FIJA PRECIOS DE SERVICIOS NO CONSISTENTES EN SUMINISTROS DE ENERGÍA, ASOCIADOS A LA DISTRIBUCIÓN ELÉCTRICA
Núm. 13T.- Santiago, 14 de diciembre de 2017.
Vistos:
1. Lo dispuesto en el artículo 35º de la Constitución Política de la República de Chile;
2. Lo dispuesto en el DL Nº 2.224, de 1978, que crea el Ministerio de Energía y la Comisión Nacional de Energía;
3. Lo dispuesto en la ley Nº 20.928, que establece mecanismos de equidad en las tarifas de servicios eléctricos;
4. Lo dispuesto en los artículos 147º, numeral 4 y 184º del DFL Nº 4/20.018, de 2006, del Ministerio de Economía, Fomento y Reconstrucción, que fija el texto refundido, coordinado y sistematizado del DFL Nº 1, de Minería, de 1982, Ley General de Servicios Eléctricos, en materia de energía eléctrica, en adelante e indistintamente la "ley";
5. Lo dispuesto en el decreto supremo Nº 341, de 2007, del Ministerio de Economía, Fomento y Reconstrucción, que aprueba reglamento para la fijación de precios de los servicios no consistentes en suministro de energía, en adelante e indistintamente el "Reglamento";
6. Lo señalado en la resolución Nº 592, de 21 de marzo de 2001, de la Comisión Resolutiva; en el Informe Nº 1/2008, de 9 de octubre de 2008 y en la resolución Nº 42/2012, de 12 de octubre de 2012, ambas del Tribunal de Defensa de la Libre Competencia;
7. Lo señalado en el decreto supremo Nº 8T, de 24 de septiembre de 2013, del Ministerio de Energía, en adelante e indistintamente el "Ministerio", que fija precios de servicios no consistentes en suministros de energía, asociados a la distribución eléctrica;
8. Lo señalado en el decreto supremo Nº 11T, de 4 de noviembre de 2016, del Ministerio, que Fija Fórmulas Tarifarias Aplicables a los Suministros Sujetos a Precios Regulados que se señalan, efectuados por las empresas concesionarias de distribución que se indican;
9. Lo dispuesto en la resolución exenta Nº 699, de fecha 29 de diciembre de 2015, de la Comisión Nacional de Energía, en adelante e indistintamente la "Comisión", que Comunica Definición de Áreas Típicas y Documentos Técnicos con Bases del "Estudio para el Cálculo de las Componentes del Valor Agregado de Distribución; Cuadrienio noviembre 2016 - noviembre 2020" y "Estudio de Costos de Servicios Asociados al Suministro de Electricidad de Distribución";
10. Lo señalado en la resolución exenta Nº 79, de 10 de febrero de 2016, de la Comisión, que emite pronunciamiento respecto de aceptación o rechazo de observaciones que indica y aprueba definición de Áreas Típicas y Documentos Técnicos con Bases del "Estudio para el Cálculo de las Componentes del Valor Agregado de Distribución; Cuadrienio noviembre 2016 - noviembre 2020" y "Estudio de Costos de Servicios Asociados al Suministro de Electricidad de Distribución";
11. Lo dispuesto en la resolución exenta Nº 31, de 19 de enero de 2017, de la Comisión, que tiene por recibido conforme el "Estudio de Costos de Servicios Asociados al Suministro de Electricidad de Distribución";
12. Lo señalado en la resolución exenta Nº 213, de 27 de abril de 2017, de la Comisión, que Aprueba Informe Técnico "Fijación de Fórmulas Tarifarias de Servicios no consistentes en Suministro de Energía, Asociados a la Distribución de Electricidad";
13. Lo resuelto en el Dictamen Nº 6-2017 del Panel de Expertos, respecto de las discrepancias sobre Fórmulas Tarifarias de Servicios no consistentes en Suministro de Energía Asociados a la Distribución de Electricidad, de 21 de agosto de 2017;
14. Lo señalado en la resolución exenta Nº 500, de 6 de septiembre de 2017, de la Comisión, que Aprueba Informe Técnico "Fijación de Fórmulas Tarifarias de Servicios no consistentes en Suministro de Energía, Asociados a la Distribución de Electricidad";
15. Lo informado por la Comisión a través de su oficio CNE. Of. Ord. Nº 665/2017, de fecha 30 de noviembre de 2017, que remite resolución exenta Nº 686, de 28 de noviembre de 2017, que Rectifica Informe Técnico "Fijación de Fórmulas Tarifarias de Servicios no consistentes en Suministro de Energía, Asociados a la Distribución de Electricidad";
16. Lo dispuesto por la resolución Nº 1.600, de 2008, de la Contraloría General de la República.
Considerando:
1. Que de acuerdo a lo establecido en el numeral 4 del artículo 147º de la ley, están sujetos a fijación de precios los servicios no consistentes en suministros de energía, prestados por las empresas sean o no concesionarias de servicio público que, mediante resolución del Tribunal de Defensa de la Libre Competencia, dictada a solicitud de la Superintendencia de Electricidad y Combustibles o de cualquier interesado, sean expresamente calificados como sujetos a fijación de precios, en consideración a que las condiciones existentes en el mercado no son suficientes para garantizar un régimen de libertad tarifaria;
2. Que la Comisión Resolutiva y el Tribunal de Defensa de la Libre Competencia resolvieron la tarificación de los servicios asociados individualizados en los documentos citados en el numeral 6. de los Vistos del presente decreto;
3. Que, los precios de los servicios no consistentes en suministro de energía establecidos mediante el decreto supremo Nº 8T, de 24 de septiembre de 2013, del Ministerio, han sido sometidos a revisión y determinación de nuevos valores con ocasión del proceso de "Fijación de Fórmulas Tarifarias para Concesionarias de Servicio Público de Distribución Cuadrienio noviembre 2016 - noviembre 2020";
4. Que, el 22 de junio de 2016, se publicó en el Diario Oficial la ley Nº 20.928, que establece mecanismos de equidad en las tarifas de servicios eléctricos, la que incorporó en el artículo 184º de la ley la posibilidad de considerar, con ocasión del proceso de fijación de tarifas de suministro de distribución, dentro del valor agregado de distribución, algunos de los servicios a los que se refiere el número 4 del artículo 147º de la ley, que hayan sido previamente objeto de fijación de precios;
5. Que, el artículo sexto transitorio de la ley Nº 20.928 estableció que lo señalado en el número 4) de su artículo único se aplicará al proceso de determinación de tarifas de distribución correspondiente al cuadrienio noviembre 2016 - noviembre 2020, así como también al proceso de fijación de precios de servicios no consistentes en suministros de energía, asociados a la distribución de energía eléctrica, en lo que fuere pertinente;
6. Que, en virtud de lo señalado en los considerandos anteriores, el decreto supremo Nº 11T del Ministerio, individualizado en el numeral 8. de los Vistos del presente decreto, consideró el servicio asociado de "Conexión y Desconexión del servicio o corte y reposición";
7. Que mediante los actos administrativos individualizados en los Vistos 9. y 10. del presente decreto y de acuerdo a lo dispuesto en el Reglamento, se fijaron las Bases Técnicas Definitivas del "Estudio de Costos de Servicios Asociados al Suministro de Electricidad de Distribución";
8. Que la Comisión a través de la resolución exenta Nº 31, individualizada en el Visto 11. del presente decreto recibió conforme el "Estudio de Costos de Servicios Asociados al Suministro de Electricidad de Distribución";
9. Que mediante la resolución exenta Nº 213, individualizada en el Visto 12. del presente decreto, la Comisión, de acuerdo a lo señalado en el artículo 15 del Reglamento, elaboró el informe técnico correspondiente a los servicios asociados del presente proceso tarifario;
10. Que, en relación a lo anterior, y de acuerdo a lo señalado en el inciso final del artículo 184º de la ley, el Panel de Expertos, mediante Dictamen Nº 6-2017, individualizado en el numeral 13. de los Vistos del presente decreto, emitió su pronunciamiento sobre las discrepancias presentadas por las partes y por terceros respecto a la fijación de precios de los servicios asociados establecida en la ya mencionada resolución exenta Nº 213, de la Comisión, de 27 de abril de 2017;
11. Que la Comisión, en cumplimiento del artículo 18º del Reglamento, y mediante sus resoluciones exentas Nº 500 y Nº 686, individualizadas en los numerales 14 y 15, respectivamente, de los Vistos del presente decreto, aprobó el Informe Técnico "Fijación de Fórmulas Tarifarias de Servicios no consistentes en Suministro de Energía, Asociados a la Distribución de Electricidad", incorporando lo dispuesto por el Panel de Expertos;
12. Que, de acuerdo a lo dispuesto en el artículo 184º de la ley, en relación con el numeral 4 del artículo 147º del mismo cuerpo legal, al Ministerio le corresponde fi , mediante decreto, los precios de los servicios no consistentes en suministros de energía que hayan sido calificados expresamente por el Tribunal de Defensa de la Libre Competencia como sujetos a fijación de precios;
Decreto:
Artículo primero: Apruébase la siguiente fijación de Precios de los Servicios No Consistentes en Suministros de Energía, Asociados a la Distribución Eléctrica.
