establecimiento de
            Salud "Hospital Félix Bulnes", 16 (dieciséis) cuotas
            correspondientes al Subsidio Fijo a la Construcción. El
            valor de las cuotas se determinará de acuerdo a la siguiente
            expresión:
     
    .
     
            Donde:
     
            SFC1t: Monto de la cuota semestral del Subsidio Fijo a la
                  Construcción para el Semestre de Pago "t",
                  correspondiente
                  al Establecimiento de Salud "Hospital Félix Bulnes".
            SFC  : Monto de la cuota semestral del Subsidio Fijo a la
                  Construcción, solicitado por el Concesionario en su
                  Oferta Económica, equivalente a
                  UF 566.919 (quinientas sesenta y
                  seis mil novecientas diecinueve Unidades de Fomento).
            SAPS1: Semestre de Pago en que se obtiene la Autorización de
                  Pagos de Subsidios del
                  de Subsidios del Establecimiento de Salud "Hospital Félix
                  Bulnes", contado desde el inicio de la concesión.
            t    : Semestre de Pago "t" contado desde el inicio de la
                  concesión establecido en el
                  artículo 1.6.5 de las Bases de Licitación
                  (el Semestre de Pago donde se inicia la concesión es t=1).
     
            Las fechas de pago serán a más tardar el 31 de marzo y el 30 de
            septiembre de cada año, o el día hábil siguiente a estas fechas
            en el caso en que no correspondieran a días hábiles, previa
            aprobación del Inspector Fiscal, en virtud del procedimiento
            establecido en el artículo 1.12.6 de las Bases de Licitación.
            Para el pago correspondiente al 31 de marzo, éste será
            calculado a la UF del 28 de febrero, mientras que para el pago
            correspondiente al 30 de septiembre, éste será calculado a la
            UF del 31 de agosto.

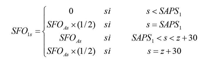
          . El Servicio de Salud Metropolitano Occidente, de acuerdo a lo
            indicado en el artículo 1.12.2.2 de las Bases de Licitación,
            pagará semestralmente al Concesionario, para el Establecimiento
            de Salud "Hospital Félix Bulnes", cuotas anticipadas
            correspondientes al Subsidio Fijo a la Operación, que se
            determinarán de acuerdo a la siguiente expresión:
     
    .
     
            Donde:
     
            SFO1S : Monto de la cuota semestral del Subsidio Fijo a la 
                    Operación efectivo a pagar para el Semestre de Pago "s",
                    correspondiente al Establecimiento de Salud "Hospital
                    Félix Bulnes".
            SFOAS : Monto de la cuota semestral del Subsidio Fijo a la 
                    Operación para el Semestre de Pago "s", ajustado de 
                    acuerdo a lo estipulado en el artículo 1.12.9 de las 
                    Bases de Licitación.
                    El monto de la cuota semestral del Subsidio Fijo a la
                    Operación, solicitado por el Concesionario en su Oferta
                    Económica, equivale a UF 180.000 (ciento ochenta mil
                    Unidades de Fomento).
            SAPS1 : Semestre de Pago en que se obtiene la Autorización de 
                    Pagos de Subsidios del Establecimiento de Salud
                    "Hospital Félix Bulnes",
                    contado desde el inicio de la concesión.
            s    : Semestre de Pago "s" contado desde el inicio de la 
                    concesión establecido en el artículo 1.6.5 de las Bases
                    de Licitación (el Semestre de Pago
                    donde se inicia la concesión es s=1).
            z    : Semestre de Pago en que se obtiene la Autorización de 
                    Pagos de Subsidios del Establecimiento de Salud
                    "Hospital Félix Bulnes",
                    contado desde el inicio de la concesión.
     
            El valor del SFO1s será redondeado a su entero superior más
            cercano para el caso de fracción igual o superior a cinco
            décimas y para el caso contrario, será redondeado al entero
            inferior cuando la fracción sea menor a cinco décimas.

            Las fechas de pago serán el 31 de marzo y el 30 de septiembre
            de cada año, o el día hábil siguiente a estas fechas en el
            caso en que no correspondieran a días hábiles, salvo la
            primera cuota semestral que será cancelada dentro del plazo
            de 60 días contados desde la fecha de Autorización de Pagos
            de Subsidios del Establecimiento de Salud "Hospital Félix
            Bulnes", previa aprobación del Inspector Fiscal, en virtud
            del procedimiento establecido en el artículo 1.12.7 de las
            Bases de Licitación. Asimismo, si la diferencia de días entre
            dicha Autorización de Pagos de Subsidios y la fecha de pago
            de la segunda cuota semestral es inferior a 60, el pago de
            dicha cuota se efectuará junto con el pago de la primera
            cuota semestral.

