APRUEBA MANUAL DE PROCEDIMIENTOS PARA VIVIENDAS NUEVAS DEL SISTEMA DE CALIFICACIÓN ENERGÉTICA DE VIVIENDAS EN CHILE
Núm. 7.250 exenta.- Santiago, 15 de noviembre de 2016.
Visto:
Lo dispuesto en la Ley 16.391, en especial su artículo 2°, número 9° y 15°; el artículo 8°, letra d) del D.L. N° 1.305, de 1976; la Resolución N° 1.600, de 2008, de la Contraloría General de la República y,
Considerando:
a) Que una de las funciones del Ministerio de Vivienda y Urbanismo es realizar y fomentar la investigación científica y el perfeccionamiento profesional en materia de viviendas, por lo cual ha estimado conveniente promover el sistema de Calificación Energética de Viviendas con el objeto de proveer a los potenciales compradores de información objetiva relativa al comportamiento energético de las viviendas por parte de los propietarios primeros vendedores, a través de instrumentos que permitirán comparar y valorar su desempeño energético.
b) Que en virtud de lo anterior, el Ministerio ha creado un sistema de Calificación Energética de Viviendas en Chile y ha establecido el procedimiento de calificación, siendo sin embargo necesaria la modificación de dicho procedimiento a fin de adaptarlo a las actuales exigencias técnicas y tecnológicas, así como a la necesidad de detallar con mayor claridad las metodologías de cálculo del mismo.
Resuelvo:
1. Apruébese el Manual de Procedimientos para Viviendas Nuevas del "Sistema de Calificación Energética de Viviendas en Chile", el que se acompaña y se entenderá forma parte integrante de la presente resolución.
2. Déjese sin efecto a partir de la vigencia del presente acto administrativo, la resolución exenta N° 8.016 (Ministerio de Vivienda y Urbanismo), de 2013, que aprueba Manual de Procedimientos para la Calificación Energética de Viviendas en Chile.
Anótese, publíquese y archívese.- Paulina Saball Astaburuaga, Ministra de Vivienda y Urbanismo.
Lo que transcribo para su conocimiento.- Iván Leonhardt Cárdenas, Subsecretario de Vivienda y Urbanismo.
MANUAL DE PROCEDIMIENTOS PARA VIVIENDAS NUEVAS DEL SISTEMA DE CALIFICACIÓN ENERGÉTICA DE VIVIENDAS EN CHILE
La Calificación Energética de Viviendas (CEV), es un instrumento de uso voluntario, que permite realizar una evaluación objetiva y estandarizada para estimar y clasificar el requerimiento energético de una vivienda para lograr una temperatura considerada como confortable para sus usuarios.
INTRODUCCIÓN
PARTE I PROCEDIMIENTO ADMINISTRATIVO, DEFINICIONES Y RESPONSABILIDADES
1. ASPECTOS GENERALES
1.1. Disposiciones Generales
1.2. Definiciones
2. ACTORES DEL SISTEMA
2.1. Entidad Directiva
2.2. Entidad Administradora
2.3. Mandante
2.4. Evaluadores Energéticos
2.5. Fiscalizador
3. COMPONENTES DEL SISTEMA DE CALIFICACIÓN
3.1. Herramientas de calificación energética
3.2. Informes CEV
3.2.1. Informe de precalificación de eficiencia energética
3.2.2. Informe de calificación de eficiencia energética
3.3. Etiqueta de Eficiencia Energética
4. DE LAS ACTUACIONES DEL MINVU, LOS SERVICIOS DE VIVIENDA Y URBANIZACIÓN Y LAS SECRETARÍAS REGIONALES MINISTERIALES DE VIVIENDA Y URBANISMO
PARTE II GESTIÓN DOCUMENTAL DEL PROCESO DE CALIFICACIÓN ENERGÉTICA DE VIVIENDAS
5. ASPECTOS GENERALES
6. INFORMACIÓN REQUERIDA PARA LA CALIFICACIÓN
7. ACREDITACIÓN DE ALGUNAS PROPIEDADES AVALADAS POR ORGANISMOS EXTRANJEROS
8. CARPETA DE LA CALIFICACIÓN
8.1. Carpeta de calificación Energética por vivienda
8.2. Carpeta de calificación Energética de un edificio o conjunto habitacional
9. INFORMACIÓN PARA PUBLICITAR LA CALIFICACIÓN ENERGÉTICA
PARTE III PROCEDIMIENTO DE CÁLCULO DEL SISTEMA CEV
10. ASPECTOS GENERALES
11. INFORMACIÓN REQUERIDA PARA LA CALIFICACIÓN
11.1. Información obligatoria
11.2. Información adicional
12. HERRAMIENTAS DE LA CEV
12.1. Herramienta Excel
12.1.1. Interfaz de la hoja CE_Chile
12.1.2. Sección datos generales e identificación del proyecto
12.1.3. Descripción general de los elementos de la envolvente
12.1.4. Descripción general de los sistemas de calefacción y agua caliente sanitaria
12.2. Herramienta Web
12.2.1. Creación de proyecto en la Herramienta Web
12.2.2. Datos Iniciales
12.2.3. Datos del proyecto
12.2.4. Georreferenciación
12.2.5. Ingreso de Viviendas
12.2.6. Ingreso de Documentos
12.2.7. Evaluación de la vivienda
12.2.8. Pestaña Características
12.3. Dimensiones de la vivienda
12.3.1. Área
12.3.2. Altura
12.4. Características térmicas de la envolvente
12.4.1. Procedimiento para anotar el área y la transmitancia de los elementos de la envolvente
12.4.2. Modo de medir el área de cada elemento de la envolvente
12.4.3. Transmitancia Térmica (U)
12.4.4. Transmitancia Térmica Ventanas
12.4.5. Transmitancia térmica techumbre, muros, pisos ventilados y puertas
12.4.6. Transmitancia térmica de piso en contacto con el terreno
12.4.7. Sombreamiento y orientación de Ventanas
12.4.8. Coeficiente de Accesibilidad de la Ventana (FA)
12.4.9. Factor de accesibilidad respecto a elementos de sombra cercanos (FAV)
12.4.10. Factor de accesibilidad respecto a elementos de sombra remotos (FAR)
12.4.11. Ventanas
12.4.12. Factor Solar del Vidrio (FS)
12.4.13. Factor del marco de la ventana (FM)
12.5. Metodología a usar en el cálculo de la demanda de energía en calefacción
12.6. Resultados del cálculo de la demanda de energía en calefacción e iluminación
12.7. Definición de equipos y sistemas
12.7.1. Sistema de Calefacción
12.7.2. Sistema de agua caliente sanitaria
12.7.3. Sistema de iluminación
12.7.4. Energías Renovables No Convencionales – Sistema solar térmico (SST)
12.7.5. Energías Renovables No Convencionales – Sistema solar fotovoltaico (SSFV)
12.8. Resultados del consumo de energía primaria en calefacción, agua caliente sanitaria e iluminación
12.9. Índice de Sobrecalentamiento
12.10. Resultados detallados
REFERENCIAS
INTRODUCCIÓN
La Calificación Energética de Viviendas en Chile (CEV) es un instrumento diseñado por el Ministerio de Vivienda y Urbanismo, en conjunto con el Ministerio de Energía, que inició su funcionamiento en 2013. Desde entonces se aplica voluntariamente para calificar y evaluar objetiva y estandarizadamente proyectos de vivienda, respecto de sus requerimientos de energía para calefacción, agua caliente sanitaria e iluminación; esto, con el fin de entregar información objetiva tanto a usuarios que proyectan la compra de una vivienda, como a los mandantes de los proyectos.
Para realizar las calificaciones se consideran aspectos como transmitancia térmica de la envolvente (es decir, techo, muros exteriores, pisos, ventanas y puertas), orientación de la vivienda, desempeño de los equipos (para calefacción, agua caliente sanitaria e iluminación) y la incorporación de energías renovables no convencionales. Todos estos elementos son evaluados y comparados, con una vivienda de referencia que cumple con el estándar mínimo establecido en la Ordenanza General de Urbanismo y Construcción, mediante las pautas contenidas en el presente Manual de Procedimientos para Viviendas Nuevas del "Sistema de Calificación Energética de Viviendas en Chile" (CEV).
Este documento corresponde a la tercera versión del manual y contiene las directrices técnicas, procedimentales y de gestión necesarias para realizar calificaciones energéticas de viviendas nuevas mediante la herramienta CEV.
Se estructura en tres apartados (o capítulos): La Parte I contiene materias relacionadas con el procedimiento administrativo, definiciones y responsabilidades; la Parte II se refiere a la gestión documental del proceso de calificación de las viviendas, y la Parte III aborda el procedimiento de cálculo del sistema CEV, es decir, los aspectos técnicos requeridos para realizar una calificación.
El uso de este manual es imprescindible para realizar, de modo correcto, calificaciones energéticas mediante el sistema CEV y necesario para que los profesionales que intervienen en la construcción de proyectos de viviendas se familiaricen con el sistema y sus procedimientos.
PARTE I PROCEDIMIENTO ADMINISTRATIVO, DEFINICIONES Y RESPONSABILIDADES
1. ASPECTOS GENERALES
La primera parte del presente documento establece el procedimiento administrativo para la calificación energética de viviendas nuevas, en adelante Calificación Energética de Viviendas o CEV.
1.1. Disposiciones Generales
El mandante(1) deberá sujetarse al procedimiento a que se refiere el presente documento para la calificación energética de viviendas.
El objetivo de la CEV es la promoción de la eficiencia energética mediante la entrega de información objetiva por parte de los propietarios a los potenciales compradores, sobre el comportamiento energético de las viviendas. Asimismo, dicha calificación constituirá un estándar de medición de las características energéticas de las viviendas. Esta información es entregada por el mandante al usuario final, a través de un Informe de evaluación de eficiencia energética y la etiqueta de eficiencia energética, que le permitirá comparar y valorar su desempeño.
Son componentes de la CEV, el presente Manual de Procedimientos, la Herramienta de Cálculo, el Informe de Calificación de Eficiencia Energética, la Etiqueta de Eficiencia Energética, la Herramienta Web de administración y gestión, y los diversos protocolos y convenios que el Minvu elabore en relación con la CEV.
Integran y son actores de la CEV, el Mandante, que solicita la calificación energética de la vivienda y entrega la información necesaria para realizar la evaluación; el Evaluador Energético, que realiza la evaluación energética de la vivienda; el Usuario Final, a quien está orientada la información; el Fiscalizador, que revisa la correcta evaluación energética de las viviendas y su procedimiento; La Entidad directiva, que es la responsable de supervisar e instruir acciones para el funcionamiento del sistema CEV; y la Entidad Administradora, que está encargada del correcto funcionamiento y administración de éste.
La CEV de una vivienda consiste en la determinación de su eficiencia energética a través de un Informe de Evaluación Energética y una Etiqueta de Eficiencia Energética. El proceso descrito en el presente Manual es para viviendas nuevas y se puede realizar en dos etapas; precalificación y calificación, o bien directamente calificación.
.----------------------------------------------
1 En el caso de la CEV de vivienda nueva, cuando hablamos de mandante, nos referimos al propietario de la vivienda o proyecto.
La calificación energética de viviendas es una estimación teórica y comparativa que distingue a cada unidad de vivienda en niveles de eficiencia energética (7 niveles), que van desde la letra "A" a la "G", siendo la "A" la que representa una mayor eficiencia energética. La calificación se determinará en base a la relación entre el requerimiento energético de la vivienda que está siendo calificada y una vivienda de referencia, que corresponde a la misma vivienda, pero cumpliendo con el mínimo exigido por la O.G.U.C.
Las viviendas evaluadas poseerán las siguientes dos calificaciones:
La primera corresponde a la "calificación de arquitectura", donde el requerimiento de energía viene determinado por la demanda de energía en calefacción e iluminación, que dependen de las ganancias solares, nivel de aislamiento térmico de la envolvente y la zona térmica donde se ubica la vivienda; la segunda, corresponde a la "calificación de arquitectura + equipos + tipo de energía", donde el requerimiento de energía viene determinado por el consumo de energía en calefacción, agua caliente sanitaria e iluminación, que dependen de las variables indicadas para la calificación de arquitectura más el rendimiento energético de los equipos, tipo de energía primaria y aporte de energías renovables no convencionales (ERNC) para calefacción, agua caliente sanitaria e iluminación.
Los requerimientos de energía son de carácter referencial e informativo, por cuanto son calculados bajo condiciones estándar de uso de la vivienda y no representan necesariamente la demanda y consumo de energía de la vivienda.
1.2. Definiciones
Para los efectos del presente documento, se entenderá por:
Calificación Energética: procedimiento que busca la entrega de información objetiva acerca de la eficiencia energética de una vivienda, que parte con la evaluación de eficiencia energética de la misma y que culmina con la entrega de un informe y una etiqueta de eficiencia energética. Esta calificación tiene vigencia por un período de 10 años o hasta que la vivienda sea objeto de modificaciones.
Eficiencia energética de una vivienda: relación entre la cantidad de energía consumida y el producto final obtenido. Dicho producto final consiste en: calefacción apropiada, iluminación, producción de agua caliente sanitaria y confort térmico.
Entidad Administradora: entidad encargada de la correcta administración del sistema de calificación energética de viviendas. Dicho rol puede ser ejecutado directamente por el Minvu o por la entidad a la que el Minvu, en su calidad de Entidad Directiva, le encomiende mediante resolución, ya sea total o parcialmente.
Entidad Directiva: es la responsable de supervisar e instruir acciones para el funcionamiento del sistema CEV. Este rol corresponde al Minvu y no podrá ser delegado a otra entidad.
Etiqueta de Eficiencia Energética: documento que grafica la calificación energética de "arquitectura" y "arquitectura + equipos + tipos de energía", obtenida para la vivienda en virtud del proceso de calificación o precalificación. La Etiqueta acompaña al Informe de Evaluación de Eficiencia Energética respectivo y la validez de ésta corresponderá a la misma de dicho informe.
Evaluación energética de una vivienda: procedimiento destinado a determinar el nivel de eficiencia energética de una vivienda en virtud de su requerimiento de energía, a través de una calificación o precalificación energética.
Evaluador Energético: persona natural que, habiendo cumplido con los requisitos establecidos en el presente Manual, ha sido habilitada mediante resolución del Minvu para realizar la evaluación energética de viviendas, mediante la aplicación de la herramienta de calificación energética.
Fiscalizador: persona natural o jurídica que tiene por función realizar auditorías al proceso de calificación energética, informando de los resultados de éstas a la Entidad Administradora.
Herramienta de cálculo: sistema informático que permite ordenar la información necesaria para la calificación energética de la vivienda. Además, permite a los Evaluadores Energéticos realizar cálculos en forma automática, y entrega los resultados necesarios para la confección del informe de evaluación de eficiencia energética y de la etiqueta de eficiencia energética.
Esta herramienta está expresada tanto en una planilla Excel como en una aplicación web dispuesta por el Minvu en la página web de la Calificación Energética de Viviendas. De manera opcional, y en algunos casos de manera obligatoria, se permitirá el uso del programa informático CCTE v2.0 de cálculo en régimen dinámico, como herramienta para el cálculo de la demanda de energía en calefacción de la vivienda que está siendo calificada, o el programa informático que el Minvu defina.
Informe de calificación de eficiencia energética: documento que indica la calificación energética de la vivienda, en virtud del proceso de calificación energética. Corresponde a un documento final y definitivo, válido hasta por 10 años desde la fecha de su emisión.
Informe de precalificación de eficiencia energética: documento que indica la calificación energética obtenida por el proyecto de vivienda, en virtud del proceso de precalificación energética. Corresponde a un documento transitorio, válido hasta que la vivienda obtenga la recepción municipal definitiva.
Mandante: propietario de una vivienda (persona natural o jurídica) que solicita la calificación energética de ésta al Evaluador Energético, ya sea en etapa de proyecto o cuando la vivienda esté construida.
Manual de Procedimientos: el presente documento. Minvu: Ministerio de Vivienda y Urbanismo.
Precalificación Energética: procedimiento que busca la entrega de información objetiva acerca de la eficiencia energética de un proyecto de vivienda que parte con la evaluación de eficiencia energética de la misma y que culmina con la entrega de un informe y una etiqueta de eficiencia energética. Esta calificación es transitoria y tiene validez solo hasta la emisión de la calificación Energética o hasta la obtención de la Recepción Municipal Definitiva.
Usuario final de la vivienda o usuario final: persona natural que, pudiendo ser comprador de una vivienda, recibe por parte del Mandante, la Etiqueta de Eficiencia Energética y el Informe de Calificación de Eficiencia Energética, como información.
Vivienda a Calificar: vivienda que el mandante le encarga calificar a un evaluador energético acreditado.
Vivienda de Referencia: vivienda utilizada para hacer la comparación con la vivienda a calificar y obtener los porcentajes de diferencia con ésta que conducen a la calificación final.
La vivienda de referencia tiene la misma geometría (forma y dimensiones), ubicación geográfica, ganancias internas y superficie vidriada que la vivienda a calificar y difiere de ésta en los siguientes aspectos:
. Posee una orientación promedio de ventanas (Norte, Sur, Este, Oeste).
. La envolvente opaca cumple en forma exacta con los requerimientos de transmitancia térmica (U), establecidos en el art. 4.1.10 de la Ordenanza General de Urbanismo y Construcciones del año 2007; excepto para la zona térmica 1, donde el valor U del muro toma el valor de 3 W/m2K.
. Considera ventanas de vidrio simple con valor "U" de 5,8 W/m2K.
. Contempla sistemas de calefacción y agua caliente sanitaria con rendimientos establecidos por defecto.
Vivienda etiquetada: vivienda que ha sido evaluada y en la que se puede revisar preliminarmente la etiqueta de calificación energética, pero que aún está sujeta a modificaciones.