Los siguientes servicios quedarán sujetos a fijación tarifaria en los términos y condiciones que se expresan en el presente decreto. Los respectivos precios tendrán el carácter de máximos.
I. SERVICIOS SUJETOS A FIJACIÓN TARIFARIA
I.1. Servicios Asociados a Distribución Eléctrica sujetos a Fijación de Precios.
. I.2. Definición de Servicios
Para los servicios que corresponda se entenderá por BT a la red de distribución de baja tensión cuyo voltaje es igual o inferior a 400 volts y por AT a la red de distribución de alta tensión cuyo voltaje es superior a 400 volts e inferior o igual a 23.000 volts.
1.- APOYO EN POSTES A PROVEEDORES DE SERVICIOS DE TELECOMUNICACIONES
Consiste en el arriendo de un servicio de apoyo en un poste de distribución de electricidad para la fijación de instalaciones de telecomunicaciones pertenecientes a una empresa de telecomunicaciones.
Se entiende por apoyo algún sistema de sujeción física de las instalaciones de telecomunicaciones, que utilice no más de 6 centímetros lineales de un poste de distribución y que permita hasta 16 puntos de contacto. Se considera que en cada poste podrá disponerse de uno o más apoyos, los que podrán corresponder a distintas empresas de telecomunicaciones.
Se define punto de contacto como el contacto físico de un cable o conductor de telecomunicaciones en el apoyo correspondiente.
Para aquellas instalaciones de telecomunicaciones distintas a las mencionadas anteriormente, tales como cajas para fuentes de poder, medidores y otros dispositivos de telecomunicaciones, o bien tubos de bajada utilizados para llevar conductores, se entenderá como apoyo el sistema de sujeción física de no más de 6 centímetros lineales de un poste de distribución. El sistema de sujeción física corresponderá a la ferretería empleada en el adosamiento de la instalación de telecomunicación al poste. El servicio se formaliza a través de un contrato de arriendo entre la empresa distribuidora y la empresa de telecomunicaciones, lo cual considera, de parte de la empresa distribuidora, la realización de un estudio de factibilidad técnica, la inspección del montaje y la administración del contrato.
El servicio no incluye la provisión, el montaje, el mantenimiento ni los materiales necesarios para su prestación.
Si el servicio requiere obras adicionales, éstas serán de cargo de la empresa de telecomunicaciones.
Las empresas distribuidoras acordarán con las empresas de telecomunicaciones que contraten este servicio, la periodicidad del pago, que en ningún caso podrá ser superior a un año.
El cobro del servicio considerará un único cargo: Cargo fijo [$/apoyo-año].
2.- ARRIENDO DE EMPALME
Este servicio consiste en el arriendo de un empalme a solicitud del cliente y por un período mínimo de un año, contra el pago de un canon mensual o bimestral, según acuerdo entre el arrendatario y su proveedor.
Se entenderá por empalme al conjunto de elementos que conectan una instalación interior a la red de distribución, incluidos los elementos de protección necesarios.
Este servicio incluye la instalación y la conexión a la red del empalme.
El servicio no incluye el medidor o equipo de medida, ni transformadores de corriente o tensión. Para el caso de empalmes subterráneos, no se incluyen los costos de rotura de pavimento ni de excavación de zanjas, previo a la instalación del empalme. También se excluyen del servicio el retiro del empalme, el costo de derechos municipales, derechos de vialidad, cruces y paralelismos con ferrocarriles y otros derechos, así como la reposición de pavimentos.
En caso de fallas el prestador deberá reemplazar el empalme en el plazo máximo de 48 horas posteriores a la recepción del aviso. En caso que la falla sea atribuible al cliente, el reemplazo será de su cargo.
Estarán sujetos a fijación de precios los siguientes subtipos y rangos de potencia:
. En particular, se entenderá por empalme Monofásico BT aéreo del tipo económico, aquel que se sustenta en postación emplazada en terreno no pavimentado, salvo que la norma constructiva de la empresa difiera de este criterio, en cuyo caso deberá someter a la aprobación de la Superintendencia de Electricidad y Combustibles la correspondiente norma, antes de su aplicación tarifaria.
El cobro del servicio considerará los siguientes dos cargos:
a) Cargo fijo [$/empalme-año].
b) Cargo variable por unidad de longitud del empalme [$/empalme-año-mt].
3.- ARRIENDO DE MEDIDOR
Este servicio consiste en el arriendo de un medidor a solicitud del cliente, conforme a los requerimientos tarifarios de éste y por un período mínimo de un año, contra el pago de un canon mensual o bimestral, según acuerdo entre el arrendatario y su proveedor.
El servicio debe garantizar la calidad de la medida y su continuidad.
Este servicio incluye la provisión, instalación, conexión y puesta en funcionamiento del medidor a ser arrendado. Adicionalmente, incluye la calibración y programación previa a la instalación del medidor así como la verificación de la puesta en servicio, y su mantenimiento regular en el terreno, incluyendo materiales.
Asimismo, se deberá proveer la reposición inmediata del medidor ante eventuales desperfectos propios del mismo o por causas no imputables al cliente, en un plazo máximo de 48 horas posteriores a la recepción del aviso.
El servicio no incluye el retiro del medidor ni la instalación de transformadores de corriente o tensión, protecciones u otro tipo de equipamiento fuera del propio medidor a arrendar.
Estarán sujetos a fijación de precios los siguientes subtipos y rangos de capacidad:
a) Medidor Electromecánico
. b) Medidor Electrónico
. El cobro del servicio considerará un único cargo: Cargo fijo [$/medidor-mes].
4.- ATENCIÓN DE EMERGENCIA DE ALUMBRADO PÚBLICO
Este servicio consiste en el mantenimiento correctivo de emergencia de alumbrado público a solicitud del cliente.
Consiste en un servicio de mantenimiento básico, que debe ser atendido en un plazo máximo de 12 horas desde el momento de su solicitud. Está orientado a reponer el servicio ante fallas del propio artefacto o luminaria o su equipamiento asociado, mediante un simple reemplazo del elemento fallado.
Este servicio incluye la atención comercial y de reclamos en oficinas comerciales o cualquier otro sistema de atención, a fin de facilitar la recepción de avisos de desperfectos por parte de la Municipalidad, entidad administradora o el responsable del alumbrado público.
El servicio no incluye materiales o repuestos, los que podrán ser provistos por el cliente, o por la empresa proveedora del servicio a petición expresa del cliente. Tampoco incluye las reparaciones o trabajos en la red de distribución del alumbrado público ni la atención de emergencias de alumbrado público ubicado a más de 8 metros de altura.
