OTORGA A ANDES S.A. CONCESIÓN DEFINITIVA DE TRANSPORTE DE GAS DE RED EN LAS COMUNAS DE COPIAPÓ, CALDERA Y VALLENAR, REGIÓN DE ATACAMA

    Núm. 6.- Santiago, 15 de enero de 2018.

    Visto:

    Lo dispuesto en el decreto con fuerza de ley Nº 323, de 1931, del Ministerio del Interior, Ley de Servicios de Gas; en el decreto ley N° 2.224 de 1978, que crea el Ministerio de Energía y la Comisión Nacional de Energía; en la ley Nº 18.410, que crea la Superintendencia de Electricidad y Combustibles; en los decretos Nos 263, de 1995, que aprueba el reglamento sobre concesiones provisionales y definitivas para la distribución y transporte de gas, y 280, de 2009, que aprueba el reglamento de seguridad para el transporte y distribución de gas de red, ambos del Ministerio de Economía, Fomento y Reconstrucción; en el decreto Nº 67, de 2011, del Ministerio de Energía, que aprueba reglamento de seguridad de plantas de gas natural licuado; en el decreto Nº 19, de 2001, del Ministerio Secretaría General de la Presidencia de la República; en la resolución Nº 1.600, de 2008, de la Contraloría General de la República, y

    Considerando:

    Que, mediante el oficio Ord. Nº 18695/ACC 1650956/DOC 1456743, de 11 de septiembre de 2017, complementado por el oficio Ord. Nº 25285/ACC 1795379/DOC 15989861, de 4 de diciembre de 2017, los cuales pasan a formar parte del presente acto administrativo, de acuerdo a lo dispuesto en el artículo 41 de la ley Nº 19.880, que establece bases de los procedimientos administrativos que rigen los actos de los órganos de la Administración del Estado, la Superintendencia de Electricidad y Combustibles informó favorablemente la solicitud de concesión definitiva de transporte de gas de red en las comunas de Copiapó, Caldera y Vallenar, Región de Atacama, presentada por Andes S.A., a través de presentación de fecha 27 de enero de 2016, complementada por presentación de fecha 27 de septiembre de 2016, cuyo objeto consiste en transportar gas natural desde el punto de conexión con la unidad flotante de almacenamiento y regasificación de Gas Natural Licuado, en adelante e indistintamente "GNL" (FRSU) hasta el punto de conexión con las respectivas unidades de generación eléctrica, ubicadas en la comuna de Vallenar.

    Decreto:
    Primero. Otórgase a Andes S.A., RUT Nº 76.326.851-9, concesión definitiva para establecer, operar y explotar las instalaciones de transporte de gas natural, en las comunas de Copiapó, Caldera y Vallenar, Región de Atacama. A través de esas instalaciones, transportará el gas natural desde el punto de conexión con la unidad flotante de almacenamiento y regasificación del GNL (FRSU), ubicado en la Bahía de Chascos, comuna de Copiapó, hasta el punto de medición y regularización de las respectivas unidades generadoras, ubicadas en la comuna de Vallenar.
    Segundo. Defínase la longitud aproximada del trazado del gasoducto denominado "Gasoducto Andes LNG" en 92 kilómetros, de los cuales dos kilómetros, aproximadamente, se extenderán por los Bienes Nacionales de Uso Público (BNUP) denominados mar, fondo de mar y playa de mar. El resto del gasoducto se soterrará en toda su extensión hasta su punto de destino.
    El gasoducto tendrá una capacidad máxima operacional de transporte de 10 MMm 3 S/día (diez millones de metros cúbicos estándar por día) y se construirá utilizando un ducto de acero de calidad API 5L grado X60 y de 508 mm (20") de diámetro nominal, lo cual permitirá operar a una máxima presión de operación admisible (MAOP) de 9 MPa (90 bar).
    A continuación, se indican los puntos de origen y destino del referido gasoducto, de acuerdo al Plano GA-PLA-GEN-01 "Plano General Trazado de Gasoducto", en Revisión B.

    Tabla 1. Puntos de origen y destino del gasoducto de Andes LNG.
   