Vivienda finalizada: vivienda que ha sido evaluada y ya cuenta con etiqueta y certificado de calificación energética. Si no está liberada, esta vivienda puede ser vista sólo por el Evaluador Energético que realizó la evaluación y la entidad administradora.
Vivienda liberada: vivienda que ha sido evaluada y ya cuenta con etiqueta y certificado de calificación energética, los cuales están disponibles para ser revisados por usuarios en la página web de la calificación.
Vivienda Nueva: vivienda que cuenta con permiso de edificación (PE) o que la modificación vigente de este permiso cumpla con la reglamentación térmica vigente desde el año 2007, y que de tener Recepción Final (RF), tenga sólo una, de una data menor a 5 años y que la vivienda no tenga modificaciones respecto a dicha RF.
Vivienda Usada: vivienda que no cumple con la definición de vivienda nueva.
2. ACTORES DEL SISTEMA
2.1. Entidad Directiva
Este rol es ejecutado por el Minvu y consiste en la supervisión, e instrucción de acciones para el funcionamiento del sistema CEV. Además de lo anterior, la Entidad Directiva establece los requerimientos para acreditar y acredita, mediante resolución exenta, los siguientes roles:
a) Profesionales para que actúen como Evaluadores Energéticos.
b) Profesionales para que actúen como fiscalizadores del sistema CEV.
c) Entidades para que cumplan el rol de Entidad administradora total o parcialmente, cuando este rol no sea ejecutado por el Minvu.
2.2. Entidad Administradora
Este rol puede ser ejecutado por el Minvu o por la entidad a quien éste le delegue dicha tarea total o parcialmente. El rol de Entidad Administradora consiste en materializar el funcionamiento del sistema CEV.
La Entidad Administradora tiene, entre otras, las siguientes funciones:
a) Publicar el listado de los Evaluadores Energéticos habilitados por el Minvu.
b) Publicar los contenidos del examen que deberán rendir los postulantes a evaluadores energéticos. Dichos contenidos deberán ser previamente aprobados por la entidad directiva.
c) Administrar, actualizar y mantener la herramienta de cálculo y el sitio web en el que se hospeda la administración de la CEV.
d) Mantener y publicar un registro de las evaluaciones de eficiencia energética, de viviendas liberadas, que se hayan emitido mediante la CEV.
e) Emitir un informe trimestral con la información estadística que se genere de la aplicación de la CEV.
f) Realizar fiscalizaciones aleatorias a los proyectos que sean calificados energéticamente, que permitan comprobar la veracidad y exactitud de las evaluaciones emitidas por los evaluadores energéticos, según el Reglamento de Registro de Evaluadores Energéticos, que para estos efectos defina el Minvu.
g) Publicar los resultados de las fiscalizaciones y de los procesos que resulten en una medida para algún evaluador energético acreditado.
h) En el caso que se delegue la administración, la Entidad Administradora deberá informar a la Entidad Directiva de su quehacer, del modo en que la Entidad Directiva se lo solicite.
La Entidad Administradora no será responsable en caso alguno, de errores o falsedades incurridas por el Evaluador Energético o por el Mandante, durante la evaluación energética de un proyecto de vivienda.
2.3. Mandante
Es responsabilidad del Mandante requirente de la precalificación y/o calificación de vivienda, verificar que el Evaluador Energético se encuentre habilitado para actuar como tal.
El Mandante es responsable de la entrega de la información y los documentos necesarios para realizar la precalificación y/o calificación de vivienda.
El Mandante podrá utilizar para fines publicitarios el Informe de Evaluación de Eficiencia Energética y la Etiqueta de Eficiencia Energética de la vivienda, siempre y cuando se ajuste a lo establecido en el Protocolo de Publicidad para la CEV, indicado en el punto 9 del presente manual. El Mandante deberá, en cualquier publicidad, advertir que la precalificación energética de una vivienda puede variar con respecto a su calificación final.
2.4. Evaluadores Energéticos
Para actuar como Evaluador Energético se debe cumplir con los siguientes requisitos:
a) Ser persona natural.
b) Poseer los atributos curriculares descritos en alguno de los siguientes puntos:
. Título profesional de Arquitecto
. Título profesional de Ingeniero Constructor
. Título profesional de Constructor Civil
. Título profesional de Ingeniero en sus diferentes especialidades, con un mínimo de 10 semestres de duración.
. Título profesional de Ingeniero en sus diferentes especialidades, con un mínimo de 8 semestres de duración y al menos tres años de experiencia en proyectos de eficiencia energética en viviendas y/o equipamiento (de acuerdo a definición de la OGUC).
c) Aprobar satisfactoriamente el proceso de acreditación que para el efecto establezca el Minvu.
d) Suscribir un Convenio con el Minvu, en el que se dejará constancia de las acciones, condiciones, compromisos y obligaciones que asumirá el Evaluador para desarrollar la CEV y de cualquier otra estipulación que se estime conveniente a los intereses de las partes.
Una vez cumplidos los requisitos anteriores, el Minvu dictará una resolución mediante la cual habilitará a una persona natural como Evaluador Energético, quien tendrá dicha calidad por un período de 10 años.
Para renovar la vigencia como Evaluador Energético, deberá efectuar el proceso señalado en las letras c) y d) indicadas anteriormente, o el procedimiento que a la fecha de caducidad de su inscripción esté vigente.
Sin perjuicio de la responsabilidad que corresponde al Mandante, el Evaluador Energético es responsable personalmente por las declaraciones, la información y los documentos utilizados en las herramientas de calificación energética para la emisión de calificaciones e informes señalados en el punto 3 del presente manual. Asimismo, es responsable de la correcta aplicación de la herramienta de cálculo, así como de emitir la evaluación correspondiente de forma que refleje las características energéticas de la vivienda evaluada.
No obstante lo anterior, perderán la calidad de Evaluadores Energéticos aquellos profesionales que hayan emitido calificaciones erróneas, o que hayan alterado los datos de la vivienda a calificar, según indique el Reglamento de Registro de evaluadores energéticos; ya sea que esto se detecte mediante fiscalización directa de la administración del sistema y/o por denuncias.
Adicionalmente, los evaluadores energéticos estarán afectos a las siguientes incompatibilidades:
i. Respecto de proyectos de viviendas referidos a obras en los que le cabe alguna participación a la persona jurídica de la cual forman parte o a otro de los socios, directores, representantes legales o administradores
ii. Respecto de proyectos de viviendas referidos a obras emplazadas en predios que pertenezcan en dominio al Evaluador o a sus parientes hasta el 4° grado de consanguinidad o 2° de afinidad.
iii. Respecto de proyectos referidos a obras emplazadas en predios que pertenezcan en dominio a una sociedad de personas de la cual el Evaluador sea socio o representante legal, o a una sociedad anónima o a otra persona jurídica en que sea accionista, director o administrador, según corresponda.
iv. Respecto de proyectos en que sean socios del propietario primer vendedor y/o mandante o exista alguna relación contractual y/o dependencia económica de algún tipo entre el propietario primer y/o mandante vendedor y el Evaluador o tenga intereses comerciales en el proyecto específico o participación, de cualquier naturaleza, en alguna sociedad relativa al proyecto en cuestión.
Las evaluaciones en que se verifique alguna de las incompatibilidades señaladas precedentemente, quedarán sin efecto, ello sin perjuicio de las demás medidas administrativas que pueda adoptar el Minvu respecto del Evaluador o el Mandante, según corresponda.
Tanto el Mandante como el Evaluador Energético, estarán obligados a utilizar la imagen gráfica de la calificación energética, en la forma establecida en el "Manual de Marca Calificación Energética de Viviendas para Inmobiliarias y Evaluadores". Queda por tanto prohibido usar otro tipo de imagen gráfica que pueda inducir a error.
2.5. Fiscalizador
Para actuar como fiscalizador se deberá cumplir con los siguientes requisitos:
a) Ser persona natural,
b) Ser Evaluador Energético,
c) Haber sido designado por acto administrativo del Minvu, Servicio de Vivienda y Urbanización y/o por la Secretaría Regional Ministerial correspondiente para actuar en dicha calidad,
d) Aprobar satisfactoriamente el proceso de acreditación que para el efecto establezca el Minvu.
3. COMPONENTES DEL SISTEMA DE CALIFICACIÓN
3.1. Herramientas de calificación energética
El sistema CEV incluye la Herramienta Excel, la cual puede ser descargada y utilizada por cualquier usuario, pero que no emite etiquetas ni informes y la Herramienta Web, la cual emite etiquetas e informes pero que puede ser utilizada solamente por Evaluadores Energéticos acreditados. Los Evaluadores Energéticos Acreditados, de conformidad a lo establecido en el presente documento, deberán aplicar las herramientas de calificación cumpliendo con el procedimiento que detalla el presente Manual.
3.2. Informes CEV
3.2.1. Informe de precalificación de eficiencia energética
El Mandante podrá solicitar, respecto de los proyectos que cuenten con Permiso de Edificación Municipal, la precalificación de eficiencia energética de la vivienda. Dicha precalificación tiene un carácter transitorio y referencial y será válida solo hasta la obtención de la Recepción Municipal Definitiva de la vivienda.
El informe de precalificación de eficiencia energética contendrá una proyección de la eventual calificación energética que tendría la vivienda terminada, con recepción municipal definitiva, de ejecutarse de acuerdo con las especificaciones técnicas que presenta el proyecto de arquitectura con permiso de edificación municipal.
La cantidad y orden de los indicadores que contiene el informe de precalificación de eficiencia energética son los mismos que contiene el informe de calificación de eficiencia energética y si no hay cambios en el proyecto, la información será la misma.
. Esta Evaluación tiene un carácter transitorio y referencial y mantendrá su vigencia hasta la obtención de la Recepción Definitiva de Obras.
.
. 3.2.2. Informe de calificación de eficiencia energética
El Mandante podrá solicitar, respecto de los proyectos que cuenten con Permiso de Edificación, que se encuentren con sus obras finalizadas y cuenten con recepción municipal definitiva, una Evaluación de eficiencia energética de la vivienda. Esta Evaluación tiene un carácter final y definitivo. El Evaluador Energético será responsable de realizar una inspección visual de la vivienda, para comprobar la veracidad de la información que se le ha entregado. La inspección consistirá en, al menos, una verificación de los principales aspectos bajo los cuales se obtiene la calificación energética. En los casos en que la calificación Energética que obtenga el proyecto una vez terminado sea inferior a la obtenida en la precalificación, el Mandante deberá informar de esta diferencia al Usuario final.
.
.
. El Informe de calificación de Eficiencia Energética contiene la siguiente información:
a) Código Evaluación Energética: corresponde a la numeración única con que queda registrada la Evaluación en el Registro Público Nacional de Evaluaciones, llevado por la Entidad Administradora.
b) Fecha de emisión del Informe de Evaluación de Eficiencia Energética y la vigencia establecida por el sistema de calificación.
c) Identificación de la vivienda. Dicha identificación contiene la dirección, incluida la comuna y región en que se encuentra emplazada; el rol de avalúo de la vivienda y el tipo de vivienda de que se trata; la zona térmica en que se ubica y la superficie interior útil de la misma.
d) Identificación del propietario.
e) Demanda de energía de la vivienda (de arquitectura) y su calificación. Esta medida muestra el requerimiento de la vivienda en calefacción e iluminación, considerando el diseño de la vivienda (materialidad y orientación), sin considerar la eficiencia de los equipos de calefacción e iluminación y el tipo de energía utilizada. En caso que la demanda de energía sea calculada mediante la planilla de cálculo Excel, la demanda de energía no se mostrará en la etiqueta ni tampoco en el Informe de Evaluación de Eficiencia Energética.
f) Consumo de energía (de arquitectura, equipos y tipos de energía) y su calificación. Esta medida muestra el requerimiento de la vivienda en calefacción, iluminación y agua caliente sanitaria, considerando además del diseño de la vivienda, la eficiencia de los equipos y el tipo de energía primaria utilizada en calefacción, iluminación y agua caliente sanitaria de la vivienda.
g) Indicadores secundarios: Aporte de energías renovables no convencionales (ERNC), Sobrecalentamiento y emisiones de CO equivalente.
h) Cuadro referencial de demanda energética de calefacción e iluminación, según tipo de agrupación de vivienda (departamento, vivienda pareada o aislada).
i) Distribución del consumo de energía en calefacción, iluminación y agua caliente sanitaria.
j) Características de la Vivienda. Contiene las características de los elementos de la envolvente de la vivienda evaluada, señalando tipo de elemento, superficie, descripción y la transmitancia térmica de cada elemento. Además, también se muestran los equipos y/o sistemas de calefacción y agua caliente sanitaria.
k) Nombre del Evaluador, RUT y Resolución que lo habilita para actuar como tal.
La Evaluación de Eficiencia Energética mantendrá su vigencia mientras la vivienda conserve las características que sirvieron de fundamento para su calificación, y en ningún caso podrá utilizarse luego de haber pasado 10 años desde su emisión.
3.3. Etiqueta de Eficiencia Energética
La Etiqueta de Eficiencia Energética se emitirá junto con el Informe de calificación de eficiencia energética, y expresará de manera gráfica la letra de la calificación, indicando el valor de los requerimientos energéticos de la vivienda calificada -en kWh/m2año- referidos a la demanda de calefacción e iluminación (arquitectura) y consumo de energía primaria en calefacción, agua caliente sanitaria e iluminación (arquitectura + equipos + tipo de energía). La Etiqueta además contiene los siguientes antecedentes:
a) Tipo de calificación
b) Código de evaluación energética
c) Dirección de la vivienda
d) Rol de la vivienda o del proyecto, según corresponda.
e) Tipo de vivienda
f) Zona térmica
g) Superficie de la vivienda.
h) Fecha de emisión y vencimiento de la etiqueta.
i) Versión del procedimiento de calificación energética.
.
. 4. DE LAS ACTUACIONES DEL MINVU, LOS SERVICIOS DE VIVIENDAY URBANIZACIÓN Y LAS SECRETARÍAS REGIONALES MINISTERIALES DE VIVIENDA Y URBANISMO
El Ministerio de Vivienda y Urbanismo (Minvu), sus Secretarías Regionales Ministeriales (Seremi) y los Servicios de Vivienda y Urbanización (Serviu), en el marco de la CEV, podrán realizar las siguientes actividades:
a) Actuar como Mandante, en aquellos proyectos que así se determine como necesario.
b) Calificar Energéticamente viviendas, a través de personal debidamente acreditado. Para aquellos funcionarios no será necesario cumplir con lo establecido en el punto 2.4 b) del presente documento y serán acreditados como Evaluadores Energéticos Internos.
c) Los funcionarios que hayan sido designados como Evaluadores Energéticos Internos y que dejen de prestar servicios al Minvu, Serviu o Seremi, podrán continuar ejerciendo funciones como Evaluadores Energéticos, con la calidad de Externos, siempre que den cumplimiento a los requisitos del punto 2.4 del presente Manual y que hagan llegar a la Dirección Técnica del Minvu o a la entidad administradora en caso de estar delegada la administración, un oficio en el que se solicite quedar habilitados como evaluadores energéticos indicando:
. Cantidad de tiempo acreditado como evaluador interno durante el que se desempeñó en el Minvu, Serviu o Seremi.
. Email de contacto
. Teléfono de contacto
. Dirección de contacto
. RUT
. Resolución de acreditación.
d) Los profesionales que hayan sido designados por la entidad directiva como Evaluadores Energéticos Internos y dejen de cumplir funciones en el Minvu, Serviu o Seremi antes de transcurrido un año de haber sido designados, para acreditarse definitivamente como Evaluadores Energéticos Externos, deberán cumplir con todas las exigencias indicadas en el Convenio que suscribieron con el Minvu, extendiendo el periodo en que están sujetos a dichas exigencias por un año, a contar desde que la entidad administradora reciba el oficio indicado en la letra c) del punto 4 del presente manual.
e) Fiscalizar el proceso de Calificación Energética de Viviendas a través de personal debidamente acreditado. Para aquellos funcionarios no será necesario cumplir con lo establecido en el punto 2.4 b) del presente documento.
PARTE II GESTIÓN DOCUMENTAL DEL PROCESO DE CALIFICACIÓN ENERGÉTICA DE VIVIENDAS
5. ASPECTOS GENERALES.
En esta segunda parte del manual se entrega la información necesaria para el procedimiento de la Calificación Energética de Viviendas.
6. INFORMACIÓN REQUERIDA PARA LA CALIFICACIÓN.
La información requerida para calificar energéticamente una vivienda se divide en obligatoria y adicional. Esta información aparece detallada en la PARTE III del manual.
7. ACREDITACIÓN DE ALGUNAS PROPIEDADES AVALADAS POR ORGANISMOS EXTRANJEROS.
En varios procedimientos de cálculo de la presente calificación, se proponen valores por defecto para la identificación de propiedades de materiales y caracterización de equipos y sistemas. Estos valores por defecto pueden ser reemplazados siempre que estén respaldados por algún certificado de ensayo o similar.
En la descripción técnica contenida en la sección 11.2 de la PARTE III del Manual se detallan tanto los parámetros por defecto que pueden ser reemplazados por algún certificado de ensayo, como las restricciones para utilizar dichos certificados.
En general, estos certificados deberán ser emitidos por algún laboratorio nacional que esté acreditado de acuerdo a las exigencias específicas de cada materia. Adicionalmente, se aceptarán certificados emitidos por algunas instituciones extranjeras, para definir algunas propiedades de sistemas constructivos, materiales o equipos que no estén regidas por reglamentos o normas nacionales o bien, casos en que no haya ningún laboratorio nacional acreditado que realice el ensayo necesario.
Sólo se podrán homologar certificados extranjeros que cumplan los siguientes requisitos:
. Que reemplace algún valor indicado explícitamente en este Manual y sea factible de ser reemplazado por un certificado extranjero.