El cobro de este servicio considerará los siguientes dos cargos:
a) Cargo fijo [$/atención].
b) Cargo variable por unidad de hora hombre [$/atención-hh].
En el caso que los materiales o repuestos hayan sido provistos por la empresa prestadora, ésta deberá incluir en la facturación de este servicio, mediante un cargo explícito, el cobro producto de los referidos materiales o repuestos.
5.- AUMENTO DE CAPACIDAD DE EMPALME
Este servicio consiste en la adecuación o el reemplazo de las protecciones del empalme a fi de posibilitar el aumento de la potencia disponible en el punto de suministro al cliente, a solicitud del mismo.
Este servicio incluye la conexión y desconexión del empalme a la red, la inspección del suministro cuando sea necesaria, estudios técnicos, trabajos necesarios de adecuación o reemplazo de las protecciones existentes por las de mayor capacidad, incluyendo la provisión de protecciones y materiales menores relacionados, a efectos de posibilitar una mayor capacidad de suministro.
El servicio no incluye el medidor ni el cambio de conductor del empalme existente, ni la rotura y reposición de pavimentos. También se excluyen del servicio los derechos municipales, derechos de vialidad, cruces y paralelismos con ferrocarriles y otros derechos, así como la tramitación de la declaración interior en la Superintendencia de Electricidad y Combustibles, la cual debe ser efectuada previamente por el cliente y entregada por él al momento de solicitar el servicio.
Estarán sujetos a fijación de precios los siguientes subtipos y rangos de potencia de un aumento de capacidad de empalme:
. Se entenderá por empalme Monofásico BT aéreo del tipo económico, aquel que se sustenta en postación emplazada en terreno no pavimentado, salvo que la norma constructiva de la empresa difiera de este criterio, en cuyo caso deberá someter a la aprobación de la Superintendencia de Electricidad y Combustibles la correspondiente norma, antes de su aplicación tarifaria.
El cobro del servicio considerará un único cargo: Cargo fijo [$/empalme].
6.- CAMBIO O REEMPLAZO DE MEDIDOR
Este servicio consiste en el retiro del medidor existente e instalación en su reemplazo de otro de iguales o diferentes características, a solicitud del cliente y conforme a la modalidad tarifaria.
Este servicio también podrá ser prestado a requerimiento de la distribuidora, ante situaciones que impidan la correcta medida y que sean debidamente fundadas y comprobadas técnicamente.
Este servicio incluye la atención comercial, el cambio del medidor existente por otro de iguales o distintas características, siempre y cuando no implique el cambio de la caja del medidor ni su tipo de montaje. También incluye la desconexión y retiro del medidor existente, como también la instalación, conexión y precintado del nuevo medidor para su correcta puesta en funcionamiento, en cuyo caso se deberá realizar una verifi ión y programación del medidor nuevo, previo a su instalación. Adicionalmente, el servicio incluye la verificación de la puesta en servicio, incluyendo una toma de lectura del medidor retirado y del nuevo instalado.
El servicio no incluye el cambio de otros elementos asociados a la medida como protecciones o transformadores de corriente o tensión ni de cualquier otro tipo de equipamiento fuera del propio medidor a instalar. También se excluye del servicio la reparación eventual de elementos del empalme.
El nuevo medidor podrá ser provisto por el cliente o por la empresa distribuidora a petición expresa del cliente.
Estarán sujetos a fijación de precios los siguientes subtipos y rangos de capacidad:
a) Medidor Electromecánico
. b) Medidor Electrónico
. El cobro del servicio comprenderá un cargo fijo independiente de quien sea el proveedor del nuevo medidor y otro aplicable sólo si el nuevo medidor es provisto por la empresa prestadora:
a) Cargo fijo [$/reemplazo].
b) Cargo por provisión del medidor [$/reemplazo].
7.- CERTIFICADO DE DEUDA O CONSUMOS
Este servicio consiste en la emisión de un documento que certifique la deuda o consumo de un cliente a una determinada fecha o durante un período dado.
Este servicio se presta a solicitud del cliente y se refiere a la emisión de una certificación, por parte de la empresa distribuidora, que contenga a lo más los consumos en los últimos 12 meses, o bien, se trate de un certificado de la deuda con la distribuidora, correspondiente a dichos consumos.
Este servicio incluye la elaboración y emisión del certificado de deuda y su entrega en oficinas comerciales o por medio de cualquier otro sistema de atención que la empresa distribuidora ponga a disposición de sus clientes.
El servicio no incluye la legalización notarial, los datos que excedan el período móvil de doce meses, ni el envío postal o por fax.
El cobro del servicio considerará un único cargo: Cargo fijo [$/certificado].
8.- CONEXIÓN Y DESCONEXIÓN DE EMPALME A LA RED O ALUMBRADO PÚBLICO
Este servicio consiste en la conexión o desconexión física de un empalme o alumbrado público a la red de distribución, a solicitud del cliente, requiriendo la coordinación de fecha y hora con el mismo, ajustándose a los plazos señalados en el artículo 111º del Reglamento de la Ley General de Servicios Eléctricos.
Este servicio incluye los costos de coordinación de la actividad con el cliente, los costos de conexión o desconexión física del empalme o alumbrado público a la red, y los materiales necesarios para realizar el servicio.
El servicio no incluye las inspecciones previas, la instalación o retiro del empalme, los derechos municipales, derechos de vialidad, cruces y paralelismos con ferrocarriles y otros derechos, ni la rotura y reposición de pavimentos.
Estarán sujetos a fijación de precios los siguientes subtipos:
. El cobro del servicio considerará un único cargo: Cargo fijo [$/atención].
9.- CONEXIÓN Y DESCONEXIÓN DE SUBESTACIONES PARTICULARES
Este servicio consiste en la desconexión física de una subestación particular de la red de distribución de alta tensión y su posterior reconexión, a solicitud del cliente.
Este servicio incluye los costos de coordinación de la actividad con el cliente, los costos de desconexión de la subestación particular y los de su posterior reconexión física a la red de distribución de AT, mediante la operación de los elementos de apertura o cierre disponibles. Además, el servicio incluye los materiales necesarios para realizar el servicio y las inspecciones que corresponda.
El servicio no incluye la rotura de pavimento, la excavación de zanjas, la reposición de pavimentos ni los derechos municipales, derechos de vialidad, cruces y paralelismos con ferrocarriles y otros derechos.
Estarán sujetos a fijación de precios los siguientes subtipos:
. El cobro del servicio considerará un único cargo: Cargo fijo [$/conexión y desconexión].
10.- COPIA DE FACTURA LEGALIZADA O DUPLICADO DE BOLETA O FACTURA
Este servicio consiste en la emisión de un duplicado de la boleta o factura, establecido como comprobante para pago o copia legalizada de la factura, a solicitud del cliente.
Su cobro se realizará en la siguiente boleta o factura, o bien al momento de la solicitud del servicio. Este servicio incluye los costos asociados a la atención del cliente cuando solicita una legalización notarial de una copia de la factura, o bien el duplicado de la factura o boleta del servicio de distribución. El servicio no incluye la copia de facturas emitidas con anterioridad a doce meses, el costo de legalización, ni otros gastos notariales. Sin embargo, el costo notarial será pagado por la empresa distribuidora y traspasado al cliente en la misma boleta o factura en que se cobra el servicio. Además, el servicio no incluye los duplicados anteriores a la última boleta o factura emitida ni su envío postal o por fax.
Estarán sujetos a fijación de precios los siguientes subtipos:
. El cobro del servicio considerará los siguientes dos cargos, cuando corresponda:
a) Costo de legalización [$/copia legalizada].
b) Cargo fijo [$/duplicado].
11.- EJECUCIÓN O INSTALACIÓN DE EMPALMES
Este servicio es a solicitud del cliente y consiste en la construcción de un empalme eléctrico, constituido por el conjunto de elementos que conectan una instalación interior a la red de distribución y su posterior instalación física.
