APRUEBA REGLAMENTO PARA CENTRALES DE BOMBEO SIN VARIABILIDAD HIDROLÓGICA

    Núm. 128.- Santiago, 27 de septiembre de 2016.

    Vistos:

    Lo dispuesto en los artículos 32 Nº 6 y 35 de la Constitución Política de la República; en el decreto ley Nº 2.224, de 1978, que crea el Ministerio de Energía y la Comisión Nacional de Energía; en el decreto con fuerza de ley Nº 4/20.018, de 2006, del Ministerio de Economía, Fomento y Reconstrucción, que fija texto refundido, coordinado y sistematizado del decreto con fuerza de ley Nº 1, de Minería, de 1982, Ley General de Servicios Eléctricos, en materia de energía eléctrica, en adelante e indistintamente la "Ley General de Servicios Eléctricos" o la "Ley"; en la ley Nº 20.936, que establece un nuevo sistema de transmisión eléctrica y crea un organismo coordinador independiente del sistema eléctrico nacional; en el decreto supremo Nº 62, de 2006, del Ministerio de Economía, Fomento y Reconstrucción, que aprueba reglamento de transferencias de potencia entre empresas generadoras establecidas en la Ley General de Servicios Eléctricos, y sus modificaciones posteriores; en la resolución Nº 1.600, de 2008, de la Contraloría General de la República; y

    Considerando:

    1. Que, el artículo 3° del decreto ley Nº 2.224, de 1978, que crea el Ministerio de Energía y la Comisión Nacional de Energía, señala que para los efectos de la competencia que corresponde al Ministerio de Energía, el sector de energía comprende todas las actividades de estudio, exploración, explotación, generación, transmisión, transporte, almacenamiento, distribución, consumo, uso eficiente, importación y exportación, y cualquiera otra que concierna a la electricidad, carbón, gas, petróleo y derivados, energía nuclear, geotérmica y solar, y demás fuentes energéticas;
    2. Que, el literal d) del artículo 4° del decreto ley precitado, señala que corresponde al Ministerio de Energía elaborar, coordinar, proponer y dictar, según corresponda, las normas aplicables al sector energía que sean necesarias para el cumplimiento de los planes y políticas energéticas de carácter general así como para la eficiencia energética, la seguridad y adecuado funcionamiento y desarrollo del sistema en su conjunto, pudiendo al efecto requerir la colaboración de las instituciones y organismos que tengan competencia normativa, de fiscalización o ejecución en materias relacionadas con la energía;
    3. Que, la ley Nº 20.936 introdujo modificaciones a la ley, definiendo a los sistemas de almacenamiento de energía como parte de las instalaciones eléctricas sujetas a la coordinación del Coordinador;
    4. Que, conforme a lo dispuesto en el artículo 72°-1 de la Ley, la operación de las instalaciones eléctricas que operen interconectadas entre sí, deberá coordinarse con el fin de preservar la seguridad del servicio en el sistema eléctrico; garantizar la operación más económica para el conjunto de las instalaciones del sistema eléctrico, y garantizar el acceso abierto a todos los sistemas de transmisión. Esta coordinación deberá efectuarse a través del Coordinador;
    5. Que, las centrales de bombeo sin variabilidad hidrológica son sistemas de almacenamiento de energía sujetas a la coordinación del Coordinador de acuerdo a lo señalado en el artículo 72° - 2 de la ley, y sus características técnicas, su disponibilidad y su impacto sistémico hacen necesario la regulación de las mismas para que éstas contribuyan a la seguridad, suficiencia y eficiencia económica del sistema;
    6. Que, el ejercicio de la potestad reglamentaria de ejecución implica dictar las disposiciones que se consideren necesarias para la plena aplicación de las leyes, potestad que se ejerce complementando las materias que han sido expresamente remitidas a un reglamento por la ley citada en los considerandos precedentes y colaborando para que todas sus disposiciones sean coherentes y armónicas entre sí, en un mismo acto administrativo para facilitar su comprensión y aplicación.

    Decreto:

    " Artículo único: Apruébase el siguiente reglamento para centrales de bombeo sin variabilidad hidrológica.




 

    "TÍTULO I
    DISPOSICIONES GENERALES





    Artículo 1°.- A los efectos de la aplicación de las disposiciones establecidas en el presente reglamento, se entenderá por:

    a. Coordinador: Coordinador independiente del sistema eléctrico nacional al que se refiere el Título VI Bis de la ley.
    b. Central de Bombeo: Aquellos sistemas de almacenamiento de energía conformados por centrales hidráulicas que operan con dos reservorios de acumulación de agua, localizados de manera tal que exista una diferencia de altura entre ellos para permitir el bombeo de agua para su almacenamiento y posterior utilización en la generación de electricidad.
    c. Ley: decreto con fuerza de ley Nº 4/20.018, de 2006, del Ministerio de Economía, Fomento y Reconstrucción, que fija texto refundido, coordinado y sistematizado del decreto con fuerza de ley Nº 1, de Minería, de 1982, Ley General de Servicios Eléctricos, en materia de energía eléctrica, y sus modificaciones posteriores o disposición que la reemplace.
    d. Modo de Bombeo: Corresponde al modo de operación de una Central de Bombeo en el cual el agua del reservorio inferior es bombeada hacia el reservorio superior para su acumulación y posterior empleo en la generación de electricidad.
    e. Modo de Generación: Corresponde al modo de operación de una Central de Bombeo en el cual la caída del agua del reservorio superior, a través de una o más turbinas que componen la Central de Bombeo, permite a la central generar energía eléctrica e inyectarla al sistema eléctrico.
    f. Potencia de Suficiencia Preliminar: Potencia de suficiencia preliminar a la que se refiere el Capítulo 2 del Título IV del decreto supremo Nº 62, de 2006, del Ministerio de Economía, Fomento y Reconstrucción, que aprueba el reglamento de transferencias de potencia entre empresas generadoras establecidas en la Ley General de Servicios Eléctricos y sus modificaciones posteriores.
    g. Potencia Inicial: Potencia inicial a la que se refiere el Capítulo 1 del Título IV del decreto supremo Nº 62, de 2006, del Ministerio de Economía, Fomento y Reconstrucción, que aprueba el reglamento de transferencias de potencia entre empresas generadoras establecidas en la Ley General de Servicios Eléctricos y sus modificaciones posteriores.
    h. Reglamento de Potencia: Decreto supremo Nº 62, de 2006, del Ministerio de Economía, Fomento y Reconstrucción, que aprueba el reglamento de transferencias de potencia entre empresas generadoras establecidas en la Ley General de Servicios Eléctricos, y sus modificaciones posteriores.
    i. Reservorio: Embalse, estanque o cuerpo de agua que permite la acumulación, evacuación o extracción de agua para una Central de Bombeo. Los Reservorios pueden ser de tipo natural, tales como lagos, lagunas y océanos, o artificial.
    j. Reservorio Inferior: Reservorio ubicado a menor altura con respecto al Reservorio Superior, desde el cual se extrae el recurso hídrico para ser bombeado.
    k. Reservorio Superior: Reservorio ubicado a mayor altura con respecto al nivel del mar, en comparación con el Reservorio Inferior, y que está destinado a la acumulación de agua.




    Artículo 2°.- Las disposiciones del presente reglamento serán aplicables a los propietarios, arrendatarios, usufructuarios o a quienes exploten a cualquier título una Central de Bombeo y a las Centrales de Bombeo que se encuentren interconectadas a los sistemas eléctricos con capacidad instalada de generación igual o superior a 200 MW, y que no estén sujetas a variabilidad de tipo hidrológico.
    Para estos efectos se entenderá que una Central de Bombeo no está sujeta a variabilidad de tipo hidrológico cuando el agua utilizada por la misma se extrae y bombea desde un Reservorio Inferior con un volumen tal que se mantiene una disponibilidad de recurso hídrico que no limita la operación de la central a potencia nominal. En tanto, el Reservorio Superior no debe tener extracciones distintas a las asociadas al Modo de Generación y sólo podrá presentar afluentes naturales menores, de baja probabilidad de ocurrencia y que, cuando ocurren, representan anualmente un porcentaje de la capacidad de acumulación menor al 1% del volumen total de acumulación.


    Artículo 3°.-  En las Centrales de Bombeo se distinguen dos modos de operación, denominados Modo de Bombeo y Modo de Generación. Los Modos de Bombeo y los Modos de Generación no podrán ocurrir en forma simultánea en aquellos casos en que coincidan el punto de conexión al sistema eléctrico desde el cual se efectúa el retiro de energía eléctrica para el Modo de Bombeo y el punto de conexión al sistema eléctrico donde se realizan las inyecciones para el Modo de Generación.
















    TÍTULO II
    PROGRAMACIÓN DE LA OPERACIÓN DerogadDecreto 125,ENERGÍA
Art. TERCERO
D.O. 20.12.2019
o.







    Artículo 10.-  DerogadDecreto 125,ENERGÍA
Art. TERCERO
D.O. 20.12.2019
o.
