.
    Tercero. Las coordenadas que permiten ubicar el trazado del gasoducto, según los planos GA-PLA-GEN-01, "Plano General Trazado de Gasoducto" y GA-PLA-GEN-02, "Plano General Trazado de Gasoducto Submarino", ambos en Revisión B, se indican en las Tablas 2 y 3, respectivamente.
   
    Tabla 2. Cuadro de coordenadas de vértices del trazado del gasoducto submarino, sectores de mar y playa de mar.
   
.
   
    Tabla 3. Cuadro de coordenadas de vértices del trazado del gasoducto terrestre.
   
.
.
.
.
.

    El detalle de trazado del Gasoducto Andes LNG, se encuentra en los planos GA-PLA-GEN-01, "Plano General Trazado de Gasoducto"; GA-PLA-GEN-02, "Plano General Trazado de Gasoducto Submarino"; GA-PLA-BNUP-01 "Plano Afectación Bien Nacional de Uso Público Fondo Marino/Porción de Agua" y GA-PLA-BNUP-02 "Plano Afectación Bien Nacional de Uso Público Playa de Mar"; todos en Revisión B.
    El Gasoducto Andes LNG cuenta con una estación de recepción de gas natural gaseoso, plataforma donde se ubicará el brazo de alta presión para la recepción del gas natural proveniente del (FSRU) para continuar en forma submarina hasta el punto de inicio en tierra, en donde se ubicará una estación de servicio y operación, que servirá de apoyo permanente para el servicio de mantenimiento y operación tanto de la estación de recepción como del gasoducto submarino.
    En la tabla 4 se muestran las coordenadas de los vértices que limitan las áreas de la estación de recepción, gasoducto submarino y estación de servicio y operación:
   
    Tabla 4. Vértices de la estación de recepción, gasoducto submarino y estación de servicio y operación.
   
.
   
    Los sitios de acopio y servicio transitorio, que servirán de instalación de faena, acopio de cañerías y materiales, así como las oficinas para el constructor e inspector de la obra se detallan en los planos GA-PLA-SERV-01 "Plano de Servidumbre Lote 3 Estancia Castilla"; GA-PLA-SERV-02 "Plano de Servidumbre Lote Fusión 1+2+7"; GA-PLA-SERV-03 "Plano de Servidumbre Estancia Yerbas Buenas"; GA-PLA-SERV-04 "Plano de Servidumbre Ferronor";  GA-PLA-SERV-05 "Plano de Servidumbre Estancia Délano"; GA-PLA-SERV-06 "Plano de Servidumbre Loteos" y GA-PLA-SERV-07 "Plano de Detalle de Servidumbre Lote Fusión 1+2+7"; todos en Revisión B. Su ubicación se indica en la Tabla 5.

    Tabla 5. Cuadro de coordenadas Sitios de Acopio y Servicio Transitorio.
   
.
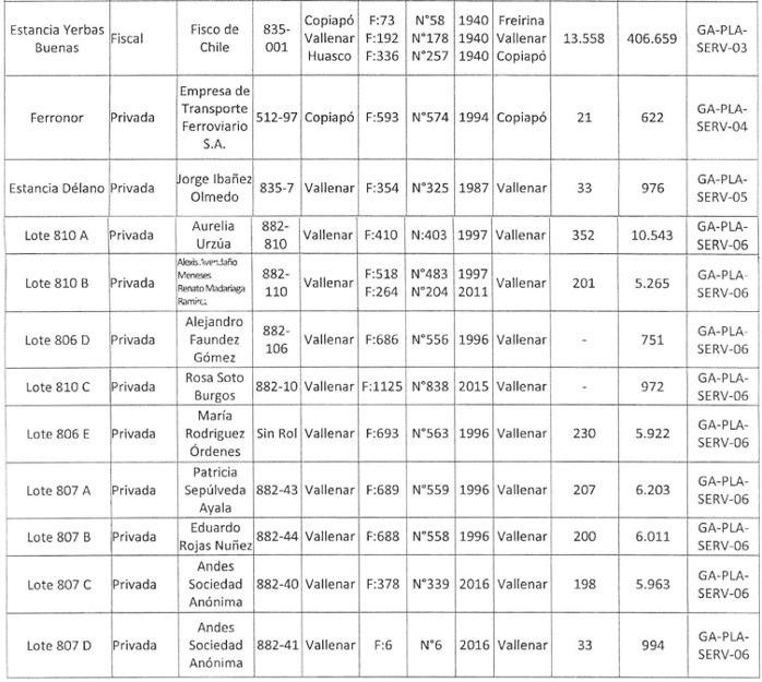
    Cuarto. Las propiedades que se afectarán por las servidumbres forzosas se detallan a continuación en la Tabla 6.
   