La instalación de este servicio tendrá un plazo de máximo de ejecución de 15 días hábiles a contar de la fecha de solicitud del cliente y la conexión del empalme estará sujeta a los plazos establecidos en el artículo 111º del Reglamento General de Servicios Eléctricos.
El empalme estará constituido por la acometida y la bajada hasta la caja de medición, incluyendo la instalación de ésta y la del interruptor termo magnético o del equipo de protección que corresponda.
Este servicio incluye la atención comercial, el presupuesto detallado correspondiente a las tareas que implica la ejecución o instalación de empalmes, la instalación, la conexión y puesta en servicio del empalme, así como los materiales y accesorios necesarios para su ejecución.
El servicio no incluye la instalación del medidor o equipo de medida, los transformadores de corriente o tensión. También se excluyen los derechos municipales, derechos de vialidad, cruces y paralelismos con ferrocarriles y otros derechos, así como la rotura y reposición de pavimentos.
Particularmente para el caso de empalmes subterráneos, el servicio no incluye los costos de excavación de zanjas, previo a la instalación del empalme.
Estarán sujetos a fijación de precios los siguientes subtipos y rangos de potencia:
. En particular, se entenderá por empalme Monofásico BT aéreo del tipo económico, aquel que se sustenta en postación emplazada en terreno no pavimentado, salvo que la norma constructiva de la empresa difiera de este criterio, en cuyo caso deberá someter a la aprobación de la Superintendencia de Electricidad y Combustibles la correspondiente norma, antes de su aplicación tarifaria.
El cobro del servicio considerará los siguientes dos cargos:
a) Cargo fijo [$/empalme instalado].
b) Cargo variable por unidad de longitud de empalme [$/empalme instalado-mt].
12.- ENVÍO O DESPACHO DE BOLETA O FACTURA A CASILLA POSTAL O DIRECCIÓN ESPECIAL
Este servicio consiste en el envío de la boleta o factura a una casilla postal o dirección especial, diferente a la del suministro, por un medio distinto al del reparto normal, a solicitud del cliente.
Este servicio incluye el envío de boleta o factura a destino nacional mediante un servicio postal público o privado, el que no puede ser realizado mediante el sistema de reparto habitual de la empresa distribuidora. El costo del envío por correo público o privado, será pagado por la empresa distribuidora y traspasado al cliente en la misma boleta o factura en que se cobra el servicio.
El servicio no incluye el envío por fax ni el envío por correo electrónico.
El cobro del servicio considerará los siguientes dos cargos, cuando corresponda:
a) Cargo fijo [$/envío].
b) Costo de envío [$/envío].
13.- INSPECCIÓN DE SUMINISTROS INDIVIDUALES, COLECTIVOS Y REDES
Este servicio consiste en cualquier tipo de inspección ocular en terreno de un suministro individual, colectivo o de redes, realizado por personal calificado, a solicitud del cliente.
Este servicio considera los costos relacionados con la concurrencia del inspector al lugar del suministro a ser inspeccionado en forma visual, se trate de instalaciones eléctricas aéreas, subterráneas o instalaciones complementarias. Además, el servicio incluye la elaboración de un reporte de la inspección por escrito y del informe técnico correspondiente.
El servicio no incluye todo tipo de verificaciones o ensayos de los elementos inspeccionados, cualquier tipo de materiales, confección de planos o informes distintos al reporte de inspección, ni la inspección y pruebas de equipos eléctricos en fábricas o laboratorios.
Estarán sujetos a fijación de precios los siguientes subtipos:
. El cobro del servicio considerará los siguientes dos cargos:
a) Cargo fijo [$/inspección].
b) Cargo variable por unidad de hora de inspección [$/inspección-hh].
14.- INSTALACIÓN O RETIRO DE MEDIDORES
Este servicio consiste en la instalación o retiro (desinstalación) físico del medidor a solicitud del cliente o por decisión de la empresa distribuidora debidamente fundada y comprobada técnicamente.
Este servicio incluye la conexión o desconexión del medidor, según corresponda.
Particularmente, para el caso de la instalación del medidor y dependiendo de la modalidad en que se preste, el servicio incluye:
. Modalidad 1: Las actividades de adosamiento del medidor a un medio de sujeción, la conexión del medidor al empalme y la puesta en funcionamiento.
. Modalidad 2: La conexión del medidor al empalme y la puesta en funcionamiento.
. Modalidad 3: La puesta en funcionamiento.
Para efectos de la instalación del medidor, el servicio no incluye la provisión del medidor, el cual puede ser aportado por el cliente o por la empresa distribuidora a expresa solicitud del cliente. Además, el servicio no incluye la instalación o retiro de la caja del medidor u otros elementos asociados a la medida, como protecciones o transformadores de corriente o tensión ni de cualquier otro tipo de equipamiento fuera del propio medidor a instalar o retirar.
Por su parte, para el caso del retiro del medidor y siendo éste de propiedad del cliente, el medidor deberá ser entregado al usuario quedando esta situación formalizada en un acta.
Para cada modalidad, estarán sujetos a fijación de precios los siguientes subtipos:
a) Medidor Electromecánico
. b) Medidor Electrónico
. El cobro del servicio considerará un único cargo: Cargo fijo [$/instalación] o [$/retiro], según corresponda.
15.- INSTALACIÓN Y CAMBIO DE ALUMBRADO PÚBLICO QUE SE ENCUENTRE ADOSADO EN POSTES DE LA EMPRESA DISTRIBUIDORA
Este servicio consiste en la instalación o cambio de alumbrado público soportado en poste de una empresa distribuidora, a solicitud del cliente.
Este servicio comprende la instalación de un nuevo alumbrado público o bien, el reemplazo de uno existente por otro de iguales características e igual sistema de sujeción mecánica. También es aplicable al cambio o instalación de un artefacto de alumbrado público, a solicitud de la Municipalidad o entidad administradora o responsable del alumbrado público, a la empresa distribuidora. Este servicio tendrá un plazo máximo de ejecución de 5 días hábiles a contar de la fecha de la solicitud del cliente.
Este servicio incluye el presupuesto detallado correspondiente a las tareas que implica la instalación o cambio de alumbrado público adosado en postes de la empresa distribuidora. Además, el servicio incluye la ejecución física del cambio o instalación de alumbrado, la conexión del alumbrado público a su respectivo empalme y las inspecciones que correspondan, y los materiales menores necesarios para el montaje o reemplazo. Por último, el servicio incluye la atención comercial y de reclamos en oficinas comerciales o cualquier otro sistema de atención, a fin de facilitar la recepción de avisos de desperfectos por parte de la Municipalidad, entidad administradora o el responsable del alumbrado público.
El servicio no incluye las instalaciones o cambios de alumbrados a más de 8 metros de altura, ni el costo de los elementos a instalar o cambiar, los que podrán ser provistos tanto por el cliente o por la empresa proveedora del servicio a petición expresa del cliente, salvo aquellos materiales menores necesarios para el montaje o reemplazo.
En el caso que los materiales o repuestos hayan sido provistos por la empresa prestadora, ésta deberá incluir en la facturación de este servicio, mediante un cargo explícito, el cobro producto de los referidos materiales o repuestos.
Estarán sujetos a fijación de precios los siguientes subtipos:
. El cobro de este servicio considerará los siguientes dos cargos:
a) Cargo fijo [$/instalación] o [$/cambio].
b) Cargo operativo por unidad de hora hombre [$/instalación-hh] o [$/cambio-hh].
16.- MANTENIMIENTO DE ALUMBRADO PÚBLICO QUE SE ENCUENTRE ADOSADO EN POSTES DE LA EMPRESA DISTRIBUIDORA
Este servicio consiste en el mantenimiento correctivo de alumbrado público que se encuentre adosado en postes de la empresa distribuidora, a solicitud del cliente.
El servicio comprende el mantenimiento básico, orientado a reponer el servicio ante fallas del propio artefacto o luminaria, o su equipamiento asociado, mediante un simple reemplazo de componentes del alumbrado público fallado. El plazo máximo de ejecución del servicio desde el momento de la recepción de la solicitud es de 48 horas.