          . El Servicio de Salud Metropolitano Occidente, de acuerdo a
            lo señalado en el artículo 1.12.2.3 de las Bases de
            Licitación, pagará anualmente al Concesionario, para el
            Establecimiento de Salud "Hospital Félix Bulnes", cuotas
            anuales vencidas correspondientes al Subsidio Variable, de
            acuerdo a la siguiente expresión:
     
    .
     
            Donde:
     
            SV1v    : Monto de la cuota anual del Subsidio Variable del
                      Establecimiento de Salud "Hospital Félix Bulnes" para
                      el año "v".
            v      : Año Calendario del Establecimiento de Salud "Hospital
                      Félix Bulnes".
            PVCA1v-1: Pago variable por Día Cama Ocupado adicional para el
                      Establecimiento de Salud "Hospital Félix Bulnes" para
                      el año "v-1", de acuerdo a lo establecido en el 
                      artículo 1.12.9 de las Bases de Licitación.
            DCO1v-1 : Número de Días Cama Ocupados entre el 1º de enero y el
                      31 de diciembre del año "v-1" registrado para el
                      Establecimiento de Salud "Hospital Félix Bulnes".
            DCB1    : Número de Días Cama Ocupados Base, equivalentes a
                      114.537, para el Establecimiento de Salud "Hospital
                      Félix Bulnes".
            PA1v-1  : Pago por Nuevas Inversiones solicitadas en el año 
                      "v-1" y por Servicios  Adicionales, de acuerdo a lo
                      establecido en el artículo
                      1.10.1.1 de las Bases de Licitación, para
                      el Establecimiento de Salud "Hospital Félix Bulnes".
            RS1v-1  : Resultado de Servicio para el año "v-1", de acuerdo a 
                      lo establecido en el artículo 2.6.2.3 de las Bases de
                      Licitación, para el Establecimiento de Salud "Hospital
                      Félix Bulnes".
     
            El Subsidio Variable para el Establecimiento de Salud "Hospital
            Félix Bulnes", sólo será exigible a partir del año siguiente a
            aquél en que se obtenga la Autorización de Pagos de Subsidios de
            dicho Establecimiento de Salud.
            El valor del SV1v será redondeado a su entero superior más
            cercano para el caso de fracción igual o superior a cinco
            décimas y para el caso contrario,
            será redondeado al entero inferior
            cuando la fracción sea menor a cinco décimas.
            Las fechas de pago serán el 31 de marzo de cada año, o el día
            hábil siguiente a estas fechas en el caso en que no
            correspondieran a días hábiles, previa aprobación del
            Inspector Fiscal, en virtud del procedimiento establecido en
            el artículo 1.12.7 de las Bases de Licitación.

          . En conformidad a lo señalado en el artículo 1.12.2.4 de las
            Bases de Licitación, el Servicio de Salud Metropolitano
            Occidente pagará al Concesionario los montos por el Servicio
            de Alimentación Adicional que correspondan, de acuerdo a lo
            establecido en dicho artículo. El pago se efectuará en el
            plazo máximo de 30 días contados desde la fecha de recepción
            conforme de la factura por la Dirección del Establecimiento
            de Salud "Hospital Félix Bulnes", en el equivalente en pesos
            a la fecha de emisión de ésta.
          . En conformidad a lo señalado en el artículo 1.12.2.5 de las
            Bases de Licitación, el Ministerio de Salud, de acuerdo al
            Mecanismo de Distribución de Riesgo Financiero, regulado en
            el artículo 1.12.10 de las Bases de Licitación, aceptado
            por el Licitante Adjudicatario en su Oferta Económica,
            deberá pagar el monto (B) al Concesionario, o a aquel a
            quién éste haya cedido o transferido a cualquier título
            los flujos correspondientes al Subsidio Fijo a la
            Construcción (SFC), al Subsidio Fijo por concepto de
            adquisición y reposición de Mobiliario No Clínico durante
            la Etapa de Construcción (SFMNC) y al Subsidio Fijo por
            concepto de adquisición y reposición de Equipamiento Médico
            y Mobiliario Clínico durante la Etapa de Construcción
            (SFEM), este último si corresponde de acuerdo a lo
            establecido en el artículo 1.12.2.8 de las Bases de
            Licitación, en la eventualidad que corresponda. Este pago
            se realizará en un plazo máximo de 210 días contados desde
            la fecha de adjudicación de la licitación señalada en dicho
            artículo y en la forma establecida en el artículo 1.12.6
            de las Bases de Licitación.
          . En conformidad a lo señalado en el artículo 1.12.2.6 de las
            Bases de Licitación, en el evento que el número diario de
            Días Cama Ocupados sea mayor a un 110% de la capacidad límite
            establecida para el Establecimiento de Salud "Hospital Félix
            Bulnes", equivalente a 523, el Servicio de Salud Metropolitano
            Occidente pagará a la Sociedad Concesionaria, por concepto
            de sobredemanda de camas, un monto de UTM 0,3, por día en
            que se incurra en dicha situación. El pago por este concepto
            se realizará el año siguiente en que se incurrió en dicha
            situación.

