DISPONE ASIGNACIÓN DE RECURSOS PARA LA REGIÓN METROPOLITANA Y APRUEBA NÓMINA DE POSTULANTES SELECCIONADOS CORRESPONDIENTE AL MES DE DICIEMBRE DEL LLAMADO EXTRAORDINARIO 2015, QUE SE DESTINARÁN AL FINANCIAMIENTO DE SUBSIDIOS PARA EL DESARROLLO DE PROYECTOS DEL PROGRAMA DE PROTECCIÓN AL PATRIMONIO FAMILIAR EN SU MODALIDAD REGULADA POR CAPÍTULO II DE LA ATENCIÓN A CONDOMINIOS DE VIVIENDAS SOCIALES
Núm. 3.295 exenta.- Santiago, 30 de diciembre de 2015.
Vistos:
1. El decreto supremo Nº 255 (V. y U.), de 2006, que regula el Programa de Protección del Patrimonio Familiar.
2. La resolución Nº 533 (V. y U.), de 1997, que fija Procedimiento para Prestación de Servicios de Asistencia Técnica a Programas de Viviendas que indica y deroga la resolución Nº 241 (V. y U.), de 1996.
3. La circular Nº 45, de la Subsecretaría de Vivienda y Urbanismo, de 26 de noviembre de 2015, que modifica metas del Programa Habitacional correspondiente al año 2015.
4. La resolución Nº 110 (V. y U.), de 2015, que autoriza los llamados a postulación para subsidios habitacionales en sistema y programas habitacionales que indica para el año 2015, entre ellos, el Programa de Protección del Patrimonio Familiar.
5. La resolución exenta Nº 923 (V. y U.), de 2015, que dispone el Llamado Extraordinario 2015 a postulación para el desarrollo de proyectos del Programa Protección del Patrimonio Familiar en su modalidad regulada por el Capítulo II, de la atención a Condominios de Viviendas Sociales y sus modificaciones.
6. La resolución exenta Nº 700, de la Seremi (V. y U.) que establece las variables regionales de prelación para la Comisión Evaluadora Llamado Extraordinario 2015 del Programa Protección del Patrimonio Familiar, Capítulo II de la atención a Condominios de Viviendas Sociales del D.S. Nº 255 (V. y U.), de 2006.
7. La resolución exenta Nº 1.318, de 12 de mayo de 2015, modificada por la resolución exenta Nº 1.479, de 2 de junio de 2015, ambas resoluciones de la Secretaría Ministerial MINVU, de que establecen los conjuntos de Interés Regional en el marco del Llamado Extraordinario de Condominios Sociales 2015.
8. El ord Nº 11.070, de fecha 29 de septiembre de 2015, de Jefe del Departamento de Estudios de Serviu Metropolitano, que informa montos de subsidios aprobados de proyectos calificados del mes de agosto del Llamado Extraordinario de Condominios Sociales 2015.
9. La resolución exenta Nº 2.532, de Seremi (V. y U.), de fecha 29.09.2015, que establece el orden de prelación de la nómina de copropiedades con proyectos aprobados correspondiente al proceso de postulación del mes de agosto del llamado extraordinario de condominios sociales 2015 y sus modificaciones.
10. Las facultades que me confieren el DS Nº 397 (V. y U.), de 1976, que fija el reglamento de las Secretarías Ministeriales de Vivienda.
11. El decreto supremo Nº 42 (V. y U.), de 28 de marzo de 2014.
12. La resolución TRA Nº272/781/2015, de 11 de febrero de 2015, y
13. Lo dispuesto en la resolución Nº 1.600 de 2008, de la Contraloría General de la República.
Considerando:
1. Que, el ordinario Nº 11.070, de fecha 29 de septiembre de 2015, de Jefe del Departamento de Estudios de Serviu Metropolitano, informa montos de subsidios aprobados de proyectos calificados del mes de agosto del Llamado Extraordinario de Condominios Sociales 2015.
2. Que, el memorándum Nº 1.135, de fecha 22 de diciembre de 2015, del Encargado de Equipo de Supervigilancia Seremi Metropolitana de Vivienda y Urbanismo, informa categoría de PSAT y capacidad de atención de beneficiarios para el Segundo Llamado de Condominios Sociales 2015.