Este servicio incluye la atención comercial y de reclamos en oficinas comerciales o cualquier otro sistema de atención, a fin de facilitar la recepción de avisos de desperfectos por parte de la Municipalidad, la entidad administradora o el responsable del alumbrado público.
El servicio no incluye los materiales o repuestos, los que podrán ser provistos por el cliente o por la empresa proveedora del servicio a petición expresa del cliente, las reparaciones o trabajos en la red de distribución del alumbrado público, ni la atención de emergencias del alumbrado público ubicado a más de 8 metros de altura.
En el caso que los materiales o repuestos hayan sido provistos por la empresa prestadora, ésta deberá incluir en la facturación de este servicio, mediante un cargo explícito, el cobro producto de los referidos materiales o repuestos.
El cobro de este servicio considerará los siguientes dos cargos:
a) Cargo fijo [$/atención].
b) Cargo variable por unidad de hora hombre [$/atenci�n-hh].
17.- MANTENIMIENTO DE MEDIDOR DE PROPIEDAD DEL CLIENTE
Este servicio consiste en la inspección en terreno del medidor electromecánico de propiedad del cliente a solicitud de éste, con el objeto de diagnosticar un error en la medida, repararlo o calibrarlo, en caso de ser necesario, y acondicionarlo en caso de que el medidor haya sido dañado. En el caso del medidor electrónico, el servicio consiste en una visita a terreno a solicitud del cliente con el objeto de reemplazar la batería del equipo.
Este servicio incluye la calibración en terreno del medidor electromecánico con el fin de minimizar su error de medida, en consistencia con la tolerancia máxima establecida en la reglamentación vigente; el reemplazo temporal del medidor, en caso de ser necesario, el cual debe ser provisto por la distribuidora; y el costo de verificación del correcto funcionamiento y, para el caso de medidores electromecánicos, la calibración del medidor electromecánico en terreno.
Asimismo, el servicio debe ser certificado por un Organismo o Laboratorio de Certificación Autorizado (OLCA).
El servicio no incluye la provisión del medidor por parte de la empresa distribuidora cuando no es posible calibrar y/o reparar el medidor, ni la calibración del medidor cuya medida se encuentre dentro de la tolerancia máxima establecida en la reglamentación vigente, ni el costo de certificación por un Organismo o Laboratorio de Certificación Autorizados. En todo caso, el costo del OLCA será pagado por la empresa distribuidora y traspasado al cliente posteriormente en la misma boleta o factura en que se cobra el servicio.
Estarán sujetos a fijación de precios los siguientes subtipos:
a) Medidor Electromecánico
. b) Medidor Electrónico
. El cobro del servicio considerará los siguientes tres cargos, cuando corresponda:
a) Cargo fijo [$/medidor].
b) Cargo variable por provisión del medidor [$/medidor].
c) Cargo por verificación, certificación del correcto funcionamiento y calibración del medidor [$/medidor verificado].
Al momento de procesar la solicitud del servicio, la empresa distribuidora informará al cliente de las alternativas por "Arriendo de Medidor" y "Cambio o reemplazo de medidor", comunicando además los valores y condiciones establecidas para cada uno de ellos, a efectos de que el cliente pueda optar por una de las alternativas presentadas.
18.- PAGO DE LA CUENTA FUERA DE PLAZO
Este servicio consiste en el cobro de un cargo al cliente por pago de factura o boleta fuera del plazo de vencimiento.
Este servicio incluye los costos asociados a la gestión comercial y de cobro, la regularización administrativa y contable del estado de cuenta del cliente, incluyendo los materiales asociados.
El servicio no incluye los intereses por mora.
El cobro de este servicio considerará un único cargo: Cargo fijo [$/pago fuera de plazo].
19.- RETIRO O DESMANTELAMIENTO DE EMPALMES
Este servicio consiste en el desmantelamiento o retiro físico del empalme de un cliente, a solicitud del mismo.
Este servicio incluye la atención comercial, la desconexión a la red, el desmantelamiento y retiro físico del empalme, constituido por la acometida y la bajada hasta la caja de medición. Además, este servicio incluye los materiales y accesorios necesarios para la ejecución del servicio, así como el retiro de la caja de medición y de todos los elementos que en ella estén alojados.
El servicio no incluye los costos por los derechos municipales, derechos de vialidad, cruces y paralelismos con ferrocarriles y otros derechos, rotura y reposición de pavimentos, inspecciones previas, y traslado de materiales desmantelados a una dirección distinta a la del suministro. Además, el servicio no incluye el retiro del medidor. Particularmente, para el caso de empalmes subterráneos el servicio no incluye los costos de excavación de zanjas, previo al desmantelamiento del empalme.
Estarán sujetos a fijación de precios los siguientes subtipos:
. El cobro del servicio considerará los siguientes dos cargos:
a) Cargo fijo [$/retiro o desmantelamiento empalme].
b) Cargo variable por unidad de longitud de empalme [$/retiro o desmantelamiento empalme-mt].
20.- REVISIÓN Y APROBACIÓN DE PROYECTOS Y PLANOS ELÉCTRICOS, EN EL CASO QUE SE REFIERE EL Nº 1 DEL ARTÍCULO 127º DE LA LEY GENERAL DE SERVICIOS ELÉCTRICOS
Este servicio consiste en la revisión y aprobación de proyectos y/o planos de extensión de redes eléctricas a fin de posibilitar la habilitación de un nuevo suministro de un cliente.
Este servicio se presta a solicitud del cliente, y consiste en una revisión y aprobación de la documentación técnica exigida por la empresa para la solicitud de extensión de redes eléctricas.
Este servicio tendrá un plazo máximo de ejecución de 15 días hábiles a contar de la fecha de la solicitud del cliente.
Este servicio incluye como máximo, dos instancias de revisión de un mismo proyecto o plano eléctrico previas a la aprobación.
El servicio no incluye las inspecciones.
Estarán sujetos a fijación de precios los siguientes subtipos:
. El cobro del servicio considerará los siguientes dos cargos:
a) Cargo fijo [$/proyectos y/o planos aprobados].
b) Cargo variable por unidad de hora hombre [$/proyectos y/o planos aprobados-hh].
21.- VERIFICACIÓN DE LECTURA DE MEDIDOR SOLICITADA POR EL CLIENTE
Este servicio consiste en la lectura en terreno del medidor de un cliente y su comparación con la lectura que dio origen al reclamo.
Este servicio se presta a solicitud del cliente e incluye el estudio de consumos necesario para determinar si la lectura cuestionada por el cliente es correcta o no. La fecha y hora de prestación de este servicio deberá ser acordada con el cliente, sin perjuicio que la empresa distribuidora tendrá un plazo máximo de ejecución del servicio de 15 días hábiles a contar de la fecha de la solicitud del cliente.
El servicio no incluye la verificación del funcionamiento del medidor ni revisión de las instalaciones o su conexión.
Estarán sujetos a fijación de precios los siguientes subtipos de lectura:
a) Medidor Electromecánico
. b) Medidor Electrónico
. El cobro del servicio se hará sólo en el caso de comprobarse el correcto funcionamiento del medidor, en cuyo caso considerará un único cargo: Cargo fijo [$/verificación].
22.- VERIFICACIÓN DE MEDIDOR EN LABORATORIO
Este servicio consiste en la verificación en laboratorio, certificada por un OLCA, del correcto funcionamiento del medidor de un cliente, a solicitud del mismo.
Este servicio incluye un primer reemplazo del medidor existente por otro provisorio, para su envío a un OLCA y el posterior reemplazo del medidor provisorio por el verificado en el laboratorio. Además, el servicio incluye el costo de las tomas de lectura del medidor de reemplazo y del verificado, así como el costo de arriendo del medidor provisorio por un plazo máximo de 15 días corridos, contados desde el primer reemplazo, y la desconexión, conexión y puesta en funcionamiento del medidor en ambas oportunidades, sin costo adicional.