            Las fechas de pago serán el 31 de marzo de cada año, o el
            día hábil siguiente a estas fechas en el caso en que no
            correspondieran a días hábiles, previa aprobación del
            Inspector Fiscal, en virtud del procedimiento establecido
            en el artículo 1.12.7 de las Bases de Licitación.

          . De acuerdo a lo establecido en el artículo 1.12.2.7 de las
            Bases de Licitación, el Ministerio de Salud pagará anualmente
            al Concesionario, un Subsidio Fijo por concepto de
            adquisición y reposición de Mobiliario No Clínico durante la
            Etapa de Construcción, en 15 (quince) cuotas, equivalentes
            a UF 3.490 (tres mil cuatrocientas noventa Unidades de
            Fomento) cada una, y un Subsidio Fijo por concepto de
            adquisición y reposición de Mobiliario No Clínico durante
            la Etapa de Explotación, en 15 (quince) cuotas, equivalentes
            a UF 1.510 (mil quinientas diez Unidades de Fomento) cada una.

            El pago del subsidio señalado será exigible a partir del
            año siguiente a aquél en que se obtenga la Autorización de
            Pagos de Subsidios del Establecimiento de Salud "Hospital
            Félix Bulnes". Las fechas de pago de las cuotas
            correspondientes al Subsidio Fijo por concepto de
            adquisición y reposición de Mobiliario No Clínico durante
            la Etapa de Construcción, serán el 31 de marzo de cada año,
            salvo que la Autorización de Pagos de Subsidios del
            Establecimiento de Salud "Hospital Félix Bulnes" se obtenga
            durante los 5 primeros meses del año calendario
            correspondiente, en cuyo caso la primera cuota deberá pagarse
            el 30 de septiembre de dicho año. Para el caso del Subsidio
            Fijo por concepto de adquisición y reposición de Mobiliario
            No Clínico durante la Etapa de Explotación, el pago de cada
            cuota deberá efectuarse dentro del plazo de 90 días desde
            finalizado el Año de Explotación correspondiente. Lo anterior
            previa aprobación del Inspector Fiscal, en virtud del
            procedimiento establecido en el artículo 1.12.7 de las Bases
            de Licitación. En caso que las fechas señaladas no
            correspondieran a días hábiles, el pago respectivo deberá
            realizarse el día hábil siguiente a dichas fechas.

          . De acuerdo a lo establecido en el artículo 1.12.2.8 de las
            Bases de Licitación y en conformidad al artículo 2.6 de las
            Bases de Licitación, el Ministerio de Salud pagará anualmente
            al Concesionario, un Subsidio Fijo por concepto de adquisición
            y reposición de Equipamiento Médico y Mobiliario Clínico
            durante la Etapa de Construcción, en 15 (quince) cuotas,
            equivalente a UF 109.750 (ciento nueve mil setecientas
            cincuenta Unidades de Fomento) cada una, y un Subsidio Fijo
            por concepto de adquisición y reposición de Equipamiento
            Médico y Mobiliario Clínico durante la Etapa de Explotación,
            en 15 (quince) cuotas, equivalente a UF 100.270 (cien mil
            doscientas setenta Unidades de Fomento) cada una.

