MODIFICA RESOLUCIÓN Nº 1.708 EX., DE 26 DE JUNIO DE 2015, QUE DISPONE ASIGNACIÓN DE RECURSOS PARA LA REGIÓN METROPOLITANA Y APRUEBA NÓMINA DE POSTULANTES SELECCIONADOS CORRESPONDIENTE AL MES DE ABRIL DEL LLAMADO EXTRAORDINARIO 2015, QUE SE DESTINARÁN AL FINANCIAMIENTO DE SUBSIDIOS PARA EL DESARROLLO DE PROYECTOS DEL PROGRAMA DE PROTECCIÓN AL PATRIMONIO FAMILIAR EN SU MODALIDAD REGULADA POR CAPÍTULO II DE LA ATENCIÓN A CONDOMINIOS DE VIVIENDAS SOCIALES, EN EL SENTIDO QUE INDICA
    Núm. 1.428 exenta.- Santiago, 9 de mayo de 2017.
    Vistos:
    1. El decreto supremo Nº 255 (V. y U.), de 2006, que regula el Programa de Protección del Patrimonio Familiar.
    2. La resolución Nº533, de 1997, que Fija Procedimiento para Prestación de Servicios de Asistencia Técnica a Programas de Viviendas que indica y deroga la resolución Nº 241 (V. y U.) de 1996.
    3. La circular Nº 1, Subsecretaría (V. y U.), de 21 de enero de 2015, que informa sobre el Programa Habitacional 2015.
    4. La resolución Nº110 (V. y U.) de 2015, que dispone Llamado Extraordinario 2015 a postulación para subsidios habitacionales en sistema y programas habitacionales que indica para el año 2015, entre ellos, el Programa de Protección del Patrimonio Familiar.
    5. La resolución exenta Nº 923 (V. y U.) de fecha 11 de febrero de 2015 y sus modificaciones, que dispone Llamado Extraordinario 2015 a postulación para el desarrollo de proyectos del Programa Protección del Patrimonio Familiar en su modalidad regulada por el Capítulo II, de la atención a Condominios de Viviendas Sociales.
    6. La resolución exenta Nº 1.708 de fecha 26 de junio de 2015 de esta Secretaría Ministerial que dispone la asignación de recursos y aprueba nómina de postulantes seleccionados correspondiente al proceso de selección del mes de abril del llamado extraordinario 2015, que se destinarán al financiamiento de subsidios para el desarrollo de proyectos del Programa de Protección al Patrimonio Familiar en su modalidad regulada por Capítulo II de la atención a Condominios de Viviendas Sociales.
    7. Las facultades que me confieren el DS Nº 397 (V. y U.) de 1976 que fija el reglamento de las Secretarías Ministeriales de Vivienda.
    8. El decreto Nº 42 (V. y U.) de fecha 28 de marzo de 2014, que nombra al infrascrito como Secretario Ministerial Metropolitano de Vivienda y Urbanismo, y
    9. Lo dispuesto en la resolución Nº 1.600 de 2008, de la Contraloría General de la República,
    Considerando:
    1.- Que, por resolución exenta Nº 1.708, de 26 de junio de 2015, se dispuso la asignación de recursos para la Región Metropolitana y se aprobó nómina de postulantes seleccionados correspondiente al mes de abril, del llamado extraordinario 2015, que se destinarían al financiamiento de subsidios para el desarrollo de proyectos del Programa de Protección al Patrimonio Familiar en su modalidad regulada por Capítulo II de la atención a Condominios de Viviendas Sociales.