. Que hayan sido emitidos por algún laboratorio reconocido dentro del marco de la Calificación Energética de Viviendas, de algún país de Europa o Estados Unidos.
La responsabilidad de la veracidad del certificado, respecto a su autenticidad y a la correspondencia con el producto instalado, recae sobre el mandante que solicita la calificación.
8. CARPETA DE LA CALIFICACIÓN.
8.1. Carpeta de calificación Energética por vivienda
El evaluador energético ingresará los antecedentes en la herramienta de cálculo y mantendrá un archivo electrónico que deberá contener todos los documentos utilizados en la calificación de cada vivienda. El Evaluador deberá incluir todos los documentos indicados en la sección 11 de la PARTE III del presente Manual, según corresponda. Adicionalmente, se adjuntarán fotografías de la visita a terreno.
Todos los cálculos y documentos de respaldo que no se hayan subido a la herramienta web deben ser guardados en formato físico o digital por el evaluador energético en un archivo personal por un periodo igual a la validez de la calificación. Durante este periodo deben estar disponibles para ser entregados a la entidad administradora de la calificación en cualquier momento que esta lo requiera.
8.2. Carpeta de calificación Energética de un edificio o conjunto habitacional
Esta es una carpeta diferente a la carpeta de calificación por vivienda y siempre deberá considerarse como una carpeta complementaria en caso que el mandante desee publicitar de manera adicional la calificación energética del edificio o conjunto habitacional. Esta carpeta debe contener los siguientes documentos en formato digital:
. Carta del evaluador energético, con la información que se indica en el punto 9.
. Copia de las etiquetas de cada una de las viviendas que componen el edificio o conjunto habitacional.
9. INFORMACIÓN PARA PUBLICITAR LA CALIFICACIÓN ENERGÉTICA.
Para publicitar la calificación energética de una vivienda, se debe tener presente lo siguiente:
. Nunca se podrá utilizar la evaluación de otra vivienda, aun cuando éstas pertenezcan a un mismo conjunto e incluso a una misma tipología.
. No podrá hacerse publicidad de una vivienda que haya sido evaluada como vivienda nueva y cuya evaluación haya expirado.
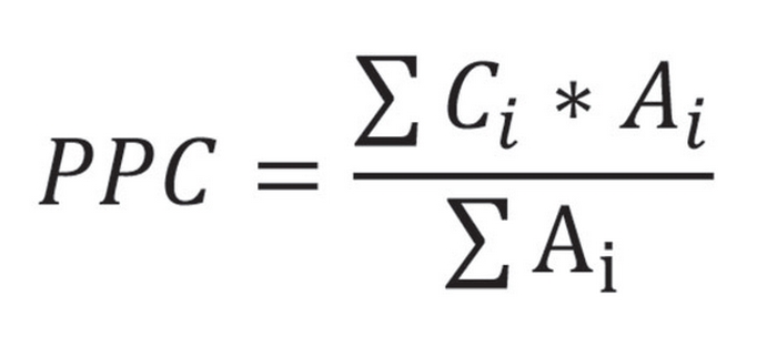
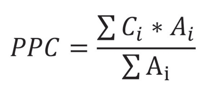
. En caso que se desee evaluar y publicitar un conjunto habitacional o un edificio de departamentos, adicionalmente a la evaluación de cada vivienda se deberá calcular la Calificación Promedio Ponderado (PPC) de todas las viviendas que componen el conjunto habitacional.
El promedio ponderado (PPC) se calcula en base al promedio ponderado del coeficiente C de cada vivienda del conjunto, mediante la siguiente ecuación:
. Donde:
Ci: Es el coeficiente C de cada una de las viviendas del conjunto habitacional. Este se obtiene de la herramienta de cálculo, tanto para la demanda de energía en calefacción e iluminación como para el consumo en calefacción, iluminación y agua caliente sanitaria (ACS). El coeficiente C corresponde a cien veces la demanda o consumo de energía primaria de la vivienda en estudio, dividida por la demanda o el consumo de la vivienda de referencia.
Ai: Es la superficie útil de la vivienda en m2, idéntica a la incluida en el cálculo de la calificación energética (CE).
Es importante tener en cuenta que para el cálculo del PPC se debe considerar la evaluación de todos los departamentos que componen un edificio, o todas las unidades de casa que componen un condominio o proyecto inmobiliario que se quiera publicitar como un conjunto.
De esta forma, se obtiene el valor del PPC tanto para la demanda como para el consumo. Luego, obtenido el valor del PPC, se le asigna una calificación (concepto o letra) de acuerdo a las Tabla 1 y Tabla 2 según corresponda. Dichas tablas muestran la calificación correspondiente en función de la diferencia porcentual con respecto al caso de referencia.
.
. Las zonas indicadas en la Tabla 1 y Tabla 2 (zona 1 a zona 7), corresponden a las zonas térmicas de la reglamentación térmica, artículo 4.1.10 de la Ordenanza General de Urbanismo y Construcciones. Los resultados de la calificación promedio deben ser incluidos en una carta firmada por el Evaluador Energético, donde se indique:
. Identificación del condominio, edificio o proyecto inmobiliario.
. Valor de PPC y calificación (letra) para la demanda.
. Valor de PPC y calificación (letra) para el consumo de energía primaria.
. Declaración que indique que se han considerado todas las unidades habitacionales que componen el conjunto habitacional.
En el caso de las viviendas de un mismo edificio, condominio o conjunto habitacional que tengan calificaciones energéticas distintas, el Mandante podrá publicitar la calificación promedio del proyecto que resulte de aplicar la metodología definida en el punto 9 del presente manual, debiendo hacer mención a la existencia de departamentos o unidades de vivienda con distinta calificación. Al momento de promocionar la vivienda en particular, el Mandante deberá indicar, al comprador, la calificación energética que le corresponde, debiendo entregar la evaluación y la Etiqueta de Eficiencia Energética, al momento de la venta.
PARTE III PROCEDIMIENTO DE CÁLCULO DEL SISTEMA CEV
10. ASPECTOS GENERALES.
En esta parte del Manual se describe el procedimiento de calificación energética, la información que debe solicitar el evaluador energético y cómo utilizar la herramienta de calificación.
La calificación se realiza para cada vivienda de forma independiente, es decir, cada departamento de un edificio o unidad de vivienda, sea o no parte de un condominio o conjunto habitacional, debe tener un informe de evaluación y etiqueta de eficiencia energética. En caso que alguna inmobiliaria u otra entidad deseen hacer publicidad sobre el edificio o el condominio completo basada en información de la CEV, esta se debe hacer según se indica en la sección 9 del presente Manual.
11. INFORMACIÓN REQUERIDA PARA LA CALIFICACIÓN
La información requerida para calificar energéticamente una vivienda nueva, se divide en obligatoria y adicional, según se detalla a continuación:
11.1. Información obligatoria
Corresponde a la mínima documentación administrativa y técnica con la que el Evaluador Energético debe contar para realizar la calificación energética de una vivienda nueva. Toda esta información deberá ser incluida dentro de la carpeta de calificación energética.
La información obligatoria requerida dependerá del tipo de calificación a realizar, es decir, si corresponde a precalificación energética o calificación energética de vivienda nueva. A continuación, se detalla la información obligatoria dependiendo del tipo de calificación.
.
. 11.2. Información adicional
Dentro de la información entregada por el Mandante es posible incluir una serie de documentos como certificados, facturas de compra, entre otros, dependientes del diseño de la vivienda y los equipos que incorpora. Estos documentos pasan a ser obligatorios en caso de que acrediten información mínima requerida. Por ejemplo, si se usa un valor de transmitancia térmica (U) no especificado en el presente Manual, se deben adjuntar certificados que acrediten cómo se obtuvo dicho valor. Otros documentos son voluntarios y corresponden a los documentos adicionales que el Mandante o Evaluador Energético estime necesario incluir para la correcta calificación energética.
Cada uno de los documentos debe ir claramente identificado en el listado general de documentos de la calificación y firmado por el Mandante del proyecto.
Adicionalmente, es posible incluir documentos que no estén considerados en el presente Manual y que sean necesarios para poder calificar la vivienda y sirvan de respaldo en caso de una posible fiscalización.
En la Tabla 4 siguiente se resumen los documentos que se deberán adjuntar:
.
. 12. HERRAMIENTAS DE LA CEV
12.1. Herramienta Excel
La Herramienta Excel es un archivo en formato Excel que permite realizar parte de los cálculos necesarios para emitir una etiqueta de calificación en forma automática y entrega los resultados correspondientes para la confección del informe de calificación de eficiencia energética y de la etiqueta de eficiencia energética sin necesariamente tener conexión a internet.
La Herramienta Excel no emite etiquetas, pero entrega los insumos procesados para obtenerla desde la Herramienta Web (ver 12.2). Cuando se utilizan datos obtenidos de la herramienta Excel para emitir la etiqueta, ésta omite mostrar el coeficiente C (demanda teórica), a diferencia de si el resultado se obtiene directamente de la Herramienta Web.
La Herramienta Excel está disponible en la página oficial de la Calificación Energética de Viviendas en Chile (www.calificacionenergetica.cl) y puede ser descargada y utilizada por cualquier usuario.
La Herramienta Excel, se compone de 8 hojas visibles, las cuales se describen en la Tabla 5 presentada a continuación. La hoja CE_Chile es la principal de la herramienta, ya que en ella se realiza el ingreso de la información y se muestran los principales resultados.
En la sección 12.1 y sus respectivos sub-acápites se describen procedimientos generales de la Herramienta Excel y los cálculos específicos que se deben hacer para completar la calificación, se describen a partir del acápite 12.3, tanto para la Herramienta Excel como para la Herramienta web descrita en el acápite 12.2.
12.1.1. Interfaz de la hoja CE_Chile
Para el llenado de la información en la hoja CE_Chile, se recomienda disponer del presente documento en todo momento a modo de referencia. Por otro lado, tal como se explica a continuación y se muestra en la Figura 3, existen dos formas de ingresar la información:
. Manualmente: En las celdas con recuadro negro y color de fondo blanco se debe ingresar la información básica en forma manual.
. Selección Múltiple: En las celdas con recuadro gris, color de fondo blanco y acompañadas a la derecha por un recuadro con un triángulo negro, se debe escoger dentro de las opciones que se despliegan al hacer clic sobre la celda.
.
. La herramienta fue desarrollada con un código de colores, de manera de facilitar la lectura de la información, el cual se describe en los siguientes puntos:
. Casillas blancas con recuadro negro: espacio para ingreso de datos normales.
. Casillas amarillas con recuadro negro: espacio para resultados parciales.
. Casillas anaranjadas con recuadro negro: espacio para ingreso de datos correspondientes a procedimientos especiales. Generalmente el uso de estas casillas invalida a otras anteriores y requiere presentar algún tipo de certificado.
. Casillas verdes con letra blanca: resultados agrupados.


. Casillas grises con letras gris claro: Corresponden a grupos de casillas que se han desactivado. En la Figura 6 se muestra como ejemplo casillas desactivadas debido a que en la casilla de selección múltiple 45 (para seleccionar el tipo de cálculo), se seleccionó el Cálculo Estático de la demanda, lo que hace innecesario anotar datos obtenidos del programa CCTE.
. Casillas para apuntar la transmitancia térmica (U): La diferencia con otras casillas blancas con recuadro negro descritas en un punto anterior, es que cuando se anota un U que no cumple con la reglamentación térmica (capítulo 4.1.10 de la OGUC), la casilla cambia de color para alertar al usuario acerca del incumplimiento (ver Figura 5).
. Casilla con alerta de incoherencia: La casilla amarilla con recuadro negro que muestra la suma de las áreas de ventana en la sección sombreamiento y orientación, cambia de color para alertar cuando esta suma no es coherente con la anotada en la descripción de características de la envolvente (ver Figura 7).
12.1.2. Sección datos generales e identificación del proyecto
Es el primer ítem de la pestaña CE_Chile y es equivalente a la creación de proyecto en la Herramienta Web. En él se debe ingresar información general, tanto del proyecto como de los participantes del proceso. A continuación, se describe el procedimiento a seguir para el llenado de cada una de las 13 filas numeradas de la Herramienta Excel que constituyen la sección datos generales e identificación del proyecto:
1. Tipo de calificación: Indicar si se trata de una precalificación energética o una calificación energética.
2. Ubicación del proyecto: Además de seleccionar la comuna y la región, se debe anotar la Zona Térmica en que se encuentra emplazada la vivienda de acuerdo al artículo 4.1.10 de la Ordenanza General de Urbanismo y Construcciones, agregando que cada una de las Zonas Térmicas incluye dos "Sub-Zonas" identificadas como A y B.
La "Sub-Zona A" es la que predomina en la mayor parte del territorio chileno urbanizado y son parte de ella todos los emplazamientos que no estén incluidos en la "Sub-Zona B".
Son parte de la "Sub-Zona B" de su respectiva Zona Térmica los emplazamientos que cumplan con alguna de las siguientes condiciones:
– Para las zonas 2, 3, 4, 5 y 6; el tipo de clima B corresponde a las localidades que están por sobre los 1.800 m de altura respecto al nivel del mar.
– Para la zona 1, el tipo de clima B corresponde a las localidades que se encuentran al sur de la latitud -28º.
– Para la zona 7, el tipo de clima B corresponde a las localidades que se encuentran al norte de la latitud -45º.
La zona térmica de un emplazamiento se puede identificar en el "Manual de Aplicación de la Reglamentación Térmica", el cual se puede descargar desde el sitio web www.minvu.cl. Este manual incluye mapas de todo el territorio nacional, en los que se indican gráficamente la ubicación y extensión de cada una de las Zonas Térmicas.
3. Identificación de la vivienda a calificar: Se debe nombrar cada vivienda de modo que sea posible identificar a cada una individualmente en los planos de Arquitectura y o emplazamiento aprobados por la respectiva DOM, de modo que los nombres en ningún caso se repitan.
. Para cumplir con lo anterior se recomienda nombrarlas con el siguiente método:
– En proyectos de conjuntos de casas: Tipología de vivienda, manzana, lote (por ejemplo: Casa Americana, Mz A, lote 1).
– En proyectos de conjuntos de edificios de departamentos: Edificio Nº Tipología de vivienda, piso Nº, orientación departamento (por ejemplo: Edificio 2, depto. tipo B, piso 6, oriente).
– En proyectos de edificios únicos (un solo edificio): Si la numeración indicada en los planos permite individualizar a cada unidad de vivienda del edificio, se puede utilizar dicha numeración (por ejemplo: departamento 1004 o directamente 1004), de lo contrario se debe proceder del modo descrito en los párrafos anteriores.
4. Nombre del Proyecto: Indicar el nombre del proyecto que aparece en los planos y en las Especificaciones Técnicas.
5. Dirección de la vivienda o proyecto: En caso que la evaluación energética corresponda a una precalificación, la dirección de la vivienda debe corresponder a la dirección del proyecto, indicada en el permiso de edificación. En caso que la evaluación energética corresponda a una calificación, la dirección debe corresponder a la de la vivienda en particular.
6. Tipo de vivienda (o agrupación): Indicar si las viviendas son aisladas, pareadas, continuas o departamentos. En caso de existir otro tipo de agrupaciones, deberá asociarse a uno de estos cuatro tipos.
7. Rol de la vivienda: Para el caso de precalificación energética, en esta casilla se debe ingresar el rol del proyecto (rol del terreno), indicado en el permiso de edificación. En caso de calificación, el rol corresponderá al rol o pre rol de la vivienda.
8. Evaluador energético: Indicar nombres y apellidos (No aplica para la Herramienta Web).
9. Nº y fecha de resolución Minvu: Se debe apuntar el número de resolución, el año en que se nombra al Evaluador Energético y su RUT (No aplica para la Herramienta Web).
10. Fecha de emisión de la evaluación: Corresponde a la fecha de emisión indicada por la Entidad Administradora.
11. Fecha de vencimiento: Corresponde a la fecha de vencimiento de la evaluación indicada por la Entidad Administradora.
12. Informe de evaluación N°: Corresponde al número de informe de la evaluación indicado por la Entidad Administradora.
13. Solicitado por: Anotar el Nombre del mandante que solicita la calificación energética y su respectivo RUT (no el del representante legal).
12.1.3. Descripción general de los elementos de la envolvente
Se debe ingresar información relativa a la composición de los elementos de la envolvente (2) soportantes y no soportantes, que limiten los espacios interiores de la vivienda con el espacio exterior o con uno o más locales abiertos. No es aplicable a elementos medianeros que separen unidades independientes de viviendas.
En muros, techumbre y piso ventilado deben indicar materialidad y espesor (o dimensiones) de:
- estructura,
- revestimiento exterior,
- revestimiento interior y aislación térmica.
- En el caso de ventanas, indicar materialidad de hoja, espesor y tipo de marco.
. . Muro3 Principal: Corresponde al complejo de muro que está presente en mayor superficie en la vivienda.
. Muro Secundario: Corresponde al complejo de muro cuya superficie representa la segunda importancia en relación a la totalidad de los muros exteriores de la vivienda. Si existen más de 2, en esta parte se debe describir un resumen de ellos.
------------------------------------------
2 Muros, pisos, techumbre y ventanas.
3 Como muro se consideran los elementos cuya inclinación interior es mayor a 60° sexagesimales, medidos de la horizontal.
. Piso Ventilado: Corresponde a losas o entramados de piso que no están en contacto directo con el terreno. Si es más de uno, se debe describir un resumen de todos ellos.
. Techo4 Principal: Corresponde a la techumbre que está presente en mayor superficie en la vivienda.
. Techo Secundario: Corresponde a la techumbre cuya superficie representa la segunda importancia en relación a la totalidad de la techumbre de la vivienda. Si existen más de 2 tipos de techumbre, en esta parte se debe agregar un resumen de ellas.
. Ventana Principal: Corresponde al tipo de ventana que está presente en mayor superficie en la vivienda.
