1. Modifícase la resolución exenta Nº 5.714 (V. y U.), de 2016, en el sentido de incrementar el monto de Asistencia Técnica a 25 familias beneficiadas, según el siguiente detalle:

    .

    1.1 Reemplázase la tabla inserta en el punto resolutivo 4, por la siguiente:

    .

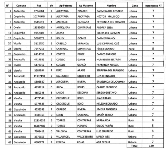
    2. Modifícase la resolución exenta Nº 5.726 (V. y U.), de 2016, en el sentido de incrementar el monto de Asistencia Técnica a 41 familias según el siguiente detalle:
    .
    .

    2.1 Reemplázase la tabla inserta en el punto resolutivo 2 por la siguiente:

    .

    3. Apruébase la nómina de postulantes seleccionados correspondiente a la primera quincena de noviembre, para el otorgamiento de subsidios habitacionales correspondiente al llamado extraordinario del Programa de Protección del Patrimonio Familiar, Título II, Mejoramiento de la Vivienda, para financiar la adquisición de materiales y la contratación de servicios de construcción y reparación, dispuesto en el resuelvo Nº 3.1 de la resolución exenta Nº 360 (V. y U.), de 2016 y sus modificaciones, la que se adjunta y se entenderá formar parte integrante de esta resolución. Fíjase además el número de postulantes seleccionados, correspondientes a la primera quincena de noviembre, para la Región de Coquimbo, según se indica en la siguiente tabla:

      .

    4. Fíjase el monto de recursos comprometidos para el financiamiento de subsidios de reparación, del Programa de Protección al Patrimonio Familiar, Título II, Mejoramiento de la Vivienda, para la atención de los postulantes seleccionados a que se refiere el resuelvo 3, según la siguiente tabla:

    .