            El pago del subsidio señalado será exigible a partir del año
            siguiente a aquél en que se obtenga la Autorización de Pagos
            de Subsidios del Establecimiento de Salud "Hospital Félix
            Bulnes". Las fechas de pago de las cuotas correspondientes
            al Subsidio Fijo por concepto de adquisición y reposición de
            Equipamiento Médico y Mobiliario Clínico durante la Etapa de
            Construcción, serán el 31 de marzo de cada año, salvo que la
            Autorización de Pagos de Subsidios del Establecimiento de
            Salud "Hospital Félix Bulnes" se obtenga durante los 5
            primeros meses del año calendario correspondiente, en cuyo
            caso la primera cuota deberá pagarse el 30 de septiembre de
            dicho año. Para el caso del Subsidio Fijo por concepto de
            adquisición y reposición de Equipamiento Médico y Mobiliario
            Clínico durante la Etapa de Explotación, el pago de cada
            cuota deberá efectuarse dentro del plazo de 90 días desde
            finalizado el Año de Explotación correspondiente. Lo anterior
            previa aprobación del Inspector Fiscal, en virtud del
            procedimiento establecido en el artículo 1.12.7 de las Bases
            de Licitación. En caso que las fechas señaladas no
            correspondieran a días hábiles, el pago respectivo deberá
            realizarse el día hábil siguiente a dichas fechas.

    iii) El Concesionario podrá prestar los Servicios Complementarios señalados en el artículo 2.6 letra c) de las Bases de Licitación que sean aprobados por el Inspector Fiscal, de acuerdo a lo establecido en el Anexo B numeral 3 de las Bases de Licitación.
    iv)  En conformidad a lo establecido en el artículo 1.10.11 de las Bases de Licitación, se establece un Mecanismo de Determinación de Niveles de Servicio, el cual tiene por finalidad generar incentivos para una adecuada prestación de los servicios, y de ninguna forma constituye un incentivo económico garantizado en el tiempo, en cuanto no se cumplan las condiciones y exigencias establecidas en los artículos 2.6.2.1, 2.6.2.2, 2.6.2.3 y 2.6.2.4 de las Bases de Licitación. El pago establecido en el artículo 2.6.2.3 de las Bases de Licitación, denominado Resultado de Servicio, para el Establecimiento de Salud "Hospital Félix Bulnes", se pagará una vez al año, conjuntamente con el pago del Subsidio Variable establecido en el artículo 1.12.2.3 de las Bases de Licitación.
     
18.- Las garantías que deberá entregar el Concesionario por construcción y explotación de las obras, conforme a lo establecido en los artículos 1.8.3.1 y 1.8.3.2 de las Bases de Licitación, se indican a continuación:
     
    GARANTÍA DE CONSTRUCCIÓN:
     
    El Concesionario, junto con la solicitud de inicio de la construcción de las obras del Establecimiento de Salud "Hospital Félix Bulnes", entregará al MOP la Garantía de Construcción, en reemplazo de la garantía de seriedad de la Oferta, según lo dispuesto en el artículo 1.8.3.1 de las Bases de Licitación.
    La garantía de construcción deberá estar constituida por diez boletas de garantía bancaria, de igual monto, o bien por una póliza de seguro de garantía de ejecución inmediata para concesiones de obras públicas, de acuerdo a lo dispuesto en el artículo 1.8.3.1 de las Bases de Licitación, pagaderas a la vista, emitidas en Santiago de Chile por un Banco o Compañía de Seguros de la plaza, según corresponda, a nombre del Director General de Obras Públicas, por un valor total de UF 350.000 (trescientas cincuenta mil Unidades de Fomento). La glosa de cada boleta y/o materia asegurada será: "Para garantizar el cumplimiento de las obligaciones durante la Etapa de Construcción del Establecimiento de Salud denominado Hospital Félix Bulnes".
    En caso de contratar una póliza de seguro, ésta deberá corresponder a la depositada en la Superintendencia de Valores y Seguros bajo el código POL 1 08 060. La mencionada póliza tendrá como contratante y afianzado al Adjudicatario o a la Sociedad Concesionaria, según corresponda, y como asegurado al Director General de Obras Públicas.
    Una vez que haya sido acreditada la ejecución del 15% de la obra, mediante la correspondiente declaración de avance prevista en el artículo 1.9.6 letra a) de las Bases de Licitación, la garantía de construcción podrá ser reemplazada por diez boletas de garantía bancaria, de igual monto, o bien, por una póliza de seguro de garantía de ejecución inmediata para concesiones de obras públicas, por un valor total de UF 300.000 (trescientas mil Unidades de Fomento).
    Una vez que haya sido acreditada la ejecución del 35% de la obra, mediante la correspondiente declaración de avance prevista en el artículo 1.9.6 letra b) de las Bases de Licitación, la garantía de construcción podrá ser reemplazada por diez boletas de garantía bancaria, de igual monto, o bien, por una póliza de seguro de garantía de ejecución inmediata para concesiones de obras públicas, por un valor total de UF 250.000 (doscientas cincuenta mil Unidades de Fomento).
    Una vez que haya sido acreditada la ejecución del 60% de la obra, mediante la correspondiente declaración de avance prevista en el artículo 1.9.6 letra c) de las Bases de Licitación, la garantía de construcción podrá ser reemplazada por diez boletas de garantía bancaria, de igual monto, o bien, por una póliza de seguro de garantía de ejecución inmediata para concesiones de obras públicas, por un valor total de UF 200.000 (doscientas mil Unidades de Fomento).
    Una vez que haya sido acreditada la ejecución del 85% de la obra, mediante la correspondiente declaración de avance prevista en el artículo 1.9.6 letra d) de las Bases de Licitación, la garantía de construcción podrá ser reemplazada por diez boletas de garantía bancaria, de igual monto, o bien, por una póliza de seguro de garantía de ejecución inmediata para concesiones de obras públicas, por un valor total de UF 150.000 (ciento cincuenta mil Unidades de Fomento).
    La vigencia de la garantía de construcción deberá ser, al menos, equivalente a toda la Etapa de Construcción de la obra, más 90 días, contados desde la fecha de su entrega, sin perjuicio que el Concesionario hubiere entregado la Garantía de Explotación. En el caso de disminución del monto total de las garantías según el avance de las obras, el plazo de vigencia de la o las Boletas de Garantía, será, al menos, el que resulte de la diferencia entre el plazo de la Etapa de Construcción y el tiempo transcurrido hasta la correspondiente declaración de avance, más 90 días.
    Cumplido lo señalado en el artículo 34 Nº2 del Reglamento, el MOP devolverá la garantía de construcción en un plazo máximo de 30 días.
     