. Ventana Secundaria: Corresponde al tipo de ventana cuya superficie representa la segunda importancia en relación a la totalidad de la superficie de ventanas de la vivienda. Si existen más de 2 tipos de ventanas, en esta parte se debe agregar un resumen de ellas.
12.1.4. Descripción general de los sistemas de calefacción y agua caliente sanitaria
Se debe ingresar información relativa a los sistemas de calefacción y agua caliente sanitaria.
. Sistema de Calefacción: Se deben ingresar las principales características con que cuenta el sistema de calefacción y que condicionan principalmente su eficiencia térmica y capacidad. Las características mínimas a especificar son: marca, modelo y potencia nominal. En el caso de que se trate de bombas de calor, identificar el medio en que se obtiene el calor (aire, agua o tierra). También debe declararse si posee características especiales de encendido electrónico. Si posee un sistema solar de apoyo deben explicitarse sus componentes, indicando además la superficie bruta de colectores instalados.
. . Sistema de agua caliente sanitaria: Se deben ingresar las principales características con que cuenta el sistema de agua caliente sanitaria y que condicionan principalmente su eficiencia térmica. Las características mínimas a especificar son: marca, modelo y potencia nominal. Si posee estanque de almacenamiento, este debe ser declarado e indicar sus dimensiones. En el caso de que se trate de bombas de calor identificar el medio en que se obtiene el calor (aire, agua o tierra). También debe declararse si posee características especiales de encendido electrónico. Si posee un sistema solar de apoyo deben explicitarse también sus componentes, indicando además la superficie bruta de colectores instalados.
La descripción de los sistemas de agua caliente sanitaria y calefacción y sus elementos debe realizarse con el mayor detalle y cuidado posibles. Es necesario considerar que esta información se utilizará para la verificación de la evaluación, ya sea por parte del Evaluador Energético, del Mandante, del futuro propietario o de la Entidad Administradora; y debe contener en forma clara la información para permitir esta verificación.
Las indicaciones para completar los siguientes datos en la herramienta Excel se homologan a los presentados a partir del acápite 12.3.
12.2. Herramienta Web
La Herramienta Web es una aplicación web que se aloja en el sitio web oficial5 de la CEV para ingresar la información necesaria para la evaluación energética de viviendas para la posterior emisión de etiquetas e informes de calificación energética en la misma herramienta.
La Herramienta Web también emite etiquetas e informes ingresando los resultados obtenidos mediante la Herramienta Excel (ver sección 12.1), pero cuando se utiliza ese procedimiento omite mostrar el coeficiente C (demanda teórica).
La Herramienta Web ordena el ingreso de la información necesaria para la evaluación de las viviendas en 2 etapas, la creación del proyecto y la evaluación de la vivienda, según se resume en la Tabla 6.
En la sección 12.2 y sus respectivas sub-secciones se describen procedimientos específicos de la herramienta web. Los cálculos específicos que se deben hacer para completar la calificación, se describen a partir del acápite 12.3 tanto para la Herramienta Excel como para la Herramienta web.
------------------------------------------------
4 Como techumbres se consideran los elementos cuya inclinación interior es de 60° sexagesimales o menos medidos de la horizontal.
5 http://calificacionenergetica.minvu.cl/
. 12.2.1. Creación de proyecto en la Herramienta Web
A diferencia de modo en que se ordena la Herramienta Excel, en la herramienta web los datos se ordenan en conjuntos menos extensos. Por ejemplo la información de las 13 columnas de la Herramienta Excel descritas en la sección 12.1.2, en la Herramienta web se presenta en los cinco pasos descritos a continuación:
12.2.2. Datos Iniciales
Corresponden a los datos básicos para identificar el proyecto, los cuales luego de hacer clic en el botón "CONTINUAR" no podrán ser modificados. En esta hoja se deben anotar los siguientes datos:
. Nombre del Proyecto
. Tipo de calificación (precalificación o calificación)
. Región
. Comuna
. N° Permiso de Edificación (debe ser el permiso matriz, no el de las modificaciones)
. Fecha Permiso de Edificación (matriz no modificaciones debe ser el permiso matriz no el de las modificaciones).
. ¿Posee Etapas?: Si el proyecto tiene o contempla tener más de una recepción municipal se debe hacer clic en esta casilla, de lo contrario se debe dejar en blanco.
12.2.3. Datos del proyecto
Corresponde a los datos necesarios para identificar el contexto y características del proyecto. En este paso se deben anotar los siguientes datos:
. Tipo de proyecto (privado, social y mixto)
. Ubicación del proyecto: En este cuadro se debe anotar la Zona Térmica en que se encuentra emplazada la vivienda de acuerdo al artículo 4.1.10 de la Ordenanza General de Urbanismo y Construcciones, agregando que cada una de las Zonas Térmicas incluye dos "Sub-Zonas" identificadas como A y B.
La "Sub-Zona A" es la que predomina en la mayor parte del territorio chileno urbanizado y son parte de ella todos los emplazamientos que no estén incluidos en la "Sub-Zona B".
Son parte de la "Sub-Zona B" de su respectiva Zona Térmica los emplazamientos que cumplan con alguna de las siguientes condiciones:
– Para las zonas 2, 3, 4, 5 y 6; el tipo de clima B corresponde a las localidades que están por sobre los 1.800 m de altura respecto al nivel del mar.
. Corresponde a los datos necesarios para localizar el emplazamiento de la vivienda a calificar y su respectivo Rol. En este paso se deben anotar los siguientes datos:
. Rol: Se debe ingresar el rol del proyecto (rol del terreno), indicado en el permiso de edificación.
. Dirección del Proyecto: Se debe anotar la calle y a continuación el número (por ejemplo Serrano 15).
. Latitud: Al anotar la dirección y presionar la alternativa "Verificar en el Mapa" y generalmente se autocompleta, de lo contrario anotarlo es opcional.
. Longitud: Al anotar la dirección y presionar la alternativa "Verificar en el Mapa" se autocompleta, de lo contrario anotarlo es opcional.
En algunos casos al anotar el Rol de la propiedad y presionar "CONSULTAR", aparece automáticamente la dirección del proyecto y su latitud y longitud. En los casos en que esto no ocurra o la dirección no sea la correcta, se deben anotar los datos manualmente.
. 12.2.5. Ingreso de Viviendas
Corresponde a la identificación global de las viviendas del proyecto y las que se evaluarán. En este paso se deben anotar los siguientes datos:
. Número de viviendas del proyecto: En los casos en que el proyecto no tenga etapas (ver paso 12.2.2), se debe anotar el total de viviendas del permiso de edificación. En el caso de que el proyecto sí tenga etapas, se debe anotar la cantidad de viviendas de la etapa que se calificará.
. Número de viviendas a evaluar: Se debe anotar el total de viviendas que el evaluador energético que cree el proyecto en la herramienta web pretende calificar.
. Tipo de vivienda: Seleccionar el tipo de agrupación de la o las viviendas entre:
– Casa Pareada / Continua
– Casa aislada
– Departamento
En caso de existir otro tipo de agrupaciones, deberá asociarse a uno de estos tres tipos.
. Sub tipo de vivienda: Se debe anotar un nombre para cada tipología de vivienda. El nombre debe contener los grupos por tipo de geometría y agrupación (por ejemplo: Tipo "A Aislada" y tipo "A Pareada").
. Cantidad: Se debe anotar el total de viviendas del Sub tipo.
. Agregar Sub Tipo de Vivienda: Luego de anotar el tipo, subtipo y cantidad de viviendas (tres puntos anteriores), se debe hacer clic en el texto "Agregar Sub Tipo de Vivienda" y en los casos en que exista más de un Sub tipo se debe repetir el procedimiento las veces que sea necesario hasta completar el total de viviendas del proyecto o de la etapa en caso de que el proyecto las tenga (ver paso 12.2.2).
. Viviendas: En la tabla resumen de los Sub tipos ingresados, bajo el título "Acciones", para cada Sub tipo se debe hacer clic en el texto "Viviendas". Al hacerlo se desplegará una tabla con filas para identificación cada vivienda del proyecto (o de la etapa en caso de tenerlas). Se debe nombrar cada vivienda de modo que sea posible identificar a cada una individualmente en los planos de arquitectura y o emplazamiento aprobados por la respectiva DOM, de modo que los nombres en ningún caso se repitan y se debe hacer clic en Asignar Vivienda en todas las viviendas a evaluar (la cantidad debe coincidir el número anotado en "Número de vivienda a evaluar").
.
. Para cumplir con lo anterior se recomienda nombrarlas con el siguiente método:
- En proyectos de conjuntos de casas: Tipología de vivienda, manzana, lote (por ejemplo: Casa Americana, Mz A, lote 1).
̶ En proyectos de conjuntos de edificios de departamentos: Edificio Nº Tipología de vivienda, piso Nº, orientación departamento (por ejemplo: Edificio 2, depto. tipo B, piso 6, oriente).
- En proyectos de edificios únicos (un solo edificio): si la numeración indicada en los planos permite individualizar a cada unidad de vivienda del edificio, se puede utilizar dicha numeración (por ejemplo: departamento 1004 o directamente 1004), de lo contrario se debe proceder del modo descrito en los párrafos anteriores.
12.2.6. Ingreso de Documentos
En esta hoja se deben adjuntar todos los documentos del proyecto que respaldan la información entregada, procurando que tanto la información del proyecto como los timbres requeridos (aprobaciones DOM), sean legibles.
. Al hacer clic en el botón "TERMINAR", el proyecto será enviado a la entidad administradora para revisión. Si el envío es aprobado, la etapa 1 (creación de proyecto) finaliza. Si no es aprobado, se deben hacer las correcciones indicadas y volver a hacer clic en el botón "TERMINAR".
12.2.7. Evaluación de la vivienda
Para evaluar las viviendas, en primer lugar se debe ingresar al proyecto creado y ya aprobado por la administración del sistema (estado "En proceso", ver Figura 17), seleccionando el ícono "ver viviendas" de la columna "Ver". Al hacerlo, la página web mostrará todas las viviendas que el evaluador tenga asignadas (ver Figura 16).
En el menú de viviendas asignadas al usuario, se debe hacer clic en el ícono "Completar/Editar" de cada vivienda (ver Figura 17). En los casos en que una tipología agrupe a varias viviendas, luego de haber finalizado una, se podrá hacer clic en la columna "Copiar" mostrada en la Figura 16 para copiar las características en el resto que tenga la misma tipología e intervenir solo lo que cambie en cada una.
. Al hacer clic en el ícono "Completar/Editar" se desplegará una página con pestañas para anotar todos los datos necesarios para la evaluación de la vivienda, tal como se muestra en la Figura 18.
12.2.8. Pestaña Características
La sección superior de la pestaña "Características de la vivienda" (ver Figura 19) muestra los "Datos generales e identificación del proyecto" que se ingresó en pasos previos y se deben completar solamente los campos "Rol de la vivienda" y "Dirección" del mismo modo que se hizo para el proyecto. Cuando se realice una calificación se debe anotar el rol o pre-rol y dirección de la vivienda y cuando se trate de una precalificación, se debe volver a anotar el rol matriz del proyecto y su respectiva dirección.
La sección media de la pestaña (ver Figura 20), se debe completar con la descripción general de los elementos de la envolvente siguiendo las mismas directrices indicadas en el punto 12.1.3 para la herramienta Excel.
.
. La sección final de la pestaña (ver Figura 21), se debe completar con la descripción general de los sistemas de calefacción y agua caliente sanitaria siguiendo las mismas directrices indicadas en el punto 12.1.4 para la herramienta Excel.
. 12.3. Dimensiones de la vivienda
Se ingresa el área de la vivienda por cada piso y su altura interior. Se consideran solo los espacios cerrados que conforman la totalidad de los espacios habitables6 de la construcción. No se consideran entre los espacios habitables elementos como: garajes, entretechos o mansardas no habilitadas, sótanos no habilitados para ocupación, patios de luz, etc.
. Para cada piso se debe anotar por separado su respectiva área y la altura en las casillas dispuestas para ello (ver Figura 23). Si la vivienda tiene más de 3 pisos, en la casilla correspondiente al área de "Piso 3+4+", se debe ingresar la suma de todas las áreas de los pisos, incluyendo el tercero y los superiores, y en la casilla de la altura de "Piso 3+4+", se debe anotar la altura promedio de todos ellos tal como se muestra a continuación:
. Superficie interior útil y altura del piso 1.
. Superficie interior útil y altura del piso 2.
. Superficie interior útil y altura de los pisos 3 y superiores.
12.3.1. Área
Corresponde a la superficie interior útil. Esta es calculada considerando los límites interiores de los muros exteriores.
Los tabiques o divisiones interiores se deben contar como superficie útil, tal como se muestra en la Figura 22. En dicha figura no se muestran las divisiones interiores, sino solo los muros perimetrales.
En el área contabilizada como útil no se debe incluir el área de proyecciones, tales como ventanas proyectadas o similares.
No se deben considerar superficie útil todos los recintos que estén parcial o totalmente expuestos al exterior, tales como terrazas, balcones, logias u otros recintos del tipo, ya que no constituyen superficie útil propiamente tal.
Los vacíos de las escaleras, shaft, ascensores interiores, etc., deben contarse como superficie útil en cada piso. Por ejemplo, si la planta presentada en la Figura 22 correspondiese a un segundo piso con una escalera dentro, el área a considerar es el área achurada.
--------------------------------------------
6 El alcance es mayor que al que incluyen los "locales habitables" definidos en la OGUC, ya que en los espacios habitables sí están incluidos los lugares de tránsito, tales como cocinas, baños y pasillos cerrados por muros y techos.
. 12.3.2. Altura
Tal como se muestra en la Figura 24, el modo de medir la altura en cada piso depende de con qué limite horizontalmente. A continuación, se describe el criterio para decidir desde dónde se debe medir la altura del respectivo piso o nivel:
. Si la parte alta del piso limita con el exterior (o entretecho no habilitado), se debe medir la altura desde el cielo terminado.
. . Si la parte alta del piso limita con otra vivienda o departamento, se debe medir la altura desde el nivel de cielo terminado.
. Si la parte alta del piso limita con otro piso de la misma vivienda, se debe medir la altura desde el punto medio entre el cielo terminado y el piso terminado del piso superior.
. Si la parte baja del piso limita con el exterior (piso ventilado) o con el terreno, se debe medir la altura desde el piso terminado.
. Si la parte baja del piso limita con otro departamento u otro piso de la misma vivienda, se debe medir la altura desde el punto medio entre el piso terminado y el cielo terminado del piso inferior.
La forma de medir es válida tanto para viviendas unifamiliares como para departamentos. A continuación, se presentan ejemplos de cómo se debe proceder en algunos casos típicos:
. Viviendas de un piso (casas o departamentos): La altura a considerar es la distancia interior entre el piso y el cielo terminado.
. Viviendas de 2: La altura del primer piso corresponde a la distancia entre el piso terminado y el punto medio entre el cielo y el piso del segundo nivel. La altura del segundo piso corresponde a la distancia entre el punto medio del cielo del primer piso y el piso del segundo, y el cielo del segundo piso.
. Viviendas de 3 pisos o más: La altura del primer piso se mide entre el piso terminado y el punto medio entre el cielo y el piso del segundo nivel. La altura del segundo nivel (y otros pisos intermedios) corresponde a la distancia entre los puntos medios de los elementos que separan los pisos. La altura del último piso se mide desde el punto medio entre cielo del penúltimo nivel y el piso del último nivel, hasta el cielo del último nivel.
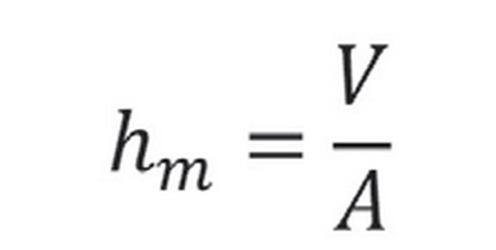
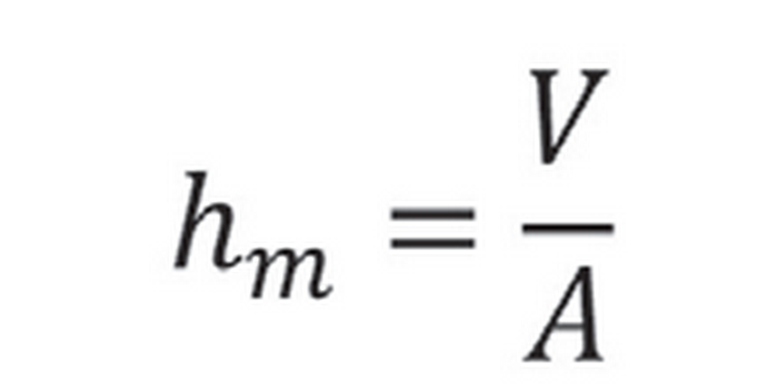
En el caso de que alguno de los niveles no presente una altura constante, en el lugar de la altura se debe ingresar el valor de altura media (h ), calculado según la siguiente expresión:
. Donde: V es el volumen en m3 y A es el área del piso (área interior útil) en m2.
12.4. Características térmicas de la envolvente
12.4.1. Procedimiento para anotar el área y la transmitancia de los elementos de la envolvente.
En esta sección se deben ingresar las superficies de cada elemento de la envolvente y su respectiva transmitancia térmica (U). Se deben considerar todos los elementos perimetrales exteriores que conforman el volumen de la vivienda, con las siguientes excepciones:
. No se considera el área de piso, en caso de que la vivienda esté construida directamente sobre el suelo (sin espacio de aire bajo el radier del piso).
. No se consideran los elementos que limitan la zona habitable de la vivienda pero que colindan con otros espacios acondicionados como, por ejemplo:
– muros medianeros entre viviendas o departamentos,
– cielos y pisos de departamentos de pisos intermedios de un edificio (desde el segundo piso hasta el penúltimo).