3. Que, habiéndose cerrado el proceso de postulación del mes de agosto de 2015 del Llamado Extraordinario de proyectos del Programa de Protección del Patrimonio Familiar, en su modalidad regulada por el Capítulo II, de la atención de Condominios de Viviendas Sociales y considerando la modificación de metas del Programa Regional informada en la circular Nº 45 de fecha 26.11.2015, se procedió a seleccionar a los beneficiarios de acuerdo a lo señalado en la resolución exenta Nº 923 (V. y U.), de 11 de febrero de 2015 y al DS 255/2006, dicto la siguiente:
Resolución:
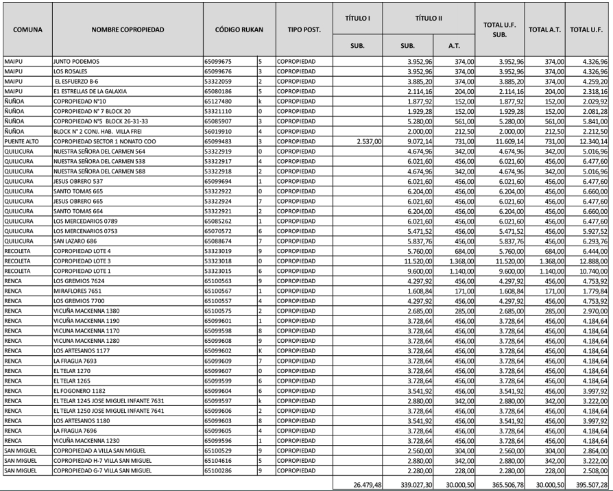
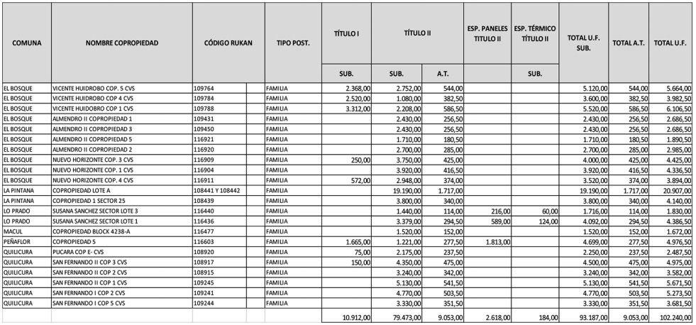
1. Dispóngase la asignación de recursos para la selección del Llamado del mes de diciembre de 2015, para el desarrollo de proyectos en Condominios de Viviendas Sociales, que se destinarán al financiamiento de los subsidios y al pago de los servicios de asistencia técnica, según la distribución que se señala a continuación:



2. Apruébanse las nóminas de postulantes seleccionados para el otorgamiento de subsidios habitacionales correspondientes al mes de diciembre de 2015, de acuerdo con lo dispuesto en el resuelvo número 1 de la resolución exenta Nº 923 (V. y U.), de 2015. Estas nóminas se adjuntan y se entenderán forman parte de la presente resolución.
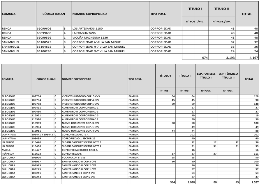
3. Fíjase el número de postulantes seleccionados en la Región Metropolitana de acuerdo a la distribución regional de recursos consignada en el resuelvo número 13º para los proyectos que se financiarán conforme lo dispone el resuelvo 14º, ambos de la resolución exenta Nº 923 (V. y U.), de 2015, y sus modificaciones, según se indica en la tabla que a continuación se inserta:


4. Publíquese, en un periódico de circulación regional, sin perjuicio de la ulterior publicación en el Diario Oficial, un aviso que indique el lugar y fecha en que serán publicadas las nóminas de postulantes seleccionados y los respectivos proyectos, conforme al cuadro inserto en el resuelvo Nº 3 precedente, las que deberán contener a lo menos, la comuna, el Título y la modalidad de proyecto del cual se trate del DS Nº 255/2006, nombre de cada postulante con su respectiva Cédula Nacional de Identidad.
NOTA
Los numerales 1 y 2 de la Resolución 1522 Exenta, Vivienda, publicada el 01.06.2017, modifica el resuelvo Nº 1 de la presente norma, en el sentido de reemplazar en la tabla inserta, la siguiente fila correspondiente al proyecto habitacional: "Lote Manzana Ñ", Código Rukan 65.091.696-4, de la comuna de La Florida por la que la citada norma indica, ademas modifica en lo pertinente la nómina de postulantes mencionada en el resuelvo 2.
Los numerales 1 y 2 de la Resolución 1522 Exenta, Vivienda, publicada el 01.06.2017, modifica el resuelvo Nº 1 de la presente norma, en el sentido de reemplazar en la tabla inserta, la siguiente fila correspondiente al proyecto habitacional: "Lote Manzana Ñ", Código Rukan 65.091.696-4, de la comuna de La Florida por la que la citada norma indica, ademas modifica en lo pertinente la nómina de postulantes mencionada en el resuelvo 2.
Anótese, comuníquese, publíquese y archívese.- Carolina Casanova Romero, Secretaria Ministerial Metropolitana de Vivienda y Urbanismo (S).