    GARANTÍA DE EXPLOTACIÓN:
     
    El Concesionario, conjuntamente con la solicitud al DGOP de la autorización de la Puesta en Servicio Provisoria, entregará al MOP la Garantía de Explotación.
    La garantía de explotación deberá estar constituida por cuatro (4) boletas de garantía bancaria, de igual monto, o bien por una póliza de seguro de garantía de ejecución inmediata para concesiones de obras públicas, de acuerdo a lo dispuesto en el artículo 1.8.3.2 de las Bases de Licitación, por un valor total de UF 250.000 (doscientas cincuenta mil Unidades de Fomento), pagaderas a la vista, emitidas en Santiago de Chile por un Banco o Compañía de Seguros de la plaza, según corresponda, a nombre del Director General de Obras Públicas. La glosa de cada boleta y/o materia asegurada será: "Para garantizar el cumplimiento de las obligaciones durante la Etapa de Explotación del Establecimiento de Salud denominado Hospital Félix Bulnes".
    Toda garantía deberá tener una vigencia, al menos, equivalente a toda la Etapa de Explotación más 365 días o en el caso de disminución del monto total de la garantía, será, al menos, el plazo que reste de la Etapa de Explotación más 365 días, contados desde la fecha de entrega. No obstante, el Concesionario podrá optar por entregar garantías cuya vigencia sea menor, con un plazo no inferior a 365 días, y renovarlas 90 días antes de su término de vigencia, siempre que ello sea aceptado por el DGOP. Para ello, el Concesionario deberá solicitar por escrito al DGOP la autorización requerida. Dentro de los 30 días posteriores a la fecha de recepción en la Oficina de Partes de la DGOP de dicha solicitud, el DGOP comunicará por escrito su decisión de rechazo o aceptación. En este último caso, el plazo de la última garantía será, al menos, lo que reste de la Etapa de Explotación más 365 días.
    Al completarse 365 días, contados desde la Puesta en Servicio Definitiva de las Obras, y sólo si el Concesionario no hubiese acumulado multas pagadas por un monto superior a UTM 2.500 en los últimos dos semestres de pago anteriores, la garantía de explotación podrá ser reemplazada por cuatro (4) boletas de garantía bancaria, de igual monto, o bien, por una póliza de seguro de garantía de ejecución inmediata para concesiones de obras públicas, por un valor total de UF 210.000 (doscientas diez mil Unidades de Fomento).
    Al completarse 730 días contados desde la Puesta en Servicio Definitiva de las Obras, y sólo si el Concesionario no hubiese acumulado multas pagadas por un monto superior a UTM 2.500 en los últimos dos semestres de pago anteriores, la garantía de explotación podrá ser reemplazada por cuatro (4) boletas de garantía bancaria, de igual monto, o bien, por una póliza de seguro de garantía de ejecución inmediata para concesiones de obras públicas, por un valor total de UF 180.000 (ciento ochenta mil Unidades de Fomento).
    Al completarse 1.095 días contados desde la Puesta en Servicio Definitiva de las Obras, y sólo si el Concesionario no hubiese acumulado multas pagadas por un monto superior a UTM 2.500 en los últimos dos semestres de pago anteriores, la garantía de explotación podrá ser reemplazada por cuatro (4) boletas de garantía bancaria, de igual monto, o bien, por una póliza de seguro de garantía de ejecución inmediata para concesiones de obras públicas, por un valor total de UF 140.000 (ciento cuarenta mil Unidades de Fomento).
    De acuerdo a lo establecido en el artículo 35 Nº3 del Reglamento, cuando falten 24 meses para el término del plazo de concesión y con el objeto de asegurar el cumplimiento de las condiciones en las que el MOP recibirá la concesión, el Concesionario deberá entregar una garantía adicional constituida por cuatro (4) boletas de garantía bancarias, de igual monto, o bien, por una póliza de seguro garantía de ejecución inmediata para concesiones de obras públicas, de acuerdo a lo dispuesto en el artículo 1.8.3.2 de las Bases de Licitación, por un valor total de UF 200.000 (doscientas mil Unidades de Fomento), pagaderas a la vista, emitidas en Santiago de Chile por un Banco o Compañía de Seguros de la Plaza, según corresponda, a nombre del Director General de Obras Públicas. Esta garantía adicional tendrá un plazo de vigencia de, al menos, 1.095 (mil noventa y cinco) días contados desde la fecha de entrega de la garantía, y la glosa de cada boleta y/o materia asegurada será: "Para asegurar el cumplimiento de las condiciones en las que el MOP recibirá la Concesión, de acuerdo a lo establecido en las Bases de Licitación de la obra pública fiscal denominada Hospital Félix Bulnes".
    En caso de contratar una póliza de seguro, ésta deberá corresponder a la depositada en la Superintendencia de Valores y Seguros bajo el código POL 1 08 060. La mencionada póliza tendrá como contratante y afianzado a la Sociedad Concesionaria, y como asegurado al Director General de Obras Públicas.
    La Garantía de Explotación conjuntamente con la adicional, serán devueltas en el plazo de 15 días contados desde que el Inspector Fiscal de Explotación certifique que el Concesionario ha cumplido todas las obligaciones contraídas con el MOP, el Servicio de Salud Metropolitano Occidente y el Ministerio de Salud.