    Tabla 6. Individualización de propiedades.
         
.
.
   
    A continuación, se incluye en la Tabla 7 la individualización de los planos que contemplan las propiedades que se afectarán por servidumbres.

    Tabla 7. Planos de Servidumbre.
   
.
    Quinto. Los bienes nacionales de uso público que serán objeto de ocupación o cruce producto de la construcción y trazado del gasoducto se detallan a continuación en las Tablas Nos 8, 9 y 10. El detalle típico de los cruces de caminos y rutas, se muestra en los planos GA-PLC-01 "Plano Cruce Camino Principal"; GA-PLC-02 "Plano Cruce Camino Secundario" y GA-PLC-03 "Plano Cruce Ruta 5 Norte", todos en Revisión B.

    Tabla 8. Bienes Nacionales de Uso Público.
   
.
   
    Tabla 9. Coordenadas de cruces con caminos.
   
  . 
   
    Tabla 10. Afectación de Bienes Nacionales de Uso Público Mar y Playa de Mar.
   
.
    Sexto. Las obras e instalaciones existentes que se verán afectadas por la construcción del gasoducto, como líneas eléctricas y de ferrocarriles, se detallan a continuación en las Tablas Nos 11 y 12. El detalle típico del cruce de ferrocarril, se muestra en el Plano Nº GA-PLC-04 "Plano Cruce Vía Férrea", en Revisión B.

    Tabla 11. Cruces de Ferrocarril.
   
.
   
    Tabla 12. Cruces con Líneas Eléctricas y de Datos.
   
.
    Séptimo. Los parámetros de diseño y espesores de tubería para los tramos submarino y terrestre, se presentan a continuación en las Tablas Nos 13 y 14.

    Tabla 13. Parámetros de Diseño.
   
.
   
    Tabla 14. Cuadro de cambio de espesor de tubería
   
.
.
   
    El trazado completo del gasoducto se indica en el Plano General Nº GA-PLA-GEN-01. El trazado terrestre del gasoducto corresponde a una zona desértica de Clase 1, de acuerdo a la ASME B31.8/2007.
    La medición y regulación del flujo de gas se realizará en la (FSRU) en el punto de inyección, y en la Estación de Medición y Regulación (EMR) ubicada en los terrenos de la Central Generadora, de capacidad de 540 MW. La EMR estará ubicada en terrenos de propiedad de Andes Sociedad Anónima y contará con equipos de medición de gas natural como: cromatógrafo, filtros de gas, calentadores y toda la instrumentación de control requerida para la correcta operación y mantenimiento de todo el gasoducto.
    Estaciones para el lanzamiento y recepción de artefactos de inspección (PIG) serán dispuestas en la Estación de Recepción y en la EMR, respectivamente. Ambas estaciones contarán con las condiciones para el uso de PIG inteligentes.
    Las labores de operación y mantenimiento del gasoducto se llevarán a cabo desde la Central Generadora ("Centro de Control"), que estará encargada de operar el gasoducto, monitorear y controlar las estaciones de medición y las válvulas de control ubicadas a lo largo del gasoducto. El gasoducto terrestre también contará con un camino de servicio (huella) paralelo en todo su trazado, este camino está contenido dentro de la franja de servidumbre solicitada para el gasoducto.
    El gasoducto contará también con un sistema de comunicaciones y SCADA, el cual permitirá la conexión permanente entre el Centro de Control y la FSRU, permitiendo la operación del gasoducto.
    Octavo. El gasoducto Andes LNG, a lo largo de su trayecto, estará provisto de 6 válvulas automáticas de corte de seguridad, que operarán ante cualquier falla del gasoducto. Estas válvulas también pueden ser operadas tanto en forma remota como manual. La ubicación de ellas se presenta en el plano GA-PLA-GEN-01 "Plano General Trazado de Gasoducto", en Revisión B, y en la Tabla Nº 15, siendo la primera válvula de seguridad la ubicada en la Estación de Recepción y la última válvula de seguridad la ubicada al punto de término del gasoducto, en terrenos de la Central Generadora de energía eléctrica.
   
