MODIFICA CONCESIÓN DE SERVICIO INTERMEDIO DE TELECOMUNICACIONES A LA EMPRESA CLARO INFRAESTRUCTURA 171 S.A.
Santiago, 1 de marzo de 2018.- Con esta fecha se ha decretado lo que sigue:
Núm. 290 exento.
Vistos:
a) El decreto ley Nº 1.762, de 1977, que creó la Subsecretaría de Telecomunicaciones, en adelante la Subsecretaría.
b) La Ley Nº 18.168, General de Telecomunicaciones, en adelante la ley.
c) La resolución Nº 1.600, de 2008, de la Contraloría General de la República, que Fija Normas sobre Exención del Trámite de Toma de Razón.
d) El decreto supremo Nº 103, de 2008, del Ministerio de Transportes y Telecomunicaciones.
e) El decreto supremo Nº 179, de 1988, del Ministerio de Transportes y Telecomunicaciones, que otorgó la concesión, y sus modificaciones posteriores.
Considerando:
a) Lo solicitado por la interesada mediante ingreso Subtel Nº 68.310, de 25.05.2017, complementado por ingreso Subtel Nº 128.138, de 25.09.2017.
b) Que no se presentaron oposiciones a la publicación en extracto de la solicitud de modificación de concesión.
Decreto:
Modifícase la concesión de Servicio Intermedio de Telecomunicaciones, cuyo actual titular es la empresa Claro Infraestructura 171 S.A., RUT Nº 88.381.200-K, con domicilio en Av. El Salto Nº 5450, comuna de Huechuraba, Región Metropolitana, en adelante la concesionaria, en el sentido que se indica en los numerandos siguientes.
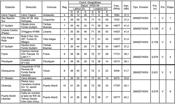
1. Autorízase a la concesionaria a instalar, operar y explotar seis (6) radioenlaces punto a punto, cuyas características se indican a continuación:

2. Los plazos máximos para el inicio y término de la construcción de las obras, así como para el inicio del servicio, de cada etapa, serán los que se indican a continuación:

3. Apruébase el proyecto técnico base de la solicitud presentada por la concesionaria, en lo relacionado con los sistemas y equipos de telecomunicaciones autorizados en el presente decreto, conforme a las disposiciones técnico-legales que rigen el servicio de telecomunicaciones concedido. La documentación respectiva quedará archivada en la Subsecretaría de Telecomunicaciones.
4. Es obligación de la concesionaria el conocimiento y cumplimiento de las disposiciones legales, reglamentarias y técnicas que regulan las telecomunicaciones, en lo que le sean aplicables.
Anótese, comuníquese, notifíquese a la interesada y publíquese en el Diario Oficial.- Por orden de la Presidenta de la República, Paola Tapia Salas, Ministra de Transportes y Telecomunicaciones.
Lo que transcribo para su conocimiento.- Saluda atentamente a Ud., Enoc Araya Castillo, Jefe División Concesiones.