Estos elementos no se consideran en el cálculo, ya que se considera que no se producen pérdidas de calor a través de ellos.
Cuando se trata de un edificio en que los pasillos y escaleras corresponden a recintos cerrados (es decir, no incluyen aberturas que permanezcan abiertas al exterior), los muros del departamento colindantes con estos espacios no se consideran en el cálculo, ya que se asume que no sufren pérdidas de calor considerables. Cuando estos pasillos y escaleras correspondan a recintos abiertos (existen aberturas permanentemente abiertas al exterior), los muros del departamento colindante con estos locales se deben considerar como muros exteriores con orientación sur.
Los elementos constructivos que se deben individualizar son:
. puertas,
. ventanas,
. pisos ventilados,
. muros y
. techos.
El área y transmitancia térmica de cada elemento se debe ingresar en las filas 27 a 38 en la Herramienta Excel (ver Figura 26) o en la sección "Área y transmitancia térmica por elemento constructivo" de la pestaña "Envolvente" de la Herramienta web (ver Figura 25).
. Para cada elemento constructivo se presentan 1 o 2 o 3 casillas para anotar la transmitancia térmica (U) con sus respectivas superficies en contacto con el exterior (suma de superficies). Por ejemplo: para los muros se dispone de tres opciones, lo que permite anotar tres distintos U, para tres tipos diferentes de muro con sus respectivas superficies totales en contacto con el exterior.
En los casos en que existan menos grupos de elementos constructivos que las casillas disponibles para ellos en la Herramienta, se deben dejar en blanco las que no se necesiten. Por ejemplo, si la vivienda tiene un solo tipo de muro, se debe anotar su U y el total de superficie en contacto con el exterior en las casillas correspondientes a "Muro 1" y dejar en blanco las casillas para "Muro 2" y "Muro 3".
Si el número de elementos con "U" diferentes excede la cantidad de casillas dispuestas para el tipo de elemento, se deben anotar primero las con más superficie en casillas independientes (en el caso de muros: Muro 1 y Muro 2) y en las últimas casillas del elemento (en el caso de muros casillas Muro
3) se debe anotar la suma de todas las superficies no anotadas en las casillas anteriores, anotando el área total (A ) de todas ellas y la transmitancia promedio ponderada (U promedio), la cual se calcula de acuerdo a la Ecuación 1 y la Ecuación 2.
Para los muros, ventanas, pisos ventilados y techos se procede del mismo modo. Es decir, si se tienen más de 2 tipos de ventanas, pisos y techos, en la definición del segundo elemento se debe incluir el área total de los elementos restantes y el valor del "U" promedio ponderado.
. 12.4.2. Modo de medir el área de cada elemento de la envolvente
El área de cada elemento se calcula en base al área interior. Por ejemplo, en el caso del piso ventilado, se considera la superficie entre los muros de la envolvente, es decir, no se cuenta el espesor de los muros. Asimismo, se debe proceder con el resto de los elementos. En el caso de los muros, se debe sumar la superficie desde el cielo terminado hasta el piso terminado, descontando los vanos para ventanas.
El área de la ventana corresponde al área del vano, incluyendo vidrio y marco.
El factor RVM mostrado por la Herramienta corresponde a la relación entre ventanas y muros. Dicho factor sirve para decidir la metodología a utilizar para el cálculo de la demanda de calefacción, y se explica en detalle en la sección 12.5 del presente Manual.
12.4.3. Transmitancia Térmica (U)
Para acreditar la transmitancia térmica (W/m2K o U) de los elementos de la envolvente se debe utilizar el documento denominado "Formato de Acreditación Térmica para la Calificación Energética de Viviendas". A continuación, se detallan las alternativas de obtención del valor de transmitancia térmica dependiendo del elemento a acreditar.
12.4.4. Transmitancia Térmica Ventanas
El valor de "U" de la ventana se puede obtener de los siguientes tres modos:
Modo 1 para obtención del U de ventanas:
. Cálculo de acuerdo a la Ecuación 3. Las fuentes desde donde se puede obtener la transmitancia de los vidrios y de los marcos para completar la ecuación son dos para el o los vidrios y tres para el marco.
1. Fuente 1 valor Uvidrio:
Valor por defecto en función del tamaño del espaciador mostrado en la Tabla 7. En este caso, se debe indicar en la declaración del Mandante el espesor de la cámara de aire utilizada en las ventanas. Cuando el ancho del espaciador no calce justo con alguno de los mostrados en la Tabla 7, se debe utilizar el valor U correspondiente al espaciador de menor espesor más cercano.
Tabla 7: U vidrio en función del ancho del espaciador
. 2. Fuente 2 valor Uvidrio:
Valor certificado por algún laboratorio internacional válido o por información respaldada por el fabricante del vidrio. La descripción de los laboratorios internacionales válidos se indica en la sección 7 del presente Manual.
i. Fuente 1 valor Umarco:
Para marcos macizos, calculado en base a la Ecuación 4.
Donde:
e: Espesor medio del marco.
k: Conductividad del material del marco en (W/K*m).
ii. Fuente 2 valor Umarco:
Para marcos no macizos, utilizar un valor de la Tabla 8.
. iii. Fuente 3 valor Umarco:
Utilizar otro valor de U del marco, acreditado en base a certificado de U del marco o por cálculos
realizados por el Evaluador Energético en base a la norma NCh 3137 (INN 2008).
Modo 2 para obtención del U de ventanas:
Utilizando los valores U en función del ancho del espaciador y marco indicados en la Tabla 9.
. Al utilizar este modo (modo 2), en la declaración del Mandante se debe indicar el espesor de la cámara de aire utilizada en las ventanas.
. Cuando el ancho del espaciador no calce justo con alguno de los mostrados en la Tabla 9, se debe utilizar el valor U correspondiente al espaciador de menor espesor más cercano.
Si no se tiene acceso a la información respecto del espesor de la cámara de aire (espesor espaciador), o que ésta sea menor a 6 mm, se debe utilizar el valor de U=3,58 (Wm2K).
Para el caso de doble ventana simple, se puede utilizar un valor de U = 3,3 (W/m2K). Se entiende por doble ventana una solución constructiva en que se ponen dos ventanas independientes en el vano.
Modo 3 para obtención del U de ventanas:
Mediante un certificado para la ventana completa emitido por algún laboratorio internacional válido.
En ese caso, el certificado solo es válido para el tamaño de la ventana indicada en él o para ventanas similares, en que el porcentaje de marco, respecto al porcentaje total del vano, está dentro de un rango del 5% del porcentaje de marco de la ventana ensayada o en que el porcentaje del elemento con mayor U (marco o vidrio) es igual o inferior al porcentaje presente en la ventana ensayada. Entre otras, se debe utilizar esta opción si se considera el uso de vidrios de baja emisividad.
La descripción de los laboratorios internacionales válidos se indica en la sección 7 del presente Manual. En algunas reglamentaciones internacionales, el "U" de la ventana se separa en "U" del vidrio, "U" de la zona periférica del vidrio y "U" del marco. En este modelo simplificado, solo se consideró el "U" del marco y "U" del vidrio. Luego, si se trabaja con las reglamentaciones internacionales que consideran la metodología con 3 componentes, se debe ajustar el "U" del marco a la metodología del presente Manual, de tal forma que la ventana en su conjunto tenga las mismas pérdidas de calor que la ventana calculada en base al método de los 3 componentes.
12.4.5. Transmitancia térmica techumbre, muros, pisos ventilados y puertas
Para acreditar el valor de "U" se debe seguir el procedimiento que se detalla a continuación y eventualmente (en los casos que se requiera) incorporar resultados de ensayos de acuerdo a lo indicado en la sección 7 del presente Manual.
Cualquier forma utilizada para definir los valores de "U" deberá ser indicada y justificada en el formato de acreditación térmica. En caso de que se requieran certificados de ensayos de materiales, estos deben ser incluidos en el anexo, que debe formar parte de la carpeta de la calificación.
El valor de "U" de cada elemento se puede obtener de los siguientes tres modos:
Modo 1 para obtención del U de techumbre, muros y pisos ventilados:
Valor calculado por el Evaluador Energético en conformidad a la Norma Oficial NCh 853 (INN 2007), debiendo en este caso adjuntar la memoria de cálculo. Existen tres opciones para completar los valores de la conductividad térmica de los materiales:
i. Utilizar los valores del Anexo A de la Norma NCh 853 (INN 2007).
ii. Utilizar un valor diferente, adjuntando el certificado de ensayo de conductividad térmica del material (en base a la Norma NCh850, INN 2008), emitido por un laboratorio con inscripción vigente en el Registro Oficial de Laboratorios de Control Técnico de Calidad de la Construcción del Ministerio de Vivienda y Urbanismo.
iii. Utilizar un valor de conductividad indicado en el Listado Oficial de Soluciones Constructivas para Acondicionamiento Térmico del Minvu. En este caso se debe indicar el código del material aislante o solución constructiva de donde se obtuvo el valor de conductividad térmica y se debe adjuntar una copia de la ficha correspondiente, la que debe formar parte de la Carpeta de la calificación.
Modo 2 para obtención del U de techumbre, muros y pisos ventilados:
Certificado de ensayo de la solución constructiva (en base a la norma NCh851, INN 2008). Este certificado de ensayo debe ser emitido por un laboratorio con inscripción vigente en el Registro Oficial de Laboratorios de Control Técnico de Calidad de la Construcción del Ministerio de Vivienda y Urbanismo, y debe formar parte de la carpeta de calificación.
Modo 3 para obtención del U de techumbre, muros y pisos ventilados:
Utilizar una solución constructiva para el complejo de techumbre, muro y piso ventilado, que corresponda a alguna de las soluciones inscritas en el Listado Oficial de Soluciones Constructivas para Acondicionamiento Térmico, confeccionado por el Ministerio de Vivienda y Urbanismo. Al utilizar esta alternativa, se deberá identificar el código y nombre de la solución en la definición del muro y se debe adjuntar una copia de la ficha correspondiente, la que debe formar parte de la carpeta de la calificación.
Para esta calificación se deja sin efecto la condición estipulada en el artículo 4.1.10 de la OGUC respecto de exceptuar del cumplimiento de las exigencias térmicas a los elementos estructurales (pilares, cadenas y vigas) en albañilerías confinadas, debiendo incluir estos elementos en el cálculo de la transmitancia térmica del sistema constructivo.
Al calcular la transmitancia térmica a través de la Norma NCh 853 se acepta un cálculo simplificado de transmitancia térmica en muros de estructura metálica o de madera, utilizando los porcentajes de estructura que se indican en la tabla siguiente:
. Se debe tener en cuenta que los tabiques que tengan una cara hacia un espacio exterior ventilado o semi ventilado y la otra cara hacia el interior del espacio habitable (ver definición en sección 12.3), se consideran envolvente con orientación sur y que no se deben contar como envolvente los elementos de un espacio exterior ventilado o semi ventilado que no tengan una cara expuesta hacia el interior del espacio habitable. Además, para dichos tabiques de la envolvente, la resistencia térmica de la superficie exterior (R) debe adoptar el mismo valor que la resistencia térmica de la superficie interior (R ).
U puertas:
En el caso de las puertas, si utiliza la opción de cálculo del "U", se deben calcular como elementos heterogéneos simples (según NCh 853), considerando el marco, la puerta y la estructura de la puerta en forma separada y para luego ponderar los valores obtenidos. Adicionalmente, se puede utilizar la norma NCh 3137.
12.4.6. Transmitancia térmica de piso en contacto con el terreno
Corresponde al caso en que el piso de la vivienda o parte de él está directamente en contacto con el suelo (por ejemplo, radieres), ya sea a nivel de superficie o enterrado. En el caso de que bajo el piso de la vivienda exista un espacio de aire, entonces se debe considerar como piso ventilado.
Para el piso en contacto con el terreno, se deben considerar la transmitancia térmica lineal (kl) y el perímetro de la construcción. El perímetro a medir corresponde a todo el perímetro exterior de la vivienda, excluyendo el perímetro de los elementos medianeros o que comuniquen con otros espacios habitables (ver definición en sección 12.3).
El cálculo de la transmitancia térmica lineal (kl) se rige por lo indicado en NCh 853 (INN 2007). Para muros en contacto con el terreno, también se pueden utilizar los procedimientos de cálculo indicados en la Norma NCh 3117 INN 2008-1. Para los casos en que se requiera calcular la transmitancia térmica se deberá adjuntar memoria de cálculo.
12.4.7. Sombreamiento y orientación de Ventanas
En las casillas del ítem 3.2 de la Herramienta Excel (ver Figura 30) o en la sección "Ventanas (sombreamiento y orientación)" de la pestaña "Envolvente" de la Herramienta web (ver Figura 31), se debe ingresar información relativa a la orientación de ventanas y nivel de sombreamiento.
Para calcular los coeficientes relativos al sombreamiento de las ventanas, el Evaluador Energético deberá, en primer lugar, determinar la orientación de cada ventana, la que está dada por la normal7 exterior del vidrio (ver Figura 29).
Cada ventana de la vivienda deberá estar incorporada en una de las siguientes 9 orientaciones: Norte (N), Noreste (NE), Noroeste (NO), Este (E), Oeste (O), Sureste (SE), Suroeste (SO), Sur (S) o "Ventana en el techo" en los casos en que tengan una inclinación de 60° sexagesimales o menos medidos de la horizontal.
Todas las orientaciones descritas, salvo "Ventana en el techo" (tragaluces, lucarnas, etc.), tienen un rango de alcance de 45° y cada ventana debe asimilarse a una de ellas (ver Figura 28 y Figura 29).
.
.
. La información a ingresar, por tipo de orientación de ventanas, es la siguiente:
. FA: Coeficiente de accesibilidad de la ventana.
. Área: Área de la ventana según orientación.
. FS: Factor solar del vidrio.
. FM: Factor del marco de la ventana.
Estos datos se deben completar en al menos un grupo de casillas. Tal como se muestra en la Figura 30 y Figura 31, los grupos de casillas por orientación son seis: N, NE/NO, E/O, SE/SO, S y Ventana en el techo.
12.4.8. Coeficiente de Accesibilidad de la Ventana (FA)
Este coeficiente considera el factor de accesibilidad de la ventana con respecto al cielo. El factor de accesibilidad de la ventana (FA) se compone de 2 factores, el primero considera los elementos de sombra locales y el segundo los obstáculos remotos del edificio (ver Ecuación 5).
Ecuación 5: Cálculo del factor de accesibilidad (FA)
FA = FAV * FAR
Donde:
FAV: factor de accesibilidad respecto a elementos de sombra cercanos.
FAR: factor de accesibilidad respecto a elementos de sombra remotos.
El valor de FA se debe calcular para cada ventana. En el caso en que exista más de una ventana por orientación o por grupo de orientaciones (por ejemplo, una ventana con orientación Este y otra con orientación Oeste), se calcula el valor promedio de todas ellas, según se explica más adelante.
El cálculo de FAV y FAR se debe realizar en la hoja denominada "Cálculo de FA" de la Herramienta Excel. A continuación, se presentan las ecuaciones y rangos de valores utilizados en el cálculo de las sombras, así como también los criterios que deben adoptarse.
. 12.4.9. Factor de accesibilidad respecto a elementos de sombra cercanos (FAV)
El FAV de una ventana vertical corresponde al producto de los factores FAV (aleros superiores), FAV (elementos de sombra verticales) y FAV (lamas). Para obtener el FAV se debe proceder de acuerdo a la Ecuación 6:
. El procedimiento para obtener los elementos de la Ecuación 6 se presentan a continuación y se pueden realizar automáticamente en la hoja "Cálculo de FA" de la Herramienta Excel:
FAV (Aleros superiores)
El FAV se obtiene de la Tabla 11 en función de las longitudes de L, D y H mostradas en la Figura 32 y la orientación de la ventana. Para identificar el FAV se debe conocer el resultado de L/H y D/H y con eso identificar el valor adecuado en la Tabla 11. Si el resultado de L/H y o D/H no calza con alguno de la tabla, el FAV se debe obtener por interpolación lineal (la hoja "Cálculo de FA" de la herramienta Excel hace la interpolación). Si el elemento medido no tiene valores constantes para L y o D, se deben tomar los valores promedio del elemento.
. La distancia L se debe medir desde el centro del acristalamiento hasta el borde del alero, tal como se muestra en la Figura 32. En dicha figura la ventana tiene un retranqueo, por lo cual el centro del acristalamiento no coincide con el eje del muro. Automáticamente
.
. En el caso de la izquierda se deben calcular 2 valores:
1. Para el área A1 se calcula con la correspondiente al segmento de ventana y con D=0
2. Para el área A2 se usa un valor de FAV =0
El valor final será el promedio ponderado por las áreas de cada segmento.
En la Figura 33 se muestra el criterio para medir las distancias L, D y H cuando los aleros no sean perpendiculares al muro y casos similares.
FAV (elementos de sombra verticales)
El FAV se obtiene de la Tabla 12 en función de las longitudes de P, S y W mostradas en la Figura 35 y la orientación de la ventana. Para identificar el FAV se debe conocer el resultado de P/W y S/W y con eso identificar el valor correspondiente en la Tabla 12. Si el resultado de P/W y o S/W no calza con alguno de la tabla, el FAV se debe obtener por interpolación lineal (la Herramienta Excel hace la interpolación). Si el elemento medido no tiene valores constantes para L y o D, se deben tomar los valores promedio del elemento.
En la Figura 34 y Figura 36 se muestra el criterio para medir las distancias L, D y H cuando los elementos de sombra verticales no sean perpendiculares al muro y casos similares.
.
.
. En casos como el mostrado en la Figura 36, en que las obstrucciones se sobreponen a la ventana, se debe dividir la ventana en dos secciones independientes, calculando factores por separado. En el caso de la ventana 1 de la figura, se considera la sección de ventana con la obstrucción correspondiente, pero con distancia S = 0 y para la ventana 2 se considera la sección de la ventana totalmente obstruida, con valor de FAV = 0.