19.- Conforme a lo señalado en el artículo 1.12.5 de las Bases de Licitación, el Concesionario, el Ministerio de Salud y el Servicio de Salud Metropolitano Occidente realizarán los pagos establecidos en el Contrato de Concesión en los plazos señalados en las Bases de Licitación. En el caso que se produzcan retrasos, dichos pagos devengarán un interés real diario equivalente, en base a 360 días, a la tasa de interés corriente para operaciones reajustables en moneda nacional a menos de un año, vigente a la fecha del pago efectivo, lo que debe entenderse sin perjuicio de la aplicación de las multas que correspondan. No obstante lo anterior, el retraso injustificado de los pagos que el Concesionario tenga que realizar al Minsal, al Servicio de Salud o al MOP, si procede, dará derecho al MOP al cobro de la correspondiente garantía, conforme a lo señalado en el artículo 1.8.3 de las Bases de Licitación.
20.- Las multas que procedan se aplicarán conforme a lo estipulado en las Bases de Licitación y sus Circulares Aclaratorias; en el DS MOP Nº 900 de 1996, que fija el texto refundido, coordinado y sistematizado del DFL MOP Nº 164 de 1991, Ley de Concesiones de Obras Públicas, y sus modificaciones; y en el DS MOP Nº 956 de 1997, Reglamento de la Ley de Concesiones, y sus modificaciones.
21.- La Dirección General de Obras Públicas será el Servicio del Ministerio de Obras Públicas que fiscalizará el contrato de concesión en sus diversos aspectos.
     
    Anótese, tómese razón y publíquese.- SEBASTIÁN PIÑERA ECHENIQUE, Presidente de la República.- Lucas Palacios Covarrubias, Ministro de Obras Públicas (S).- Felipe Larraín Bascuñán, Ministro de Hacienda.
    Lo que transcribo a Ud. para su conocimiento.- Saluda atte. a Ud., Sergio Galilea Ocon, Subsecretario de Obras Públicas.