OTORGA A SOCIEDAD AUSTRAL DE ELECTRICIDAD S.A. (SAESA) CONCESIÓN DEFINITIVA DE SERVICIO PÚBLICO DE DISTRIBUCIÓN DE ENERGÍA ELÉCTRICA EN LA REGIÓN DE ANTOFAGASTA
Núm. 52.- Santiago, 29 de mayo de 2015.
Visto:
Lo informado por la Superintendencia de Electricidad y Combustibles en el oficio Ord. Nº 5800, ACC 1142540, DOC 932954, de fecha 29 de abril de 2015; lo dispuesto en el decreto con fuerza de ley Nº 4/20.018, de 2006, del Ministerio de Economía, Fomento y Reconstrucción, que fija el texto refundido, coordinado y sistematizado del decreto con fuerza de ley Nº 1, de Minería, de 1982, Ley General de Servicios Eléctricos, en materia de energía eléctrica, en adelante e indistintamente "Ley General de Servicios Eléctricos" y sus modificaciones posteriores; en el decreto ley Nº 2.224, de 1978, que crea el Ministerio de Energía y la Comisión Nacional de Energía; en la ley Nº 19.880, que establece Bases de los Procedimientos Administrativos que Rigen los Actos de los Órganos de la Administración del Estado; en la resolución Nº 1.600, de 2008, de la Contraloría General de la República, y en los demás antecedentes adjuntos;
Considerando:
Lo informado por la Superintendencia de Electricidad y Combustibles en el oficio Ord. Nº 5800, ACC 1142540, DOC 932954, de fecha 29 de abril de 2015, el que pasa a formar parte del presente acto administrativo, y de acuerdo a lo dispuesto en los artículos 19º y 41º de la ley Nº 19.880, que establece Bases de los Procedimientos Administrativos que Rigen los Actos de los Órganos de la Administración del Estado.
Decreto:
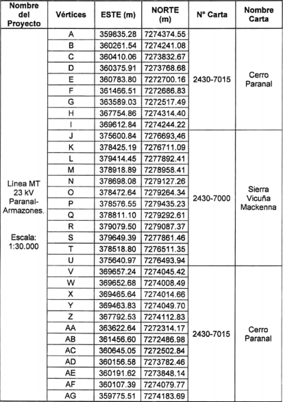
Artículo 1º.- Otórgase a la Sociedad Austral de Electricidad S.A., en adelante Saesa, concesión definitiva para establecer, operar y explotar en la Región de Antofagasta, provincia de Antofagasta, comunas de Antofagasta y Taltal, las instalaciones de servicio público de distribución de energía eléctrica constitutiva del siguiente proyecto:

Artículo 2º.- El objetivo de la presente concesión está destinado a suministrar servicio público eléctrico de distribución a los observatorios Paranal y Armazones, de propiedad de European Southern Observatory, ESO, dentro de la zona de concesión que se solicita.
Artículo 3º.- El presupuesto del costo de las obras asciende a $370.000.000.- (trescientos setenta millones de pesos).
Artículo 4º.- Copias de los planos generales de las obras, de las memorias explicativas de las mismas y de los restantes antecedentes técnicos que pasan a formar parte del presente decreto, quedarán archivadas en la Superintendencia de Electricidad y Combustibles.
Artículo 5º.- En su recorrido las instalaciones ocuparán bienes nacionales de uso público y dos predios particulares. En estos últimos, será necesario constituir servidumbres eléctricas, en los términos señalados en el artículo 7º del presente decreto.
Artículo 6º.- Apruébanse los planos especiales de servidumbre que se indican en el artículo 7º del presente decreto.
Artículo 7º.- Constitúyanse, de acuerdo con lo que sobre el particular establece la Ley General de Servicios Eléctricos, servidumbre para el tendido de línea de distribución en los predios que se indican a continuación:
. Artículo 8º.- Reconócese al concesionario el derecho a usar bienes nacionales de uso público para tender líneas aéreas y subterráneas destinadas a la distribución de la zona de concesión, en los términos del artículo 16º de la Ley General de Servicios Eléctricos, sin perjuicio de las demás autorizaciones que deban ser otorgadas por los organismos competentes.
Artículo 9º.- La zona de concesión solicitada no se superpone con zonas otorgadas con anterioridad a otras empresas distribuidoras.
Artículo 10º.- Las líneas podrán atravesar ríos, canales, líneas férreas, puentes, acueductos, cruzar calles, caminos y otras líneas eléctricas. Estos cruzamientos se ejecutarán en conformidad con las prescripciones que establecen los reglamentos, de manera que garanticen la seguridad de las personas y propiedades.
El trazado aéreo de la línea cruzará en un punto a un gasoducto subterráneo de propiedad de la empresa Gasoducto Taltal Limitada.
Artículo 11º.- La presente concesión se otorga en conformidad a lo dispuesto en la Ley General de Servicios Eléctricos y queda sometida a todas las disposiciones legales y reglamentarias vigentes o que se dicten en el futuro sobre la materia.
Artículo 12º.- La zona de concesión será la comprendida dentro de la poligonal que se describe a continuación y que aparece demarcada en el plano de zona de concesión a escala 1:30.000, que se encuentra basado en la carta del Instituto Geográfico Militar a escala 1:50.000.
. Artículo 13º.- Esta concesión se otorga por plazo indefinido.
Artículo 14º.- Los trabajos se iniciarán al quinto día siguiente a la fecha de reducción a escritura pública del presente decreto, y el plazo para la terminación total de las obras será de 300 días. Los plazos para su terminación por etapas serán los siguientes:
1.- Fundaciones........ :120 días
2.- Instalaciones de postes y montaje de estructuras........:.90 días
3.- Tendido de conductores....... .:.60 días
4.- Pruebas finales y recepción de las obras......... :.30 días
Artículo 15º.- El presente decreto deberá ser reducido a escritura pública por el interesado antes de quince días, contados desde la fecha de su publicación en el Diario Oficial.
Artículo 16º.- El concesionario estará obligado a prestar el servicio de transporte de energía eléctrica en las condiciones de calidad y continuidad que establezcan la ley y los reglamentos.
Artículo 17º.- El concesionario estará obligado a levantar íntegramente las instalaciones cuando ellas queden inutilizadas para el objetivo de la presente concesión. Esta obligación sólo es válida para aquellas instalaciones que hagan uso de bienes nacionales de uso público, terrenos fiscales o terrenos particulares, en virtud de servidumbres constituidas.
El levantamiento deberá efectuarse dentro del plazo y en las condiciones que fije la Superintendencia, de conformidad a los reglamentos y normas técnicas aplicables.
Artículo 18º.- La concesión que por este acto se otorga no exime del cumplimiento de las demás obligaciones legales, como lo es el acatamiento de la legislación ambiental en forma previa a la ejecución de las obras que se amparen en esta concesión.
Anótese, tómese razón, notifíquese y publíquese en el Diario Oficial y en el sitio web de Ministerio de Energía.- Por orden de la Presidenta de la República, Máximo Pacheco M., Ministro de Energía.
Lo que transcribo a Ud. para su conocimiento.- Saluda atte. a Ud., Hernán Moya Bruzzone, Jefe División Jurídica, Subsecretaría de Energía.