    Tabla 15. Cuadro de Coordenadas Ubicación de Válvulas de Seguridad.
   
.
   
    La válvula V0 se ubica en la estación de recepción, mientras las válvulas V1 a V5 estarán a lo largo del trazado terrestre, las que tendrán rejas perimetrales definitivas de protección de dimensiones de 8 x 12 metros, siendo las coordenadas indicadas los centros geométricos de estos rectángulos.
    Noveno. El gas a transportar en el gasoducto estará compuesto principalmente por metano (aproximadamente un 95%) y cumplirá con las especificaciones de la Norma Chilena NCh2264:2014 "Gas natural - Especificaciones", o la disposición que la reemplace.
    Décimo. La fecha de inicio de las obras corresponderá a la fecha de la total tramitación del presente acto administrativo, de los permisos ambientales y sectoriales y de la contratación o imposición de las servidumbres correspondientes. El cronograma de avance físico de las obras será el que se indica a continuación en la Tabla 16.
   
    Tabla 16. Cronograma de avance físico de las obras.
   
.
    Décimo primero. Para el gasoducto se ha considerado una inversión aproximada de 165,7 millones de dólares de los Estados Unidos de América y una vida útil del proyecto de 25 años.
    Décimo segundo. La concesión que se otorga mediante el presente decreto, crea en favor del concesionario el permiso para ocupar con su gasoducto y dispositivos afectos a él, los bienes nacionales de uso público y el de cruzar caminos, cursos de agua y redes de distribución de otros servicios públicos, según lo señalado en los artículos quinto y sexto del presente decreto, sujeto a lo establecido en el artículo 12º del DFL Nº 323 de 1931, del Ministerio del Interior.
    Sin perjuicio de lo anterior, el otorgamiento de la presente concesión no exime al concesionario del cumplimiento de todas las normas legales y reglamentarias pertinentes, así como el otorgamiento de las demás autorizaciones o concesiones por los organismos competentes.
    Décimo tercero. La concesión que se otorga mediante el presente decreto crea en favor del concesionario las servidumbres para tender las tuberías a través de propiedades ajenas y para ocupar y cerrar los terrenos necesarios para centros reductores de presión, habitaciones para el personal de vigilancia, depósitos de materiales, caminos de acceso y, en general, todas aquellas obras requeridas para la construcción y operación del sistema de transporte y de los dispositivos afectos a él, todo ello de acuerdo a los planos de servidumbre, los cuales se encuentran individualizados en la Tabla 7 del presente decreto. Los edificios no quedarán en caso alguno sujetos a estas servidumbres, al igual que los huertos, parques, jardines o patios que dependan de edificios o que les sean anexos o circundantes.
    Décimo cuarto. Las servidumbres se constituirán previa determinación del monto de la indemnización a pagar por todo perjuicio que se cause al dueño de los terrenos, o al de la concesión sirviente en su caso, o a cualquiera otra persona.
    La constitución de servidumbres, su ejercicio y las indemnizaciones correspondientes, se determinarán por acuerdo de los interesados que conste en escritura pública, o por resolución judicial. Se podrá convenir o resolver que la indemnización se pague de una sola vez o en forma periódica.
    Para que las servidumbres sean oponibles a terceros, se deberán inscribir en el registro de Hipotecas y Gravámenes del Conservador de Bienes Raíces correspondiente a la ubicación de los inmuebles respectivos.
    Décimo quinto. La franja de los predios señalados en el artículo cuarto que está afecta a servidumbre de acuerdo a lo señalado en el artículo décimo tercero se detalla a continuación en la Tabla 17.
   
    Tabla 17. Ancho de franja de Servidumbre.
   
