DÉJASE SIN EFECTO RESOLUCIONES QUE INDICA, Y ASÍGNASE ROLES A CAMINOS DE USO PÚBLICO DE LAS PROVINCIAS DE CHILOÉ Y PALENA, DE LA X REGIÓN DE LOS LAGOS
Núm. 849 exenta.- Santiago, 21 de febrero de 2018.
Vistos:
El decreto MOP Nº 301, de 2011, que deja sin efecto el decreto MOP Nº 556, del 13/06/1969, y el decreto MOP Nº 3, del 07/01/2011 (sin tramitar), y aprueba nuevo decreto que establece normas para la numeración y clasificación de caminos; el decreto MOP Nº 436, del 02/04/2014, que modifica el decreto MOP Nº 301; la resolución Nº 2.136, de 2000, que ratifica roles de caminos públicos: el decreto Nº 166, de 1985, que asigna roles a caminos de las regiones X y XI; el decreto Nº 61, de 1994, que declara camino nacional que indica; la resolución DV (exenta) Nº 1.815, de 1996, que asigna Rol a caminos Décima Región; el decreto MOP Nº 1.055, de 1997, que declara caminos nacionales con carácter de internacionales; el decreto MOP Nº 121, de 2009, que declara caminos nacionales; lo dispuesto en el DFL MOP Nº 850, de 1997, que fijó el texto refundido, coordinado y sistematizado de la ley 15.840, Orgánica del Ministerio de Obras Públicas y del DFL Nº 206, Ley de Caminos y la resolución Nº 1.600, de 2008, de la Contraloría General de la República.
Considerando:
1) Que la Dirección de Vialidad debe servir con objetividad a los intereses generales, y actuar de acuerdo con los principios de eficacia y coordinación que rigen a la Administración Pública.
2) Que se requiere mantener actualizado el catastro de caminos de la Red Vial Nacional que atiende la Dirección de Vialidad.
3) Que para el óptimo cumplimiento de lo precitado y a fin de estimular el diligente funcionamiento de la organización estatal, se ha desarrollado la labor de unificar los antecedentes de la red vial con que trabajan las Direcciones Regionales de Vialidad e incluirlos en los antecedentes de la Red Vial que se encuentra en la base de datos del Nivel Central.
4) Que se requiere actualizar y modificar roles de caminos existentes en el catastro de la Red Vial de las Provincias de Chiloé y Palena de la X Región de Los Lagos.
Resuelvo:
1. Déjase sin efecto las siguientes resoluciones:
- Resolución DV (exenta) Nº 2.136, de 2000, que ratifica roles de caminos públicos, en lo que respecta a los caminos de las provincias de Chiloé y Palena de la X Región de Los Lagos.