    2.- Que, mediante resolución exenta Nº 2.541 de 7 de septiembre de 2016, se modificó la resolución individualizada en el considerando precedente, en el sentido de descartar la asignación de complemento de remoción de asbesto cemento correspondiente al proyectos habitacional: "Copropiedad Gamero 2750 Block 41", Código Rukan 65.085.546-9, de la comuna de Independencia.
    3.- Que, mediante resolución exenta Nº 405 de 7 de febrero de 2017, se modificó la resolución individualizada en el considerando Nº1, en el sentido de disminuir la asignación solicitada de complemento de remoción de Asbesto Cemento de 240 UF, correspondiente al proyecto habitacional: "Valle de la Luna Copropiedad A1", Código Rukan 65.100.939-1, de la comuna de Quilicura.
    4.- Que, mediante resolución exenta Nº 1.125 de 4 de abril de 2017, se modificó la resolución individualizada en el considerando Nº1, en el sentido de traspasar parte del monto asignado originalmente en el Título I al Título II, correspondiente a la partida de instalación de farolas fotovoltaicas por un monto de 2.178 UF, correspondiente al proyecto habitacional: "Condominio San Esteban Copropiedad I-1", Código Rukan 53.322.172-6, de la comuna de Quilicura.
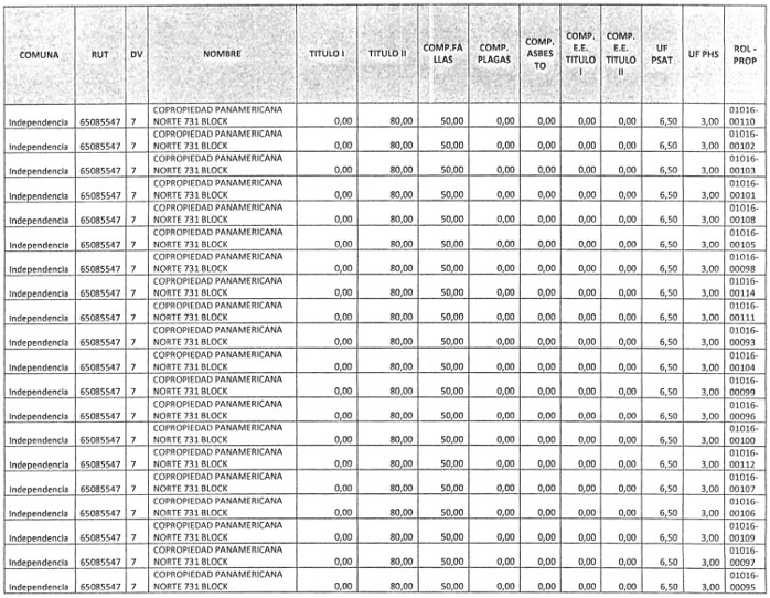
    5.- Que, mediante ordinario Nº 829 de 20 de enero de 2017, el Subdirector de Vivienda y Equipamiento de Serviu Metropolitano, solicita la modificación de la resolución exenta Nº 1.708, ya singularizada, en el sentido de descartar la asignación solicitada de complemento de remoción de Asbesto Cemento de 200 UF, correspondiente al proyecto habitacional: "Panamericana Norte 731 Block 18", Código Rukan 65.085.547-7, de la comuna de Independencia, por lo que dicto la siguiente:
    Resolución:
    1.- Modifícase el resuelvo Nº1 de la resolución exenta Nº 1.708, de 26 de junio de 2015, de esta Secretaría Ministerial de Vivienda y Urbanismo, en el sentido de reemplazar en la tabla inserta, la siguiente fila correspondiente al proyecto habitacional: "Panamericana Norte 731 Block 18", Código Rukan 65.085.547-7, de la comuna de Independencia:

    .

    Por la siguiente:

    .

    2. Modifícase en lo pertinente la nómina de postulantes mencionada en el resuelvo 2, de la resolución exenta Nº 1.708, por la siguiente nómina:

    .

    3. Establécese que la resolución exenta Nº 1.708, de 26 de junio de 2015, de esta Secretaría Ministerial y sus modificaciones posteriores, se mantendrá vigente en todo lo que no ha sido modificado por la presente resolución.


    Anótese, comuníquese, publíquese y archívese.- Aldo Ramaccioti Fracchia, Secretario Ministerial Metropolitano de Vivienda y Urbanismo.