MODIFICA RESOLUCIÓN Nº 7.079 EXENTA, DE FECHA 14 DE SEPTIEMBRE DE 2018 Y SUS MODIFICACIONES, QUE LLAMA A PROCESO DE SELECCIÓN EN CONDICIONES ESPECIALES PARA EL OTORGAMIENTO DE SUBSIDIOS HABITACIONALES DEL TÍTULO II EN LA MODALIDAD MEJORAMIENTO Y AMPLIACIÓN DE VIVIENDAS EXISTENTES, DEL PROGRAMA DE HABITABILIDAD RURAL, REGULADO POR EL DS Nº 10 (V. Y U.) DE 2015, A LAS REGIONES QUE INDICA, EN LA ALTERNATIVA DE POSTULACIÓN INDIVIDUAL O COLECTIVA, A LAS FAMILIAS QUE SE ENCUENTREN EN CONDICIÓN DE DEMANDA HÁBIL EN EL BANCO DE POSTULACIONES Y APRUEBA NÓMINA DE SELECCIONADOS

    Santiago, 20 de noviembre de 2018.- Hoy se resolvió lo que sigue:
    Núm. 9.449 exenta.

    Visto:

a)  El DS Nº 10 (V. y U.), de 2015, y sus modificaciones, que regula el Programa de Habitabilidad Rural.
b)  La resolución exenta Nº 30 (V. y U), de fecha 4 de enero de 2018, que autoriza a efectuar llamados a postulación y/o comprometer recursos durante el año 2018 en el otorgamiento de subsidios y señala el monto de los recursos destinados, entre otros, a la atención de familias a través del programa habitacional regulado por el DS Nº 10 (V. y U.), de 2015, y sus modificaciones.
c)  La circular Nº 6 de fecha 30 de enero de 2018, de la Subsecretaría de Vivienda y Urbanismo, que establece el Programa Habitacional 2018 e indica el presupuesto disponible para asignar subsidios, entre otros, del Programa Habitabilidad Rural.
d)  La resolución exenta Nº 7.079 (V. y U.), de fecha 14 de septiembre de 2018, que llama a proceso de selección en condiciones especiales para el otorgamiento de subsidios habitacionales del Título II, en la modalidad de mejoramiento y ampliación de viviendas existentes, del Programa de Habitabilidad Rural, regulado por DS Nº 10 (V. y U.), de 2015, y sus modificaciones.
e)  La resolución exenta Nº 7.460 (V. y U.) de fecha 5 de octubre de 2018, que modifica la resolución exenta Nº 7.079, citada en el visto anterior.

    Considerando:

1.  La necesidad de precisar la operatoria respecto a la presentación y aprobación de los subsidios complementarios, en relación con lo establecido en el resuelvo 12 de la resolución exenta Nº 7.079 citada en el visto d) de la presente resolución.
2.  La necesidad de ajustar el monto y la distribución de los recursos del Llamado en Condiciones Especiales del Programa de Habitabilidad Rural, regulado mediante resolución exenta Nº 7.079 y su modificación.
3.  Que, cerrado el proceso de postulación del Llamado en Condiciones Especiales del Programa de Habitabilidad Rural, regulado mediante resolución exenta Nº 7.079 (V. y U.), de 2018, y su modificación, se procedió a seleccionar a los postulantes de acuerdo a lo señalado en dicha resolución, a lo establecido en el DS Nº 10 (V. y U.), de 2015, y a los recursos disponibles del Programa de Habitabilidad Rural, dicto la siguiente:

    Resolución:
   

a)  Agrégase al final del resuelvo 12 la siguiente frase: "Delégase en los respectivos Secretarios Regionales Ministeriales de Vivienda y Urbanismo, la facultad para asignar, mediante resolución, los subsidios complementarios a que se refiere el artículo 10 del DS Nº 10 (V. y U.), de 2015, teniendo en cuenta la aprobación, técnica, jurídica y económica de cada proyecto proporcionada por Serviu, según proceda".
b)  Sustitúyese en la oración inicial del resuelvo 22 el guarismo "791.500" por "279.857,76", y la tabla inserta en dicho resuelvo por la siguiente:

    .

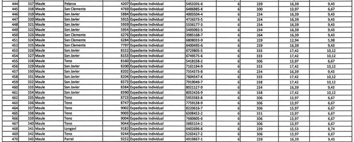
2.  Apruébanse las nóminas de seleccionados para el otorgamiento de subsidios habitacionales correspondientes al cierre de postulación del Llamado en Condiciones Especiales de 2018, del Programa de Habitabilidad Rural en su Título II, Modalidad Mejoramiento y Ampliación de Viviendas Existentes, regulado mediante la resolución exenta Nº 7.079 (V. y U), de 2018 y su modificación, las que se adjuntan a la presente resolución. Además, fíjase el número de postulantes seleccionados por Región, según se indica en la siguiente tabla:

    .

3.  Comprométense los recursos disponibles para la selección del Llamado en Condiciones Especiales de 2018, citado en el visto d) de la presente resolución, los que se destinarán al financiamiento de subsidios habitacionales, cuyos proyectos deberán ser ingresados al Serviu en los plazos establecidos en el inciso quinto del artículo 44 del DS Nº 10 (V. y U.) de 2015, y cuya prórroga o nuevo plazo deberá atender estrictamente a lo establecido en el artículo 63 del mismo reglamento, así como al pago de los servicios de Asistencia Técnica (AT) y Fiscalización Técnica de Obras (FTO). Corresponderá a cada Serviu, en el marco de la aprobación del proyecto, la evaluación del presupuesto detallado de cada subsidio otorgado en el marco de esta resolución, debiendo rebajar total o parcialmente el monto asignado al postulante seleccionado, cuando los recursos solicitados no se encuentren debidamente fundamentados y justificados.

    La distribución de los recursos que se comprometen para el número de familias que se detalla, es la siguiente:
   
    .


    Anótese, publíquese en el Diario Oficial y archívese.- Cristián Monckeberg Bruner, Ministro de Vivienda y Urbanismo.
    Lo que transcribo para su conocimiento.- Guillermo Rolando Vicente, Subsecretario de Vivienda y Urbanismo.
   
    ..
    .
    .
    .
    .
    .
    .
    .
    .
    .
    .