- Resolución DV (exenta) Nº 1.815, de 1996, que asigna rol a caminos Décima Región, en lo relativo a la provincia de Palena.
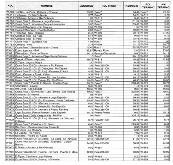
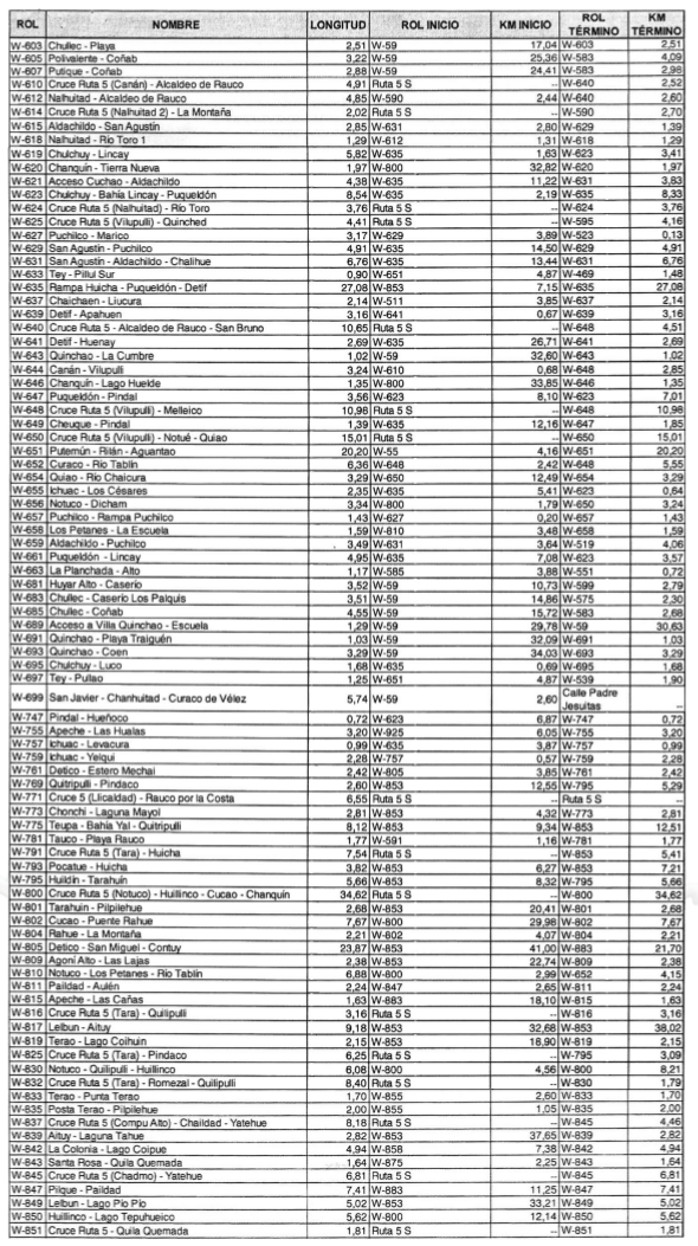
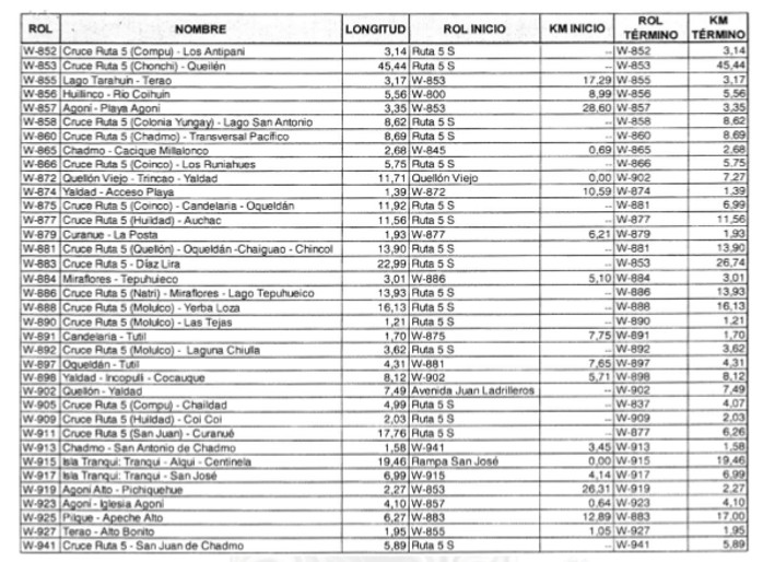
2. Asígnase el rol a los caminos de uso público de la provincia de Chiloé de la X Región de Los Lagos, de acuerdo al listado que se detalla a continuación:
.
.
.
.
. 3. Asígnase el rol a los caminos de uso público de la Provincia de Palena de la X Región de Los Lagos, de acuerdo al listado que se detalla a continuación:
. 4. Exclúyase de esta asignación de roles y nombres a todos aquellos caminos o tramos de caminos incluidos en el punto Nº 2 y Nº 3 de esta resolución, que se encuentren dentro de los límites urbanos vigentes declarados por los instrumentos de planificación territorial que corresponda y que no hayan sido declarados como camino público en zona urbana, de acuerdo a lo estipulado en el Art. Nº 24 del DFL MOP Nº 850, de 1997.
NOTA
El N° 1 de la Resolución 181 Exenta, Obras Públicas, publicada el 13.04.2021, complementa los resuelvo N° 2 y N° 3 de la presente norma, en el sentido de incorporar caminos de uso público de las provincias de Osorno, Palena y Chiloé, quedando identificados según se indica en la tabla de la citada norma.
El N° 1 de la Resolución 181 Exenta, Obras Públicas, publicada el 13.04.2021, complementa los resuelvo N° 2 y N° 3 de la presente norma, en el sentido de incorporar caminos de uso público de las provincias de Osorno, Palena y Chiloé, quedando identificados según se indica en la tabla de la citada norma.
NOTA 1
El N° 2 de la Resolución 181 Exenta, Obras Públicas, publicada el 13.04.2021, modifica el resuelvo N° 2 de la presente norma, en el sentido de modificar la longitud de los caminos de uso público Rol W-153 y W-795, según lo dispuesto en la tabla de la citada norma.
El N° 2 de la Resolución 181 Exenta, Obras Públicas, publicada el 13.04.2021, modifica el resuelvo N° 2 de la presente norma, en el sentido de modificar la longitud de los caminos de uso público Rol W-153 y W-795, según lo dispuesto en la tabla de la citada norma.
Anótese, comuníquese y publíquese.- Mario Anguita Medel, Director de Vialidad (S).