El servicio no incluye el cobro por verificación, certificación del correcto funcionamiento y calibración del medidor del cliente, efectuado por un OLCA. En todo caso, dicho costo será pagado por la empresa distribuidora y traspasado al cliente posteriormente en la misma boleta o factura en que se cobra el servicio.
Si producto del diagnóstico se verifica que el equipo presenta fallas irreparables, éste deberá ser reemplazado por el cliente en un plazo máximo de 10 días hábiles siguientes a la emisión del certificado entregado por el OLCA o el cliente podrá solicitar a la concesionaria el servicio de "Arriendo de Medidor" dentro del plazo establecido anteriormente.
Estarán sujetos a fijación de precios los siguientes subtipos:

El cobro del servicio se hará sólo en el caso de comprobarse el correcto funcionamiento del medidor, en cuyo caso considerará los siguientes dos cargos:
a) Cargo fijo [$/medidor verificado].
b) Cargo por verificación, certificación del correcto funcionamiento y calibración del medidor [$/medidor verificado].
23.- VERIFICACIÓN DE MEDIDOR EN TERRENO
Este servicio consiste en la verifición en terreno, certificada por un OLCA, del correcto funcionamiento del medidor de un cliente, a solicitud del mismo. Este servicio tendrá un plazo máximo de ejecución de 15 días hábiles a contar de la fecha de la solicitud del cliente.
Este servicio incluye una revisión del medidor a verificar y la coordinación y supervisión de los trabajos en terreno.
El servicio no incluye el cobro por verificación, certificación del correcto funcionamiento y calibración del medidor del cliente, efectuado por un OLCA. En todo caso, dicho costo será pagado por la empresa distribuidora y traspasado al cliente posteriormente en la misma boleta o factura en que se cobra el servicio.
Estarán sujetos a fijación de precios los siguientes subtipos:
. El cobro del servicio se hará sólo en el caso de comprobarse el correcto funcionamiento del medidor, en cuyo caso considerará los siguientes dos cargos:
a) Cargo fijo [$/medidor verificado].
b) Cargo por verificación, certificación del correcto funcionamiento y calibración del medidor [$/medidor verificado].
Si producto del diagnóstico se verifica que el equipo presenta fallas irreparables, éste deberá ser reemplazado por el cliente en un plazo máximo de 10 días hábiles siguientes a la emisión del certificado entregado por el OLCA o el cliente podrá solicitar a la concesionaria el servicio de "Arriendo de Medidor", dentro del plazo establecido anteriormente. En caso que el cliente desee aportar un medidor de su propiedad, la empresa distribuidora podrá cobrar su instalación conforme a la tarifa regulada del servicio "Cambio o reemplazo de Medidor", sin incluir el cargo por provisión del medidor.
24.- REPROGRAMACIÓN DE MEDIDORES ELÉCTRICOS
Este servicio se presta a solicitud del cliente y consiste en una visita a terreno en que se descargan los datos contenidos en el medidor y se instala un nuevo software implementado con la modificación del período de punta o modificación de la entrada en vigencia de los horarios de invierno y/o verano. Este servicio incluye la instalación de un nuevo software para modificar el período de punta o modificación de la entrada en vigencia de los horarios de invierno y/o verano. Además, el servicio incluye la coordinación y supervisión de los trabajos en terreno.
Estarán sujetos a fijación de precios los clientes con medidor que posean una de las siguientes opciones tarifarias:
. Estarán sujetos a fijación de precios los siguientes subtipos:
. El cobro del servicio considerará un único cargo: Cargo fijo [$/medidor reprogramado].
25.- REUBICACIÓN DE EMPALMES Y EQUIPOS DE MEDIDA
Este servicio consiste en el traslado físico de empalmes eléctricos (acometida y bajada) y/o equipos de medida monofásicos o trifásicos, aéreos o subterráneos de cualquier capacidad, de clientes de baja o alta tensión en distribución, constituidos por el conjunto de elementos que conectan una instalación interior a la red de distribución, según requerimiento del cliente. El servicio culmina dejando el nuevo empalme y/o equipo de medida plenamente operativo y conectado a la red de distribución eléctrica dentro del domicilio del cliente.
El empalme estará constituido por la acometida y la bajada hasta la caja de medición, incluyendo la instalación de ésta y la del interruptor termo magnético o del equipo de protección que corresponda.
Este servicio cuenta con tres modalidades. La modalidad 1 incluye la reubicación del empalme y del equipo de medida, así como los materiales y accesorios necesarios para su ejecución. La modalidad 2 incluye la reubicación del empalme, así como los materiales y accesorios necesarios para su ejecución y la modalidad 3 incluye la reubicación del equipo de medida, así como los materiales y accesorios necesarios para su ejecución.
El servicio no incluye los costos por los derechos municipales, derechos de vialidad, cruces y paralelismos con ferrocarriles y otros derechos, rotura y reposición de pavimentos. Además, para el caso de empalmes subterráneos el servicio no incluye los costos de excavación de zanjas, previos al desmantelamiento del empalme.
Para el caso de la reubicación de equipos de medida, estarán sujetos a fijación de tarifas los siguientes subtipos:
a) Medidor Electromecánico
. b) Medidor Electrónico
. Para el caso de la reubicación de empalmes, estarán sujetos a fijación de tarifas los siguientes subtipos:
. El cobro del servicio considerará los siguientes dos cargos:
a) Cargo fijo [$/reubicación].
b) Cargo variable por mano de obra y por unidad de longitud del empalme [$/empalme reubicado-mt].
26.- CAMBIO DE ACOMETIDA POR CONCÉNTRICO
Este servicio consiste en el reemplazo total del conductor que se extiende desde la red del distribuidor eléctrico hasta el medidor del cliente. Comprende la readecuación de la acometida existente por concéntrico, dejando el empalme operativo y conectado a la red de distribución, según requerimiento del cliente.
Este servicio incluye el conductor que forma parte de la acometida y la bajada hasta la caja de medición y los materiales, maquinaria y accesorios necesarios para su ejecución.
El servicio no incluye la caja de medición y el interruptor termo magnético o del equipo de protección que corresponda.
Estarán sujetos a fijación de tarifas, los siguientes subtipos:
. El cobro del servicio considerará los siguientes dos cargos:
a) Cargo fijo [$/cambio de acometida a concéntrico].
b) Cargo variable por mano de obra y por unidad longitud de acometida [$/longitud de acometida -mt].
27.- REPARACIÓN DE EMPALMES
Este servicio consiste en el reemplazo de todos los elementos constitutivos del empalme, que hayan sido dañados producto de actos de responsabilidad del cliente.
El servicio es prestado a solicitud del cliente y en sus instalaciones, necesitando la autorización del distribuidor, cuando corresponda. El servicio culmina dejando el empalme plenamente operativo y conectado a la red de distribución eléctrica.
Debe tratarse de un daño producido al empalme dentro de la propiedad del cliente. Respecto de todo otro daño al empalme ocurrido en la vía pública, es de responsabilidad de la respectiva empresa distribuidora su reparación, quien podrá perseguir de quien corresponda las responsabilidades civiles y penales a que hubiere lugar.
Este servicio incluye la desconexión, conexión, y puesta en servicio del empalme, así como los materiales y accesorios necesarios para su ejecución.
Estarán sujetos a fijación de precios los siguientes subtipos y rangos de potencia:
. El cobro del servicio considerará los siguientes dos cargos:
a) Cargo fijo [$/empalme reparado].
b) Cargo variable por mano de obra y por unidad longitud del empalme [$/empalme reparado-mt].
28.- ARRIENDO DE EMPALME PROVISORIO
Este servicio consiste en el arriendo de un empalme provisorio a solicitud del cliente contra el pago de un canon mensual, según acuerdo entre el arrendatario y su proveedor. Se entenderá por empalme eléctrico provisorio al conjunto de elementos que conectan una carga a la red de distribución, incluidos los elementos de protección necesarios, solicitado por un plazo menor o igual a 11 meses.