.
    Décimo sexto. La Superintendencia de Electricidad y Combustibles archivará una copia de los planos señalados en los artículos precedentes, de la memoria explicativa y otros antecedentes técnicos, que pasan a formar parte del presente decreto.
    Décimo séptimo. Esta concesión se otorga por plazo indefinido.
    Décimo octavo. La concesión queda sometida a todas las disposiciones legales y reglamentarias vigentes o que se dicten en el futuro sobre la materia. El concesionario deberá asimismo dar cumplimiento a las normas técnicas establecidas que se establezcan en el futuro en conformidad al decreto con fuerza de ley Nº 323 de 1931, del Ministerio del Interior.
    Décimo noveno. Con el objeto de efectuar un control adecuado de las obras a ejecutar, el titular de la concesión deberá:

    a) Informar a la Superintendencia de Electricidad y Combustibles del inicio de la construcción de las obras, en forma previa a su ejecución, acompañando un cronograma detallado de los trabajos a realizar.
    b) Comunicar mensualmente a la Superintendencia de Electricidad y Combustibles el grado de avance y desviaciones del proyecto original.
    c) Informar a la Superintendencia de Electricidad y Combustibles, según lo dispuesto en el artículo 3° de la ley Nº 18.410, mediante una comunicación previa, de la puesta en servicio de las nuevas instalaciones.
    Vigésimo. Toda desviación del proyecto originalmente presentado deberá ser informada a la autoridad para su evaluación y pronunciamiento correspondiente en forma previa a su ejecución.
    Vigésimo primero. La concesión que se otorga mediante el presente decreto, no exime de la responsabilidad de obtener en su caso, los demás permisos o autorizaciones que pudieran ser ordenados por la autoridad competente, en virtud del ordenamiento jurídico vigente.
    Vigésimo segundo. El titular de la concesión de transporte de gas de red deberá entregar las Direcciones de Obras Municipales de las comunas donde se ubiquen sus instalaciones, uno o más planos donde se señale el trazado de las tuberías que se localicen dentro de la respectiva comuna y las distancias mínimas a edificios que se hubieren considerado en dicho trazado a efecto que las Direcciones de Obras cuenten con estos antecedentes al autorizar nuevas construcciones, edificaciones u otras obras civiles o la habilitación de espacios abiertos destinados a esparcimiento o a la concurrencia masiva de personas.
    Si una construcción, edificación u obra civil interfiriera con las distancias mínimas a edificios que se hubieran considerado en la construcción del sistema de transporte de gas de red, el titular de la correspondiente concesión deberá dar aviso a la Superintendencia, la que establecerá las medidas adicionales de seguridad que sea pertinente adoptar.
    Vigésimo tercero. El presente decreto deberá publicarse en el Diario Oficial en el plazo de 30 días corridos desde la fecha de su total tramitación y, asimismo, deberá reducirse a escritura pública dentro de los 30 días siguientes a la fecha de su publicación.
    Anótese, tómese razón, notifíquese y publíquese.- Por orden de la Presidenta de la República, Andrés Rebolledo Smitmans, Ministro de Energía.
    Lo que transcribo a Ud. para su conocimiento.- Saluda Atte. a Ud., Marcelo Mardones Osorio, Jefe División Jurídica, Subsecretaría de Energía.
    CONTRALORÍA GENERAL DE LA REPÚBLICA
    División de Infraestructura y Regulación

    Cursa con alcance el decreto Nº 6, de 2018, del Ministerio de Energía

    Nº 22.784.- Santiago, 12 de septiembre de 2018.

    La Contraloría General ha dado curso al documento del rubro, que otorga a Andes S.A. concesión definitiva de transporte de gas de red en las comunas de Copiapó, Caldera y Vallenar, Región de Atacama, pero cumple con precisar que, de acuerdo a lo señalado por el solicitante en su carta Nº GG-0108/18, de 2 de agosto de 2018, y por Subsecretario de Energía mediante su oficio Nº 1.342, del presente año, el plazo de inicio de las obras corresponderá a la fecha de total tramitación del decreto que otorgue la concesión solicitada, y no conforme a lo indicado en el artículo décimo del acto administrativo de la especie.

    Saluda atentamente a Ud., por orden del Contralor General de la República, Subjefe División de Infraestructura y Regulación.

    A la Señora
    Ministra de Energía
    Presente.