. La Herramienta Excel tiene dispuestas casillas para ingresar datos de obstrucciones verticales a la izquierda y otras para las de la derecha. La izquierda y derecha se deben definir en función de un observador dentro de la vivienda mirando hacia afuera por la ventana, por ejemplo la obstrucción mostrada en la Figura 34 o Figura 36 están a la derecha.
. En caso de existir solo un elemento de sombra vertical, en la Herramienta Excel anotar el valor cero (0) en la celda Yiz o Yder que no tiene obstrucción. Por ejemplo, si no existe elemento de sombra en el lado izquierdo de la ventana, se debe dejar las celdas W, P y S en blanco y en la celda Yiz se debe anotar 0.
FAV3 (lamas)
El FAV se obtiene de la Tabla 13 si las lamas son horizontales o de la Tabla 14 si las lamas son verticales. El FAV se obtiene en función de la orientación de la ventana y del ángulo b si las lamas son horizontales o del ángulo b si las lamas son verticales.
Para identificar el FAV se debe conocer el resultado de L/D. Si el resultado está entre 0,8 y 1,3, ambos valores incluidos, se deben tomar los valores de las tablas directamente, obteniendo el FAV para los ángulos intermedios entre los indicados en las tablas mediante una interpolación lineal, siempre y cuando dichos ángulos no sean menores que 0° ni mayores que 60°.
.
.Para ángulos entre 60° y 75°, se debe multiplicar por 0,7 los valores obtenidos por interpolación.
Para ángulos mayores a 75°, se debe usar directamente el valor 0.
Si L/D es mayor que 1,3, se debe multiplicar los valores de la respectiva tabla por 0,75.
Si L/D es menor que 0,8, se debe multiplicar los valores de la respectiva tabla por 1,15.


12.4.10. Factor de accesibilidad respecto a elementos de sombra remotos (FAR)
Donde:
i: índice de cada una de las ventanas para la orientación A.
El factor FAR, es el segundo componente en la determinación del coeficiente FA, el cual hace referencia a la accesibilidad de las ventanas respecto aquellos elementos remotos, identificados como obstrucciones, que generan sombras sobre las superficies vidriadas de la vivienda en análisis. Respecto a esto, se considerarán como obstrucciones cualquier tipo de edificación permanente y accidentes geográficos tales como cerros o laderas situadas en el entorno cercano a la vivienda en análisis.
Se excluyen de este cálculo vegetaciones, árboles, letreros y elementos no permanentes, susceptibles a modificaciones de su geometría, así como también, los cierres perimetrales.
Para el cálculo del FAR se considerarán aquellas obstrucciones sólidas y permanentes, situadas en un ángulo de apertura de 90° sexagesimales medidos perpendicularmente desde el punto medio del ancho de la ventana, como se muestra en la Figura 40.
Se deben considerar todas las obstrucciones permanentes (edificaciones o cerros) que generen un FAR menor o igual a 0,95 de acuerdo al procedimiento presentado más adelante. Metodológicamente, se recomienda comenzar verificando las obstrucciones situadas en un radio de 50 metros, ya que a partir de esta distancia solo obstrucciones de gran tamaño tienen un FAR menor o igual a 0,95.
. Si considerados los puntos anteriores no se presentan obstrucciones con FAR menor o igual a 0,95, se debe considerar un FAR igual a 1.
El factor de accesibilidad de elementos remotos (FAR) se calcula de la siguiente manera:
1. Determinación de FAR inicial
En primer lugar, se debe calcular el FAR inicial para cada obstrucción que afecte la ventana que está siendo analizada. Este factor está asociado a la relación entre la altura (A) y la distancia (B) de una obstrucción respecto de la ventana, medida desde el punto medio de la ventana, como se ilustra en la Figura 42 para A y Figura 44 para B.
Para realizar el cálculo se debe proceder en base a la Ecuación 8.
En la hoja "Cálculo FA" de la Herramienta Excel se puede realizar el cálculo para la determinación del FAR inicial descrito en la Ecuación 8 de modo automático. Para hacerlo se debe anotar la altura (A) y distancia (B) de la obstrucción en las casillas dispuestas para ello, las cuales se muestran en la Figura 41.
.En la hoja "Cálculo FA" de la Herramienta Excel se puede realizar el cálculo para la determinación del FAR inicial descrito en la Ecuación 8 de modo automático. Para hacerlo se debe anotar la altura (A) y distancia (B) de la obstrucción en las casillas dispuestas para ello, las cuales se muestran en la Figura 41.
. Para determinar la altura (A) y distancia (B) de cada obstrucción se debe proceder teniendo en cuenta las siguientes consideraciones:
- Cuando la altura de la obstrucción esté por debajo de la altura media de la ventana se debe considerar A=0. No se deben considerar valores negativos para el parámetro A de la Figura 42.


. En el caso en que los valores de A, vistos desde la ventana no sean constantes, como por ejemplo en una cubierta a dos aguas como la mostrada en la Figura 45, se tomará el valor de A medido al punto medio de la altura, dentro del área de acción. En la Figura 45 se muestra el caso de una vivienda a la misma altura que la ventana analizada y se muestra la proyección sobre ella de dicha ventana para mostrar la diferencia de alturas.
En casos como el expuesto en la Figura 45, es correcto obtener la altura de la obstrucción considerando A= (A1+A2)/2.
. . En casos en que una obstrucción tenga secciones de alturas diferentes, como el caso presentado en la Figura 43, se debe considerar una altura ponderada en función del área por sobre la mitad de la ventana.
. . En casos en que una obstrucción tenga dos modos de altura como el presentado en la Figura 46, se debe considerar una altura ponderada en función del área por sobre la mitad de la ventana para cada área.
. La distancia B se debe medir desde la mitad entre los vértices del volumen de la obstrucción que proyectan sombra al punto medio del ancho de la ventana y que se encuentran dentro del área en el que deben considerar las obstrucciones (ver Figura 47).
Sin perjuicio de lo anteriormente indicado y para simplificar la evaluación, en caso de que las condiciones del terreno sean muy complejas o no se desee efectuar mediciones en terreno, aunque existan obstrucciones, el cálculo se puede desarrollar considerando solo las líneas de construcción teóricas indicadas en el plano regulador y una altura igual al 100% de la altura máxima de construcción permitida.
Si el plano regulador no contempla altura máxima para el sector, para efectos de este cálculo la altura máxima se considera como el 100% de la altura del edificio más alto en un radio de 300 m, incluido también el propio edificio.
2. Determinación del FAR final
Una vez determinado el FAR inicial de cada obstrucción, para determinar el FAR final para la ventana se debe identificar el ángulo B de cada obstrucción.
. El ángulo B corresponde al ángulo formado por los vértices del volumen de la obstrucción que proyectan sombra al punto medio del ancho de la ventana y que se encuentran dentro del área en el que deben considerar las obstrucciones (ver Figura 47).
. Una vez identificados todos los ángulos B, se debe calcular el FAR final de la ventana en base a la Ecuación 9 presentada a continuación.
. En la hoja "Cálculo FA" de la Herramienta Excel se puede realizar el cálculo para la determinación del FAR final descrito en la Ecuación 9 de modo automático para un máximo de cuatro obstrucciones por ventana. Para hacerlo, se debe anotar el ángulo B y su respectivo FAR inicial en la columna titulada "far". Si la cantidad de obstrucciones es menor que 4, se deben dejar en blanco las celdas que no se necesiten y la planilla mostrará el resultado del FAR final junto a la casilla "Total", tal como se muestra en la Figura 50. Si las obstrucciones que se deben considerar son más de cuatro, se deben agregar las casillas necesarias cuidando que las fórmulas entreguen valores correctos.

Es importante tener en cuenta que la sumatoria de los ángulos de las obstrucciones no puede ser mayor al ángulo de influencia, es decir, no puede ser mayor a 90°. De lo anterior se desprende que en los casos en que dos o más obstrucciones se sobrepongan, la obstrucción que proyecte sombra con un ángulo de mayor abertura con respecto a la horizontal trazada desde el punto medio de la ventana, es la que debe contener el segmento sobrepuesto del ángulo ?. En el ejemplo presentado en la Figura 49, el segmento del ángulo ? sobrepuesto para la obstrucción 1 y obstrucción 2 se debe contar dentro de la obstrucción 2 y omitir para la obstrucción 1.
. 3. FAR Ventana en el techo
Para ventanas en el techo se debe utilizar el factor único "FAR Ventana en el techo". A continuación se describen las directrices que se deben utilizar para identificar el factor correcto desde la Tabla 15 en base a los parámetros Z, X e Y mostrados en la Figura 48:
Para los valores Y/Z y X/Z dentro del rango de la Tabla 15 (entre 0,1 y 10), tomar el valor más cercano.
. Para valores fuera del rango de la Tabla 15, extrapolar linealmente con los valores extremos y para el valor más cercano de la otra variable que está dentro de rango.
Si los resultados de Y/Z y X/Z en ambos casos es menor que 0,1 usar el valor de 0,4.
. Si los resultados de Y/Z y X/Z en ambos casos es sobre 10, usar el valor de 0,9 para el factor de sombra.
12.4.11. Área de las Ventanas
Corresponde a la superficie en metros cuadrados (m2 ) del vano de todas las ventanas. El vano de las ventanas incluye la superficie de vidrio y marco. Se debe anotar la suma de todas las ventanas que corresponden a una respectiva orientación.
Cada ventana de la vivienda deberá estar incorporada en una de las siguientes 9 orientaciones: Norte (N), Noreste (NE), Noroeste (NO), Este (E), Oeste (O), Sureste (SE), Suroeste (SO), Sur (S) o "Ventana en el techo" en los casos en que tengan una inclinación de 60° sexagesimales o menos medidos de la horizontal.
Para revisar el procedimiento con el que se identifica la orientación de cada ventana revisar la sección
12.4.7 del presente manual. 12.4.12. Factor Solar del Vidrio (FS)
Corresponde al factor solar del vidrio para incidencia normal. Se calcula de acuerdo a la Ecuación 10 presentada a continuación:
. Donde:
CS: Coeficiente de sombra
El coeficiente de sombra (CS) es una propiedad del vidrio que corresponde a la cantidad de radiación solar que atraviesa el vidrio de la ventana considerada, dividido por la cantidad de radiación solar que atravesaría un vidrio claro de 3 mm de espesor. Se debe considerar un coeficiente de sombra con un valor igual a 1 para todos los vidrios claros de espesor 6 mm o menor y de 0,89 para los DVH. Cuando se utilice un vidrio especial con coeficiente de sombra distinto de 1, se debe justificar adjuntando a la carpeta de la calificación la siguiente documentación:
. Copia de la factura de compra de los vidrios.
. Documento firmado por el dueño del proyecto donde se indique el valor de CS utilizado y los m2 de vidrio de los diferentes CS utilizados.
En el caso de utilizar vidrios con coeficientes de sombra distintos de 1, se deben declarar obligatoriamente en esta sección e indicar el valor de CS correspondiente. Si no se conoce exactamente el coeficiente de sombra para un determinado vidrio especial (CS diferente de 1) o no se cuenta con respaldo para demostrarlo, es posible acogerse a una evaluación simplificada, y utilizar un valor por defecto, igual a CS = 0,7. Este valor de 0,7 se puede aplicar a cualquier vidrio con un coeficiente de sombra inferior a 1, sin justificación de documentación que indique el coeficiente de sombra preciso. Se debe tener en claro que este factor se utiliza para el cálculo de las ganancias solares en invierno, y que el criterio del presente Manual es que cuando no se puede demostrar el valor de una variable, se use el valor más desfavorable. En este caso, el valor más desfavorable del CS es un valor bajo, por lo que se propone el 0,7 que corresponde aproximadamente al promedio de los valores más bajos corrientemente utilizados.
Para acogerse a la evaluación simplificada, solo debe indicarse y utilizar el valor 0,7. En caso contrario, el Mandante, que solicita la calificación, debe emitir una declaración firmada, indicando el tipo de vidrio utilizado, adjuntando además una fotocopia de la factura de compra de estos vidrios y un documento, aceptado por alguna certificación de la Comunidad Europea o de Estados Unidos, donde se indique el CS del vidrio. La responsabilidad de que el vidrio identificado sea realmente el utilizado es del propietario de la vivienda y la responsabilidad de que el certificado esté realmente aceptado por algún sistema de certificación de viviendas de la Comunidad Europea o Estados Unidos es del Evaluador Energético.
En el caso de tener más de un FS para una orientación, se debe considerar el valor promedio ponderado por las áreas de esta variable.
12.4.13. Factor del marco de la ventana (FM)
Corresponde al porcentaje de superficie traslúcida con respecto al área total del vano. Los valores por defecto a utilizar en el método simplificado son los indicados en la Tabla 16.
Para este parámetro no se permite el uso de valores diferentes a los valores por defecto. Se debe aclarar que estos porcentajes de marcos solo se aplican al cálculo del factor FM (ya que se trata de un modelo simplificado), pero no se pueden aplicar al cálculo del U de las ventanas.
Para eso se presenta un procedimiento más detallado en la sección correspondiente.
En caso de tener varios tipos de marcos para una orientación, se debe escoger el que se encuentre presente en forma mayoritaria considerando las áreas de las ventanas con cada marco.
. 12.5. Metodología a usar en el cálculo de la demanda de energía en calefacción
En esta sección se define la metodología de cálculo a utilizar para determinar la demanda de energía en calefacción. Para ello existen las siguientes dos metodologías posibles:
. Cálculo estático de la demanda.
. Cálculo dinámico de la demanda (CCTE).
.
. El procedimiento de calificación permite realizar los cálculos de demanda con cualquiera de las 2 metodologías, existiendo solo una restricción, la cual corresponde a viviendas que tienen una relación vano muro (RVM) igual o superior a 0,7, lo cual se considera una gran superficie de ventanas y por esto en dichas viviendas, solo se permite el cálculo en base al método dinámico (CCTE).
La superficie de ventanas se mide en base al factor RVM, el cual se calcula mediante la siguiente ecuación y se muestra en la línea 29 de la planilla de cálculo:
. Donde:
Área ventanas: Área total de las ventanas de la vivienda en m2 , incluyendo área de vidrio y marco.
Área muros e : Área total de muro bruto exteriores, en m2 . Se entiende por área de muro bruto la superficie de muros exteriores que incluye muros, ventanas y puertas.
En el caso en que RVM sea menor que 0,70, se pueden utilizar indistintamente ambas metodologías sin justificación alguna. En el caso de que se utilice el método del cálculo estático de la demanda, el valor de la demanda y consumo de energía (en kWh/m2año) no aparecerá impreso en el Informe de Evaluación ni en la Etiqueta de Eficiencia Energética.
En caso de seleccionar el cálculo estático, las Filas 46 y 47 de la hoja CE_Chile de la Herramienta Excel no deben ser utilizadas y se debe cuidar que dichas celdas indiquen un valor nulo o que queden vacías.
En caso de seleccionar el cálculo dinámico (CCTE), se debe ingresar:
. Demanda de calefacción de la vivienda: obtenido del programa CCTE (ver Figura 51)
. Demanda de calefacción de la referencia: obtenido del programa CCTE (ver Figura 51).
Para la simulación de la vivienda utilizando el CCTE se debe seguir el instructivo del manual CCTE, además de las instrucciones específicas que se detallan a continuación. Si existiera alguna discrepancia entre lo que indica el manual del CCTE y las presentes instrucciones, se debe proceder de acuerdo a las instrucciones siguientes:
. Para el cálculo de la demanda de referencia se debe considerar el promedio del desempeño del edificio en las 4 orientaciones principales. Esto implica que, para la referencia del cálculo con el CCTE, se debe ingresar el valor promedio de la referencia en las 4 orientaciones principales. No se deben mezclar resultados del edificio objeto, calculado por un método, con los del edificio de referencia, calculado por el otro método.
. Cuando se simule un departamento, solo se deben simular los límites del departamento mismo. No se deben incluir ni los pasillos ni los departamentos vecinos.
. Cuando se simule un edificio o una vivienda pareada, los muros medianeros del departamento o la vivienda deben considerarse como muros adiabáticos.
. Cuando se simule un edificio en que los pasillos y escaleras corresponden a recintos cerrados (es decir, no incluyen aberturas que permanezcan abiertas al exterior), los muros del departamento colindantes con estos espacios se consideran como adiabáticos, ya que se asume que no sufren pérdidas de calor considerables. Cuando estos pasillos y escaleras correspondan a recintos abiertos (existen aberturas permanentemente abiertas al exterior), los muros del departamento colindante con estos locales se deben considerar como muros exteriores sin incidencia de radiación solar.
. Adicionalmente, se debe incluir como anexo en la carpeta de la calificación el documento oficial de resultados del CCTE_CL y el archivo de datos, para hacer funcionar el CCTE con los datos predefinidos de este proyecto.
12.6. Resultados del cálculo de la demanda de energía en calefacción e iluminación
En este punto se presentan los resultados principales del cálculo de demanda de calefacción e iluminación en la vivienda. Estos resultados se incluyen en esta sección con la finalidad de que en esta etapa el Evaluador Energético efectúe un chequeo para asegurarse de que ha ingresado los datos en forma correcta.
La temperatura de base y los grados día a la temperatura de base son dos de los parámetros fundamentales del método de los grados día de base variable, implementado en el procedimiento de cálculo estático. Sin embargo, estos no aparecen en los resultados cuando se ha optado por realizar los cálculos de demanda a partir del método dinámico, ya que este método no utiliza el concepto de los grados día. Se debe aclarar que las variables indicadas corresponden, como todas las otras de este punto, a valores calculados por el método.