    TÍTULO III
    TRANSFERENCIAS DE POTENCIA





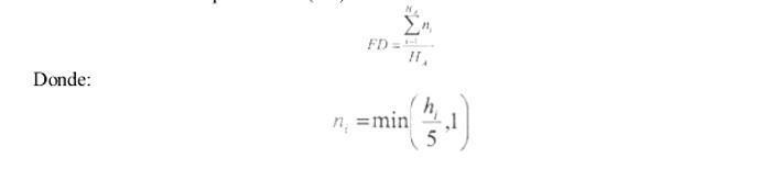
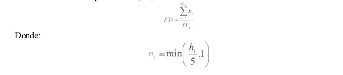
    Artículo 15.- Para los efectos de las transferencias de potencia a que se refiere el artículo 149º de la Ley, en particular, para el cálculo de la Potencia Inicial de una Central de Bombeo, los propietarios, arrendatarios, usufructuarios o quienes la exploten a cualquier título deberán enviar al Coordinador la estadística de cotas horarias del Reservorio Superior para el año correspondiente.
    A partir de la estadística señalada en el inciso anterior, el Coordinador determinará anualmente un factor de disponibilidad (FD) definido como:

    .

    hi : Cantidad de horas en que la Central de Bombeo hubiese podido operar a potencia máxima de acuerdo a la cota informada en la hora i.
    HA: Horas totales del año correspondiente. Para el primer año de operación de la Central de Bombeo, este valor se contará a partir de su fecha de entrada en operación.
    El Coordinador deberá determinar el factor de disponibilidad para cada año de cálculo según lo establecido en el Reglamento de Potencia. La Potencia Inicial de la Central de Bombeo corresponderá al producto del valor de potencia máxima de la unidad generadora por el menor valor del factor de disponibilidad de los últimos 5 años. En caso de no disponer del registro de los últimos 5 años, se utilizará la estadística real disponible.


    Artículo 16.-  La Potencia de Suficiencia Preliminar de la Central de Bombeo será determinada conforme a lo establecido en el Reglamento de Potencia y lo dispuesto en el presente reglamento.


    Artículo 17.-  El cálculo de la indisponibilidad forzada de la Central de Bombeo será determinado conforme a las metodologías establecidas en el Reglamento de Potencia y en la normativa técnica respectiva. Sin perjuicio de lo anterior, el cálculo de la indisponibilidad forzada deberá considerar la Central de Bombeo indisponible en aquellas horas en que, habiendo sido convocada al despacho en la operación real por el Coordinador no concurra a inyectar energía al sistema eléctrico.
    Asimismo, en dicho cálculo se deberá considerar la Central de Bombeo indisponible en aquellas horas en que los propietarios, arrendatarios, usufructuarios o quienes la exploten a cualquier título efectúen retiros para el Modo de Bombeo y que el programa de bombeo eficiente determinado por el Coordinador haya considerado como horas con inyecciones en el Modo de Generación.


    Artículo 18.- Los retiros de energía desde el sistema eléctrico efectuados para la operación en Modo de Bombeo, sólo serán considerados en la determinación de la demanda de punta del sistema eléctrico cuando dichos retiros ocurran en aquellas horas que hayan sido calificadas por el Coordinador como horas que no contribuyen a la operación económica y segura del sistema en los términos establecidos en el artículo 102 del decreto supremo Nº 125, de 2017, del Ministerio de Energía que aprueba reglamento de la Coordinación y Operación del Sistema Eléctrico Nacional. Se entenderá por demanda de punta aquella establecida en el Decreto 70, ENERGÍA
Art. cuarto i)
D.O. 05.06.2024
literal g) del artículo 13 del Reglamento de Potencia.
    Asimismo, los retiros de energía desde el sistema eléctrico efectuados para la operación en Modo de Bombeo sólo serán considerados en la determinación de la demanda de punta equivalente asignada a los propietarios, arrendatarios, usufructuarios o quienes exploten a cualquier título una Central de Bombeo, según lo establecido en el artículo 65 del Reglamento de Potencia, cuando dichos retiros ocurran en aquellas horas que hayan sido calificadas por el Coordinador como horas que no contribuyen a la operación económica y segura del sistema en los términos establecidos en el artículo 102Decreto 125,ENERGÍA
Art. TERCERO
D.O. 20.12.2019
del decreto supremo Nº 125, de 2017, del Ministerio de Energía que aprueba reglamento de la Coordinación y Operación del Sistema Eléctrico Nacional.


    DISPOSICIONES TRANSITORIAS





    Artículo primero transitorio:  El presente reglamento entrará en vigencia a los 2 meses siguientes a su publicación en el Diario Oficial.


    Artículo segundo transitorio: Hasta el 31 de diciembre de 2016, el CDEC SIC y el CDEC SING deberán efectuar las funciones que el presente decreto asigna al Coordinador.


    Artículo tercero transitorio: Los propietarios, arrendatarios, usufructuarios o quienes exploten a cualquier título una Central de Bombeo deberán concurrir al pago de los servicios complementarios por las inyecciones de energía al sistema eléctrico efectuadas durante la operación en el Modo de Generación de acuerdo a lo establecido en la normativa vigente, hasta el 31 de diciembre de 2019.".


    Anótese, tómese razón y publíquese.- MICHELLE BACHELET JERIA, Presidenta de la República.- Máximo Pacheco M., Ministro de Energía.
    Lo que transcribo a Ud. para su conocimiento.- Saluda Atte. a Ud., Hernán Moya Bruzzone, Jefe División Jurídica, Subsecretaría de Energía.