Este servicio es prestado a clientes no regulados, toda vez que los suministros provisorios están asociados a dichos tipos de clientes.
Este servicio incluye la instalación y la conexión a la red, y el retiro y la desconexión a la red, luego de transcurrido el plazo de arriendo.
El servicio no incluye el medidor o equipo de medida y los transformadores de corriente o tensión. Tampoco el servicio considera el costo de los derechos municipales, derechos de vialidad, cruces y paralelismos con ferrocarriles y otros derechos. Por último, el servicio no considera la reposición de pavimentos.
En caso de fallas el prestador deberá reemplazar el empalme en el plazo máximo de 48 horas posteriores a la recepción del aviso. En caso de que la falla sea atribuible al cliente, el reemplazo será de su cargo.
Estarán sujetos a fijación de precios los siguientes subtipos y rangos de potencia:
. Se entenderá por empalme monofásico B.T. aéreo del tipo económico, aquel que se sustenta en postación emplazada en terreno no pavimentado, salvo que la norma constructiva de la empresa difiera de este criterio, en cuyo caso deberá someter a la aprobación de la Superintendencia de Electricidad y Combustibles la correspondiente norma, antes de su aplicación tarifaria.
El cobro del servicio considerará los siguientes dos cargos:
a) Cargo fijo [$/empalme-mes].
b) Cargo variable por amortización de empalme [$/empalme-mes-mt].
29.- EJECUCIÓN O INSTALACIÓN DE EMPALMES PROVISORIOS.
Este servicio consiste en la construcción, instalación y retiro de un empalme eléctrico provisorio, constituido por el conjunto de elementos que conectan una carga a la red de distribución. Se entiende por empalme provisorio aquel que es solicitado para un plazo menor o igual a 11 meses.
El empalme estará constituido por la acometida y la bajada hasta la caja de medición, incluyendo la instalación de ésta y la del interruptor termo magnético o del equipo de protección que corresponda.
Este servicio está asociado exclusivamente a clientes no regulados, toda vez que los suministros provisorios están asociados a dicho tipo de clientes.
El servicio incluye la atención comercial, el presupuesto detallado correspondiente a las tareas que implica la ejecución o instalación de empalmes provisorios, la instalación, la conexión y puesta en servicio del empalme provisorio y los materiales y accesorios necesarios para su ejecución. Además, se considera en el servicio la maquinaria, las horas hombre, el desarrollo del proyecto, el montaje, construcción y declaración ante la Superintendencia de Electricidad y Combustibles de los empalmes provisorios. Además, el servicio considera el posterior retiro del empalme provisorio.
El servicio no incluye la instalación del medidor o equipo de medida, los transformadores de corriente o tensión, ni tampoco los derechos municipales, derechos de vialidad, cruces y paralelismos con ferrocarriles y otros derechos. Además, el servicio no considera la rotura y/o reposición de pavimentos. En caso de fallas el prestador deberá reemplazar el empalme en el plazo máximo de 48 horas posteriores a la recepción del aviso. En caso de que la falla sea atribuible al cliente el reemplazo será de su cargo.
Estarán sujetos a fijación de tarifas los siguientes subtipos y rangos de potencia:
. Se entenderá por empalme monofásico B.T. aéreo del tipo económico, aquel que se sustenta en postación emplazada en terreno no pavimentado, salvo que la norma constructiva de la empresa difiera de este criterio, en cuyo caso deberá someter a la aprobación de la Superintendencia de Electricidad y Combustibles, la correspondiente norma antes de su aplicación tarifaria.
El cobro del servicio considerará los siguientes dos cargos:
a) Cargo fijo [$/empalme instalado].
b) Cargo variable por mano de obra y por unidad longitud del empalme [$/empalme instalado-m].
I.3. Áreas Típicas
Cada uno de los servicios descritos y caracterizados han sido determinados para cada una de las áreas típicas definidas a continuación:
. Para efectos del presente decreto, la empresa Chilectra S.A. mantendrá esta denominación sin perjuicio de la modificación de razón social a ENEL Distribución Chile S.A. informada mediante carta GER. GEN Nº 197/2016 de fecha 22 de noviembre de 2016.
II. CONDICIONES GENERALES DE APLICACIÓN
Los precios serán aplicables a los servicios señalados en el punto I, prestados por las empresas de distribución eléctrica, sean o no concesionarias, por sus empresas filiales o relacionadas o por empresas sobre cuya administración las empresas de distribución eléctrica o sus socios controladores tengan influencia decisiva.
La boleta o factura del servicio deberá incluir de manera desglosada el cobro correspondiente a cargo fijo, así como los cargos variables, especificando la longitud u horas según corresponda. Además, cuando sea pertinente deberá incluir otros cargos especificados en este decreto.
La empresa prestadora sólo podrá cobrar por el servicio con posterioridad a la realización efectiva del mismo, salvo en aquellos casos en que se señale algo distinto.
El precio fijado para cada servicio se refiere exclusivamente a la definición y caracterización señalada para el mismo y la empresa correspondiente deberá ofrecer siempre el servicio descrito, sin perjuicio de ofrecer otros servicios similares.
Quien ofrezca alguno de los servicios señalados deberá proveer de la atención comercial y de reclamos en oficinas comerciales o cualquier otro sistema de atención debidamente establecido.
Un listado con los precios aplicados por la empresa prestadora de estos servicios deberá estar debidamente publicitado en un lugar visible, en todas sus oficinas comerciales y en su página web.
Además, las empresas prestadoras deberán entregar a quien solicite algunos de los servicios señalados, un presupuesto detallado que contenga, al menos, los costos, plazos y etapas asociadas a la prestación de los mismos, dentro de los 15 días hábiles siguientes a la solicitud, salvo que las partes acuerden un plazo distinto, y conforme a las instrucciones de carácter general que imparta la Superintendencia.
Durante el período de vigencia de las fórmulas tarifarias, los precios máximos que las empresas podrán cobrar a sus clientes se obtendrán aplicando mensualmente a dichas fórmulas las variaciones de los índices de precios que en ellas se establezcan. Aquellos índices de precios que sean entregados oficialmente por el Instituto Nacional de Estadísticas, pueden ser aplicados directamente por las empresas. En todo caso, cada vez que las empresas prestadoras modifiquen sus precios producto de las condiciones de aplicación de este decreto, los nuevos valores deberán ser publicados y comunicados a la Comisión Nacional de Energía y a la Superintendencia de Electricidad y Combustibles, a más tardar al tercer día de producida la variación.
Cualquier controversia que surja en la aplicación de los precios contenidos en el decreto respectivo, serán resueltas por la Superintendencia de Electricidad y Combustibles de acuerdo a los procedimientos contemplados en la ley.
III. CONDICIONES ESPECÍFICAS DE APLICACIÓN
Para el caso de cargos correspondientes a servicios prestados por terceros distintos a los prestadores del servicio (Organismos o Laboratorios de Certificación Autorizados, servicios postales, gastos notariales y otros costos tales como derechos municipales, derechos de vialidad, cruces y paralelismos con ferrocarriles y otros derechos, rotura y reposición de pavimento, intereses, etc.), la empresa deberá identificarlos y acreditarlos debidamente (copia de boleta o factura de servicios o copia de certificado de pago) y no podrá cobrar más que lo señalado en esos documentos.
Para el caso de que los servicios sean prestados por empresas concesionarias, estas podrán incluir el cargo en la boleta o factura del servicio de distribución eléctrica. En todo caso el no pago del cargo correspondiente al servicio asociado respectivo, no faculta a la empresa concesionaria a suspender el suministro de distribución eléctrica, aun cuando sean cobrados en una misma boleta o factura, debiendo la empresa distribuidora en todo momento permitir el pago del servicio de distribución.