Cuando se realizan los cálculos en la zona térmica 1 y el valor de demanda de la vivienda de referencia es inferior a 30 kWh/m2año, no se considera la calefacción en la calificación, ya que se supone que esta vivienda en realidad no requiere calefacción o que su consumo de calefacción es muy pequeño.
. 12.7. Definición de equipos y sistemas
12.7.1. Sistema de Calefacción
En esta sección se define el sistema de calefacción. Si se utiliza más de un sistema de calefacción, se debe operar como sigue:
. En el caso en que se trabaje con una vivienda de la Zona Térmica 1 y que la demanda de la vivienda de referencia sea menor de 30 kWh/m2año, es decir, no se considera la calefacción en la calificación, solo se debe dejar la opción de equipo 1: "Sistema por defecto – No se dispone de sistema de calefacción" y como combustible utilizar el combustible por defecto, que corresponde a gas licuado (GLP).
. Solo se consideran los sistemas más importantes que aporten, en conjunto, al menos el 70% de la potencia total de todos los sistemas disponibles. Por ejemplo, si se dispone de 3 sistemas de calefacción con aportes del 45%, 35% y 20%, respectivamente, solo se deben considerar para el análisis los dos sistemas más grandes. Luego, el más pequeño no se considera en el análisis.
. Dentro de los sistemas que aportan al menos el 70% de la potencia total disponible, se debe considerar para los cálculos el de menor eficiencia entre ellos.
. Si se utiliza más de un sistema y cada uno es capaz de aportar el 100% de la potencia necesaria, se puede considerar solo el de mejor eficiencia.
A continuación, se describe el criterio que se debe utilizar para completar los datos de cada información requerida:
a. Potencia referencial del sistema de calefacción
Corresponde a la potencia térmica mínima estimada para satisfacer los requerimientos de calefacción.
Para un edificio donde varios departamentos o sectores de un condominio o conjuntos del tipo se calefaccionen con un mismo equipo centralizado o con calefacción comunitaria o distrital, se debe calcular una potencia equivalente del equipo para la vivienda evaluada de acuerdo a la Ecuación 12. La potencia equivalente del equipo no debe ser inferior al 65% de la potencia referencial del sistema total.
. b. Tipo de energético utilizado en el sistema de calefacción
Se ingresa el tipo de energético o combustible que se utilizará para calefacción.
Cuando no se disponga de ningún sistema de calefacción, se deberá ingresar el combustible por defecto, que para el caso de la calefacción el combustible por defecto es el gas licuado (GLP).
Cuando se utilice más de un combustible, se debe ingresar el más desfavorable, es decir, el que entregue el menor rendimiento del sistema.
c. Rendimiento general del equipo principal
Se debe seleccionar el tipo de sistema utilizado, de acuerdo a la oferta de selección múltiple que aparece en la herramienta de cálculo.
Si la suma de las potencias de los sistemas de calefacción es inferior al 65% de la potencia referencial del sistema de calefacción, se considera que la vivienda no dispone de sistema de calefacción y se debe utilizar el valor "No se dispone de sistema de calefacción".
En el caso de que exista un equipo de calefacción instalado en forma permanente y se quiera optar a una eficiencia diferente a la que la herramienta le asigna por defecto, se deben adjuntar a la carpeta de la calificación los siguientes documentos:
. Factura de compra del o los sistemas de calefacción principal.
. Documento firmado por el propietario, señalando que dicho sistema cumple con las características indicadas.
Si se utiliza caldera con condensación o bomba de calor, el sistema de distribución del calor debe ser de distribución por aire o por losa radiante. Si el sistema de distribución no es de baja temperatura y por alguno de estos medios, para la calificación se debe considerar como que no tiene calefacción.
d. Corrección por distribución
De la Herramienta se debe seleccionar el tipo de distribución del equipo principal que se utiliza en la calificación. Para este caso se dispone de 3 posibilidades:
1. Sistema unitario autocontenido
Corresponde a un sistema en que todos sus componentes están contenidos en un mismo volumen común, como, por ejemplo: calefactores localizados, bombas de calor de ventana, etc.
2. Vivienda unifamiliar con sistema centralizado
Corresponde a los sistemas de viviendas que no se ajustan a la descripción anterior, como, por ejemplo: sistemas de calefacción con calderas y radiadores, bombas de calor partidas, sistemas de bomba de calor centralizadas con ductos, etc.
3. Edificio con sistema centralizado
Corresponde al caso anterior, pero aplicado a edificios en lugar de casas individuales.
e. Corrección por control
Corresponde a la selección del sistema de control de temperatura del local. Para ello existen 2 opciones:
1. Sin corrección:
Se aplica este valor cuando el sistema dispone de un control automático de temperatura de la vivienda. En general, estos elementos corresponden a sistemas de control comandados por un termostato.
2. Control manual:
Se aplica este concepto cuando el sistema de control de la temperatura de los locales utiliza una operación manual, no automática.
f. Opción de definición de rendimiento del elemento principal en base a certificado de ensayo
En caso de que se decida utilizar un valor del rendimiento de la caldera (?) diferente al asignado por defecto, se acepta corregirla cuando se trate de sistemas centralizados con caldera o sistemas localizados con evacuación de gases al exterior. Para el resto de los sistemas, se deben utilizar los valores por defecto.
Cuando se trate de sistemas unitarios autocontenidos con evacuación de gases al exterior, se debe considerar directamente el rendimiento nominal (? ) de la caldera sin las correcciones presentadas en la Ecuación 13, es decir:
. Cuando se trate de sistemas centralizados con caldera, el rendimiento (ηsc) se debe calcular en base a la Ecuación 13 presentada a continuación:
. Donde:
ηsc : Rendimiento de la caldera.
ηn : Rendimiento nominal de la caldera.
Ft : Factor de conversión de Rendimiento Total por tipo de combustible.
Fc2 : Corrección por tipo de control.
Fp : Corrección por tipo de piloto.
Los factores para completar la Ecuación 13 se deben obtener de la Tabla 17, Tabla 18 y Tabla 19 presentadas a continuación:


El valor del Rendimiento nominal (? ) necesario para completar la Ecuación 13, se debe justificar
mediante los dos documentos siguientes:
. Copia de la factura de compra del equipo, donde se indique la marca y modelo. En caso de que en la factura no se especifique la marca y modelo, se debe incluir una certificación del responsable o propietario del proyecto, que indique marca y modelo del equipo que se instalará o que se instaló en la vivienda.
. Certificado válido que especifique el rendimiento nominal del equipo. Los tipos de certificados válidos se presentan en el punto 1.3 de la parte I del presente Manual.
12.7.2. Sistema de agua caliente sanitaria
En esta sección se define el sistema de agua caliente sanitaria. Si se utiliza más de un sistema de agua caliente sanitaria, se debe operar como sigue:
. Solo se consideran los sistemas más importantes, que aporten en conjunto, al menos el 80% de la potencia total del conjunto de todos los sistemas disponibles. Por ejemplo, si se dispone de 3 sistemas de ACS con aportes del 45%, 40% y 15%, respectivamente, solo se deben considerar para el análisis los dos sistemas más grandes. Luego, el más pequeño no se considera en el análisis.
. Dentro de los sistemas que aportan el 80% de la potencia total disponible, se debe considerar para los cálculos el de menor eficiencia; se entiende como sistema de menor eficiencia el que entrega como resultado un mayor consumo de energía primaria en agua caliente sanitaria.
En caso de que exista un equipo de agua caliente sanitaria instalado en forma permanente, y se quiera optar a una eficiencia diferente a la definida por defecto, se deben adjuntar a la carpeta de la calificación los siguientes documentos:
.
. . Factura de compra de el o los sistemas de ACS principal(es). Este documento no es requerido para la precalificación.
. Formulario firmado por el propietario, que señale el cumplimiento por parte del sistema de las características indicadas.
A continuación, se describe el criterio que se debe utilizar para completar los datos de cada información requerida:
a. Tipo de energético a utilizar:
Se ingresa el tipo de energético o combustible que se utilizará para ACS.
En caso de que no se tenga instalado ningún tipo de elemento de calentamiento de agua, se debe indicar el combustible por defecto, que es el gas licuado (GLP).
En el caso de que se utilice más de un combustible, se debe considerar el más desfavorable.
b. Rendimiento de generación:
Seleccionar tipo de sistema de agua caliente sanitaria a utilizar.
c. Corrección por sistema de distribución:
Seleccionar el tipo de distribución con que cuenta el equipo principal que se considera en la calificación. Si la instalación presenta más de un 10% de su longitud con aislación deteriorada o inexistente, se debe considerar como sin aislación.
Para efectos de esta corrección, se considera que los ductos de distribución cuentan con aislación térmica cuando cumplen con el requerimiento indicado en el decreto supremo 331, Reglamento Ley 20.365 Artículo 35, letra b.
d. Corrección por estanque de almacenamiento:
Corresponde a las pérdidas de calor de los estanques de almacenamiento cuando el sistema no es de uso directo. Se calcula a partir de la Tabla 20, Tabla 21 y Tabla 22, en base al Factor de pérdidas en el estanque del sistema de agua caliente sanitaria (FPACS). El valor a ingresar corresponde al FPACS multiplicado por el volumen del estanque expresado en litros en función de la resistencia térmica del aislante (Ra). La resistencia térmica del aislante se calcula de acuerdo a la Ecuación 14.
. Donde:
e: Espesor del aislante térmico en m
k: Conductividad térmica del aislante en mK/W
Para justificar el valor de k, solo se requiere que lo especifique en forma explícita el Evaluador Energético; por tanto, la veracidad de dicho valor queda bajo su responsabilidad.
. Si se dispone de varios estanques de almacenamiento, se deben sumar las pérdidas de cada uno. Si se tiene un estanque comunitario, a cada departamento se le debe asignar una pérdida prorrateada por la superficie del departamento o vivienda en cuestión respecto a la superficie total de departamentos o viviendas que están conectadas a este estanque.
e. Opción de definición de rendimiento del elemento principal en base a certificado de ensayo Cuando se utilice "Sistema de calentamiento de agua directo a gas" o "Sistema de calentamiento de agua conjunto con caldera de calefacción" es permitido modificar los rendimientos de generación que el sistema tiene definidos por defecto.
Cuando se desee modificar el rendimiento de generación de "Sistema de calentamiento de agua directo a gas", el valor de reemplazo permitido es el del Rendimiento nominal (? ), el cual se debe respaldar con los siguientes documentos:
. Copia de la factura de compra del sistema, donde se indique la marca y modelo de este. En caso de que en la factura no se especifique la marca y el modelo del sistema, se debe incluir una declaración del Mandante, que indique marca y modelo de la caldera que se instalará o que se instaló en la vivienda.
. Certificado válido que especifique el rendimiento nominal de la caldera. Los tipos de certificados válidos se presentan en el punto 7 del presente Manual.
Cuando se desee modificar el rendimiento de generación de "Sistema de calentamiento de agua conjunto con caldera de calefacción", el valor de reemplazo permitido se debe obtener mediante el procedimiento descrito en el apartado de calefacción (ver 12.7.1) para anotar rendimientos distintos a los descritos por defecto.
Para reemplazar el rendimiento de sistemas de calentamiento de agua caliente sanitaria (ACS) que además proveen de agua caliente al sistema de calefacción, se debe seguir el procedimiento indicado en el apartado de calefacción (ver 12.7.1).
Cálculo de la demanda de energía en agua caliente sanitaria
A modo informativo, el sistema CEV calcula la demanda de agua caliente sanitaria (DACS) mediante la siguiente expresión:
. Esta variable se calcula a partir de información previamente ingresada y a partir de valores fijos (por defecto); luego, no se requieren datos adicionales para este parámetro.
12.7.3. Sistema de iluminación
a. Demanda de energía en iluminación
La demanda de energía en iluminación se calcula a partir de información previamente ingresada y de valores fijos (por defecto); luego, no se requieren datos adicionales para este parámetro.
b. Consumo de energía en iluminación
El consumo de energía en iluminación se calcula a partir de información previamente ingresada y de valores fijos (por defecto); luego, no se requieren datos adicionales para este parámetro.
12.7.4. Energías Renovables No Convencionales – Sistema solar térmico (SST)
Si la vivienda dispone de sistemas de colectores solares térmicos, en la casilla ¿Dispone de un sistema de colectores solar - térmico? debe Indicar "Sí" y en caso de que la vivienda no los tenga se debe indicar "No" y dejar el resto de las casillas del ítem sistema solar térmico en blanco.
En el caso de que no se disponga de colectores solares, se debe asegurar que todas las celdas de ingreso de datos relativas al sistema estén vacías (poner valor cero en estas celdas).
Para poder incorporar al sistema de calificación energética de vivienda los Sistemas Solares Térmicos para agua caliente sanitaria, los equipos instalados tales como colectores solares, depósitos acumuladores y colectores solares integrados deben contar con resolución exenta de la Superintendencia de Electricidad y Combustibles (SEC) que autoriza el ingreso de estos equipos al registro actualizado que para tales efectos lleva la SEC.
La metodología utilizada para calcular el aporte de energía solar a la calefacción y al agua caliente sanitaria se basa en el método f-chart (Duffie et al 2007) modificado. Esta metodología se utiliza ampliamente en el mundo para calcular el aporte solar térmico. Las modificaciones que se le han agregado corresponden a simplificaciones menores que permiten por un lado facilitar el procedimiento de cálculo y por otro disminuir la cantidad de documentos de acreditación del sistema, a través de la incorporación de ciertos parámetros por defecto.
Además, se ha añadido un factor de corrección, que tiene en cuenta la variación de la radiación solar incidente cuando existe una porción importante del cielo con obstrucciones. Los datos a ingresar para definir el sistema solar son los siguientes:
. a. Tipo de colector
Se debe seleccionar el tipo de colector solar. Para la presente calificación se aceptan dos tipos de colectores solares: los colectores planos y los colectores de tubos al vacío. Los colectores solares planos deben disponer de al menos una cubierta semitransparente. No se consideran en esta versión de la calificación los colectores solares sin cubierta.
b. Tipo de servicio:
Puede ser agua caliente sanitaria o agua caliente sanitaria y calefacción.
c. Superficie total bruta de los colectores solares:
El área total expuesta de los colectores.
d. Indicar el ángulo de inclinación:
Se debe anotar el ángulo de inclinación de los colectores solares con respecto al horizonte.
Si por motivos de diseño y espacio se deben utilizar diferentes ángulos de inclinación para los diferentes colectores solares, para determinar el ángulo a incluir se procede como sigue:
. . Se considera solo el 80% de los colectores solares con mejor inclinación (más próximos a la latitud).
. De este grupo de 80% de mejor inclinación, se debe considerar el valor del colector que presente una inclinación más desfavorable, es decir, la que más se aleja del ángulo de latitud.
. e. Ángulo de azimut de los colectores:
Se debe indicar el valor del ángulo de azimut en grados y medido desde el Norte. El ángulo de azimut es el ángulo formado por la proyección en el plano horizontal de la normal al colector, con la dirección Norte.
Si por motivos de diseño y espacio se deben utilizar diferentes ángulos de azimut para los diferentes colectores solares, para determinar el ángulo a incluir se procede como sigue:
Se considera solo el 80% de los colectores solares con mejor orientación (más próximos a la orientación Norte). De este grupo del 80% de mejor orientación, se debe considerar el valor del colector que presente una orientación más desfavorable, es decir, la que más se aleja del Norte.
f. Factor de corrección por obstrucciones:
Este factor se considera cuando existen sombras proyectadas sobre los colectores. En este caso, se debe utilizar la metodología de la Norma Técnica de la Ley 20.365 del Gobierno de Chile. El valor a indicar se calcula como se muestra a continuación:
.Donde:
PS: Pérdidas por sombra (%) de acuerdo a definición de la norma técnica de la Ley 20.365. En el caso en que no existan sombras, el valor de PS es igual a cero (0).
En el caso en que se utilice un valor de FCOt diferente de uno (1) (factor de corrección por obstrucciones), se debe adjuntar la memoria de cálculo a la carpeta de la calificación. La memoria de cálculo es de formato libre; sin embargo, es responsabilidad del Evaluador Energético incluir toda la información necesaria para justificar los resultados obtenidos.
Al seleccionar el tipo de colector solar, se carga a la planilla una serie de valores por defecto de las principales características del colector. Si se desean modificar estas características por defecto, se puede hacer en la columna identificada como "A modificar". Cuando se utiliza esta opción se debe justificar mediante la incorporación de la siguiente documentación:
. Copia de la factura de compra de los colectores solares, que indique la marca y modelo del colector. En el caso de que en la factura no especifique estos datos, se debe incluir una declaración del Mandante, que indique marca y modelo del colector que se instalará o que se instaló en la vivienda.
. Copia de la resolución exenta de la Superintendencia de Electricidad y Combustibles (SEC) que autoriza el ingreso del producto al registro que para tales efectos lleva la SEC.
Si se dispone de un sistema de captación de energía solar que abastece en forma simultánea a más de una vivienda (por ejemplo, a un edificio o a un grupo de viviendas), para efectos de la calificación particular de una vivienda se debe proceder de la siguiente manera:
El área (m2) de colectores a ingresar en la planilla se calcula mediante la siguiente ecuación:
. Dónde:
ACV1: Área de colectores asignada a la vivienda 1 en el contexto de la calificación. Esta es el área que se debe consignar en la planilla de calificación de la vivienda 1.
ATC: Área total de colectores solares del sistema.
AV1: Área total de la superficie de piso de la vivienda 1.
ATV: Área total de la superficie de piso del conjunto de viviendas conectadas a este sistema de energía solar.
Para el resto de los parámetros, debe considerarse el sistema solar en su conjunto.
A fin de poder incluir el sistema solar térmico en la calificación, se debe cumplir con las siguientes restricciones:
i. Garantía de los equipos
El comprador de la vivienda debe recibir una garantía de al menos 5 años por los equipos solares.
ii. Fluido a circular por el colector
Para efectos de diseñar los sistemas, se deberán tomar precauciones por riesgo de heladas en todo el territorio nacional, a excepción de las comunas costeras existentes en las regiones XV, I, II, III, IV, V, VI y VII.
