1. Modifícase el resuelvo Nº2 de la resolución exenta Nº 1.378, de 30 de junio de 2014, de esta Secretaría Ministerial, en el sentido de reemplazar la tabla inserta por la siguiente:

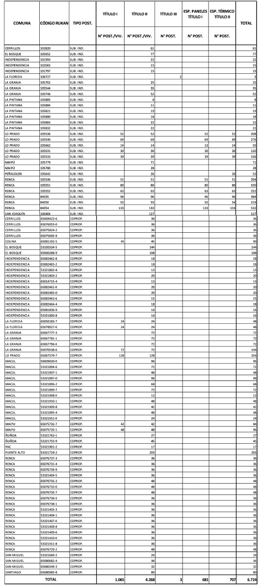
2. Modifícase, asimismo, el cuadro inserto en el resuelvo Nº 4 por el siguiente:

Consecuentemente, modifícanse en lo pertinente las nóminas de postulantes establecidas en el resuelvo 3 de la resolución Nº 1.378, que por este acto se modifica, las que se entenderán formar parte integrante de la presente resolución.
3. Establécese que la resolución exenta Nº 1.378 de 30 de junio de 2014, de esta Secretaría Ministerial, se mantendrá vigente en todo lo que no ha sido modificado por la presente resolución.