La empresa prestadora del servicio podrá ofrecer al cliente el cobro en la forma de cuotas mensuales, determinando el valor de cada cuota al aplicar una tasa que no podrá ser superior a la tasa de interés corriente definido en el artículo 6º de la ley Nº 18.010, vigente al día del cálculo de las cuotas respectivas, sin perjuicio de lo que las partes acuerden sobre dicha materia.
Para todos los efectos de este decreto y con el objeto de garantizar la calidad de la prestación, el Organismo o Laboratorio de Certificación Autorizado (OLCA), aprobado por la Superintendencia de Electricidad y Combustibles, deberá estar acreditado con un sistema de gestión de calidad conforme a la norma internacional ISO 9001-2000 o a la norma ISO/IEC 17025, "Requisitos generales para la competencia de los laboratorios de ensayo y de calibración", o su equivalente nacional, NCh-ISO 17025.
Los medidores a que se refieren los servicios de este decreto no consideran equipos con una clase de medida superior al 2%.
La empresa prestadora deberá solicitar al cliente, para efectos de prestar el servicio respectivo, la autorización del propietario de las instalaciones que sean afectadas en virtud de la prestación del servicio solicitado. No será necesaria la solicitud de autorización del propietario, en aquellos casos de servicios que no se prestan a solicitud del cliente.
En el caso de aquellos servicios con un plazo máximo de tiempo para su prestación y que requieren indispensablemente de la presencia del cliente, la empresa prestadora y el cliente deberán coordinarse a efectos de su cumplimiento.
IV. . FÓRMULAS TARIFARIAS
IV.1 1 Fórmulas de precios unitarios
A continuación se presentan las fórmulas de precios unitarios de los distintos servicios sujetos a fijación de precios. Básicamente corresponden a la suma de los siguientes cargos aplicables al servicio según subtipo y rango respectivo:
. Para cada área típica de distribución, los ponderadores F1, F2, V1 y V2 a emplear en las fórmulas de indexación de los distintos servicios, se presentan a continuación:
.
.
.
.
.
.
.
.
.
.
.
.
.
.
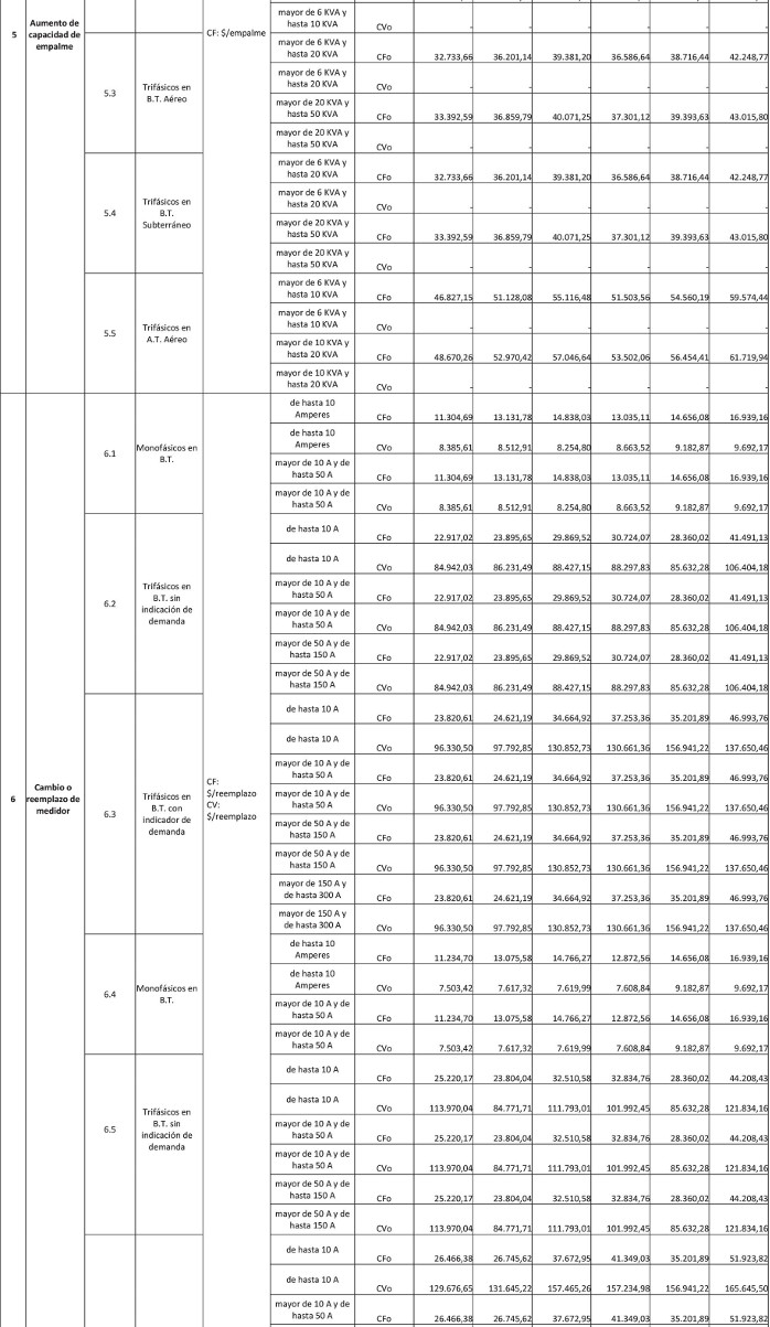
. IV.3 Parámetros bases (CF0i y CV0i)
Los valores de los parámetros bases CF0 y CV0, a emplear en las fórmulas de indexación de los distintos servicios, se presentan en la siguiente tabla:
.
.
.
.
.
.
.
.
.
.
. IV.4 Definición de los parámetros indexadores y valores base
IPCj : Índice de Precios al Consumidor, índice general, publicado por el Instituto Nacional de Estadísticas (INE) correspondiente al segundo mes anterior a aquel mes en que las tarifas resultantes serán aplicadas (Base 2013 = 100).
IPC0 : Índice de Precios al Consumidor en noviembre 2014 (106,66), base (100) anual 2013.
CPIj : Consumer Price Index (All Urban Consumers), publicado por el Bureau of Labor Statistics (BLS) del Gobierno de los Estados Unidos de América (código BLS: CUUR0000SA0), correspondiente al tercer mes anterior a aquel mes en que las tarifas resultantes serán
aplicadas.
CPI0 : Consumer Price Index (All Urban Consumers) en octubre 2014 (237,433).
TCj : Tipo de cambio observado para el dólar de los Estados Unidos de América, publicado
por el Banco Central de Chile, "Dólar Observado". Se utilizará el valor promedio del segundo mes anterior a aquel en que las tarifas serán aplicadas.
TC0 : Tipo de cambio observado para el dólar de los Estados Unidos de América en noviembre de 2014 ($592,46).
Dj : Tasa arancelaria de importación vigente para equipo electromecánico. Valor vigente el último día hábil del segundo mes anterior a aquel en que las tarifas serán aplicadas.
D0 : Tasa arancelaria de importación vigente para equipo electromecánico en noviembre
de 2014 (6%).
Artículo segundo: El presente decreto comenzará a regir a partir de su publicación en el Diario Oficial.
DISPOSICIÓN TRANSITORIA
Artículo único: A los clientes que a la fecha de publicación de este decreto cuenten con el servicio de arriendo de medidor o de empalme en alguno de los subtipos incluidos, la empresa distribuidora les informará la clasificación del medidor o del empalme, respectivamente, de acuerdo al subtipo que corresponda. Si el cliente tiene reparos fundados al subtipo seleccionado, deberá comunicárselo a la empresa dentro de un plazo de 45 días a contar de su notificación. Vencido este plazo se considerará que el subtipo está aprobado por el cliente.
Anótese, tómese razón y publíquese.- Por orden de la Presidenta de la República, Andrés Rebolledo Smitmans, Ministro de Energía.
Lo que transcribo a Ud. para su conocimiento.- Saluda Atte. a Ud., Loreto Cortés Alvear, Jefa División Jurídica (S), Subsecretaría de Energía.