En las zonas donde existe riesgo de heladas, deberá usarse alguno de los siguientes métodos de protección contra heladas:
. Mezclas anticongelantes.
. Colectores solares que soportan la deformación producida por el congelamiento en sus cañerías.
Se entenderá por temperatura ambiente mínima de cada comuna a aquella que se refiere el Artículo 17 y Artículo Primero de las Disposiciones Transitorias del DS N° 331 de 2009, del Ministerio de Economía, que fija el Reglamento de la Ley N° 20.365.
En los SST directos, los componentes del circuito primario que estén expuestos a heladas, deben estar diseñados para ser resistentes al congelamiento.
iii. Capacidad del sistema de almacenamiento
El volumen del depósito de acumulación debe tener un valor tal que cumpla con la relación indicada en el numeral 1 del artículo 32 del DS N° 331 de 2009, del Ministerio de Economía.
iv. Sistema de energía auxiliar
El sistema de energía auxiliar debe estar fuera del circuito que alimenta el colector. En caso de que el sistema esté incluido dentro del estanque de almacenamiento, se debe corregir el aporte solar por un factor 0,85. Esto se hace en la práctica, ingresando, como superficie total bruta de colectores solares, el área real de colectores multiplicada por 0,85.
Sin perjuicio de lo anterior, se recomienda diseñar el sistema de acuerdo a las consideraciones de buenas prácticas de diseño indicadas en el documento "Sistemas Solares Térmicos II, Guía de Diseño e Instalación para Grandes Sistemas de Agua Caliente Sanitaria, CDT 2010" y el "Itemizado Técnico para Instalación de Sistemas Solares Térmicos en Viviendas - Sistemas Solares Térmicos Individuales (Unifamiliares)", aprobado por resolución exenta del Minvu o similar. Esto último es solo a modo de recomendación y no será exigible para la calificación. Sin embargo, el Evaluador Energético tiene el deber y la facultad de rechazar un sistema solar propuesto si, según su criterio, este no se ajusta a estas buenas prácticas de diseño. En este contexto, cuando se demuestren fallas reiteradas en los sistemas acreditados por un Evaluador Energético específico, que sean producto del no cumplimiento de estas buenas prácticas de diseño, el Evaluador podrá ser investigado y eventualmente sancionado.
En la calificación energética no se consideran colectores solares que utilicen aire como fluido de trabajo.
En las filas 77 y 78 de la Herramienta Excel o en la hoja "Consumo" de la herramienta web (ver 12.8), se muestran los resultados del aporte de energía solar para el sistema de agua caliente sanitaria y para el sistema de calefacción.
12.7.5. Energías Renovables No Convencionales – Sistema solar fotovoltaico (SSFV)
El sistema CEV aborda el aporte de energía renovable no convencional de sistemas solares fotovoltaicos como disminución del consumo de energía por iluminación.
La metodología utilizada para calcular el aporte solar fotovoltaico corresponde a una metodología simplificada basada principalmente en la energía solar disponible y la eficiencia de referencia de la celda fotovoltaica. Esta metodología es utilizada ampliamente para estimar los aportes de energía solar fotovoltaica.
Los datos necesarios para realizar el cálculo del aporte fotovoltaico se detallan a continuación.
a. Área neta de captadores fotovoltaicos:
Se debe especificar el área neta de las placas fotovoltaicas, es decir, el área bruta de captación.
En el caso de que no se disponga de colectores solares fotovoltaicos, se debe asegurar que todas las celdas de ingreso de datos relativas al sistema estén vacías (poner valor cero en estas celdas).
b. Ángulo de inclinación de los colectores:
. Se ingresa el ángulo de inclinación de los paneles fotovoltaicos (respecto a la horizontal).
Si por motivos de diseño y espacio se deben utilizar diferentes ángulos de inclinación de los paneles, en este parámetro se debe incluir la inclinación más desfavorable. En general, la inclinación más desfavorable corresponde a la inclinación que más se aleja del ángulo de latitud del lugar. Para determinar cuál es la inclinación más desfavorable se deben ingresar en la planilla las diferentes inclinaciones existentes; la más desfavorable será la que entrega un menor aporte solar.
c. Ángulo de azimut de los colectores:
Se debe indicar el valor del ángulo de azimut en grados y medido desde el Norte. El ángulo de azimut es el ángulo formado por la proyección en el plano horizontal de la normal al colector, con la dirección Norte. El factor de corrección se calcula en base al procedimiento de la Norma Técnica de la Ley 20.365 del gobierno de Chile. Aunque la norma es válida para colectores solares de agua caliente, para efectos de la CEV, este factor también es válido para colectores fotovoltaicos.
Si por motivos de diseño y espacio se deben utilizar diferentes ángulos de azimut para los diferentes colectores, para determinar el ángulo a incluir se procede como sigue: se considera solo el 80% de los colectores fotovoltaicos con mejor orientación (más próximos a la orientación Norte). De este grupo del 80% de mejor orientación, se debe considerar el valor del colector que presente una orientación más desfavorable, es decir, la que más se aleja del Norte.
d. Factor de corrección por obstrucciones:
Corrección por elementos de sombra. Este factor se considera cuando existen sombras proyectadas sobre los colectores. En este caso, se debe utilizar la metodología de la Norma Técnica de la Ley 20.365 del gobierno de Chile.
El valor a indicar es FCOe y se calcula como se muestra a continuación:
. Donde:
PS: Pérdidas por sombra (%), definido en la norma técnica de la Ley 20.365. En el caso en que no existan sombras, el valor de PS se debe considerar igual a cero (0).
En el caso en que se utilice un valor de FCOe diferente de 1, se debe adjuntar la memoria de cálculo a la carpeta de la calificación. La memoria de cálculo es de formato libre; sin embargo, es responsabilidad del Evaluador Energético incluir toda la información necesaria para justificar los resultados obtenidos.
e. Eficiencia general del sistema:
Se debe ingresar la eficiencia de los paneles fotovoltaicos, correspondiente a la eficiencia obtenida para una radiación solar incidente de 1000 [W/m2].
Siempre que se use la opción de aporte solar por sistema fotovoltaico, se debe adjuntar la siguiente documentación a la carpeta de la calificación.
. Copia de la factura de compra de las celdas fotovoltaicas, que indique la marca y modelo de las celdas. En caso de que la factura no especifique la marca y modelo de la celda, se debe incluir una declaración del propietario, indicando marca y modelo de la celda que se instalará o que se instaló en la vivienda.
. Certificado válido que especifique la eficiencia de la celda fotovoltaica. El certificado válido corresponde a algún certificado extranjero, de acuerdo a lo indicado en el punto 7 del presente Manual.
Si se dispone de un sistema fotovoltaico que abastece en forma simultánea a más de una vivienda (por ejemplo, a un edificio o a un grupo de viviendas), para efectos de la calificación particular de una vivienda, se debe proceder de la siguiente manera:
El área (m2) de paneles fotovoltaicos a ingresar en la planilla se calcula mediante la siguiente ecuación:
. Donde:
AFV1: Área de los paneles fotovoltaicos asignados a la vivienda 1 en el contexto de la calificación. Esta es el área que se debe consignar en la planilla de calificación de la vivienda 1.
ATF: Área total de paneles fotovoltaicos del sistema.
AV1: Área total de la superficie de piso de la vivienda 1.
ATV: Área total de la superficie de piso del conjunto de viviendas conectadas a este sistema de energía solar.
Para el resto de los parámetros de la planilla, debe considerarse el sistema solar en su conjunto.
A fin de poder incluir el sistema fotovoltaico en la calificación, se debe cumplir con las siguientes restricciones:
. El comprador debe recibir una garantía de al menos 5 años por cada uno de los elementos del sistema.
. El sistema debe ser diseñado en forma eficiente.
Sin perjuicio de lo anterior, se recomienda diseñar el sistema de acuerdo a las consideraciones de buenas prácticas de diseño (CTE-HE5 2006), o similar. El Evaluador Energético tiene la facultad y el deber de rechazar un sistema solar propuesto si, según su criterio, este no se ajusta a estas buenas prácticas de diseño.
12.8. Resultados del consumo de energía primaria en calefacción, agua caliente sanitaria e iluminación.
En la Figura 64 y Figura 63 se presentan los resultados principales del cálculo de consumo de energía en la vivienda. Estos resultados se incluyen en esta sección con la finalidad de que en esta etapa el Evaluador Energético efectúe un chequeo para asegurarse de que ha ingresado los datos en forma correcta.
12.9. Índice de Sobrecalentamiento
Este índice se calcula en base a la identificación de los atributos que podrían provocar sobrecalentamiento en una vivienda. Estos atributos fueron analizados previamente en un modelo de cálculo dinámico del edificio, en base a varias tipologías de viviendas típicas y en los distintos climas de Chile. Del resultado de este análisis se obtienen las ponderaciones consideradas y los coeficientes indicados en las tablas siguientes.
Para determinar este índice es necesario identificar los valores correspondientes a los atributos de:
. Materialidad,
. ventanas,
. ganancias internas,
. aislación térmica y
. ventilación natural.
.
.
.
. A continuación, se presenta el criterio que se debe utilizar para identificar los atributos de riesgo de sobrecalentamiento.
El valor del atributo de materialidad, se determina de acuerdo a la Tabla 23.
Para identificar el valor del atributo de sobrecalentamiento para las ventanas, existen dos conjuntos de posibilidades. La primera es que las ventanas no tengan protección solar exterior o tengan un nivel de protección inferior al 50% de la superficie de las ventanas de la vivienda (caso A) y la segunda es que las ventanas tengan protecciones solares exteriores iguales o superiores al 50% de la superficie vidriada (caso B).
Se entiende como protección solar a los elementos instalados por el exterior de la vivienda que impidan el paso de la radiación directa a la ventana durante el verano. Estos pueden ser artificiales, como aleros, edificios, etc., o naturales, como árboles.
.Cuando ya se identificó si el atributo de Ventanas corresponde al caso A o B, se debe identificar el valor del atributo en función de la proporción porcentual (%) entre el área de piso y el área de ventanas (vano) desde la Tabla 24 o Tabla 25 según corresponda. La superficie construida de la vivienda corresponde a la descrita en la sección 12.3.1 del presente manual.
Caso A. Ventanas sin protección solar exterior o con un nivel de protección inferior al 50% de la superficie.
. Caso B. Ventanas con un nivel de protección solar exterior igual o superior al 50% de la superficie.
Para utilizar esta opción se debe adjuntar una memoria de cálculo en formato libre, donde se demuestre que más del 50% de la radiación solar directa que incidiría sobre las ventanas es interceptada por estos elementos. Una opción simplificada de cálculo es demostrar que, para el 21 de diciembre, a las 17 h, los sistemas de protección solar impiden el paso de la radiación solar directa a más del 60% de la superficie de ventana de la vivienda.
-------------------------------------------
8 Para efectos de este atributo, se considera que un material constituye aislación térmica cuando tiene una conductividad igual o menor que 0,08 W/K*m.
las 17 h, los sistemas de protección solar impiden el paso de la radiación solar directa a más del 60% de la superficie de ventana de la vivienda.
. El valor del atributo Ganancias Internas, se debe identificar en la Tabla 26 en función de la superficie de piso de la vivienda. Se debe entender como superficie del piso de la vivienda, la descrita en la sección 12.3.1 del presente manual.
. El valor del atributo Aislación Térmica, se debe identificar en la Tabla 27 en función del tipo de vidrio de las ventanas y la aislación térmica de los muros.
.---------------------------------------------------
9 Para efectos de este atributo, se considera que un material constituye aislación térmica cuando tiene una conductividad igual o menor que 0,08 W/K*m.
El valor del atributo Ventilación Natural, se debe identificar en la Tabla 28 en función de la cantidad, área y ubicación de las ventanas operables.
.12.10. Resultados detallados
La Herramienta Excel incluye la hoja resultados detallados. Esta hoja no es parte integral de la calificación, por lo cual es posible realizar una calificación completa sin considerar esta página. Sin embargo, se ha incluido en la Herramienta de calificación como información útil para el análisis de los resultados. En efecto, esto permitirá, en base a un análisis de consistencia, ayudar a verificar que no se ha incurrido en ningún error en el ingreso de la información. Por otra parte, permitirá analizar con más detalle el comportamiento térmico de la vivienda y orientar eventuales mejoras para optimizar el comportamiento térmico de ésta.
Esta información se muestra también en la Herramienta web en las pestañas "Indicadores Secundarios" (ver Figura 67), "Demanda" y "Consumo".
En general, los valores de los resultados detallados se explican por sí mismos, por lo cual a continuación junto a las imágenes se incluyen solo algunas breves explicaciones en los casos en que son necesarias para comprender su alcance.
.
. En la Figura 70 se muestra la sección Dimensiones de la vivienda, el área de muro bruto es el área total de muro, incluyendo puertas, ventanas y muros.
En la Figura 69 se presenta un resumen de los porcentajes de pérdida de calor de la envolvente por cada uno de los componentes.
En la Figura 70 se presenta una serie de parámetros relacionados con el método de los grados día, el cual es utilizado para calcular el consumo de energía en calefacción de la vivienda. Dichos datos son información provechosa para un análisis fino de los resultados.
.
. En la Figura 73 se presentan los resultados generales del cálculo de la demanda de energía en calefacción. La demanda de calefacción final a utilizar depende de la activación o no de los resultados del CCTE. Si se anotan los resultados del CCTE, el método utilizará automáticamente estos resultados para el resto de los cálculos. En caso contrario, se utilizarán los resultados del método estático.
En la Figura 75 se presenta un resumen general de los consumos energéticos por cada ítem. Aquí se detalla además el aporte solar de cada uno de ellos y la diferencia que debe ser proporcionada por los sistemas convencionales.
. En la Figura 71 se presenta el resumen de los aportes energéticos de los eventuales sistemas de energías renovables no convencionales (ERNC). Específicamente, se consideran colectores solares térmicos para la calefacción y agua caliente sanitaria, y paneles solares fotovoltaicos para la iluminación.
. REFERENCIAS
Bustamante W., Encinas F. Rozas Y. Victorero F. 2007. Desarrollo de la herramienta de certificación del comportamiento térmico de edificios de Chile (CCTE_CL V2). Informe etapa 05. Manuales de Referencias Técnicas: Fundamentos Técnicos. Minvu.
CTE - HE5 2006. CTE Documento Básico DB HE 5. Contribución Fotovoltaica Mínima de energía eléctrica. Reglamentación Térmica Española.
Duffie J. Beckmann W. 2006. Solar Engineering of Thermal Processes. John Wiley and Sons Inc. New Jersey.
INN 1994. NCh2251 Aislación Térmica - Resistencia Térmica de Materiales y Elementos de Construcción. Norma Chilena Oficial. Instituto Nacional de Normalización. INN Chile.
INN 2004-1. NCh2904: Energía Solar Térmica. Vocabulario. (Basada en ISO 9488).
INN 2004-2. NCh2906/1: Energía Solar - Sistemas Domésticos de Calentamiento de Agua - Parte1: Procedimiento de caracterización del rendimiento mediante métodos de ensayo en interior (Basada en ISO 9459-1).
INN 2004-3. NCh2906/2: Energía solar - Sistemas Domésticos de Calentamiento de Agua - Parte 2: Caracterización y pronóstico anual del rendimiento de los sistemas solares mediante métodos de ensayo en exterior. (Basada en ISO 9459-2).
INN 2004-4. NCh2906/3: Energía Solar - Sistemas Domésticos de Calentamiento de Agua – Parte 3: Procedimiento de ensayo para caracterizar el rendimiento de los sistemas solares más suplementarios (Basada en ISO 9459-3).
INN 2007. Acondicionamiento Térmico - Envolvente Térmica de Edificios - Cálculo de resistencias y transmitancias térmicas. NCh 853 of2007. Norma Chilena Ofi Instituto Nacional de Normalización. INN Chile.
INN 2007-2. NCh3096/1.c2007 y NCh3096/2.c2007: Sistemas Solares Térmicos y Componentes. Colectores Solares - Requisitos generales y Métodos de ensayo (Norma internacional equivalente: UNE-EN 12975-1 y UNE-EN 12975-2).
INN 2007-3 NCh3120/1.c2007 y NCh3120/2.c2007: Sistemas Solares Térmicos y Componentes. Sistemas Solares Prefabricados - Requisitos generales y Métodos de ensayo (Norma internacional equivalente: UNE-EN 12976-1 y UNE-EN 12976-2).
INN 2007-4. NCh3088/1.c2007 y NCh3088/2.c2007: Sistemas Solares Térmicos y Componentes. Sistemas Solares a Medida - Requisitos generales y Métodos de ensayo (Norma internacional equivalente UNEEN12977).
INN 2007-5. NCh3088/3.c2007: Sistemas Solares Térmicos y sus Componentes - Sistemas Hechos a Medida - Caracterización del reconocimiento de acumuladores para sistemas solares de calefacción.
INN 2008-1 NCh3117.n2008: Comportamiento Térmico de Edificios - Transmisión de Calor por el Terreno- Métodos de Cálculo Norma Chilena.
INN 2008-2 NCh3136/1.n2008: Puentes Térmicos en Construcción de Edificios - Flujos de Calor y Temperaturas de Superficie - Parte 1: Métodos generales de cálculo. Norma Chilena.
Minvu, IC 2006. Manual de Aplicación de la Reglamentación Térmica. Minvu, PPEE. CCTE_V2. Manual de Usuario.
Minvu, PPEE 2009-1. Fundamentos Técnicos Sistema de Certificación Energética de Viviendas.
IITU de C, Fundación Chile. Adelqui Fissore, Paula Colonelli.
Ordenanza General de Urbanismo y Construcciones (O.G.U.C.).